Thriving Through Stressful Life Events with Nature: A Mixed-Method Study on Tending Indoor Plants and Rumination Resilience
Abstract
1. Introduction
1.1. Overview
1.2. Rumination and Psychological Resilience
1.3. Nature Contact and Rumination Resilience
1.4. Restoration and Reflection
1.5. Tending to Indoor Plants as a Nature-Based Intervention
1.6. Current Study
2. Materials and Methods
2.1. Research Design
2.2. Participants
2.3. Measures
Covariates
2.4. Procedure
2.5. Analysis
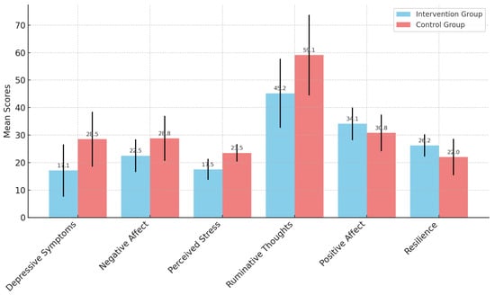
3. Results
3.1. Quantitative Findings
3.1.1. Psychological Well-Being Outcomes at Post-Intervention
3.1.2. Group Differences in Pre–Post Intervention Scores
3.1.3. Covariate
3.2. Qualitative Findings
3.2.1. Offers a Slice of Nature by Bringing the Outside in
Build Connection with the Larger Natural World
‘be in nature for a bit, you can’t always do that. … having sort of slice of that in the home … makes things feel a bit cosier and a bit stress-free’.(002)
‘It’s just nice to have. Like a plant in my house … I don’t have a garden or a balcony’.(006)
‘looking after a plant, you kind of realise how fragile it was … you’re in nature … more of an appreciation for … when you see it thriving … of its own accord … you know how much care it takes to just look after this one little plant’.(002)
‘having an indoor plant can help you to reconnect with everything that matters … tend to take nature for granted … important to recognise … we need to do to protect the environment … we didn’t get this far without nature, so we need to give it back as much as we took’.(015)
‘when my cat was like trying to eat the plant … I became very protective over the plant so I was no … developed the connection to it over time’.(015)
First Steps in Building a Bridge to Nature
‘looking after my parents and being their caregiver, has meant that I’m kind of stuck inside a lot … plant is sort of like a bridge towards being with nature properly’.(016)
‘when I was repotting it, I was kind of looking out the window at this big Willow tree … kind of wholesome and at peace … I’m bonding with nature … there was a thunderstorm … I’m dealing with nature, but I’m still inside in the safe, cosy warmth’.(013)
‘Nice way to like to interact indirectly with kind of like the nature … It’s kind of like meeting it halfway and then it’s trying to get you to do something outside today … do stuff and break the cycle of being isolated’.(004)
A First Step, but Not the Only Stop
‘connection to nature … for me … is more than just that the plants that I have in my house’.(006)
‘I’m still a bit preoccupied. So I haven’t noticed. Nature quite so much’.(014)
‘I’ve only got the one plant in London … I don’t feel it’s really made me feel that connected to nature … I’d wanna escape more to the countryside’.(021)
3.2.2. Fosters an Emotionally Regulating Personal Sanctuary
Positively Enhancing Moods
A Structured Coping Mechanism via Distraction
‘A chore to distract your brain from repetitive thoughts … I think depending on the type of thoughts, I might need a bigger plant … bigger plant, bigger responsibility, bigger distraction’.(005)
‘whole distraction of look at me, I’m doing something that is being appreciated by another living being … having something to kind of interrupt that cycle and make me change my behaviour or my mood pattern is really, really important’.(013)
‘It distracted me. But I’ve still got the same stresses in life … had a couple of deaths in my family … those are more difficult to get away’.(021)
Sense of Empowerment and Agency
‘bit of responsibility … keeping something alive … puts things into perspective … makes your problems in your life feel a little bit less. Serious … kind of a base and build from that … you’re looking after the plant … I’ve sorted out this thing … move on to other things rather than just getting swamped by life’.(002)
‘I’ve really been feeling kind of a lack of control over kind of my life and my situation. And so it was really nice to kind of feel that I had something that was just mine that I could control’.(013)
‘I’ve been struggling a lot recently with dysphoria … bit of a source of depression and anxiety … comfort in like tending to a plant because you know how to look after it … sometimes it’s hard to keep on top of … everything … but this is something that is manageable and you can kind of start there…move on and see what else we can do’.(002)
Momentary Constant Respite
‘Whenever I took the time to take care of the plant it made me like stop and think and, chill out … be applied to … repetitive thinking … And then think of where you’re going to go next from there … it helps you to slow down a little bit’.(001)
‘it just made me feel quite calm in the moment … nice to take a moment out to sort of out of a work routine … If getting stuck with those repetitive thoughts. Which sometimes can like help work through problems’.(022)
‘It’s structure I struggle without. Structure when I’m overwhelmed … something persistent in the future is looking after the plant’.(014)
‘it being quite a hardy plant … But you have that kind of delay period that if you are in a bad place, it is something you can come back to … less dependence on you’.(004)
‘like my work life. If that’s going well, that’s probably going to have more of an effect on my mood than like looking after the plant’.(006)
3.2.3. Plants Seeds for Improving Self-Care, Personal Growth, and Introspection
Symbolic Representation of Renewal
‘the initial like neglect reflected some of the neglect of myself that has been going on for a while … good analogy for us as people, isn’t it …’
‘… then I also viewed things like that as a positive in a sense, because sometimes the thing that’s dying off is not always a negative thing … sometimes is growth … maybe that leaf came off ‘cause, it was already tired and then it was. Waiting for other bits to grow … good representation of how I’ve been feeling over the last few months …’
