Review of Pesticide Urinary Biomarker Measurements from Selected US EPA Children’s Observational Exposure Studies
Abstract
:1. Introduction
2. Background
2.1. Review of the Toxicokinetics of Organophosphate and Pyrethroid Pesticides
2.2. Absorption
2.3. Distribution and Metabolism
2.4. Excretion
3. Methods
3.1. Observational Exposure Measurement Studies
3.2. Urine Sample Collection
3.3. Pesticides and Their Metabolites
3.4. Statistical Analysis
3.4.1. Estimates of Variance Components
3.4.2. Estimates of Route-Specific Exposure
4. Results and Discussion
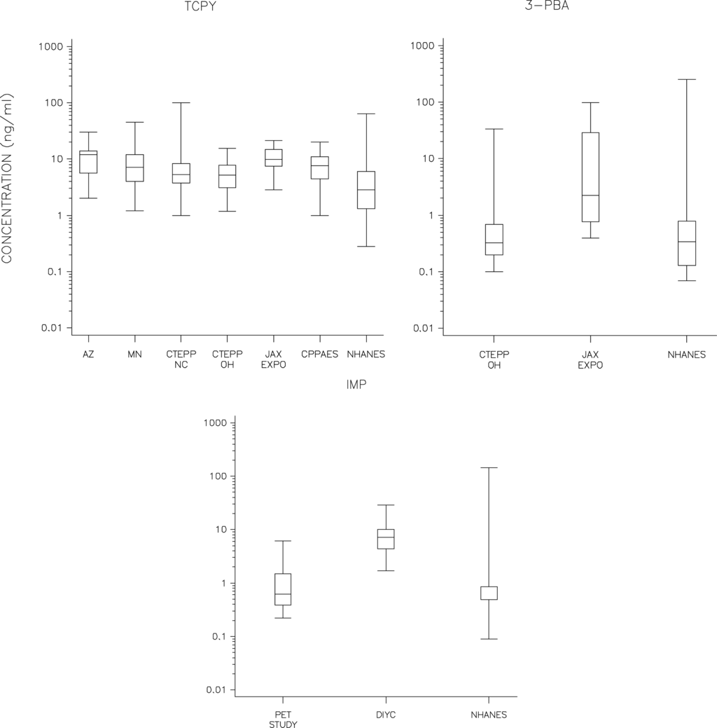
4.1. Summary Statistics for Urinary Biomarker Levels
4.2. Evidence of Pesticide Applications in Urinary Concentrations
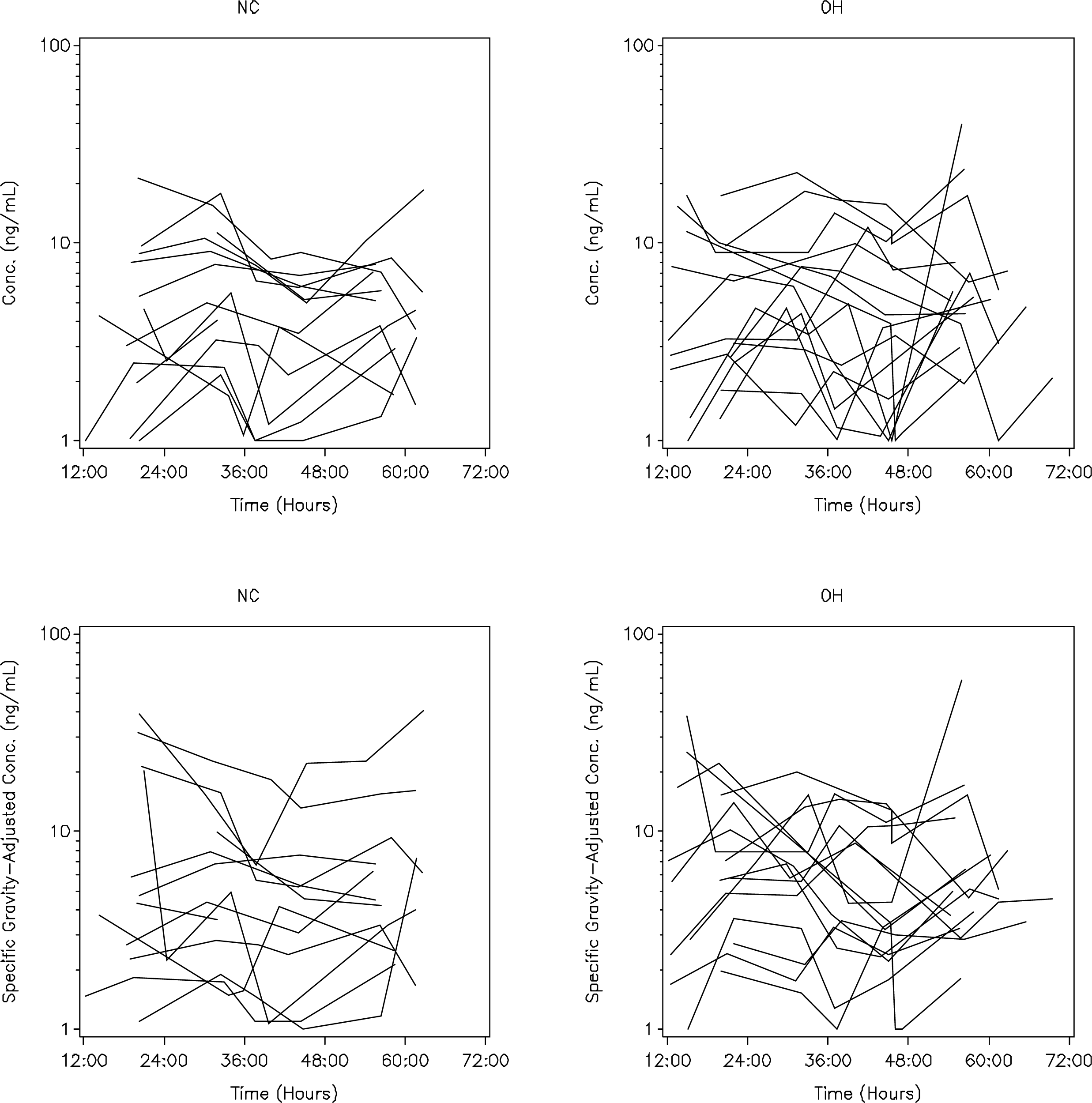
4.3. Temporal Variability in Biomarker Measurements
4.4. Relative Importance of Exposure Routes
5. Conclusions
Acknowledgments
- DisclaimerThe United States Environmental Protection Agency, through its Office of Research and Development, funded and managed the research described here under EPA Contracts 68-D-99-003 to the University of Arizona, 68-D-99-011 to Battelle Memorial Institute, and 68-D99-012 to Research Triangle Institute International, under Cooperative Agreements R821902 with Research Triangle Institute and Environmental and Occupational Health Sciences Institute (EOHSI) and CR827033 with EOHSI, and under EPA STAR Grant R825283 to the University of Minnesota. It has been subjected to Agency review and approved for publication.
