Unveiling Community Vulnerability to COVID-19 Incidence: A Population-Based Spatial Analysis in Clark County, Nevada
Abstract
1. Introduction
2. Materials and Methods
2.1. Study Area
2.2. Data Sources
2.3. Variable Definitions
2.4. Statistical Analyses
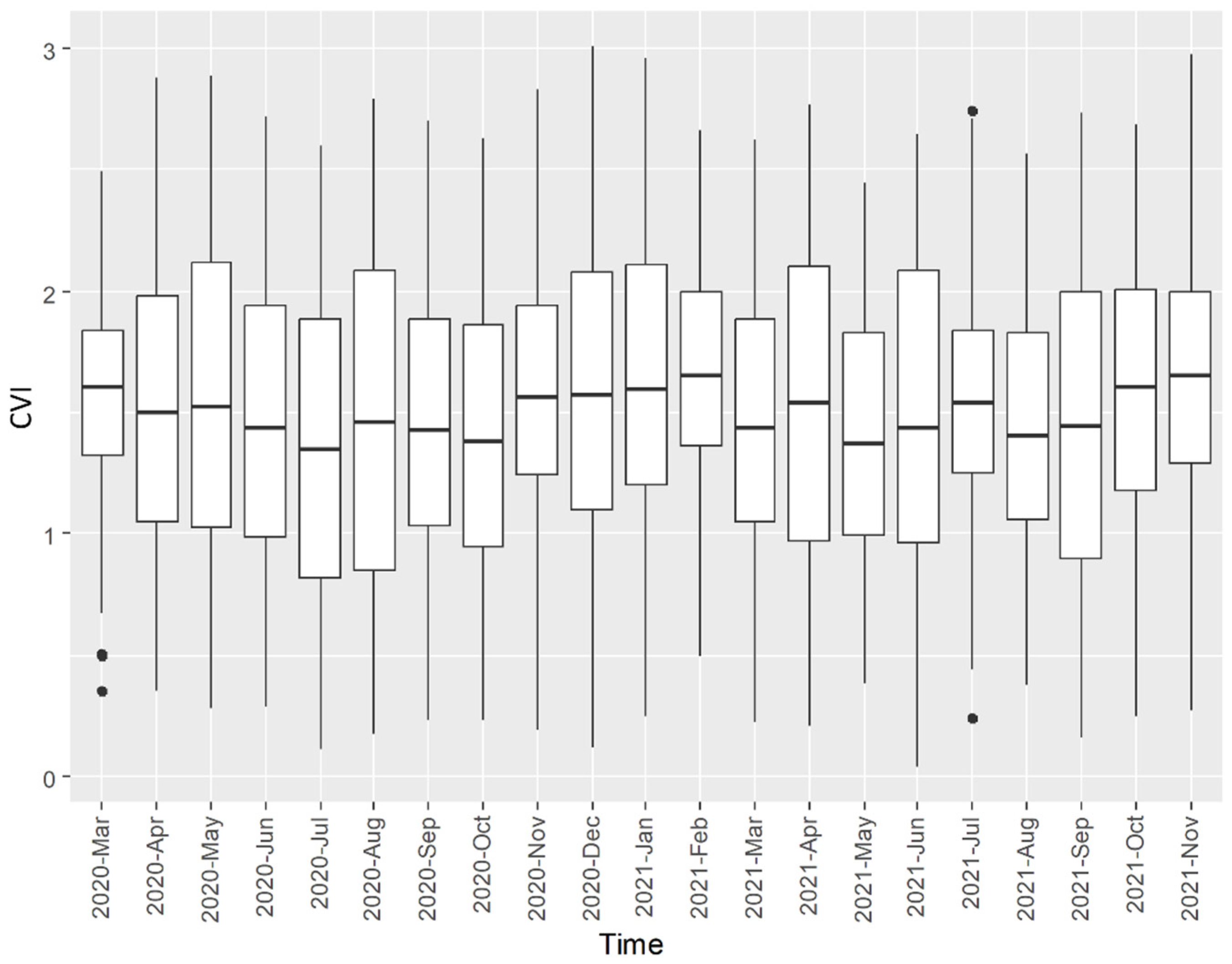
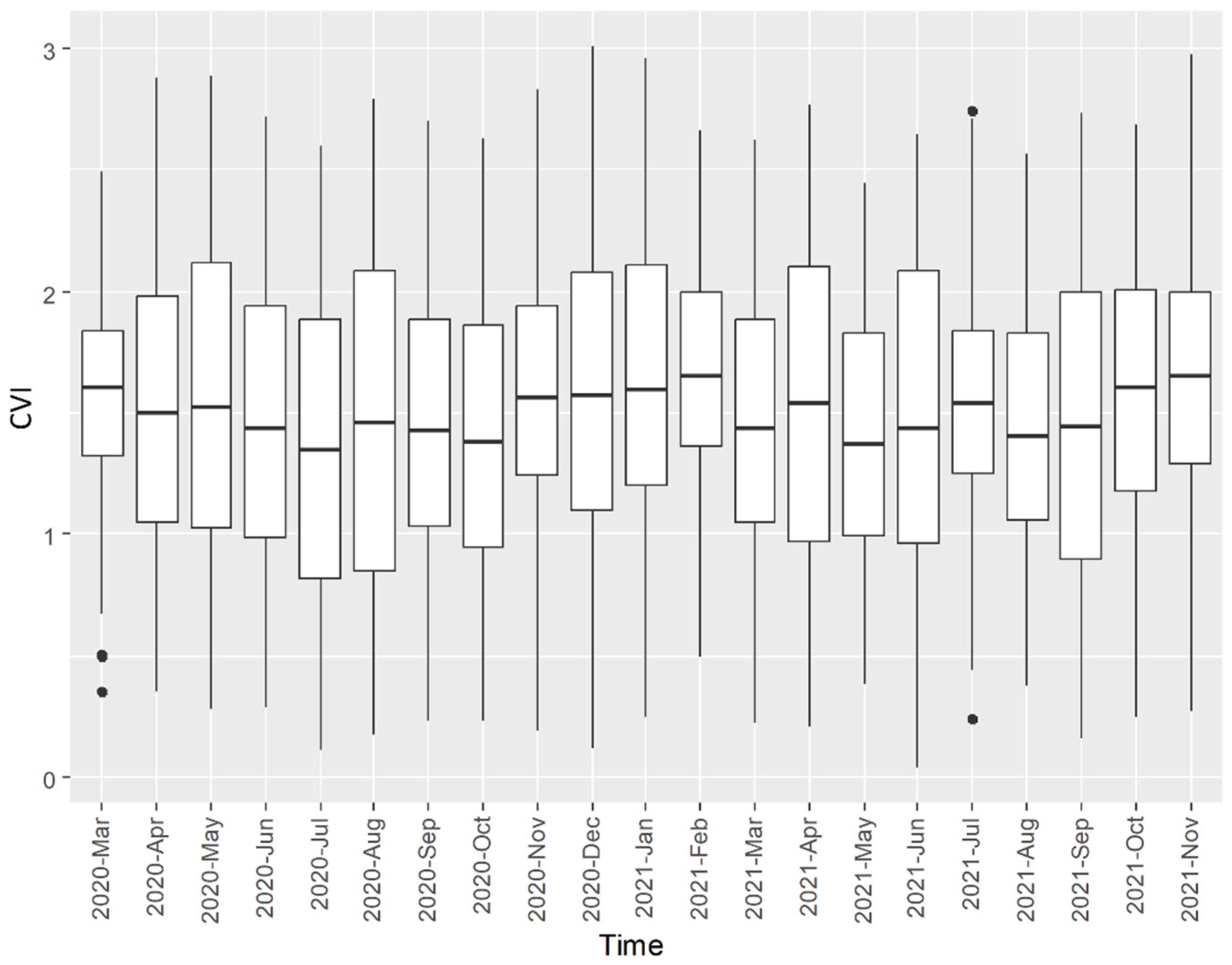
3. Results
4. Discussion
5. Conclusions
Author Contributions
Funding
Institutional Review Board Statement
Informed Consent Statement
Data Availability Statement
Acknowledgments
Conflicts of Interest
References
- Bergquist, S.; Otten, T.; Sarich, N. COVID-19 pandemic in the United States. Health Policy Technol. 2020, 9, 623–638. [Google Scholar] [CrossRef]
- Maragakis, L. (2021, 21 October 2021). Coronavirus Second Wave, Third Wave and Beyond: What Causes a COVID Surge. Available online: https://www.hopkinsmedicine.org/health/conditions-and-diseases/coronavirus/first-and-second-waves-of-coronavirus (accessed on 13 August 2024).