‘… probably shed a leaf in the whole last six months of up and down mental health … a resilience in staying this long on this slightly doomed planet … this plant, all it has to do is just grow … probably same kind of journey I want to take now … just focusing on the things that feel more innate as opposed to all the things that we pile on as a society’.(017)
Mirroring Psychological Resilience
‘plants are pretty resilient … go through a lot in nature … thrive despite it all … still needing a lot of tending to … interesting way to look resilient … You can thrive through adversity … But, sometimes you do need to be kind to yourself’.(002)
‘the plant signifies how you are in your daily life as well, I guess coping, and I think how you are in daily life shows how you deal with stressors, daily or eventful’.(021)
‘It’s more case of like seeing what works and what doesn’t … kind of not giving up … over watering is the biggest reason why plants die … your kind of tending to stuff isn’t bad just means … reassess the way you’re approaching it’.(018)
A First Step, but Not the Only Stop
‘It’s a good way to act as a steppingstone … a useful tool … like the foundations. Of building resilience … even though I didn’t like to observe it myself’.(001)
‘I’ve ended up being quite resilient. But the plant has still died, whereas now sort of, I feel like I’ve not been dealing with things as well … but the plants come out of it great … perhaps that’s because before I needed less of a distraction’.(013)
‘useful in building my resilience in a way, it not exactly the sort of be all and end all … having a purpose helps with the relationship between resilience and tending to indoor plants’.(016)
4. Discussion
4.1. Summary of Quantitative and Qualitative Results
4.2. Interpretation
4.3. Implications
4.4. Limitations
4.5. Future Research
5. Conclusions
Supplementary Materials
Author Contributions
Funding
Institutional Review Board Statement
Informed Consent Statement
Data Availability Statement
Conflicts of Interest
References
- Dohrenwend, B.P. Inventorying stressful life events as risk factors for psychopathology: Toward resolution of the problem of intracategory variability. Psychol. Bull. 2006, 132, 477–495. [Google Scholar] [CrossRef] [PubMed]
- Carlson, D. Stressful Life Events. In Encyclopedia of Quality of Life and Well-Being Research; Springer: Dordrecht, The Netherlands, 2014; pp. 6362–6364. [Google Scholar] [CrossRef]
- Lazarus, R.S.; Folkman, S. Stress, Appraisal, and Coping; Springer Publishing Company: Berlin/Heidelberg, Germany, 1984. [Google Scholar]
- Friedline, T.; Chen, Z.; Morrow, S.P. Families’ financial stress & well-being: The importance of the economy and economic environments. J. Fam. Econ. Issues 2021, 42, 34–51. [Google Scholar] [PubMed]
- Matud, M.P.; Díaz, A.; Bethencourt, J.M.; Ibáñez, I. Stress and psychological distress in emerging adulthood: A gender analysis. J. Clin. Med. 2020, 9, 2859. [Google Scholar] [CrossRef] [PubMed]
- King’s College London. Cost-of-Living Crisis Is Worsening the Mental Health of Most Vulnerable. 19 October 2023. Available online: https://www.kcl.ac.uk/news/cost-of-living-crisis-is-worsening-the-mental-health-of-most-vulnerable (accessed on 23 August 2024).
- Mental Health Foundation. Cost of Living and Mental Heath. 2023. Available online: https://www.mentalhealth.org.uk/explore-mental-health/cost-of-living (accessed on 23 August 2024).
- Bowling, G. How the Cost-of-Living Crisis Is Affecting Mental Health in the UK|10 Ways to Tackle Money Worries. 2021. Available online: https://www.nuffieldhealth.com/article/how-the-cost-of-living-crisis-is-affecting-mental-health-in%20the-uk (accessed on 24 July 2024).
- Hassanzadeh, A.; Heidari, Z.; Feizi, A.; Hassanzadeh Keshteli, A.; Roohafza, H.; Afshar, H.; Adibi, P. Association of Stressful Life Events with Psychological Problems: A Large-Scale Community-Based Study Using Grouped Outcomes Latent Factor Regression with Latent Predictors. Comput. Math. Methods Med. 2017, 2017, 3457103. [Google Scholar] [CrossRef]
- Helmreich, I.; Kunzler, A.; Chmitorz, A.; König, J.; Binder, H.; Wessa, M.; Lieb, K. Psychological interventions for resilience enhancement in adults. Cochrane Database Syst. Rev. 2017, 2017, CD012527. [Google Scholar] [CrossRef]
- Ouyang, M.; Gui, D.; Cai, X.; Yin, Y.; Mao, X.; Huang, S.; Zeng, P.; Wang, P. Stressful Life Events and Subjective Well-Being in Vocational School Female Adolescents: The Mediating Role of Depression and the Moderating Role of Perceived Social Support. Front. Psychol. 2021, 11, 603511. [Google Scholar] [CrossRef]
- Jimenez, M.P.; DeVille, N.V.; Elliott, E.G.; Schiff, J.E.; Wilt, G.E.; Hart, J.E.; James, P. Associations between nature exposure and health: A review of the evidence. Int. J. Environ. Res. Public Health 2021, 18, 4790. [Google Scholar] [CrossRef]
- Department for Environment, Food & Rural Affairs. 11 January 2018. Available online: https://www.gov.uk/government/publications/25-year-environment-plan (accessed on 25 July 2024).
- Ulrich, R.S.; Simons, R.F.; Losito, B.D.; Fiorito, E.; Miles, M.A.; Zelson, M. Stress recovery during exposure to natural and urban environments. J. Environ. Psychol. 1991, 11, 201–230. [Google Scholar] [CrossRef]
- Bratman, G.N.; Young, G.; Mehta, A.; Lee Babineaux, I.; Daily, G.C.; Gross, J.J. Affective benefits of nature contact: The role of rumination. Front. Psychol. 2021, 12, 643866. [Google Scholar] [CrossRef]
- Hyvönen, K.; Salonen, K.; Paakkolanvaara, J.-V.; Väkeväinen, P.; Korpela, K. Effects of nature-based intervention in the treatment of depression: A multi-center, randomized controlled trial. J. Environ. Psychol. 2023, 85, 101950. [Google Scholar] [CrossRef]