References
- US EPA (US Environmental Protection Agency). Seven Priorities for EPA’s Future; US Environmental Protection Agency: Washington, DC, USA, 2010. Available online: http://blog.epa.gov/administrator/2010/01/12/seven-priorities-for-epas-future/ (accessed on 23 May 2011).
- Landrigan, PJ; Carlson, JE; Bearer, CF; Cranmer, JS; Bullard, RD; Etzel, RA; Groopman, J; McLachlan, JA; Perera, FP; Reigart, JR; et al. Children’s health and the environment: A new agenda for prevention research. Environ. Health Perspect 1998, 106, 787–794. [Google Scholar]
- Cohen Hubal, EA; Sheldon, LS; Zufall, MJ; Burke, JM; Thomas, K. The challenge of assessing children’s residential exposure to pesticides. J. Expo. Anal. Environ. Epidemiol 2000, 10, 638–649. [Google Scholar]
- Ryan, PB; Burke, TA; Cohen Hubal, EA; Cura, JJ; McKone, TE. Using biomarkers to inform cumulative risk assessment. Environ. Health Perspect 2007, 115, 833–840. [Google Scholar]
- Wessels, D; Barr, DB; Mendola, P. Use of biomarkers to indicate exposure of children to organophosphate pesticides: Implications for a longitudinal study of children’s environmental health. Environ. Health Perspect 2003, 111, 1939–1946. [Google Scholar]
- Lowry, LK. Biological exposure index as a complement to the TLV. J. Occup. Med 1986, 28, 578–582. [Google Scholar]
- Hulka, BS; Margolin, BH. Methodological issues in epidemiologic studies using biological markers. Am. J. Epidemiol 1992, 135, 200–209. [Google Scholar]
- Rappaport, SM; Symanski, E; Yager, JW; Kupper, LL. The relationship between environmental monitoring and biological markers in exposure assessment. Environ. Health Perspect 2005, 103, 49–53. [Google Scholar]
- Bouchard, M; Gosselin, NH; Brunet, RC; Samuel, O; Dumoulin, MJ; Carrier, G. A toxicokinetic model of malathion and its metabolites as a tool to assess human exposure and risk through measurements of urinary biomarkers. Toxicol. Sci 2003, 73, 182–194. [Google Scholar]
- Coble, J; Arbuckle, T; Lee, W; Alavanja, M; Dosemeci, M. The validation of a pesticide exposure algorithm using biological monitoring results. J. Occup. Environ. Hyg 2005, 2, 194–201. [Google Scholar]
- Droz, PO; Wu, MM; Cumberland, WG; Berode, M. Variability in biological monitoring of solvent exposure. I. Development of a population physiological model. Br. J. Ind. Med 1989, 46, 447–460. [Google Scholar]
- Gompertz, D. Assessment of risk by biological monitoring. Br. J. Ind. Med 1981, 38, 198–201. [Google Scholar]
- Egeghy, PP; Tornero-Velez, R; Rappaport, SM. Environmental and biological monitoring of benzene during self-service automobile refueling. Environ. Health Perspect 2000, 108, 1195–1202. [Google Scholar]
- Egeghy, PP; Hauf-Cabalo, L; Gibson, R; Rappaport, SM. Benzene and naphthalene in air and breath as indicators of exposure to jet fuel. Occup. Environ. Med 2003, 60, 969–976. [Google Scholar]
- US EPA, Important Exposure Factors for Children: An Analysis of Laboratory and Observational Field Data Characterizing Cumulative Exposure to Pesticides; US Environmental Protection Agency: Washington, DC, USA, 2007; EPA/600/R-07/013.
