Prenatal Exposure to Phthalates, Bisphenols and Their Mixtures and Early Childhood Allergic Conditions and Asthma: Results from the APrON Cohort
Abstract
1. Introduction
2. Methods
2.1. Study Population and Data Collection
2.2. Ethical Approval
2.3. Exposure Assessment
2.3.1. Phthalates
2.3.2. Bisphenols
2.4. Outcome Assessment: Food Allergy, Eczema, Rash, and Asthma
2.5. Covariates
2.6. Statistical Analysis
3. Results
3.1. Study Population Characteristics
3.2. Maternal Chemical Exposures
3.3. Prevalence and Incidence of Food Allergy, Eczema, Rash, and Asthma
3.4. Associations Between Single Chemical Exposures and Maternal Reported Food Allergy, Eczema, Rash, and Asthma
3.5. Sex-Stratified Associations Between Single Chemical Exposures and Maternal Reported Food Allergy, Eczema, Rash, and Asthma
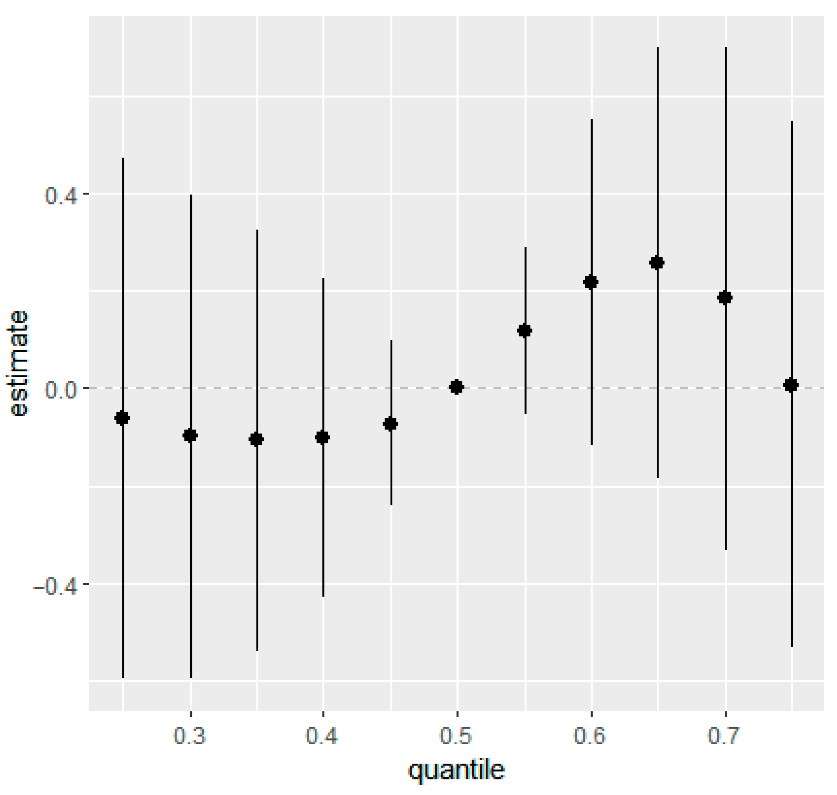
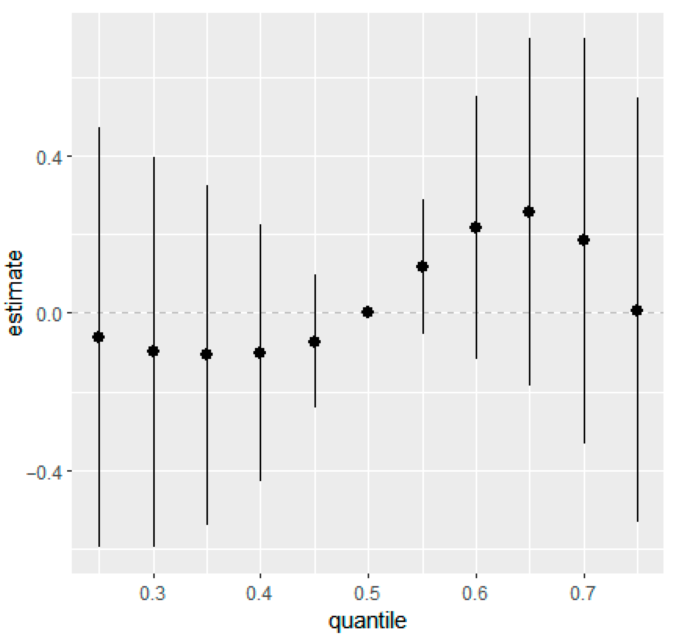
3.6. Sensitivity Analysis
3.7. Multiple Chemical Exposure Models
4. Discussion
5. Conclusions
Supplementary Materials
Author Contributions
Funding
Institutional Review Board Statement
Informed Consent Statement
Data Availability Statement
Acknowledgments
Conflicts of Interest
Abbreviations
| AOR | Adjusted odds ratio |
| APrON | Alberta Pregnancy Outcomes and Nutrition |
| BKMR | Bayesian kernel machine regression |
| BMI | Body mass index |
| BPA | Bisphenol A |
| BPS | Bisphenol S |
| CI | Confidence interval |
| DEHP | Di (2- ethylhexyl) phthalate |
| ΣDEHP | Molar sum of DEHP metabolites |
| GM | Geometric mean |
| HPLC-MS/MS | High-performance liquid chromatography-tandem mass spectrometry |
| EDCs | Endocrine disrupting chemicals |
| LASSO | Least absolute shrinkage and selection operator |
| LOD | Limit of detection |
| MBP | Mono-n-butyl phthalate |
| MBzP | Monobenzyl phthalate |
| MCHP | Mono-cyclohexyl phthalate |
| MCNP | Monocarboxy-isononyl phthalate |
| MCOP | Monocarboxy-isooctyl phthalate |
| MECPP | Mono (2-ethyl-5-carboxypentyl) phthalate |
| MEHHP | Mono (2-ethyl-5-hydroxyhexyl) phthalate |
| MEOHP | Mono (2-ethyl-5-oxohexyl) phthalate |
| MEHP | Mono (2-ethylhexyl) phthalate |
| MEP | Monoethyl phthalate |
| MiBP | Mono-isobutyl phthalate |
| MMP | Mono-methyl phthalate |
| MNP | Mono-isononyl phthalate |
| MOP | Mono-n-octyl phthalate |
| MRM | Multiple reaction monitoring |
| MSE | Mean squared error |
| OR | Odds ratio |
| PIPs | Posterior inclusion probabilities |
| PPARs | Peroxisome proliferator-activated receptors |
| Th1 | Type 1 helper |
| Th2 | Type 2 helper |
| T | Treg |
| WQS | Weighted quantile sums |
References
- Kim, E.H.; Jeon, B.H.; Kim, J.; Kim, Y.M.; Han, Y.; Ahn, K.; Cheong, H.K. Exposure to phthalates and bisphenol A are associated with atopic dermatitis symptoms in children: A time-series analysis. Environ. Health 2017, 16, 24. [Google Scholar] [CrossRef] [PubMed]