- Van Den Berg, A.E.; Maas, J.; Verheij, R.A.; Groenewegen, P.P. Green space as a buffer between stressful life events and health. Soc. Sci. Med. 2010, 70, 1203–1210. [Google Scholar] [CrossRef]
- Marselle, M.R.; Warber, S.L.; Irvine, K.N. Growing resilience through interaction with nature: Can group walks in nature buffer the effects of stressful life events on mental health? Int. J. Environ. Res. Public Health 2019, 16, 986. [Google Scholar] [CrossRef]
- Michl, L.C.; McLaughlin, K.A.; Shepherd, K.; Nolen-Hoeksema, S. Rumination as a mechanism linking stressful life events to symptoms of depression and anxiety: Longitudinal evidence in early adolescents and adults. J. Abnorm. Psychol. 2013, 122, 339–352. [Google Scholar] [CrossRef]
- García, F.E.; Duque, A.; Cova, F. The four faces of rumination to stressful events: A psychometric analysis. Psychol. Trauma Theory Res. Pract. Policy 2017, 9, 758–765. [Google Scholar] [CrossRef] [PubMed]
- Ruscio, A.M.; Gentes, E.L.; Jones, J.D.; Hallion, L.S.; Coleman, E.S.; Swendsen, J. Rumination predicts heightened responding to stressful life events in major depressive disorder and generalized anxiety disorder. J. Abnorm. Psychol. 2015, 124, 17–26. [Google Scholar] [CrossRef]
- Southwick, S.M.; Bonanno, G.A.; Masten, A.S.; Panter-Brick, C.; Yehuda, R. Resilience definitions, theory, and challenges: Interdisciplinary perspectives. Eur. J. Psychotraumatol. 2014, 5, 25338. [Google Scholar] [CrossRef] [PubMed]
- Chmitorz, A.; Kunzler, A.; Helmreich, I.; Tüscher, O.; Kalisch, R.; Kubiak, T.; Lieb, K. Intervention studies to foster resilience–A systematic review and proposal for a resilience framework in future intervention studies. Clin. Psychol. Rev. 2018, 59, 78–100. [Google Scholar] [CrossRef] [PubMed]
- Huynh, Q.; Craig, W.; Janssen, I.; Pickett, W. Exposure to public natural space as a protective factor for emotional well-being among young people in Canada. BMC Public Health 2013, 13, 407. [Google Scholar] [CrossRef]
- Moll, A.; Collado, S.; Staats, H.; Corraliza, J.A. Restorative effects of exposure to nature on children and adolescents: A systematic review. J. Environ. Psychol. 2022, 84, 101884. [Google Scholar] [CrossRef]
- Wells, N.M. The natural environment as a resilience factor: Nature’s role as a buffer of the effects of risk and adversity. In Nature and Psychology; Springer: Cham, Switzerland, 2021. [Google Scholar]
- Xu, Y.; Wu, J.; Li, Q.; Zeng, W.; Wu, C.; Yang, Y.; Chen, Z.; Xu, Z. The Impact of Intrusive Rumination on College Students’ Creativity During the COVID-19 Pandemic: The Mediating Effect of Post-traumatic Growth and the Moderating Role of Psychological Resilience. Front. Psychol. 2022, 13, 789844. [Google Scholar] [CrossRef]
- Bucknell, K.J.; Kangas, M.; Crane, M.F. Adaptive self-reflection and resilience: The moderating effects of rumination on insight as a mediator. Personal. Individ. Differ. 2022, 185, 111234. [Google Scholar] [CrossRef]
- Chbeir, S.; Carrión, V. Resilience by design: How nature, nurture, environment, and microbiome mitigate stress and allostatic load. World J. Psychiatry 2023, 13, 144–159. [Google Scholar] [CrossRef] [PubMed]
- White, M.P.; Hartig, T.; Martin, L.; Pahl, S.; Berg, A.E.; Wells, N.M.; Bosch, M. Nature-based biopsychosocial resilience: An integrative theoretical framework for research on nature and health. Environ. Int. 2023, 181, 108234. [Google Scholar] [CrossRef]
- Chawla, L.; Keena, K.; Pevec, I.; Stanley, E. Green schoolyards as havens from stress and resources for resilience in childhood and adolescence. Health Place 2014, 28, 1–13. [Google Scholar] [CrossRef] [PubMed]
- Wells, N.M.; Evans, G.W. Nearby Nature: A Buffer of Life Stress among Rural Children. Environ. Behav. 2003, 35, 311–330. [Google Scholar] [CrossRef]
- Tzankova, I.I.; O’Sullivan, C.; Facciuto, A.I.; Sacchetti, L.; Fini, F.; Cicognani, E.; Setti, A. Engagement with Nature and the Home Environment: Wellbeing and Proenvironmental Behavior among Irish and Italian University Students during the COVID-19 Emergency. Int. J. Environ. Res. Public Health 2023, 20, 6432. [Google Scholar] [CrossRef]
- Hanna, P.; Wijesinghe, S.; Paliatsos, I.; Walker, C.; Adams, M.; Kimbu, A. Active engagement with nature: Outdoor adventure tourism, sustainability and wellbeing. J. Sustain. Tour. 2019, 27, 1355–1373. [Google Scholar] [CrossRef]
- Rigolon, A.; Browning, M.H.E.M.; McAnirlin, O.; Yoon, H. Green Space and Health Equity: A Systematic Review on the Potential of Green Space to Reduce Health Disparities. Int. J. Environ. Res. Public Health 2021, 18, 2563. [Google Scholar] [CrossRef]
- Suchy, Y.; Niermeyer, M.A.; Ziemnik, R.E. Assessment of Executive Functions in Research. In Executive Functions in Health and Disease; Elsevier: Amsterdam, The Netherlands, 2017; pp. 197–216. [Google Scholar]
- Kaplan, R.; Kaplan, S. The Experience of Nature: A Psychological Perspective; Cambridge University Press: Cambridge, UK, 1989. [Google Scholar]
- Masten, A.S. Ordinary Magic: Resilience in Development; Paperback ed.; Guilford Press: New York, NY, USA, 2015. [Google Scholar]
- Kaplan, S.; Berman, M.G. Directed attention as a common resource for executive functioning and self-regulation. Perspect. Psychol. Sci. 2010, 5, 43–57. [Google Scholar] [CrossRef]
- Kaplan, S. The restorative benefits of nature: Toward an integrative framework. J. Environ. Psychol. 1995, 15, 169–182. [Google Scholar] [CrossRef]
- Bong, C.L.; Fraser, K.; Oriot, D. Cognitive Load and Stress in Simulation. In Comprehensive Healthcare Simulation: Pediatrics; Grant, V.J., Cheng, A., Eds.; Comprehensive Healthcare Simulation; Springer International Publishing: Cham, Switzerland, 2016; pp. 3–17. [Google Scholar]
- Kuo, F.E. Coping with Poverty: Impacts of Environment and Attention in the Inner City. Environ. Behav. 2001, 33, 5–34. [Google Scholar] [CrossRef]
