Functional Capacity Impairment in Long COVID After 17 Months of Severe Acute Disease
Abstract
1. Introduction
2. Materials and Methods
2.1. Type of Study
2.2. Population of Study
2.3. Recruitment
2.4. Study Procedures
2.4.1. Interview
2.4.2. Lung Function
2.4.3. Ventilatory Muscle Strength
2.4.4. Quality of Life
2.4.5. Functional Capacity and Gas Analysis
2.5. Statistical Analysis
3. Results
4. Discussion
4.1. Future Perspectives
4.2. Limitation
5. Conclusions
Author Contributions
Funding
Institutional Review Board Statement
Informed Consent Statement
Data Availability Statement
Conflicts of Interest
References
- Fundação Oswaldo Cruz—Fiocruz. A gestão de riscos e governança na pandemia por COVID-19 no Brasil—Análise dos decretos estaduais no primeiro mês. Relatório Técnico e Sumário Executivo; Fiocruz/ENSP/CEPEDES: Rio de Janeiro, Brazil, 2020; p. 78. [Google Scholar]
- Oliveira, T.L. Quando as Doenças Viram Números: As Estatísticas da COVID-19. Available online: https://agencia.fiocruz.br/quando-doencas-viram-numeros-estatisticas-da-covid-19 (accessed on 17 July 2022).
- Secretaria de Estado de Saúde do Amazonas. Painel de Monitoramento COVID-19. Available online: https://www.transparencia.am.gov.br/covid-19/monitoramento-covid-19/#painel-de-monitoramento-covid-19/ (accessed on 17 July 2022).
- Gupta, A.; Madhavan, M.V.; Sehgal, K.; Nair, N.; Mahajan, S.; Sehrawat, T.S.; Bikdeli, B.; Ahluwalia, N.; Ausiello, J.C.; Wan, E.Y.; et al. Extrapulmonary manifestations of COVID-19. Nat. Med. 2020, 26, 1017–1032. [Google Scholar] [CrossRef] [PubMed]
- Clinical Management of COVID-19: Living Guideline; WHO/2019-nCoV/clinical/2023.2; World Health Organization: Geneva, Switzerland, 2023.
- Greenhalgh, T.; Sivan, M.; Perlowski, A.; Nikolich, J.Ž. Long COVID: A clinical update. Lancet 2024, 404, 707–724. [Google Scholar] [CrossRef] [PubMed]
- Peluso, M.J.; Deeks, S.G. Mechanisms of long COVID and the path toward therapeutics. Cell 2024, 187, 5500–5529. [Google Scholar] [CrossRef] [PubMed]
- Nalbandian, A.; Sehgal, K.; Gupta, A.; Madhavan, M.V.; McGroder, C.; Stevens, J.S.; Cook, J.R.; Nordvig, A.S.; Shalev, D.; Sehrawat, T.S.; et al. Post-acute COVID-19 syndrome. Nat. Med. 2021, 27, 601–615. [Google Scholar] [CrossRef] [PubMed]
- Bowe, B.; Xie, Y.; Al-Aly, Z. Postacute sequelae of COVID-19 at 2 years. Nat. Med. 2023, 29, 2347–2357. [Google Scholar] [CrossRef] [PubMed]
- So, M.; Kabata, H.; Fukunaga, K.; Takagi, H.; Kuno, T. Radiological and functional lung sequelae of COVID-19: A systematic re-view and meta-analysis. BMC Pulm. Med. 2021, 21, 97. [Google Scholar] [CrossRef]
- Mavraganis, G.; Dimopoulou, M.; Delialis, D.; Bampatsias, D.; Patras, R.; Sianis, A.; Maneta, E.; Stamatelopoulos, K.; Georgiopoulos, G. Clinical implications of vascular dysfunc-tion in acute and convalescent COVID-19: A systematic review. Eur. J. Clin. Investig. 2022, 52, e13859. [Google Scholar] [CrossRef] [PubMed]