- Barr, DB; Bravo, R; Weerasekera, G; Caltabiano, LM; Whitehead, RD, Jr; Olsson, AO; Caudill, SP; Schober, SE; Pirkle, JL; Sampson, EJ; et al. Concentrations of dialkyl phosphate metabolites of organophosphorus pesticides in the U.S. population. Environ. Health Perspect 2004, 112, 186–200. [Google Scholar]
- Lamoreaux, RJ; Newland, LW. The fate of organophosphorus pesticides in the environment. Biol. Conserv 1977, 11, 59–66. [Google Scholar]
- Casida, JE. Pyrethrum flowers and pyrethroid insecticides. Environ. Health Perspect 1980, 34, 189–202. [Google Scholar]
- Nolan, RJ; Rick, DL; Freshour, NL; Saunders, JH. Chlorpyrifos: Pharmacokinetics in human volunteers. Toxicol. Appl. Pharmacol 1984, 73, 8–15. [Google Scholar]
- Griffin, P; Mason, H; Heywood, K; Cocker, J. Oral and dermal absorption of chlorpyrifos: A human volunteer study. Occup. Environ. Med 1999, 56, 10–13. [Google Scholar]
- Meuling, WJ; Ravensberg, LC; Roza, L; van Hemmen, JJ. Dermal absorption of chlorpyrifos in human volunteers. Int. Arch. Occup. Environ. Health 2005, 78, 44–50. [Google Scholar]
- Garfitt, SJ; Jones, K; Mason, HJ; Cocker, J. Exposure to the organophosphate diazinon: Data from a human volunteer study with oral and dermal doses. Toxicol. Lett 2002, 134, 105–113. [Google Scholar]
- ATSDR (Agency for Toxic Substances and Disease Registry). Toxicological Profile for Diazinon; US Department of Health and Human Services, Agency for Toxic Substances and Disease Registry: Atlanta, GA, USA, 2008. Available online: http://www.atsdr.cdc.gov/toxprofiles/tp86.pdf (accessed on 23 May 2011).
- ATSDR (Agency for Toxic Substances and Disease Registry). Toxicological Profile for Pyrethrins and Pyrethroids; US Department of Health and Human Services, Agency for Toxic Substances and Disease Registry: Atlanta, GA, USA, 2003. Available online: http://www.atsdr.cdc.gov/toxprofiles/tp155.pdf (accessed on 23 May 2011).
- NRC (National Research Council), Pesticides in the Diets of Infants and Children; National Academy Press: Washington, DC, USA, 1993; p. 386.
- Bartelt, N; Hubbell, J. Percutaneous Absorption of Topically Applied 14C-permethrin in Volunteers: Final Medical Report, 1987. Burroughs Wellcome Co Cited in: National Research Council. In Health Effects of Permethrin-Impregnated Army Battle-Dress Uniforms; National Academy Press: Washington, DC, USA, 1994. [Google Scholar]
- Kissel, JC. The mismeasure of dermal absorption. J. Expo. Sci. Environ. Epidemiol 2011, 21, 302–309. [Google Scholar]
- Leng, G; Leng, A; Kühn, KH; Lewalter, J; Pauluhn, J. Human dose-excretion studies with the pyrethroid insecticide cyfluthrin: urinary metabolite profile following inhalation. Xenobiotica 1997, 27, 1273–1283. [Google Scholar]
- Woollen, BH; Marsh, JR; Laird, WJ; Lesser, JE. The metabolism of cypermethrin in man: Differences in urinary metabolite profiles following oral and dermal administration. Xenobiotica 1992, 22, 983–991. [Google Scholar]
- Fiserova-Bergerova, V. Application of toxicokinetic models to establish biological exposure indicators. Ann. Occup. Hyg 1990, 34, 639–651. [Google Scholar]
- Ross, JH; Driver, JH; Cochran, RC; Thongsinthusak, T; Krieger, RI. Could pesticide toxicology studies be more relevant to occupational risk assessment? Ann. Occup. Hyg 2001, 45, S5–S17. [Google Scholar]
- Oberst, FW; Koon, WS; Christensen, MK; Crook, JW; Cresthull, P; Freeman, G. Retention of inhaled sarin vapor and its effect on red blood cell cholinesterase activity in man. Clin. Pharmacol. Ther 1968, 9, 421–427. [Google Scholar]
- Timchalk, C; Nolan, RJ; Mendrala, AL; Dittenber, DA; Brzak, KA; Mattsson, JL. A physiologically based pharmacokinetic and pharmacodynamic (PBPK/PD) model for the organophosphate insecticide chlorpyrifos in rats and humans. Toxicol. Sci 2002, 66, 34–53. [Google Scholar]
- Eadsforth, CV; Baldwin, MK. Human dose-excretion studies with the pyrethroid insecticide, cypermethrin. Xenobiotica 1983, 13, 67–72. [Google Scholar]
- Eadsforth, CV; Bragt, PC; van Sittert, NJ. Human dose-excretion studies with pyrethroid insecticides cypermethrin and alpha-cypermethrin: Relevance for biological monitoring. Xenobiotica 1988, 18, 603–614. [Google Scholar]
- Feldmann, RJ; Maibach, HI. Percutaneous penetration of some pesticides and herbicides in man. Toxicol. Appl. Pharmacol 1974, 28, 126–132. [Google Scholar]
- Maibach, HI; Feldman, RJ; Milby, TH; Serat, WF. Regional variation in percutaneous penetration in man. Pesticides. Arch. Environ. Health 1971, 23, 208–211. [Google Scholar]
- Wester, RC; Bucks, DA; Maibach, HI. Human in vivo percutaneous absorption of pyrethrin and piperonyl butoxide. Food Chem. Toxicol 1994, 32, 51–53. [Google Scholar]
- Tulve, NS; Egeghy, PP; Fortmann, RC; Xue, J; Evans, J; Whitaker, DA; Croghan, CW. Methodologies for estimating cumulative human exposures to current-use pyrethroid pesticides. J. Expo. Sci. Environ. Epidemiol 2011, 21, 317–327. [Google Scholar]
- Aprea, C; Colosio, C; Mammone, T; Minoia, C; Maroni, M. Biological monitoring of pesticide exposure: A review of analytical methods. J. Chromatogr. B 2002, 769, 191–219. [Google Scholar]
- Demoute, JP. A brief review of the environmental fate and metabolism of pyrethroids. Pestic. Sci 1989, 27, 375–385. [Google Scholar]