- Von Lindern, E.; Lymeus, F.; Hartig, T. The restorative environment: A complementary concept for salutogenesis studies. In The Handbook of Salutogenesis; Springer: New York, NY, USA, 2017; pp. 181–195. [Google Scholar]
- Cimprich, B.; Ronis, D.L. An Environmental Intervention to Restore Attention in Women with Newly Diagnosed Breast Cancer. Cancer Nurs. 2003, 26, 284–292. [Google Scholar] [CrossRef]
- Keniger, L.E.; Gaston, K.J.; Irvine, K.N.; Fuller, R.A. What are the benefits of interacting with nature? Int. J. Environ. Res. Public Health 2013, 10, 913–935. [Google Scholar] [CrossRef] [PubMed]
- Capaldi, C.A.; Passmore, H.A.; Nisbet, E.K.; Zelenski, J.M.; Dopko, R.L. Flourishing in nature: A review of the benefits of connecting with nature and its application as a wellbeing intervention. Int. J. Wellbeing 2015, 5, 1–16. [Google Scholar] [CrossRef]
- Marselle, M.R.; Hartig, T.; Cox, D.T.; Bell, S.; Knapp, S.; Lindley, S.; Bonn, A. Pathways linking biodiversity to human health: A conceptual framework. Environ. Int. 2021, 150, 106420. [Google Scholar] [CrossRef] [PubMed]
- Lahart, I.; Darcy, P.; Gidlow, C.; Calogiuri, G. The effects of green exercise on physical and mental wellbeing: A systematic review. Int. J. Environ. Res. Public Health 2019, 16, 1352. [Google Scholar] [CrossRef] [PubMed]
- Ideno, Y.; Hayashi, K.; Abe, Y.; Ueda, K.; Iso, H.; Noda, M.; Lee, J.-S.; Suzuki, S. Blood pressure-lowering effect of Shinrin-yoku (Forest bathing): A systematic review and meta-analysis. BMC Complement. Altern. Med. 2017, 17, 409. [Google Scholar] [CrossRef] [PubMed]
- Li, Q. Effects of forest environment (Shinrin-yoku/Forest bathing) on health promotion and disease prevention—The Establishment of “Forest Medicine”. Environ. Health Prev. Med. 2022, 27, 43. [Google Scholar] [CrossRef]
- Li, Q.; Morimoto, K.; Nakadai, A.; Inagaki, H.; Katsumata, M.; Shimizu, T.; Kawada, T. Forest bathing enhances human natural killer activity and expression of anti-cancer proteins. Int. J. Immunopathol. Pharmacol. 2007, 20, 3–8. [Google Scholar] [CrossRef]
- Haller, R.L.; Capra, C.L.; Kennedy, K. The Profession and Practice of Horticultural Therapy; CRC Press: Boca Raton, FL, USA; Taylor & Francis Group: Boca Raton, FL, USA, 2019. [Google Scholar]
- Wichrowski, M.J. Theories that inform horticultural therapy practice. In The Profession and Practice of Horticultural Therapy; CRC Press: Boca Raton, FL, USA, 2019; pp. 145–172. [Google Scholar]
- Zhou, C.; Zeng, C. The Role of Horticultural Therapy in Promoting Physical and Mental Health. Res. Health Sci. 2023, 8, p43. [Google Scholar] [CrossRef]
- Pretty, J.; Peacock, J.; Sellens, M.; Griffin, M. The mental and physical health outcomes of green exercise. Int. J. Environ. Health Res. 2005, 15, 319–337. [Google Scholar] [CrossRef] [PubMed]
- Lin, Y.-J.; Lin, C.Y.; Li, Y.-C. Planting Hope in Loss and Grief: Self-Care Applications of Horticultural Therapy for Grief Caregivers in Taiwan. Death Stud. 2014, 38, 603–611. [Google Scholar] [CrossRef] [PubMed]
- Machado, M.M.; Swank, J.M. Therapeutic gardening: A counseling approach for bereavement from suicide. Death Stud. 2019, 43, 629–633. [Google Scholar] [CrossRef] [PubMed]
- Camilleri, L.; Kaplan, S. Plantopedia: The Definitive Guide to Houseplants; Smith Street Books: Melbourne, Australia, 2020. [Google Scholar]
- Michels, N.; Debra, G.; Mattheeuws, L.; Hooyberg, A. Indoor nature integration for stress recovery and healthy eating: A picture experiment with plants versus green color. Environ. Res. 2022, 212, 113643. [Google Scholar] [CrossRef]
- Wyles, K.J.; White, M.P.; Hattam, C.; Pahl, S.; King, H.; Austen, M. Are some natural environments more psychologically beneficial than others? The importance of type and quality on connectedness to nature and psychological restoration. Environ. Behav. 2019, 51, 111–143. [Google Scholar] [CrossRef]
- Hall, C.; Knuth, M. An update of the literature supporting the well-being benefits of plants: A review of the emotional and mental health benefits of plants. J. Environ. Hortic. 2019, 37, 30–38. [Google Scholar] [CrossRef]
- Ma, J. Interaction with nature indoor: Psychological impacts of houseplants care behaviour on mental well-being and mindfulness in Chinese adults. Int. J. Environ. Res. Public Health 2022, 19, 15810. [Google Scholar] [CrossRef]
- Sparke, P. Nature Inside: Plants and Flowers in the Modern Interior; Yale University Press: New Haven, CT, USA, 2020. [Google Scholar]
- Bringslimark, T.; Hartig, T.; Patil, G.G. Psychological benefits of indoor plants in workplaces: Putting experimental results into context. HortScience 2007, 42, 581–587. [Google Scholar] [CrossRef]
- Bringslimark, T.; Hartig, T.; Patil, G.G. The psychological benefits of indoor plants: A critical review of the experimental literature. J. Environ. Psychol. 2009, 29, 422–433. [Google Scholar] [CrossRef]
- Najafi, N.; Keshmiri, H. The relationship between classroom indoor plants and happiness of female high school students. Int. J. Sch. Health 2019, 6, 1–4. [Google Scholar] [CrossRef]
- Lee, M.S.; Lee, J.; Park, B.J.; Miyazaki, Y. Interaction with indoor plants may reduce psychological and physiological stress by suppressing autonomic nervous system activity in young adults: A randomized crossover study. J. Physiol. Anthropol. 2015, 34, 21. [Google Scholar] [CrossRef] [PubMed]
- Toyoda, M.; Yokota, Y.; Barnes, M.; Kaneko, M. Potential of a small indoor plant on the desk for reducing office workers’ stress. HortTechnology 2020, 30, 55–63. [Google Scholar] [CrossRef]
- Han, K.T.; Ruan, L.W.; Liao, L.S. Effects of indoor plants on human functions: A systematic review with meta-analyses. Int. J. Environ. Res. Public Health 2022, 19, 7454. [Google Scholar] [CrossRef]
- Green, C. Indoor Plants, Burnout Mitigation and the Wellness of Healthcare Workers. Master’s Thesis, Cornell University, Ithaca, NY, USA, 2023. [Google Scholar]