- Silva, C.C.; Bichara, C.N.C.; Carneiro, F.R.O.; Palacios, V.R.d.C.M.; Berg, A.V.S.V.D.; Quaresma, J.A.S.; Falcão, L.F.M. Muscle dysfunction in the long coronavirus disease 2019 syndrome: Pathogenesis and clinical approach. Rev. Med. Virol. 2022, 32, e2355. [Google Scholar] [CrossRef] [PubMed]
- Guarnieri, J.W.; Dybas, J.M.; Fazelinia, H.; Kim, M.S.; Frere, J.; Zhang, Y.; Albrecht, Y.S.; Murdock, D.G.; Angelin, A.; Singh, L.N.; et al. Core mitochondrial genes are down-regulated during SARS-CoV-2 infection of rodent and human hosts. Sci. Transl. Med. 2023, 15, eabq1533. [Google Scholar] [CrossRef] [PubMed]
- Fernández-de-las-Peñas, C.; Raveendran, A.V.; Giordano, R.; Arendt-Nielsen, L. Long COVID or Post-COVID-19 Condition: Past, Present and Future Research Directions. Microorganisms 2023, 11, 2959. [Google Scholar] [CrossRef] [PubMed]
- Torres-Castro, R.; Vasconcello-Castillo, L.; Alsina-Restoy, X.; Solis-Navarro, L.; Burgos, F.; Puppo, H.; Vilaró, J. Respiratory function in patients post-infection by COVID-19: A systematic review and meta-analysis. Pulmonology 2021, 27, 328–337. [Google Scholar] [CrossRef] [PubMed]
- Kovelis, D.; Segretti, N.O.; Probst, V.S.; Lareau, S.C.; Brunetto, A.F.; Pitta, F. Validação do Modified Pulmonary Functional Status and Dyspnea Questionnaire e da escala do Medical Research Council para o uso em pacientes com doença pulmonar obstrutiva crônica no Brasil. J. Bras. Pneumol. 2008, 34, 1008–1018. [Google Scholar] [CrossRef] [PubMed]
- Degryse, J.; Buffels, J.; Dijck, Y.V.; Decramer, M.; Nemery, B. Accuracy of Office Spirometry Performed by Trained Primary-Care Physicians Using the MIR Spirobank Hand-Held Spirometer. Respiration 2012, 83, 543–552. [Google Scholar] [CrossRef] [PubMed]
- Miller, M.R. Standardisation of spirometry. Eur. Respir. J. 2005, 26, 319–338. [Google Scholar] [CrossRef] [PubMed]
- Pereira, C.A.d.C.; Sato, T.; Rodrigues, S.C. Novos valores de referência para espirometria forçada em brasileiros adultos de raça branca. J. Bras. Pneumol. 2007, 33, 397–406. [Google Scholar] [CrossRef] [PubMed]
- De Souza, L.C.; Da Silva, C.T.; Lugon, J.R. Evaluation of the Inspiratory Pressure Using a Digital Vacuometer in Mechanically Ventilated Patients: Analysis of the Time to Achieve the Inspiratory Peak. Respir. Care 2012, 57, 257–262. [Google Scholar] [CrossRef] [PubMed]
- Laveneziana, P.; Albuquerque, A.; Aliverti, A.; Babb, T.; Barreiro, E.; Dres, M.; Dubé, B.-P.; Fauroux, B.; Gea, J.; Guenette, J.A.; et al. ERS statement on respiratory muscle testing at rest and during exercise. Eur. Respir. J. 2019, 53, 1801214. [Google Scholar] [CrossRef]
- Neder, J.A.; Andreoni, S.; Lerario, M.C.; Nery, L.E. Reference values for lung function tests: II. Maximal respiratory pressures and voluntary ventilation. Braz. J. Med. Biol. Res. 1999, 32, 719–727. [Google Scholar] [CrossRef]
- Campolina, A.G.; Ciconelli, R.M. O SF-36 e o desenvolvimento de novas medidas de avaliação de qualidade de vida. Rev. Bras. Reumatol. 2008, 47, 127–133. [Google Scholar]