- Pathak, E.B.; Menard, J.M.; Garcia, R.B.; Salemi, J.L. Joint Effects of Socioeconomic Position, Race/Ethnicity, and Gender on COVID-19 Mortality among Working-Age Adults in the United States. Int. J. Environ. Res. Public Health 2022, 19, 5479. [Google Scholar] [CrossRef]
- Asfaw, A. Racial Disparity in Potential Occupational Exposure to COVID-19. J. Racial Ethn. Health Disparities 2022, 9, 1726–1739. [Google Scholar] [CrossRef] [PubMed]
- Brigham, E.; Harris, D.; Carlsten, C.; Redlich, C.A. Occupational health disparities: The pandemic as prism and prod. J. Allergy Clin. Immunol. 2021, 148, 1148–1150. [Google Scholar] [CrossRef] [PubMed]
- Coroiu, A.; Moran, C.; Campbell, T.; Geller, A.C. Barriers and facilitators of adherence to social distancing recommendations during COVID-19 among a large international sample of adults. PLoS ONE 2020, 15, e0239795. [Google Scholar] [CrossRef]
- Mahmoudi, J.; Xiong, C. How social distancing, mobility, and preventive policies affect COVID-19 outcomes: Big data-driven evidence from the District of Columbia-Maryland-Virginia (DMV) megaregion. PLoS ONE 2022, 17, e0263820. [Google Scholar] [CrossRef] [PubMed]
- Mah, J.C.; Penwarden, J.L.; Pott, H.; Theou, O.; Andrew, M.K. Social vulnerability indices: A scoping review. BMC Public Health 2023, 23, 1253. [Google Scholar] [CrossRef] [PubMed]
- Centers for Disease Control and Prevention. (22 July 2024). Social Vulnerability Index. Available online: https://www.atsdr.cdc.gov/place-health/php/svi/index.html (accessed on 13 August 2024).
- Centers for Disease Control and Prevention. (16 December 2024). SVI Data & Documentation Download. Available online: https://www.atsdr.cdc.gov/place-health/php/svi/svi-data-documentation-download.html (accessed on 13 August 2024).
- Jain, V.; Al Rifai, M.; Khan, S.U.; Kalra, A.; Rodriguez, F.; Samad, Z.; Pokharel, Y.; Misra, A.; Sperling, L.S.; Rana, J.S.; et al. Association Between Social Vulnerability Index and Cardiovascular Disease: A Behavioral Risk Factor Surveillance System Study. J. Am. Heart Assoc. 2022, 11, e024414. [Google Scholar] [CrossRef]
- Wulz, A.R.; Sharpe, J.D.; Miller, G.F.; Wolkin, A.F. Association between social vulnerability factors and unintentional fatal injury rates–United States, 2015–2019. J. Saf. Res. 2023, 86, 245–252. [Google Scholar] [CrossRef]
- Carmichael, H.; Moore, A.; Steward, L.; Velopulos, C.G. Using the Social Vulnerability Index to Examine Local Disparities in Emergent and Elective Cholecystectomy. J. Surg. Res. 2019, 243, 160–164. [Google Scholar] [CrossRef] [PubMed]
- Karmakar, M.; Lantz, P.M.; Tipirneni, R. Association of Social and Demographic Factors With COVID-19 Incidence and Death Rates in the US. JAMA Netw. Open 2021, 4, e2036462. [Google Scholar] [CrossRef] [PubMed]
- Lee, Y.-J. Social vulnerability indicators as a sustainable planning tool. Environ. Impact Assess. Rev. 2014, 44, 31–42. [Google Scholar] [CrossRef]
- Roshti, A. Social vulnerability assessment to earthquakes in cities. Case study: Zanjan city. Munic. Reg. Res. Stud 2010, 7, 71–90. [Google Scholar]
- Holand, I.S.; Lujala, P.; Rød, J.K. Social vulnerability assessment for Norway: A quantitative approach. Nor. Geogr. Tidsskr. Nor. J. Geogr. 2011, 65, 1–17. [Google Scholar] [CrossRef]
- Cutter, S.L.; Finch, C. Temporal and spatial changes in social vulnerability to natural hazards. Proc. Natl. Acad. Sci. USA 2008, 105, 2301–2306. [Google Scholar] [CrossRef] [PubMed]
- Flanagan, B.E.; Gregory, E.W.; Hallisey, E.J.; Heitgerd, J.L.; Lewis, B. A social vulnerability index for disaster management. J. Homel. Secur. Emerg. Manag. 2011, 8, 0000102202154773551792. [Google Scholar] [CrossRef]