- Hassan, A.; Deshun, Z. Promoting adult health: The neurophysiological benefits of watering plants and engaging in mental tasks within designed environments. BMC Psychol. 2023, 11, 310. [Google Scholar] [CrossRef]
- Chamola, A.; Apurva, S.; Rao, A.; Ghosh, C. Psychological and Physiological Impact of Indoor Plants and Their Maintenance. Int. J. Indian Psychol. 2022, 10. [Google Scholar] [CrossRef]
- Robinson, J.M.; Jorgensen, A.; Cameron, R.; Brindley, P. Let Nature Be Thy Medicine: A Socioecological Exploration of Green Prescribing in the UK. Int. J. Environ. Res. Public Health 2020, 17, 3460. [Google Scholar] [CrossRef] [PubMed]
- Creswell, J.W. Educational Research: Planning, Conducting, and Evaluating Quantitative and Qualitative Research, 4th ed.; Allyn & Bacon: Boston, MA, USA, 2012. [Google Scholar]
- Creswell, J.W. Research Design: Qualitative, Quantitative, and Mixed Methodes Approaches, 2nd ed.; Sage Publications: Los Angeles, CA, USA, 2003. [Google Scholar]
- Fishman, D. The Case for Pragmatic Psychology; NYU Press: New York, NY, USA, 1999. [Google Scholar]
- Maxcy, S.J. Pragmatic threads in mixed methods research in the social sciences: The search for multiple modes of inquiry and the end of the philosophy of formalism. In Handbook of Mixed Methods in Social and Behavioral Research; Sage Publication: Thousand Oaks, CA, USA, 2003; pp. 51–89. [Google Scholar]
- Tashakkori, A.; Teddlie, C. Mixed Methodology: Combining Qualitative and Quantitative Approaches; Sage: Los Angeles, CA, USA, 1998; Volume 46. [Google Scholar]
- Parvaiz, G.S.; Mufti, O.; Wahab, M. Pragmatism for mixed method research at higher education level. Bus. Econ. Rev. 2016, 8, 67–79. [Google Scholar] [CrossRef]
- Maarouf, H. Pragmatism as a supportive paradigm for the mixed research approach: Conceptualizing the ontological, epistemological, and axiological stances of pragmatism. Int. Bus. Res. 2019, 12, 1–12. [Google Scholar] [CrossRef]
- Brugha, T.S.; Cragg, D. The List of Threatening Experiences: The reliability and validity of a brief life events questionnaire. Acta Psychiatr. Scand. 1990, 82, 77–81. [Google Scholar] [CrossRef]
- Stegenga, B.T.; Nazareth, I.; Grobbee, D.E.; Torres-González, F.; Švab, I.; Maaroos, H.-I.; Xavier, M.; Saldivia, S.; Bottomley, C.; King, M.; et al. Recent life events pose greatest risk for onset of major depressive disorder during mid-life. J. Affect. Disord. 2012, 136, 505–513. [Google Scholar] [CrossRef]
- Brown, G.W.; Harris, T.O. (Eds.) Life Events and Illness; 1. Print.; Guilford Pr: New York, NY, USA, 1989. [Google Scholar]
- Min, S.; Mazurka, R.; Pizzagalli, D.A.; Whitton, A.E.; Milev, R.V.; Bagby, R.M.; Kennedy, S.H.; Harkness, K.L. Stressful Life Events and Reward Processing in Adults: Moderation by Depression and Anhedonia. Depress. Anxiety 2024, 2024, 8853631. [Google Scholar] [CrossRef]
- Britton, E.; Kindermann, G.; Domegan, C.; Carlin, C. Blue care: A systematic review of blue space interventions for health and wellbeing. Health Promot. Int. 2020, 35, 50–69. [Google Scholar] [CrossRef] [PubMed]
- Gritzka, S.; MacIntyre, T.E.; Dörfel, D.; Baker-Blanc, J.L.; Calogiuri, G. The Effects of Workplace Nature-Based Interventions on the Mental Health and Well-Being of Employees: A Systematic Review. Front. Psychiatry 2020, 11, 323. [Google Scholar] [CrossRef] [PubMed]
- Kondo, M.C.; Oyekanmi, K.O.; Gibson, A.; South, E.C.; Bocarro, J.; Hipp, J.A. Nature Prescriptions for Health: A Review of Evidence and Research Opportunities. Int. J. Environ. Res. Public Health 2020, 17, 4213. [Google Scholar] [CrossRef] [PubMed]
- Maund, P.R.; Irvine, K.N.; Reeves, J.; Strong, E.; Cromie, R.; Dallimer, M.; Davies, Z.G. Wetlands for Wellbeing: Piloting a Nature-Based Health Intervention for the Management of Anxiety and Depression. Int. J. Environ. Res. Public Health 2019, 16, 4413. [Google Scholar] [CrossRef]
- Kring, L.; Iversen, E.; Ibsen, B.; Fehsenfeld, M. Exploring the impact of stressful life events on quality of life: Meaning making and narrative reconstruction. Int. J. Qual. Stud. Health Well-Being 2024, 19, 2330117. [Google Scholar] [CrossRef]
- Kang, M.; Ragan, B.G.; Park, J.-H. Issues in Outcomes Research: An Overview of Randomization Techniques for Clinical Trials. J. Athl. Train. 2008, 43, 215–221. [Google Scholar] [CrossRef]
- Krauss, A. Assessing the Overall Validity of Randomised Controlled Trials. Int. Stud. Philos. Sci. 2021, 34, 159–182. [Google Scholar] [CrossRef]
- Campbell-Sills, L.; Stein, M.B. Psychometric analysis and refinement of the connor–davidson resilience scale (CD-RISC): Validation of a 10-item measure of resilience. J. Trauma. Stress 2007, 20, 1019–1028. [Google Scholar] [CrossRef]
- Gonzalez, S.P.; Moore, E.W.G.; Newton, M.; Galli, N.A. Validity and reliability of the Connor-Davidson Resilience Scale (CD-RISC) in competitive sport. Psychol. Sport Exerc. 2016, 23, 31–39. [Google Scholar] [CrossRef]
- Waddimba, A.C.; Baker, B.M.; Pogue, J.R.; McAuliffe, M.P.; Bennett, M.M.; Baxter, R.D.; Warren, A.M. Psychometric validity and reliability of the 10-and 2-item Connor–Davidson resilience scales among a national sample of Americans responding to the COVID-19 pandemic: An item response theory analysis. Qual. Life Res. 2022, 31, 2819–2836. [Google Scholar] [CrossRef] [PubMed]
- Olsen, L.R.; Mortensen, E.L.; Bech, P. Prevalence of major depression and stress indicators in the Danish general population. Acta Psychiatr. Scand. 2004, 109, 96–103. [Google Scholar] [CrossRef]
- Bech, P.; Timmerby, N.; Martiny, K.; Lunde, M.; Soendergaard, S. Psychometric evaluation of the Major Depression Inventory (MDI) as depression severity scale using the LEAD (Longitudinal Expert Assessment of All Data) as index of validity. BMC Psychiatry 2015, 15, 190. [Google Scholar] [CrossRef]