- Ware, J.E., Jr. SF-36 Health Survey Update. Spine 2000, 25, 3130–3139. [Google Scholar] [CrossRef]
- American Thoracic Society. ATS Statement: Guidelines for the Six-Minute Walk Test. Am. J. Respir. Crit. Care Med. 2002, 166, 111–117. [Google Scholar] [CrossRef]
- Tsekouras, Y.E.; Tambalis, K.D.; Sarras, S.E.; Antoniou, A.K.; Kokkinos, P.; Sidosssis, L.S. Validity and Reliability of the New Portable Metabolic Analyzer PNOE. Front. Sports Act. Liv. 2019, 1, 24. [Google Scholar] [CrossRef] [PubMed]
- Schaffaczyk, M.; Rogers, B.; Reer, R.; Gronwald, T. Validity of the Polar H10 Sensor for Heart Rate Variability Analysis during Resting State and Incremental Exercise in Recreational Men and Women. Sensors 2022, 22, 6536. [Google Scholar] [CrossRef]
- Bohannon, R.W.; Crouch, R. Minimal clinically important difference for change in 6-minute walk test distance of adults with pathology: A systematic review. J. Eval. Clin. Pract. 2017, 23, 377–381. [Google Scholar] [CrossRef] [PubMed]
- Toh, M.R.; Teo, Y.R.; Poh, L.C.R.; Tang, Y.; Soh, R.Y.; Sharma, K.; Kalyanasundaram, G.; Poh, K.C. Impact of COVID infection on lung function test and quality of life. Sci. Rep. 2023, 13, 17275. [Google Scholar] [CrossRef]
- Dosbaba, F.; Hartman, M.; Batalik, L.; Senkyr, V.; Radkovcova, I.; Richter, S.; Brat, K.; Cahalin, L.P.; Formiga, M.F. A temporal examination of inspiratory muscle strength and endurance in hospitalized COVID-19 patients. Heart Lung 2023, 60, 95–101. [Google Scholar] [CrossRef]
- Okan, S.; Okan, F.; Yücesoy, F.D. Evaluation of pulmonary function and exercise capacity after COVID-19 pneumonia. Heart Lung 2022, 54, 1–6. [Google Scholar] [CrossRef] [PubMed]
- Durstenfeld, M.S.; Sun, K.; Tahir, P.; Peluso, M.J.; Deeks, S.G.; Aras, M.A.; Grandis, D.J.; Long, C.S.; Beatty, A.; Hsue, P.Y. Use of Cardiopulmonary Exercise Testing to Evaluate Long COVID-19 Symptoms in Adults: A Systematic Review and Meta-analysis. JAMA Netw. Open 2022, 5, e2236057. [Google Scholar] [CrossRef] [PubMed]
- Noureddine, S.; Roux-Claudé, P.; Laurent, L.; Ritter, O.; Dolla, P.; Karaer, S.; Claudé, F.; Eberst, G.; Westeel, V.; Barnig, C. Evaluation of long-term sequelae by cardiopul-monary exercise testing 12 months after hospitalization for severe COVID-19. BMC Pulm. Med. 2023, 23, 13. [Google Scholar] [CrossRef] [PubMed]
- Patton, M.J.; Benson, D.; Robison, S.; Raval, D.; Locy, L.M.; Patel, K.; Grumley, S.; Levitan, B.M.; Morris, P.; Might, M.; et al. Characteristics and determinants of pulmonary long COVID. JCI Insight 2024, 23, e177518. [Google Scholar] [CrossRef] [PubMed]
- Tryfonos, A.; Pourhamidi, K.; Jörnaker, G.; Engvall, M.; Eriksson, L.; Elhallos, A.; Asplund, N.; Mandic, M.; Sundblad, P.; Sepic, A.; et al. Functional Limitations and Exercise Intolerance in Patients with Post-COVID Condition. JAMA Netw. Open 2024, 7, e244386. [Google Scholar] [CrossRef] [PubMed]