- Baker, SE; Olsson, AO; Barr, DB. Isotope dilution high-performance liquid chromatographytandem mass spectrometry method for quantifying urinary metabolites of synthetic pyrethroid insecticides. Arch. Environ. Contam. Toxicol 2004, 46, 281–288. [Google Scholar]
- Kühn, K; Wieseler, B; Leng, G; Idel, H. Toxicokinetics of pyrethroids in humans: Consequences for biological monitoring. Bull. Environ. Contam. Toxicol 1999, 62, 101–108. [Google Scholar]
- Krieger, RI; Bernard, CE; Dinoff, TM; Fell, L; Osimitz, TG; Ross, JH; Ongsinthusak, T. Biomonitoring and whole body cotton dosimetry to estimate potential human dermal exposure to semivolatile chemicals. J. Expo. Anal. Environ. Epidemiol 2000, 10, 50–57. [Google Scholar]
- Gordon, SM; Callahan, PJ; Nishioka, MG; Brinkman, MC; O’Rourke, MK; Lebowitz, MD; Mosschandreas, DM. Residential environmental measurements in the National Human Exposure Assessment Survey (NHEXAS) pilot study in Arizona: Preliminary results for pesticides and VOCs. J. Expo. Anal. Environ. Epidemiol 1999, 9, 456–470. [Google Scholar]
- Adgate, JL; Barr, DB; Clayton, CA; Eberly, LE; Freeman, NCG; Lioy, PJ; Needham, LL; Pellizzari, ED; Quackenboss, JJ; Roy, A; et al. Measurement of children’s exposure to pesticides: Analysis of urinary metabolite levels in a probability-based sample. Environ. Health Perspect 2001, 109, 583–590. [Google Scholar]
- Morgan, MK; Sheldon, LS; Croghan, CW; Jones, PA; Robertson, GL; Chuang, JC; Wilson, NK; Lyu, CW. Exposures of preschool children to chlorpyrifos and its degradation product 3,5,6-trichloro-2-pyridinol in their everyday environments. J. Expo. Anal. Environ. Epidemiol 2005, 15, 297–309. [Google Scholar]
- Morgan, MK; Sheldon, LS; Thomas, KW; Egeghy, PP; Croghan, CW; Jones, PA; Chuang, JC; Wilson, NK. Adult and children’s exposure to 2,4-D from multiple sources and pathways. J. Expo. Sci. Environ. Epidemiol 2008, 18, 486–494. [Google Scholar]
- Morgan, MK; Sheldon, LS; Jones, PA; Croghan, CW; Chuang, JC; Wilson, NK. The reliability of using urinary biomarkers to estimate children’s exposures to chlorpyrifos and diazinon. J. Expo. Sci. Environ. Epidemiol 2011, 21, 280–290. [Google Scholar]
- Morgan, MK; Sheldon, LS; Croghan, CW; Jones, PA; Chuang, JC; Wilson, NK. An observational study of 127 preschool children at their homes and daycare centers in Ohio: Environmental pathways to cis- and trans-permethrin exposure. Environ. Res 2007, 104, 266–274. [Google Scholar]
- Bradman, A; Whitaker, D; Quiros, L; Castorina, R; Henn, BC; Nishioka, M; Morgan, J; Barr, DB; Harnly, M; Brisbin, JA; et al. Pesticides and their metabolites in the homes and urine of farmworker children living in the Salinas Valley, CA. J. Expo. Sci. Environ. Epidemiol 2007, 17, 331–349. [Google Scholar]
- Tulve, NS; Egeghy, PP; Fortmann, RC; Whitaker, DA; Nishioka, MG; Naeher, LP; Hilliard, A. Multimedia measurements and activity patterns in an observational pilot study of nine young children. J. Expo. Sci. Environ. Epidemiol 2008, 18, 31–44. [Google Scholar]
- Hore, P; Robson, M; Freeman, N; Zhang, J; Wartenberg, D; Ozkaynak, H; Tulve, N; Sheldon, L; Needham, L; Barr, D; Lioy, PJ. Chlorpyrifos accumulation patterns for child-accessible surfaces and objects and urinary metabolite excretion by children for 2 weeks after crack-and-crevice application. Environ. Health Perspect 2005, 113, 211–219. [Google Scholar]
- Morgan, MK; Stout, DM; Jones, PA; Barr, DB. An observational study of the potential for human exposures to pet-borne diazinon residues following lawn applications. Environ. Res 2008, 107, 336–342. [Google Scholar]
- Hu, YA; Akland, GG; Pellizzari, ED; Berry, MR; Melnyk, LJ. Use of pharmacokinetic modeling to design studies for pathway-specific exposure model evaluation. Environ. Health Perspect 2004, 112, 1697–1703. [Google Scholar]
- Baker, SE; Barr, DB; Driskell, WJ; Beeson, MD; Needham, LL. Quantification of selected pesticide metabolites in human urine using isotope dilution high-performance liquid chromatography/tandem mass spectrometry. J. Expo. Anal. Environ. Epidemiol 2000, 10, 789–798. [Google Scholar]
- Beeson, MD; Driskell, WJ; Barr, DB. Isotope dilution high-performance liquid chromatograpy/tandem mass spectrometry method for quantifying urinary metabolites of atrazine, malathion, and 2,4-dichlorophen–oxyacetic acid. Anal. Chem 1999, 71, 3526–3530. [Google Scholar]
- Hill, RH, Jr; Head, SL; Baker, S; Gregg, M; Shealy, DB; Bailey, SL; Williams, CC; Sampson, EJ; Needham, LL. Pesticide residues in urine of adults living in the United States: Reference range concentrations. Environ. Res 1995, 71, 99–108. [Google Scholar]
- Morgan, MK; Sheldon, LS; Croghan, CW; Chuang, JC; Lordo, RA; Wilson, NK; Lyu, C; Brinkman, M; Morse, N; Chou, YL; et al. A Pilot Study of Children’s Total Exposure to Persistent Pesticides and Other Persistent Organic Pollutants (CTEPP); U.S. Environmental Protection Agency: Washington, DC, USA, 2004; EPA/600/R-041/193. [Google Scholar]
- CDC (Centers for Disease Control and Prevention)-National Center for Health Statistics (NCHS). National Health and Nutrition Examination Survey Data; U.S. Department of Health and Human Services, Centers for Disease Control and Prevention: Hyattsville, MD, USA, 2010. Available online: http://www.cdc.gov/nchs/nhanes.htm (accessed on 23 May 2011).