- Wang, Y.; Qian, H. Phthalates and Their Impacts on Human Health. Healthcare 2021, 9, 603. [Google Scholar] [CrossRef]
- Moorchilot, V.S.; Louis, H.; Haridas, A.; Praveena, P.; Arya, S.B.; Nair, A.S.; Aravind, U.K.; Aravindakumar, C.T. Bisphenols in indoor dust: A comprehensive review of global distribution, exposure risks, transformation, and biomonitoring. Chemosphere 2025, 370, 143798. [Google Scholar] [CrossRef]
- Diamanti-Kandarakis, E.; Bourguignon, J.P.; Giudice, L.C.; Hauser, R.; Prins, G.S.; Soto, A.M.; Zoeller, R.T.; Gore, A.C. Endocrine-disrupting chemicals: An Endocrine Society scientific statement. Endocr. Rev. 2009, 30, 293–342. [Google Scholar] [CrossRef]
- Gore, A.C.; Chappell, V.A.; Fenton, S.E.; Flaws, J.A.; Nadal, A.; Prins, G.S.; Toppari, J.; Zoeller, R.T. EDC-2: The Endocrine Society’s Second Scientific Statement on Endocrine-Disrupting Chemicals. Endocr. Rev. 2015, 36, E1–E150. [Google Scholar] [CrossRef]
- Kim, K. Influences of Environmental Chemicals on Atopic Dermatitis. Toxicol. Res. 2015, 31, 89–96. [Google Scholar] [CrossRef] [PubMed]
- Stefanovic, N.; Irvine, A.D.; Flohr, C. The Role of the Environment and Exposome in Atopic Dermatitis. Curr. Treat. Options Allergy 2021, 8, 222–241. [Google Scholar] [CrossRef]
- Soomro, M.H.; Baiz, N.; Philippat, C.; Vernet, C.; Siroux, V.; Nichole Maesano, C.; Sanyal, S.; Slama, R.; Bornehag, C.G. Annesi-Maesano I: Prenatal Exposure to Phthalates and the Development of Eczema Phenotypes in Male Children: Results from the EDEN Mother-Child Cohort Study. Environ. Health Perspect. 2018, 126, 027002. [Google Scholar] [CrossRef] [PubMed]
- Balakrishnan, B.; Henare, K.; Thorstensen, E.B.; Ponnampalam, A.P.; Mitchell, M.D. Transfer of bisphenol A across the human placenta. Am. J. Obstet. Gynecol. 2010, 202, 393 e391–e397. [Google Scholar] [CrossRef]
- Guo, J.; Wu, M.; Gao, X.; Chen, J.; Li, S.; Chen, B.; Dong, R. Meconium Exposure to Phthalates, Sex and Thyroid Hormones, Birth Size and Pregnancy Outcomes in 251 Mother-Infant Pairs from Shanghai. Int. J. Environ. Res. Public Health 2020, 17, 7711. [Google Scholar] [CrossRef]
- Katsikantami, I.; Tzatzarakis, M.N.; Alegakis, A.K.; Karzi, V.; Hatzidaki, E.; Stavroulaki, A.; Vakonaki, E.; Xezonaki, P.; Sifakis, S.; Rizos, A.K.; et al. Phthalate metabolites concentrations in amniotic fluid and maternal urine: Cumulative exposure and risk assessment. Toxicol. Rep. 2020, 7, 529–538. [Google Scholar] [CrossRef] [PubMed]
- Moreno, M.A. JAMA Pediatrics Patient Page. Atopic Diseases in Children. JAMA Pediatr. 2016, 170, 96. [Google Scholar] [CrossRef][Green Version]