- Charlton, B.T.; Goulding, R.P.; Jasper, R.T.; Appleman, B.; Vugt, M.V.; Wüst, R.C.I. Skeletal muscle adaptations and post-extertional malaise in long COVID. Trends Endocrinol. Metab. 2024. ahead of print. [Google Scholar] [CrossRef]
- Maciel, A.B.S.; Pinto, A.S.; Silva, B.M.; Goulart, C.L.; Silva, L.F.A.; Chaves, A.S.; Mouta, G.S.; Sato, C.M.S.; Valente, J.; Mwangi, V.I.; et al. Inflammatory discoveries two years after acute severe COVID-19: A longitudinal biomarker profile assessment in long COVID individuals in the Brazilian Amazon. Front. Immunol. 2024, 15, 1–14. [Google Scholar] [CrossRef] [PubMed]
- Michelen, M.; Manoharan, L.; Elkheir, N.; Cheng, V.; Dagens, A.; Hastie, C.; O’Hara, M.; Suett, J.; Dahmash, D.; Bugaeva, P.; et al. Characterising long COVID: A living systematic review. BMJ Glob. Health 2021, 6, e005427. [Google Scholar] [CrossRef]
- Malik, P.; Patel, K.; Pinto, C.; Jaiswal, R.; Tirupathi, R.; Pillai, S.; Patel, U. Post-acute COVID-19 syndrome (PCS) and health-related quality of life (HRQoL)—A systematic review and meta-analysis. J. Med. Virol. 2022, 94, 253–262. [Google Scholar] [CrossRef] [PubMed]
- Silva, R.O.; Pereira, J.N.; Milan, E.G.P. Avaliação da qualidade de vida com o instrumento SF-36 durante a pandemia do COVID-19: Um estudo piloto. Res. Soc. Dev. 2021, 10, e17110917596. [Google Scholar] [CrossRef]
- Pouliopoulou, D.V.; Macdermid, J.C.; Saunders, E.; Peters, S.; Brunton, L.; Miller, E.; Quinn, K.L.; Pereira, T.V.; Bobos, P. Rehabilitation Interventions for Physical Capacity and Quality of Life in Adults with Post–COVID-19 Condition. JAMA Netw. Open. 2023, 6, e2333838. [Google Scholar] [CrossRef] [PubMed]
- Zheng, C.; Chen, X.; Sit, C.H.; Liang, X.; Ming-Hui, L.; Ma, A.C.; Wong, S.H. Effect of Physical Exercise–Based Rehabilitation on Long COVID: A Systematic Review and Meta-analysis. Med. Sci. Sports Exerc. 2024, 56, 143–154. [Google Scholar] [CrossRef] [PubMed]

| Control Group (n = 17) | Severe COVID-19 (n = 17) | p-Value | |
|---|---|---|---|
| Age (years) | 45 ± 8 | 46 ± 8 | 0.59 |
| Sex (Male/Female) [n] | 3/14 | 3/14 | 0.99 |
| BMI (kg/m2) | 31 ± 6 | 32 ± 7 | 0.47 |
| mMRC | 0.0 [0.0–1.0] | 2.0 [2.0–3.0] | <0.001 |
| SBP (mmHg) | 120 ± 15 | 120 ± 16 | 0.86 |
| DBP (mmHg) | 81 ± 9.3 | 84 ± 11 | 0.52 |
| HR (bpm) | 79 ± 9.5 | 84 ± 9.3 | 0.13 |
| SpO2 (%) | 97 ± 1.3 | 98 ± 2.1 | 0.50 |
| Lung function | |||
| FVC (L) | 3.4 ± 0.8 | 3.4 ± 0.6 | 0.97 |
| FVC (%) | 99 ± 13 | 93 ± 12 | 0.21 |
| FEV1 (L) | 2.8 ± 0.5 | 2.7 ± 0.4 | 0.41 |
| FEV1 (%) | 105 ± 23 | 93 ± 15 | 0.10 |
| FEV1/FVC | 92 ± 10 | 79 ± 8 | <0.001 |
| Respiratory Muscle Strength | |||
| MVV (L/min) | 108 ± 38 | 96 ± 38 | 0.35 |
| MVV (%) | 83 ± 23 | 75 ± 28 | 0.45 |
| MIP (cmH2O) | 82 ± 32 | 83 ± 27 | 0.86 |
| MIP (%) | 83 ± 31 | 88 ± 32 | 0.65 |
| MEP (cmH2O) | 98 ± 41 | 96 ± 32 | 0.88 |
| MEP (%) | 104 ± 43 | 98 ± 32 | 0.57 |
| Diagnosis time (months) | - | 26 ± 9.0 | - |
| Hospitalized | - | 90% | - |
| Hospitalized in 2020 | - | 41% | - |
| Hospitalized in 2021 | - | 59% | - |