- Schmidlin, T.W.; King, P.S. Risk Factors for Death in the 27 March 1994 Georgia and Alabama Tornadoes. Disasters 1995, 19, 170–177. [Google Scholar] [CrossRef]
- Spielman, S.E.; Tuccillo, J.; Folch, D.C.; Schweikert, A.; Davies, R.; Wood, N.; Tate, E. Evaluating social vulnerability indicators: Criteria and their application to the Social Vulnerability Index. Nat. Hazards 2020, 100, 417–436. [Google Scholar] [CrossRef]
- Fallah Aliabadi, S.; Sarsangi, A.; Modiri, E. The social and physical vulnerability assessment of old texture against earthquake (case study: Fahadan district in Yazd City). Arab. J. Geosci. 2015, 8, 10775–10787. [Google Scholar] [CrossRef]
- Rahman, N.; Ansary, M.A.; Islam, I. GIS based mapping of vulnerability to earthquake and fire hazard in Dhaka city, Bangladesh. Int. J. Disaster Risk Reduct. 2015, 13, 291–300. [Google Scholar] [CrossRef]
- Martins, V.N.; e Silva, D.S.; Cabral, P. Social vulnerability assessment to seismic risk using multicriteria analysis: The case study of Vila Franca do Campo (São Miguel Island, Azores, Portugal). Nat. Hazards 2012, 62, 385–404. [Google Scholar] [CrossRef]
- Tatar, M.; Faraji, M.R.; Wilson, F.A. Social vulnerability and initial COVID-19 community spread in the US South: A machine learning approach. BMJ Health Care Inform. 2023, 30, e100703. [Google Scholar] [CrossRef] [PubMed]
- United States Census Bureau. (2024, 10 June 2024). American Community Survey (ACS). Available online: https://www.census.gov/programs-surveys/acs (accessed on 13 August 2024).
- Environmetal Protection Agency. (2024, 25 July 2024). Smart Growth: Smart Location Mapping. Available online: https://www.epa.gov/smartgrowth/smart-location-mapping (accessed on 13 August 2024).
- HUD’s Office of Policy Development and Research. Comprehensive Housing Affordability Strategy (CHAS). 2024. Available online: https://www.huduser.gov/portal/datasets/cp.html (accessed on 13 August 2024).
- Krieger, N.; Feldman, J.M.; Waterman, P.D.; Chen, J.T.; Coull, B.A.; Hemenway, D. Local residential segregation matters: Stronger association of census tract compared to conventional city-level measures with fatal and non-fatal assaults (total and firearm related), using the index of concentration at the extremes (ICE) for racial, economic, and racialized economic segregation, Massachusetts (US), 1995–2010. J. Urban Health 2017, 94, 244–258. [Google Scholar]
- Gennings, C.; Curtin, P.; Bello, G.; Wright, R.; Arora, M.; Austin, C. Lagged WQS regression for mixtures with many components. Environ. Res. 2020, 186, 109529. [Google Scholar] [CrossRef]
- Wheeler, D.C.; Rustom, S.; Carli, M.; Whitehead, T.P.; Ward, M.H.; Metayer, C. Assessment of Grouped Weighted Quantile Sum Regression for Modeling Chemical Mixtures and Cancer Risk. Int. J. Environ. Res. Public Health 2021, 18, 504. [Google Scholar] [CrossRef] [PubMed]
- Besag, J.; York, J.; Mollie, A. Bayesian image restoration, with two applications in spatial statistics. Ann. Inst. Stat. Math. 1991, 43, 1–20. [Google Scholar] [CrossRef]
- Rue, H.; Martino, S.; Chopin, N. Approximate Bayesian Inference for Latent Gaussian models by using Integrated Nested Laplace Approximations. J. R. Stat. Soc. Ser. B Stat. Methodol. 2009, 71, 319–392. [Google Scholar] [CrossRef]
- Letta, T.T.; Belay, D.B.; Ali, E.A. Determining factors associated with cholera disease in Ethiopia using Bayesian hierarchical modeling. BMC Public Health 2022, 22, 1779. [Google Scholar] [CrossRef] [PubMed]
- Nevada Division of Environmental Protection, Governor’s Office of Energy, Sustainability Solutions Group (SSG), Ericka Aviles Consulting, & CIVIX. State of Nevada Priority Climate Action Plan. 2024. Available online: https://www.epa.gov/system/files/documents/2024-03/state-of-nevada-priority-climate-action-plan.pdf (accessed on 13 August 2024).