- Fleiss, J. The Design and Analysis of Clinical Experiments; John Wiley & Sons: New York, NY, USA, 1985. [Google Scholar]
- Rappaport, SM. Assessment of long-term exposures to toxic substances in air. Ann. Occup. Hyg 1991, 35, 61–121. [Google Scholar]
- Salita, M; Macknin, M; Medendorp, SV; Jahnke, D. First-morning urine specific gravity and enuresis in preschool children. Clin. Pediatr. (Phila) 1998, 37, 719–724. [Google Scholar]
- Miller, RC; Brindle, E; Holman, DJ; Shofer, J; Klein, NA; Soules, MR; O’Connor, KA. Comparison of specific gravity and creatinine for normalizing urinary reproductive hormone concentrations. Clin. Chem 2004, 50, 924–932. [Google Scholar]
- US EPA. Child-specific Exposure Factors Handbook; National Center for Environmental Assessment: Washington, DC, USA, 2002. EPA/600/P-00/002B. Available from: National Information Service, Springfield, VA, USA; PB2003-101678 and http://www.epa.gov/ncea (accessed on 23 May 2011).
- Arcury, TA; Grzywacz, JG; Barr, DB; Tapia, J; Chen, H; Quandt, SA. Pesticide urinary metabolite levels of children in eastern North Carolina farmworker households. Environ. Health Perspect 2007, 115, 1254–1260. [Google Scholar]
- Kissel, JC; Curl, CL; Kedan, G; Lu, C; Griffith, W; Barr, DB; Needham, LL; Fenske, RA. Comparison of organophosphorus pesticide metabolite levels in single and multiple daily urine samples collected from preschool children in Washington State. J. Expo. Anal. Environ. Epidemiol 2005, 15, 164–171. [Google Scholar]
- Curwin, BD; Hein, MJ; Sanderson, WT; Striley, C; Heederik, D; Kromhout, H; Reynolds, SJ; Alavanja, MC. Urinary pesticide concentrations among children, mothers and fathers living in farm and non-farm households in Iowa. Ann. Occup. Hyg 2007, 51, 53–65. [Google Scholar]
- Naeher, LP; Tulve, NS; Egeghy, PP; Barr, DB; Adetona, O; Fortmann, RC; Needham, LL; Bozeman, E; Hilliard, A; Sheldon, LS. Organophosphorus and pyrethroid insecticide urinary metabolite concentrations in young children living in a southeastern United States city. Sci. Total Environ 2010, 408, 1145–1153. [Google Scholar]
- Lu, C; Toepel, K; Irish, R; Fenske, RA; Barr, DB; Bravo, R. Organic diets significantly lower children’s dietary exposure to organophosphorus pesticides. Environ. Health Perspect 2006, 114, 260–263. [Google Scholar]
- Becker, K; Seiwert, M; Angerer, J; Kolossa-Gehring, M; Hoppe, HW; Ball, M; Schulz, C; Thumulla, J; Seifert, B. GerES IV pilot study: Assessment of the exposure of German children to organophosphorus and pyrethroid pesticides. Int. J. Hyg. Environ. Health 2006, 209, 221–233. [Google Scholar]
- US EPA. Chlorpyrifos Revised Risk Assessment and Agreement with Registrants; U.S. Environmental Protection Agency, Office of Prevention, Pesticides, and Toxic Substances: Washington, DC, USA, 2000. [Google Scholar]
- US EPA. Reregistration Eligibility Decision (RED) Diazinon; U.S. Environmental Protection Agency Office of Prevention, Pesticides and Toxic Substances: Washington, DC, USA, 2006; EPA 738-R-04-006. [Google Scholar]
- Whyatt, RM; Garfinkel, R; Hoepner, LA; Andrews, H; Holmes, D; Williams, MK; Reyes, A; Diaz, D; Perera, FP; Camann, DE; Barr, DB. A biomarker validation study of prenatal chlorpyrifos exposure within an inner-city cohort during pregnancy. Environ. Health Perspect 2009, 117, 559–567. [Google Scholar]
- Wilson, NK; Strauss, WJ; Iroz-Elardo, N; Chuang, JC. Exposures of preschool children to chlorpyrifos, diazinon, pentachlorophenol, and 2,4-dichlorophenoxyacetic acid over 3 years from 2003 to 2005: A longitudinal model. J. Expo. Sci. Environ. Epidemiol 2010, 20, 557–558. [Google Scholar]
- Lu, C; Barr, DB; Pearson, MA; Waller, LA. Dietary intake and its contribution to longitudinal organophosphorus pesticide exposure in urban/suburban children. Environ. Health Perspect 2008, 116, 537–542. [Google Scholar]
- Miller, MD; Marty, MA; Arcus, A; Brown, J; Morry, D; Sandy, M. Differences between children and adults: Implications for risk assessment at California EPA. Int. J. Toxicol 2002, 21, 403–418. [Google Scholar]
- Pang, Y; MacIntosh, DL; Camann, DE; Ryan, PB. Analysis of aggregate exposure to chlorpyrifos in the NHEXAS-Maryland investigation. Environ. Health Perspect 2002, 110, 235–240. [Google Scholar]