- Chen, Y.; Fang, X.; Shuai, X.; Fritzsche, K.; Leonhart, R.; Hoschar, S.; Li, L.; Ladwig, K.-H.; Ma, W.; Wu, H. Psychometric Evaluation of the Major Depression Inventory (MDI) as a Depression Severity Scale in Chinese Patients with Coronary Artery Disease. Findings From the MEDEA FAR-EAST Study. Front. Psychiatry 2019, 10, 493. [Google Scholar] [CrossRef] [PubMed]
- Fountoulakis, K.; Iacovides, A.; Kleanthous, S.; Samolis, S.; Gougoulias, K.; Tsiptsios, I.; Kaprinis, G.; Bech, P. Reliability, validity and psychometric properties of the Greek translation of the Major Depression Inventory. BMC Psychiatry 2003, 3, 2. [Google Scholar] [CrossRef]
- Olsen, L.R.; Jensen, D.V.; Noerholm, V.; Martiny, K.; Bech, P. The internal and external validity of the Major Depression Inventory in measuring severity of depressive states. Psychol. Med. 2003, 33, 351–356. [Google Scholar] [CrossRef]
- Nielsen, M.G.; Ørnbøl, E.; Bech, P.; Vestergaard, M.; Christensen, K.S. The criterion validity of the web-based Major Depression Inventory when used on clinical suspicion of depression in primary care. Clin. Epidemiol. 2017, 9, 355–365. [Google Scholar] [CrossRef] [PubMed]
- Watson, D.; Clark, L.A.; Tellegen, A. Development and validation of brief measures of positive and negative affect: The PANAS scales. J. Pers. Soc. Psychol. 1988, 54, 1063–1070. [Google Scholar] [CrossRef]
- Crawford, J.R.; Henry, J.D. The Positive and Negative Affect Schedule (PANAS): Construct validity, measurement properties and normative data in a large non-clinical sample. Br. J. Clin. Psychol. 2004, 43, 245–265. [Google Scholar] [CrossRef]
- Merz, E.L.; Malcarne, V.L.; Roesch, S.C.; Ko, C.M.; Emerson, M.; Roma, V.G.; Sadler, G.R. Psychometric properties of Positive and Negative Affect Schedule (PANAS) original and short forms in an African American community sample. J. Affect. Disord. 2013, 151, 942–949. [Google Scholar] [CrossRef]
- Thompson, E.R. Development and Validation of an Internationally Reliable Short-Form of the Positive and Negative Affect Schedule (PANAS). J. Cross-Cult. Psychol. 2007, 38, 227–242. [Google Scholar] [CrossRef]
- Cohen, S.; Kamarck, T.; Mermelstein, R. A Global Measure of Perceived Stress. J. Health Soc. Behav. 1983, 24, 385. [Google Scholar] [CrossRef] [PubMed]
- Anwer, S.; Manzar, M.D.; Alghadir, A.H.; Salahuddin, M.; Abdul Hameed, U. Psychometric Analysis of the Perceived Stress Scale Among Healthy University Students. Neuropsychiatr. Dis. Treat. 2020, 16, 2389–2396. [Google Scholar] [CrossRef]
- Lee, E.-H. Review of the Psychometric Evidence of the Perceived Stress Scale. Asian Nurs. Res. 2012, 6, 121–127. [Google Scholar] [CrossRef]
- Mitchell, A.M.; Crane, P.A.; Kim, Y. Perceived stress in survivors of suicide: Psychometric properties of the Perceived Stress Scale. Res. Nurs. Health 2008, 31, 576–585. [Google Scholar] [CrossRef] [PubMed]
- Mozumder, M.K. Reliability and validity of the Perceived Stress Scale in Bangladesh. PLoS ONE 2022, 17, e0276837. [Google Scholar] [CrossRef]
- Baik, S.H.; Fox, R.S.; Mills, S.D.; Roesch, S.C.; Sadler, G.R.; Klonoff, E.A.; Malcarne, V.L. Reliability and validity of the Perceived Stress Scale-10 in Hispanic Americans with English or Spanish language preference. J. Health Psychol. 2019, 24, 628–639. [Google Scholar] [CrossRef]
- Treynor, W.; Gonzalez, R.; Nolen-Hoeksema, S. Rumination Reconsidered: A Psychometric Analysis. Cogn. Ther. Res. 2003, 27, 247–259. [Google Scholar] [CrossRef]
- Nolen-Hoeksema, S.; Morrow, J. A prospective study of depression and posttraumatic stress symptoms after a natural disaster: The 1989 Loma Prieta earthquake. J. Pers. Soc. Psychol. 1991, 61, 115–121. [Google Scholar] [CrossRef]
- Roelofs, J.; Muris, P.; Huibers, M.; Peeters, F.; Arntz, A. On the measurement of rumination: A psychometric evaluation of the ruminative response scale and the rumination on sadness scale in undergraduates. J. Behav. Ther. Exp. Psychiatry 2006, 37, 299–313. [Google Scholar] [CrossRef] [PubMed]
- Just, N.; Alloy, L.B. The response styles theory of depression: Tests and an extension of the theory. J. Abnorm. Psychol. 1997, 106, 221–229. [Google Scholar] [CrossRef]
- Nolen-Hoeksema, S.; Davis, C.G. “Thanks for sharing that”: Ruminators and their social support networks. J. Pers. Soc. Psychol. 1999, 77, 801–814. [Google Scholar] [CrossRef]
- Townshend, K.; Hajhashemi, K. Ruminative Response Scale (RRS). In Handbook of Assessment in Mindfulness Research; Medvedev, O.N., Krägeloh, C.U., Siegert, R.J., Singh, N.N., Eds.; Springer International Publishing: Cham, Switzerland, 2023; pp. 1–19. [Google Scholar]
- Liang, L.; Lee, Y.-H. Factor Structure of the Ruminative Response Scale and Measurement Invariance across Gender and Age among Chinese Adolescents. Adv. Appl. Sociol. 2019, 09, 193–207. [Google Scholar] [CrossRef]
- Lopes, S.; Lima, M.; Silva, K. Nature can get it out of your mind: The rumination reducing effects of contact with nature and the mediating role of awe and mood. J. Environ. Psychol. 2020, 71, 101489. [Google Scholar] [CrossRef]
- Ingulli, K.; Lindbloom, G. Connection to nature and psychological resilience. Ecopsychology 2013, 5, 52–55. [Google Scholar] [CrossRef]
- Nisbet, E.K.; Zelenski, J.M. The NR-6: A new brief measure of nature relatedness. Front. Psychol. 2013, 4, 813. [Google Scholar] [CrossRef]
- Berger, J.; Essah, E.; Blanusa, T.; Beaman, C.P. The appearance of indoor plants and their effect on people’s perceptions of indoor air quality and subjective well-being. Build. Environ. 2022, 219, 109151. [Google Scholar] [CrossRef]
- thegardeplant. The ZZ Plant: A Resilient and Stylish Houseplant for Every Home. Medium. June 2023. Available online: https://medium.com/@thegardencare/the-zz-plant-a-resilient-and-stylish-houseplant-for-every-home-30cc6015c7b7 (accessed on 27 May 2024).