- Disalvatore, R.; Bauer, S.K.; Ahn, J.E.; Jahan, K. Development of a COVID-19 Vulnerability Index (CVI) for the Counties and Residents of New Jersey, USA. Int. J. Environ. Res. Public Health 2023, 20, 6312. [Google Scholar] [CrossRef]
- Huang, B.; Huang, Z.; Chen, C.; Lin, J.; Tam, T.; Hong, Y.; Pei, S. Social vulnerability amplifies the disparate impact of mobility on COVID-19 transmissibility across the United States. Humanit. Soc. Sci. Commun. 2022, 9, 1–13. [Google Scholar] [CrossRef] [PubMed]
- Dasgupta, S.; Bowen, V.B.; Leidner, A.; Fletcher, K.; Musial, T.; Rose, C.; Cha, A.; Kang, G.; Dirlikov, E.; Pevzner, E.; et al. Association Between Social Vulnerability and a County’s Risk for Becoming a COVID-19 Hotspot—United States, 1 June–25 July 2020. MMWR. Morb. Mortal. Wkly. Rep. 2020, 69, 1535–1541. [Google Scholar] [CrossRef] [PubMed]





| Variable | Mean | SD | CV | Min | IQR | Max |
|---|---|---|---|---|---|---|
| Below 150% poverty (%) | 22.55 | 14.26 | 0.63 | 0.00 | 20.00 | 74.70 |
| Civilian (age 16+) unemployment (%) | 6.69 | 4.31 | 0.64 | 0.00 | 5.40 | 29.20 |
| No high school diploma (age 25+) (%) | 13.56 | 11.07 | 0.82 | 0.00 | 12.80 | 59.80 |
| Uninsured (%) | 11.23 | 7.46 | 0.66 | 0.00 | 10.20 | 50.10 |
| Aged 65 and older (%) | 17.10 | 12.01 | 0.70 | 0.00 | 11.10 | 100.00 |
| Aged 17 and younger (%) | 21.78 | 7.65 | 0.35 | 0.00 | 10.40 | 41.80 |
| Disability (%) | 13.11 | 5.80 | 0.44 | 0.00 | 7.00 | 38.40 |
| Single-parent households with children under 18 (%) | 6.96 | 5.15 | 0.74 | 0.00 | 6.60 | 31.50 |
| Individuals speak English “less than well” (%) | 5.38 | 6.22 | 1.16 | 0.00 | 6.50 | 36.20 |
| Minority (%) | 49.83 | 22.68 | 0.46 | 0.00 | 35.80 | 96.60 |
| Housing in structures with 10 or more units (%) | 13.04 | 17.94 | 1.38 | 0.00 | 19.20 | 99.00 |
| Mobile homes (%) | 5.77 | 12.74 | 2.21 | 0.00 | 3.40 | 76.20 |
| Households with more people than rooms (%) | 4.31 | 4.82 | 1.12 | 0.00 | 5.60 | 30.60 |
| Households with no vehicle available (%) | 7.31 | 9.09 | 1.24 | 0.00 | 8.10 | 55.80 |
| Group quarters (%) | 1.27 | 5.99 | 4.72 | 0.00 | 0.20 | 87.90 |
| Inactive commuting (%) | 95.11 | 6.52 | 0.07 | 31.48 | 5.43 | 100.00 |
| Park deprivation (%) | 97.32 | 6.35 | 0.07 | 34.09 | 2.73 | 100.00 |
| Retail density (jobs/acre) | 12.01 | 57.89 | 4.82 | 0.00 | 9.20 | 1075.72 |
| Low-income homeowners with severe housing cost burdens (%) | 5.88 | 5.28 | 0.90 | 0.00 | 7.19 | 34.78 |
| Low-income renters with severe housing cost burdens (%) | 16.52 | 12.41 | 0.75 | 0.00 | 19.44 | 60.42 |
| Inadequate housing (%) | 69.77 | 44.25 | 0.63 | 0.00 | 90.00 | 100.00 |
| Segregation based on index of dissimilarity (point) | 32.87 | 12.66 | 0.39 | 0.17 | 15.88 | 98.69 |
| Population density (persons/mile2) | 15.07 | 131.07 | 8.70 | 0.13 | 0.54 | 2182.76 |
| Variable | Mean | SD | IQR | Primary Contributor # (%) * |
|---|---|---|---|---|
| Below 150% poverty | 0.00 | 0.00 | 0.00–0.00 | 0 (0.00) |
| Civilian (age 16+) unemployment | 0.00 | 0.00 | 0.00–0.00 | 0 (0.00) |
| No high school diploma (age 25+) | 0.06 | 0.05 | 0.03–0.09 | 14 (66.67) |
| Uninsured | 0.01 | 0.02 | 0.00–0.02 | 4 (19.05) |
| Aged 65 and older | 0.02 | 0.03 | 0.00–0.01 | 2 (9.52) |