- Liu, K; Stamler, J; Dyer, A. Statistical methods to assess and minimize the role of intra-individual variability in obscuring the relationship between dietary lipids and serum cholesterol. J. Chronic. Dis 1978, 31, 399–418. [Google Scholar]
- Heederik, D; Boleij, JSM; Kromhout, H; Smid, T. Use and analysis of exposure monitoring data in occupational epidemiology: An example of an epidemiological study in the Dutch animal food industry. Appl. Occup. Environ. Hyg 1991, 5, 458–574. [Google Scholar]
- Curwin, BD; Hein, MJ; Sanderson, WT; Striley, C; Heederik, D; Kromhout, H; Reynolds, SJ; Alavanja, MC. Urinary pesticide concentrations among children, mothers, and fathers living in farm and non-farm households in Iowa. Ann. Occup. Hyg 2007, 51, 53–65. [Google Scholar]
- Meeker, JD; Barr, DB; Ryan, L; Herrick, RF; Bennett, DH; Bravo, R; Hauser, R. Temporal variability of urinary levels of nonpersistent insecticides in adult men. J. Expo. Anal. Environ. Epidemiol 2005, 15, 271–281. [Google Scholar]
- Egeghy, PP; Quackenboss, JJ; Catlin, S; Ryan, PB. Determinants of temporal variability in NHEXAS-Maryland environmental concentrations, exposures, and biomarkers. J. Expo. Anal. Environ. Epidemiol 2005, 15, 388–397. [Google Scholar]
- Sobus, JR; Morgan, MK; Pleil, JD; Barr, DB. Biomonitoring: Uses and Considerations for Assessing Nonoccupational Human Exposure to Pesticides. In Hayes’ Handbook of Pesticide Toxicology, 3rd ed; Krieger, R, Ed.; Elsevier: New York, NY, USA, 2010; pp. 1021–1036. [Google Scholar]
- Clayton, C; Pellizzari, E; Whitmore, RW; Quackenboss, JJ. Distributions, associations, and partial aggregate exposure of pesticides and polynuclear aromatic hydrocarbons in the Minnesota Children’s Pesticide Exposure Study (MNCPES). J. Expo. Anal. Environ. Epidemiol 2003, 13, 100–111. [Google Scholar]
- MacIntosh, DL; Kabiru, C; Echols, SL; Ryan, PB. Dietary exposure to chlorpyrifos and levels of 3,5,6-trichloro-2-pyridinol in urine. J. Expo. Anal. Environ. Epidemiol 2001, 11, 279–285. [Google Scholar]
- Xue, J; Zartarian, V; Moya, J; Freeman, N; Beamer, P; Black, K; Tulve, N; Shalat, S. A meta-analysis of children’s hand-to-mouth frequency data for estimating nondietary ingestion exposure. Risk Anal 2007, 27, 411–420. [Google Scholar]
- Lu, C; Barr, DB; Pearson, MA; Walker, LA; Bravo, R. The attribution of urban and suburban children’s exposure to synthetic pyrethroid insecticides: A longitudinal assessment. J. Expo. Sci. Environ. Epidemiol 2009, 19, 69–78. [Google Scholar]
Supplemental Materials
| Study | TCPy | IMP | 3-PBA |
|---|---|---|---|
| NHEXAS-AZ | 1.0 | NA | NA |
| MNCPES | 1.4 | NA | NA |
| CTEPP-NC | 1.0 | NA | NA |
| CTEPP-OH | 1.0 | NA | 0.2 |
| JAX | 0.4 | 2.0 | 0.5 |
| CPPAES | 1.0 | NA | NA |
| PET | NA | 0.3 | NA |
| DIYC | NA | 1.0 | NA |
Abbreviations and Acronyms
| %Det | Percent of samples above detection limit |
| 2,4-D | 2,4-Dichlorophenoxyacetic acid |
| 3-PBA | 3-Phenoxybenzoic acid |
| 4F3PBA | 4-fluoro-3-phenoxybenzoic acid |
| 4OH3PBA | 3-(4’-hydroxyphenoxy) benzoic acid |
| ATSDR | Agency for Toxic Substances and Disease Registry |
| CHAM-QEA | Center for the Health Assessment of Mothers and Children of Salinas Quantitative Exposure Assessment Study |
| CPPAES | Children’s Pesticide Post-Application Exposure Study |
| CTEPP | Children’s Total Exposure to Persistent Pesticides and Other Persistent Organic Pollutants Study |
| DAP | Dialkylphosphate |
| DBCA | 2,2-dibromovinyl-2,2-dimethyl-cyclopropane-1-carboxylic acid |
| DCCA | 2,2-dichlorovinyl-2,2-dimethyl-cyclopropane-1-carboxylic acid |
| DIYC | Dietary Intake of Young Children Study |
| EOHSI | Environmental and Occupational Health Sciences Institute Study |
| EPA | U.S. Environmental Protection Agency |
| FMV | First morning void |
| GM | Geometric mean |
| GSD | Standard deviation of the geometric mean |
| ICC | Intraclass Correlation Coefficient |
| IMP | 2-Isopropyl-6-methyl-4-pyrimidinol |
| JAX | Biological and Environmental Monitoring for Organophosphate and Pyrethroid Pesticide Exposures in Children Living in Jacksonville, Florida Study |