| Comorbidities | |||
| Anxiety | 0.0% | 18% | - |
| Hypertension | 12% | 41% | 0.009 |
| Diabetes | 0.0% | 18% | - |
| Drugs | |||
| AT1 blocker | 12% | 29% | 0.001 |
| Beta blocker | 0.0% | 12% | - |
| Diuretic | 0.0% | 18% | - |
| ACE inhibitor | 0.0% | 5% | - |
| Anxiolytic | 0.0% | 18% | - |
| Hyperglycemic | 0.0% | 18% | - |
| Control Group (n = 17) | Severe COVID-19 Group (n = 17) | Diff Value | CI 95% | p-Value | ES (CI 95%) | |
|---|---|---|---|---|---|---|
| Rest | ||||||
| HR (bpm) | 81 ± 14 | 85 ± 8 | −0.4 | −6.8–6.0 | 0.89 | −0.04 (−0.7–0.3) |
| SBP (mmHg) | 120 ± 22 | 120 ± 19 | −0.7 | −15–12 | 0.92 | −0.03 (−0.7–0.6) |
| DBP (mmHg) | 84 ± 13 | 82 ± 14 | 1.5 | −7.9–11 | 0.74 | 0.1 (−0.5–0.7) |
| SpO2 (%) | 97 ± 1.3 | 97 ± 1.6 | 0.1 | 0.05–0.25 | 0.50 | −0.09 (−0.2–0.4) |
| Borg fatigue | 0.0 [0.0–2.0] | 2.0 [0.0–5.0] | −2.0 | −2.0–−1.0 | <0.001 | 0.63 * |
| Borg dyspnea | 0.0 [0.0–2.0] | 2.0 [0.0–7.0] | −2.0 | −3.0–−0.4 | 0.003 | 0.56 * |
| Peak exercise | ||||||
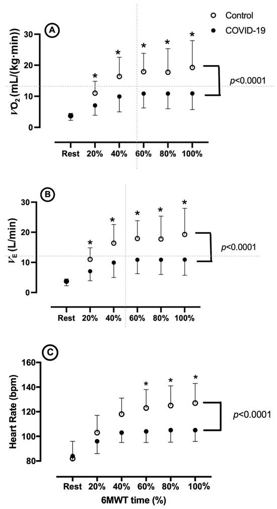
| HR (bpm) | 127 ± 16 | 106 ± 10 | 21.3 | 10–32 | <0.001 | 1.6 (0.7–2.4) |
| SBP (mmHg) | 131 ± 21 | 128 ± 20 | 2.8 | −11–17 | 0.69 | 0.1 (−0.5–0.8) |
| DBP (mmHg) | 86 ± 10 | 86 ± 13 | 0.1 | −8.1–8.5 | 0.97 | 0.01 (−0.6–0.6) |
| SpO2 (%) | 98 ± 1.2 | 98 ± 1.9 | 0.2 | −0.4–3.1 | 0.89 | 0.04 (−0.6–0.3) |
| Borg fatigue | 1.0 [0.0–5.0] | 4.0 [2.0–7.0] | −3.0 | −4.0–−1.0 | <0.001 | 0.72 * |
| Borg dyspnea | 2.0 [0.0–5.0] | 4.5 [2.0–9.0] | −2.9 | −3.9–1.0 | <0.001 | 0.69 * |
| Distance (m) | 523 ± 95 | 416 ± 94 | 107 | 40–173 | 0.002 | 1.1 (0.3–1.8) |
| Distance (%) | 92 ± 16 | 74 ± 18 | 18 | 5.9–30 | 0.005 | 1.0 (0.3–1.8) |
| Work (m·kg) | 40,490 ± 10,096 | 32,626 ± 8023 | 7864 | 1362–14,365 | 0.019 | 0.8 (0.2–1.2) |
| Gas analysis | ||||||
| O2 (mL/(kg·min)) | 19 ± 9.0 | 11 ± 5.0 | 8.3 | 2.3–13 | 0.005 | 1.2 (0.4–1.9) |
| RER | 0.91 ± 0.1 | 0.95 ± 0.2 | −0.4 | −0.2–0.1 | 0.62 | 0.2 (0.08–0.7) |
| E peak (L/min) | 40 ± 16 | 22 ± 8.0 | 18.6 | 7.8–29 | 0.002 | 1.4 (0.6–2.1) |
| m/O2 (m/(mL/(kg·min))) | 20 ± 8.20 | 51 ± 36 | −31 | −54–−8.4 | 0.009 | 1.1 (0.4–1.8) |
| Control Group (n = 17) | Severe COVID-19 Group (n = 17) | Diff value | CI 95% | p-Value | ES (CI 95%) | |
|---|---|---|---|---|---|---|
| Functional capacity | 82 ± 15 | 38 ± 19 | 44 | 31–57 | <0.001 | 2.5 (1.2–3.7) |
| Physical limitation | 84 ± 29 | 10 ± 21 | 74 | 55–93 | <0.001 | 2.9 (1.5–4.2) |
| Pain | 66 ± 13 | 35 ± 14 | 31 | 17–44 | <0.001 | 1.7 (0.7–2.7) |
| General state | 65 ± 19 | 44 ± 22 | 21 | 6.3–35 | 0.007 | 1.0 (0.2–1.9) |
| Vitality | 64 ± 20 | 31 ± 16 | 33 | 20–47 | <0.001 | 1.8 (0.8–2.8) |
| Social aspects | 74 ± 26 | 40 ± 22 | 34 | 16–52 | <0.001 | 1.4 (0.5–2.3) |
| Emotional limitations | 69 ± 39 | 31 ± 41 | 37 | 7.1–68 | 0.018 | 0.9 (0.1–1.7) |
| Mental health | 72 ± 17 | 50 ± 15 | 21 | 9.3–34 | 0.002 | 1.3 (0.4–2.2) |
| β | CI 95% | r | r2 | p-Value | |
|---|---|---|---|---|---|
| Borg Fatigue rest | |||||