- Calhoun, C.D.; Stone, K.J.; Cobb, A.R.; Patterson, M.W.; Danielson, C.K.; Bendezú, J.J. The role of social support in coping with psychological trauma: An integrated biopsychosocial model for posttraumatic stress recovery. Psychiatr. Q. 2022, 93, 949–970. [Google Scholar] [CrossRef]
- Ozbay, F.; Johnson, D.C.; Dimoulas, E.; Morgan Iii, C.A.; Charney, D.; Southwick, S. Social support and resilience to stress: From neurobiology to clinical practice. Psychiatry Edgmont 2007, 4, 35–40. [Google Scholar] [PubMed]
- Bhagat, R.S.; Allie, S.M.; Ford, D.L. Coping with Stressful Life Events: An Empirical Analysis. In Occupational Stress; Crandall, R., Perrewé, P.L., Eds.; CRC Press: Boca Raton, FL, USA, 2020; pp. 93–112. [Google Scholar]
- Braun, V.; Clarke, V. Using thematic analysis in psychology. Qual. Res. Psychol. 2006, 3, 77–101. [Google Scholar] [CrossRef]
- Beukeboom, C.J.; Langeveld, D.; Tanja-Dijkstra, K. Stress-Reducing Effects of Real and Artificial Nature in a Hospital Waiting Room. J. Altern. Complement. Med. 2012, 18, 329–333. [Google Scholar] [CrossRef]
- Shibata, S.; Suzuki, N. Effects of an indoor plant on creative task performance and mood. Scand. J. Psychol. 2004, 45, 373–381. [Google Scholar] [CrossRef]
- Larsen, L.; Adams, J.; Deal, B.; Kweon, B.S.; Tyler, E. Plants in the Workplace: The Effects of Plant Density on Productivity, Attitudes, and Perceptions. Environ. Behav. 1998, 30, 261–281. [Google Scholar] [CrossRef]
- Dzhambov, A.M.; Lercher, P.; Browning, M.H.E.M.; Stoyanov, D.; Petrova, N.; Novakov, S.; Dimitrova, D.D. Does greenery experienced indoors and outdoors provide an escape and support mental health during the COVID-19 quarantine? Environ. Res. 2021, 196, 110420. [Google Scholar] [CrossRef] [PubMed]
- Poulsen, D.V.; Stigsdotter, U.K.; Djernis, D.; Sidenius, U. Everything just seems much more right in nature’: How veterans with post-traumatic stress disorder experience nature-based activities in a forest therapy garden. Health Psychol. Open 2016, 3, 2055102916637090. [Google Scholar] [CrossRef] [PubMed]
- De Seixas, M.; Williamson, D.; Barker, G.; Vickerstaff, R. Horticultural therapy in a psychiatric in-patient setting. BJPsych Int. 2017, 14, 87–89. [Google Scholar] [CrossRef]
- Moslehian, A.S.; Roös, P.B.; Gaekwad, J.S.; Galen, L. Potential risks and beneficial impacts of using indoor plants in the biophilic design of healthcare facilities: A scoping review. Build. Environ. 2023, 233, 110057. [Google Scholar] [CrossRef]
- Van Den Bogerd, N.; Dijkstra, S.C.; Koole, S.L.; Seidell, J.C.; Maas, J. Greening the room: A quasi-experimental study on the presence of potted plants in study rooms on mood, cognitive performance, and perceived environmental quality among university students. J. Environ. Psychol. 2021, 73, 101557. [Google Scholar] [CrossRef]
- O’Brien, L. Engaging with and shaping nature: A nature-based intervention for those with mental health and behavioural problems at the Westonbirt Arboretum in England. Int. J. Environ. Res. Public Health 2018, 15, 2214. [Google Scholar] [CrossRef]
- Joye, Y.; Dewitte, S. Nature’s broken path to restoration. A critical look at Attention Restoration Theory. J. Environ. Psychol. 2018, 59, 1–8. [Google Scholar] [CrossRef]
- Stott, D.; Forde, D.; Sharma, C.; Deutsch, J.M.; Bruneau, M.; Nasser, J.A.; Vitolins, M.Z.; Milliron, B.-J. Interactions with Nature, Good for the Mind and Body: A Narrative Review. Int. J. Environ. Res. Public Health 2024, 21, 329. [Google Scholar] [CrossRef]
- Von Lindern, E.; Bauer, N.; Frick, J.; Hunziker, M.; Hartig, T. Occupational engagement as a constraint on restoration during leisure time in forest settings. Landsc. Urban Plan. 2013, 118, 90–97. [Google Scholar] [CrossRef]
- Jiang, B.; Wang, H.; Larsen, L.; Bao, F.; Li, Z.; Pryor, M. Quality of sweatshop factory outdoor environments matters for workers’ stress and anxiety: A participatory smartphone-photography survey. J. Environ. Psychol. 2019, 65, 101336. [Google Scholar] [CrossRef]
- Tiwari, S.C.; Deshpande, S.R. A study to assess the effect of stressful life events on psychological distress levels of participants living in an urban area. J. Fam. Med. Prim. Care 2020, 9, 2730–2735. [Google Scholar]
- Lohr, V.I.; Pearson-Mims, C.H.; Goodwin, G.K. Interior plants may improve worker productivity and reduce stress in a windowless environment. J. Environ. Hortic. 1996, 14, 97–100. [Google Scholar] [CrossRef]
- Liu, T.; He, L.; Yu, W.; Freudenreich, T.; Lin, X. Effect of green plants on individuals’ mental stress during the COVID-19 pandemic: A preliminary study. Int. J. Environ. Res. Public Health 2022, 19, 13541. [Google Scholar] [CrossRef]
- Johansson, G.; Engström, Å.; Juuso, P. Experiences of a nature-based intervention program in a northern natural setting: A longitudinal case study of two women with stress-related illness. Int. J. Qual. Stud. Health Well-Being 2023, 18, 2146857. [Google Scholar] [CrossRef] [PubMed]
- Ma, J.; Lin, P.; Williams, J. Effectiveness of nature-based walking interventions in improving mental health in adults: A systematic review. Curr. Psychol. 2024, 43, 9521–9539. [Google Scholar] [CrossRef]





| Characteristics | Total Sample (N = 26) | Experimental (n = 13) | Control (n = 13) |
|---|---|---|---|
| Age (yrs) | |||
| Mean (SD) | 26.7(6.75) | 24.2(2.17) | 29.2(8.77) |
| (min–max) | 20–54 | 20–27 | 20–54 |
| Gender | |||
| Male (%) | 30.7 | 7.7 | 53.8 |
| Female (%) | 65.5 | 84.6 | 46.2 |
| Other (%) | 3.8 | 7.7 | 0 |
| Current Residence (City) | |||
| London (%) | 65.4 | 61.5 | 69.3 |
| Guildford (%) | 11.5 | 15.4 | 7.6 |
| Other (%) | 23.1 | 23.1 | 23.1 |
| Occupation (Industry) | |||
| Retail and Hospitality (%) | 23.1 | 23.1 | 23.1 |
| Tourism and Customer Service (%) | 11.5 | 15.4 | 7.7 |