| LOD | Limit of detection |
| Max | Maximum |
| MDA | Malathion dicarboxylic acid |
| MDL | Minimum detection limit |
| Min | Minimum |
| MNCPES / MN | Minnesota Children’s Pesticide Exposure Study |
| MPA | 2-methyl-3-phenylbenzoic acid |
| N | Sample size |
| NC | North Carolina |
| NERL | National Exposure Research Laboratory |
| NHANES | National Health and Nutrition Examination Survey |
| NHEXAS-AZ | National Human Exposure Assessment Survey in Arizona |
| OH | Ohio |
| OP | Organophosphate |
| 25th | 25th percentile |
| 50th | Median/50th percentile |
| 75th | 75th percentile |
| 95th | 95th percentile |
| PBPK | Physiologically-Based Pharmacokinetic Model |
| PET | A Pilot Study Examining Translocation Pathways Following a Granular Application of Diazinon to Residential Lawns Study |
| SD | Standard deviation of the arithmetic mean |
| TCP | 3,5,6-Trichloro-2-pyridinol |




| Compound | Absorption of Parent Compound | Elimination of Metabolites | ||||
|---|---|---|---|---|---|---|
| Oral | Dermal | Inhalation | Oral | Dermal | Inhalation | |
| Chlorpyrifos | Volunteer studies: 70% of oral dose excreted in urine as TCPy [19], 93% of oral dose excreted in urine as dialkyl-phosphates [20]. | Volunteer studies: 1.3% of dermal dose excreted in urine as TCPy [19]. 1% of dermal dose excreted as dialkyl-phosphates [20], 1.2–4.3% of dermal dose excreted as TCPy [21]. | No Information. | Volunteer study, 27 h oral [19]. Volunteer study, approx 15.5 h oral [20]. | Volunteer study, 27 h dermal [19]. Volunteer study, approx 30 h dermal [20]. Volunteer study, approx 41 h dermal [21]. | No Information. |
| Diazinon | Human oral absorption approx. 60% [22]. Default oral absorption factor of 0.85 [23] . | Human dermal absorption rate: 456 ng/cm2/h [22]. | No Information. | Human study, 2 h oral [22]. | Human study, 9 h dermal [22]. | No Information. |
| Pyrethroids (as a group) | Absorption is incomplete, minimum estimate 40–60%, but first- pass metabolism may underestimate absorption [24]. | <2% of the applied dermal dose is absorbed, rate of absorption much slower than by the oral or inhaled routes; may be stored in skin and then slowly released into the systemic circulation [24]. | Rapidly absorbed in humans following inhalation, but no estimates of fraction absorbed are available [24]. | Elimination appears to follow first-order kinetics, with elimination half-times in humans ranging from 6.4 to 16.5 hours, depending upon the specific pyrethroid and exposure route studied [24]. | ||
| Permethrin | Oral absorption factor of 0.70 suggested [25]. | Poor dermal absorption: ∼2% of applied dose absorbed/24 h [26]; 7.5% (scalp) and 1.9% (forearm) of applied dose [27]. | No Information. | No Information. | No Information. | No Information. |
| Cyfluthrin | No Information. | No Information. | Human data suggest ∼15% absorption [28]. | Human oral dosing produced t-½ of 6.4 h [28]. | No Information. | Human ½-lives of 6.9 h (c-DCCA), 6.2 h (t-DCCA), 5.3 h (FPBA) [28]. |
| Cypermethrin | Human volunteer study 27–57% (mean 36%) cypermethrin absorbed [29]. | No Information. | No Information. | Human oral dosing, urinary metabolites have mean ½-life of 16.5 h [29]. | Human dermal dosing, excretion rates peaked at 12–36 h, mean ½-life was 13 h [29]. | No Information. |
| Study | N | Age Range | Sample Collection | Collection Strategy | Pesticide Application | Collection Frequency | Analytes of Interest | References |
|---|---|---|---|---|---|---|---|---|
| NHEXAS-AZ (subset) | 21 | 5 to 12 years | December 1995 to March 1997 | Morning void | No | Once (in 3-day monitoring period) | AM, MDA, 1-Nap, TCPy | [45] |
| MNCPES | 102 | 3 to 13 years | Summer 1997 | Morning void | No | Days 3, 5, and 7 of sampling period | AM, MDA, 1-Nap, TCPy | [46] |
| CTEPP-NC | 130 | 2 to 5 years | July 2000 to March 2001 | Morning void, after lunch, after dinner/before bedtime | No | Over a 48-h period | 2,4-D, TCPy, PCP | [47,48] |
| CTEPP-OH | 127 | 2 to 5 years | April 2001 to November 2001 | Morning void, after lunch, after dinner/before bedtime | No | Over a 48-h period | 2,4-D, TCPy, 3-PBA, PCP, IMP | [48–50] |