| 5–0 | −351 | −540–−161 | 0.66 | 0.43 | <0.001 |
| Borg Dyspnea rest | |||||
| 5–0 | −204 | −352–−57 | 0.55 | 0.30 | 0.008 |
| O2 (mL/(kg min)) | 5.92 | 0.04–11 | 0.39 | 0.16 | 0.042 |
| HR (bpm) | 2.24 | 0.7–3.7 | 0.50 | 0.25 | 0.004 |
| Functional capacity | 2.25 | 1.0–3.4 | 0.58 | 0.34 | <0.001 |
| Physical limitation | 1.61 | 0.9–2.3 | 0.66 | 0.44 | <0.001 |
| Pain | 0.51 | 0.2–0.8 | 0.61 | 0.38 | <0.001 |
| Vitality | 2.24 | 0.7–3.7 | 0.50 | 0.25 | 0.004 |
| Mental health | 3.20 | 1.4–4.9 | 0.57 | 0.32 | <0.001 |
| β | CI 95% | p-Value | |
|---|---|---|---|
| O2 (mL/(kg·min)) | −2.9 | −6.1–0.1 | 0.063 |
| Borg Fatigue rest | |||
| 1–0 | 241 | 132–350 | <0.001 |
| 5–0 | −330 | −445–−215 | <0.001 |
| Functional capacity | 1.3 | −0.04–2.6 | 0.058 |
| Physical limitation | 1.1 | 0.3–1.8 | 0.006 |
| Vitality | −2.0 | −3.3–−0.6 | 0.006 |
| Mental health | 1.6 | 0.1–3.1 | 0.037 |
Disclaimer/Publisher’s Note: The statements, opinions and data contained in all publications are solely those of the individual author(s) and contributor(s) and not of MDPI and/or the editor(s). MDPI and/or the editor(s) disclaim responsibility for any injury to people or property resulting from any ideas, methods, instructions or products referred to in the content. |
© 2025 by the authors. Licensee MDPI, Basel, Switzerland. This article is an open access article distributed under the terms and conditions of the Creative Commons Attribution (CC BY) license (https://creativecommons.org/licenses/by/4.0/).
Share and Cite
Borges, F.F.d.R.; Braga, A.C.B.; Viana, B.S.; Valente, J.; Bemfica, J.M.; Sant’Anna, T.; Goulart, C.d.L.; Almeida-Val, F.; Arêas, G.P.T. Functional Capacity Impairment in Long COVID After 17 Months of Severe Acute Disease. Int. J. Environ. Res. Public Health 2025, 22, 276. https://doi.org/10.3390/ijerph22020276
Borges FFdR, Braga ACB, Viana BS, Valente J, Bemfica JM, Sant’Anna T, Goulart CdL, Almeida-Val F, Arêas GPT. Functional Capacity Impairment in Long COVID After 17 Months of Severe Acute Disease. International Journal of Environmental Research and Public Health. 2025; 22(2):276. https://doi.org/10.3390/ijerph22020276
Chicago/Turabian StyleBorges, Fernanda Facioli dos Reis, Andrezza Cristina Barbosa Braga, Bernardo Silva Viana, Jefferson Valente, João Marcos Bemfica, Thaís Sant’Anna, Cássia da Luz Goulart, Fernando Almeida-Val, and Guilherme Peixoto Tinoco Arêas. 2025. "Functional Capacity Impairment in Long COVID After 17 Months of Severe Acute Disease" International Journal of Environmental Research and Public Health 22, no. 2: 276. https://doi.org/10.3390/ijerph22020276
APA StyleBorges, F. F. d. R., Braga, A. C. B., Viana, B. S., Valente, J., Bemfica, J. M., Sant’Anna, T., Goulart, C. d. L., Almeida-Val, F., & Arêas, G. P. T. (2025). Functional Capacity Impairment in Long COVID After 17 Months of Severe Acute Disease. International Journal of Environmental Research and Public Health, 22(2), 276. https://doi.org/10.3390/ijerph22020276