| Education and Research (%) | 23.1 | 30.8 | 15.4 |
| Healthcare and Science (%) | 7.7 | 0 | 15.4 |
| Environmental and Sustainability (%) | 3.8 | 7.7 | 0 |
| Administration and Office Work (%) | 15.4 | 15.4 | 15.4 |
| Self-Employment (%) | 3.8 | 0 | 7.7 |
| Unemployed (%) | 11.5 | 7.7 | 15.4 |
| Groups (N = 26) | |||||
|---|---|---|---|---|---|
| Experimental (n = 13) | Control (n = 13) | ||||
| Time | Pre (T1) | Post (T2) | Pre (T1) | Post (T2) | |
| Dependent Variables Mean (SD) | Depressive Symptom | 26.2 (10.3) | 17.1 (9.49) | 31.9 (11.5) | 28.5 (9.97) |
| Negative Affect | 28.3 (6.49) | 22.5 (5.94) | 31.9 (9.7) | 28.8 (3.15) | |
| Perceived Stress | 25.1 (4.21) | 17.5 (3.82) | 25.1 (3.84) | 23.5 (3.15) | |
| Ruminative thoughts | 55.9 (14.8) | 45.2 (12.52) | 63.8 (14.5) | 59.1 (14.64) | |
| Positive Affect | 28.1 (5.35) | 34.1 (5.96) | 28.6 (3.84) | 30.8 (6.67) | |
| Resiliency | 25.7 (6.32) | 26.2 (4.04) | 23.3 (7.64) | 22 (6.66) | |
| Covariate Mean (SD) | Nature-Relatedness (Total) | 23.9 (3.59) | N/A | 21.8 (3.39) | N/A |
| Depressive Symptoms | ![]() |
| Negative Affect | ![]() |
| Perceived Stress | ![]() |
| Ruminative Thoughts | ![]() |
| Positive Affect | ![]() |
| Resilience Scores | ![]() |
| Depressive Symptoms | ![]() |
| Negative Affect | ![]() |
| Perceived Stress | ![]() |
| Ruminative Thoughts | ![]() |
| Positive Affect | ![]() |
| Resilience Scores | ![]() |
| Themes/Subthemes | Description |
|---|---|
| In Common: A first step but not the only stop | Participants differ on the impact, i.e., tending to indoor plants has caveats and recognising this nature-based intervention is not a complete or standalone solution to coping for all |
| 1. Offers a slice of nature by bringing the outside in | Captures how indoor plants provide us with the natural world in the comfort of our homes in our everyday lives |
| Build connection with the larger natural world | Forming a connection with the larger natural world, offering the psychological and emotional benefits associated that may have otherwise been missed |
| First steps in building a bridge to nature. | Reports that indoor plant intervention encouraged participants to take the first step to building a bridge with nature |
| 2. Fosters an emotionally regulating personal sanctuary | Captures how indoor plants foster a structured sanctuary, providing a personal retreat where participants can build structure, reflect, and find relief and emotional stability that helps mitigate the tendency to ruminate |
| Positively enhancing moods | Participants consistently described how tending to plants had positively enhanced their mood (sanctuary’s positive benefits) |
| A structured coping mechanism via distractions | Indoor plants are a distraction, focusing participants’ attention away from negative repetitive thoughts (sanctuary’s ways) |
| Sense of empowerment and agency | The sense of control and responsibility participants experience while tending to the plant (sanctuary’s ways) |
| Momentary constant respite | Tending to indoor plants offers participants a consistent break, i.e., constant in their life that provides relaxation and relief (sanctuary’s ways) |
| 3. Plants seeds for improving self-care, personal growth, and introspection | Participants address the relationship between resilience and indoor plants; the lessons learned by tending to plants taught participants about personal growth and overcoming challenges |
| Symbolic representation of renewal | Participants consider indoor plants as a symbolic representation of renewal and forward thinking; they see their own personal growth reflected in their care for plants |
| Mirroring psychological resilience | Participants realise that, similar to indoor plants, we also endure neglect and thrive through challenges, and that tending to a plant serves as a metaphor for self-care and personal growth, helping the individual build resilience by validating their ability to nurture life, thus mirroring psychological resilience |
Disclaimer/Publisher’s Note: The statements, opinions and data contained in all publications are solely those of the individual author(s) and contributor(s) and not of MDPI and/or the editor(s). MDPI and/or the editor(s) disclaim responsibility for any injury to people or property resulting from any ideas, methods, instructions or products referred to in the content. |
© 2025 by the authors. Licensee MDPI, Basel, Switzerland. This article is an open access article distributed under the terms and conditions of the Creative Commons Attribution (CC BY) license (https://creativecommons.org/licenses/by/4.0/).
Share and Cite
Azad, S.; Marselle, M. Thriving Through Stressful Life Events with Nature: A Mixed-Method Study on Tending Indoor Plants and Rumination Resilience. Int. J. Environ. Res. Public Health 2025, 22, 369. https://doi.org/10.3390/ijerph22030369
Azad S, Marselle M. Thriving Through Stressful Life Events with Nature: A Mixed-Method Study on Tending Indoor Plants and Rumination Resilience. International Journal of Environmental Research and Public Health. 2025; 22(3):369. https://doi.org/10.3390/ijerph22030369
Chicago/Turabian StyleAzad, Samieul, and Melissa Marselle. 2025. "Thriving Through Stressful Life Events with Nature: A Mixed-Method Study on Tending Indoor Plants and Rumination Resilience" International Journal of Environmental Research and Public Health 22, no. 3: 369. https://doi.org/10.3390/ijerph22030369
APA StyleAzad, S., & Marselle, M. (2025). Thriving Through Stressful Life Events with Nature: A Mixed-Method Study on Tending Indoor Plants and Rumination Resilience. International Journal of Environmental Research and Public Health, 22(3), 369. https://doi.org/10.3390/ijerph22030369