| CHAM-QEA | 20 | 6 to 24 months | June to October 2002 | One overnight and one spot sample | No, but incidental exposure from proximity to farms | Once | DAPs | [51] |
| JAX | 9 | 4 to 6 years | August to October 2001 | Morning void | Yes, indoor as applied by residents | Once | TCPy, IMP, 3-PBA | [52] |
| CPPAES | 10 | 2 to 4 years | April 1999 to March 2001 | Morning void | Yes, indoor professional-applied ‘crack & crevice’ | Pre-application and days 1, 2, 3, 5, 7, 9, and 11 post-application | TCPy | [53] |
| PET | 6 | 5 to 12 years | Spring 2001 | Morning void | Yes, outdoor resident-applied turf treatment | Pre-application and days 1, 2, 4, and 8 post-application | IMP | [54] |
| DIYC | 3 | 1 to 3 years | November 1999 to January 2000 | Morning void and other spot samples | Yes, indoor, 2 professional ‘crack & crevice’ and 1 resident treatment | Days 3, 5, and 7 post-application | IMP | [55] |
| Study | Group | n | %Det | Mean | SD | GM | GSD | Min | 25th | 50th | 75th | 95th | Max | |
|---|---|---|---|---|---|---|---|---|---|---|---|---|---|---|
| TCPy | NHEXAS-AZ | ≤12 years | 21 | 100 | 12 | 7.6 | 9.3 | 2.2 | 2.0 | 5.7 | 12 | 14 | 26 | 30 |
| MNCPES | All | 263 | 92 | 9.2 | 7.7 | 6.6 | 2.3 | <1.4 | 4.0 | 7.2 | 12 | 23 | 45 | |
| CTEPP-NC | All | 129 | 98 | 7.5 | 10 | 5.5 | 2.1 | <1.0 | 3.8 | 5.3 | 8.4 | 16 | 100 | |
| CTEPP-OH | All | 123 | 100 | 5.9 | 3.5 | 4.9 | 1.9 | 1.2 | 3.1 | 5.2 | 7.8 | 12 | 15 | |
| JAX | All | 9 | 100 | 11 | 6.4 | 9.1 | 2.1 | 2.9 | 7.5 | 9.8 | 15 | 21 | 21 | |
| CPPAES | All | 81 | 93 | 8.0 | 4.7 | 6.4 | 2.1 | <1.0 | 4.5 | 7.7 | 11 | 18 | 20 | |
| NHANES | ≤12 years | 1245 | 90 | 4.7 | 6.1 | 2.6 | 3.2 | <0.4 | 1.3 | 2.8 | 6.0 | 15 | 64 | |
| 3-PBA | CTEPP-OH | All | 126 | 68 | 0.81 | 3.0 | 0.38 | 2.6 | <0.20 | <0.20 | 0.32 | 0.69 | 1.9 | 34 |
| JAX | All | 9 | 100 | 19.6 | 33 | 3.9 | 7.5 | 0.39 | 0.76 | 2.2 | 29 | 99 | 99 | |
| NHANES | ≤12 years | 679 | 79 | 1.4 | 10 | 0.36 | 3.7 | <0.10 | 0.13 | 0.34 | 0.78 | 3.8 | 254 | |
| IMP | PET | All | 30 | 77 | 1.3 | 1.6 | 0.75 | 2.8 | <0.22 | 0.39 | 0.62 | 1.5 | 5.5 | 6.2 |
| DIYC | All | 41 | 100 | 9.0 | 6.9 | 7.1 | 2.0 | 1.7 | 4.4 | 7.1 | 10 | 27 | 29 | |
| NHANES | ≤12 years | 1220 | 15 | NC | NC | NC | NC | <0.7 | <0.7 | <0.7 | <0.7 | 3.0 | 145 |
| Metabolite | Measure | NC Children | OH Children |
|---|---|---|---|
| 3-PBA | bR0.95 | –b | 13 |
| wR0.95 | – | 5.6 | |
| ICCa | – | 0.69 | |
| bR0.95 | 13 | 11 | |
| TCPy | wR0.95 | 6.5 | 14 |
| ICC | 0.65 | 0.44 | |
© 2011 by the authors; licensee MDPI, Basel, Switzerland. This article is an open-access article distributed under the terms and conditions of the Creative Commons Attribution license (http://creativecommons.org/licenses/by/3.0/).
Share and Cite
Egeghy, P.P.; Cohen Hubal, E.A.; Tulve, N.S.; Melnyk, L.J.; Morgan, M.K.; Fortmann, R.C.; Sheldon, L.S. Review of Pesticide Urinary Biomarker Measurements from Selected US EPA Children’s Observational Exposure Studies. Int. J. Environ. Res. Public Health 2011, 8, 1727-1754. https://doi.org/10.3390/ijerph8051727
Egeghy PP, Cohen Hubal EA, Tulve NS, Melnyk LJ, Morgan MK, Fortmann RC, Sheldon LS. Review of Pesticide Urinary Biomarker Measurements from Selected US EPA Children’s Observational Exposure Studies. International Journal of Environmental Research and Public Health. 2011; 8(5):1727-1754. https://doi.org/10.3390/ijerph8051727
Chicago/Turabian StyleEgeghy, Peter P., Elaine A. Cohen Hubal, Nicolle S. Tulve, Lisa J. Melnyk, Marsha K. Morgan, Roy C. Fortmann, and Linda S. Sheldon. 2011. "Review of Pesticide Urinary Biomarker Measurements from Selected US EPA Children’s Observational Exposure Studies" International Journal of Environmental Research and Public Health 8, no. 5: 1727-1754. https://doi.org/10.3390/ijerph8051727
APA StyleEgeghy, P. P., Cohen Hubal, E. A., Tulve, N. S., Melnyk, L. J., Morgan, M. K., Fortmann, R. C., & Sheldon, L. S. (2011). Review of Pesticide Urinary Biomarker Measurements from Selected US EPA Children’s Observational Exposure Studies. International Journal of Environmental Research and Public Health, 8(5), 1727-1754. https://doi.org/10.3390/ijerph8051727