| Aged 17 and younger | 0.11 | 0.10 | 0.05–0.12 | 17 (80.95) |
| Disability | 0.01 | 0.01 | 0.00–0.01 | 1 (4.76) |
| Single-parent households with children under 18 | 0.01 | 0.02 | 0.00–0.02 | 1 (4.76) |
| Individuals speak English “less than well” | 0.06 | 0.06 | 0.00–0.10 | 10 (47.62) |
| Minority | 0.18 | 0.10 | 0.13–0.24 | 18 (85.71) |
| Housing in structures with 10 or more units | 0.01 | 0.02 | 0.00–0.01 | 1 (4.76) |
| Mobile homes | 0.02 | 0.03 | 0.00–0.04 | 4 (19.05) |
| Households with more people than rooms | 0.00 | 0.00 | 0.00–0.00 | 0 (0.00) |
| Households with no vehicle available | 0.00 | 0.00 | 0.00–0.00 | 0 (0.00) |
| Group quarters | 0.01 | 0.02 | 0.00–0.02 | 2 (9.52) |
| Inactive commuting | 0.15 | 0.10 | 0.07–0.18 | 21 (100.00) |
| Park deprivation | 0.11 | 0.10 | 0.04–0.16 | 15 (71.43) |
| Retail density | 0.00 | 0.01 | 0.00–0.00 | 0 (0.00) |
| Low-income homeowners with severe housing cost burdens | 0.01 | 0.01 | 0.00–0.02 | 0 (0.00) |
| Low-income renters with severe housing cost burdens | 0.01 | 0.02 | 0.00–0.01 | 2 (9.52) |
| Inadequate housing | 0.16 | 0.06 | 0.11–0.21 | 21 (100.00) |
| Segregation | 0.02 | 0.02 | 0.00–0.04 | 4 (19.05) |
| Population density | 0.00 | 0.00 | 0.00–0.00 | 0 (0.00) |
Disclaimer/Publisher’s Note: The statements, opinions and data contained in all publications are solely those of the individual author(s) and contributor(s) and not of MDPI and/or the editor(s). MDPI and/or the editor(s) disclaim responsibility for any injury to people or property resulting from any ideas, methods, instructions or products referred to in the content. |
© 2025 by the authors. Licensee MDPI, Basel, Switzerland. This article is an open access article distributed under the terms and conditions of the Creative Commons Attribution (CC BY) license (https://creativecommons.org/licenses/by/4.0/).
Share and Cite
Chien, L.-C.; Chen, L.-W.A.; Cross, C.L.; Gelaw, E.; Collins, C.; Zhang, L.; Mangla, A.T.; Lockett, C. Unveiling Community Vulnerability to COVID-19 Incidence: A Population-Based Spatial Analysis in Clark County, Nevada. Int. J. Environ. Res. Public Health 2025, 22, 326. https://doi.org/10.3390/ijerph22030326
Chien L-C, Chen L-WA, Cross CL, Gelaw E, Collins C, Zhang L, Mangla AT, Lockett C. Unveiling Community Vulnerability to COVID-19 Incidence: A Population-Based Spatial Analysis in Clark County, Nevada. International Journal of Environmental Research and Public Health. 2025; 22(3):326. https://doi.org/10.3390/ijerph22030326
Chicago/Turabian StyleChien, Lung-Chang, L.-W. Antony Chen, Chad L. Cross, Edom Gelaw, Cheryl Collins, Lei Zhang, Anil T. Mangla, and Cassius Lockett. 2025. "Unveiling Community Vulnerability to COVID-19 Incidence: A Population-Based Spatial Analysis in Clark County, Nevada" International Journal of Environmental Research and Public Health 22, no. 3: 326. https://doi.org/10.3390/ijerph22030326
APA StyleChien, L.-C., Chen, L.-W. A., Cross, C. L., Gelaw, E., Collins, C., Zhang, L., Mangla, A. T., & Lockett, C. (2025). Unveiling Community Vulnerability to COVID-19 Incidence: A Population-Based Spatial Analysis in Clark County, Nevada. International Journal of Environmental Research and Public Health, 22(3), 326. https://doi.org/10.3390/ijerph22030326