- Bosonea, A.M.; Sharpe, H.; Wang, T.; Bakal, J.A.; Befus, A.D.; Svenson, L.W.; Vliagoftis, H. Developments in asthma incidence and prevalence in Alberta between 1995 and 2015. Allergy Asthma Clin. Immunol. 2020, 16, 87. [Google Scholar] [CrossRef]
- Clarke, A.E.; Elliott, S.J.; St Pierre, Y.; Soller, L.; La Vieille, S.; Ben-Shoshan, M. Temporal trends in prevalence of food allergy in Canada. J. Allergy Clin. Immunol. Pract. 2020, 8, 1428–1430.E5. [Google Scholar] [CrossRef] [PubMed]
- Drucker, A.M.; Bai, L.; Eder, L.; Chan, A.W.; Pope, E.; Tu, K.; Jaakkimainen, L. Sociodemographic characteristics and emergency department visits and inpatient hospitalizations for atopic dermatitis in Ontario: A cross-sectional study. CMAJ Open 2022, 10, E491–E499. [Google Scholar] [CrossRef]
- Silverberg, J.I.; Barbarot, S.; Gadkari, A.; Simpson, E.L.; Weidinger, S.; Mina-Osorio, P.; Rossi, A.B.; Brignoli, L.; Saba, G.; Guillemin, I.; et al. Atopic dermatitis in the pediatric population: A cross-sectional, international epidemiologic study. Ann. Allergy Asthma Immunol. 2021, 126, 417–428.E2. [Google Scholar] [CrossRef]
- Yang, S.N.; Hsieh, C.C.; Kuo, H.F.; Lee, M.S.; Huang, M.Y.; Kuo, C.H.; Hung, C.H. The effects of environmental toxins on allergic inflammation. Allergy Asthma Immunol. Res. 2014, 6, 478–484. [Google Scholar] [CrossRef]
- Xu, J.; Huang, G.; Guo, T.L. Developmental Bisphenol A Exposure Modulates Immune-Related Diseases. Toxics 2016, 4, 23. [Google Scholar] [CrossRef]
- Herberth, G.; Pierzchalski, A.; Feltens, R.; Bauer, M.; Roder, S.; Olek, S.; Hinz, D.; Borte, M.; von Bergen, M.; Lehmann, I.; et al. Prenatal phthalate exposure associates with low regulatory T-cell numbers and atopic dermatitis in early childhood: Results from the LINA mother-child study. J. Allergy Clin. Immunol. 2017, 139, 1376–1379.E8. [Google Scholar] [CrossRef]
- England-Mason, G.; Merrill, S.M.; Gladish, N.; Moore, S.R.; Giesbrecht, G.F.; Letourneau, N.; MacIsaac, J.L.; MacDonald, A.M.; Kinniburgh, D.W.; Ponsonby, A.L.; et al. Prenatal exposure to phthalates and peripheral blood and buccal epithelial DNA methylation in infants: An epigenome-wide association study. Environ. Int. 2022, 163, 107183. [Google Scholar] [CrossRef] [PubMed]
- Jahreis, S.; Trump, S.; Bauer, M.; Bauer, T.; Thurmann, L.; Feltens, R.; Wang, Q.; Gu, L.; Grutzmann, K.; Roder, S.; et al. Maternal phthalate exposure promotes allergic airway inflammation over 2 generations through epigenetic modifications. J. Allergy Clin. Immunol. 2018, 141, 741–753. [Google Scholar] [CrossRef]
- Chen, T.; Liu, H.X.; Yan, H.Y.; Wu, D.M.; Ping, J. Developmental origins of inflammatory and immune diseases. Mol. Hum. Reprod. 2016, 22, 858–865. [Google Scholar] [CrossRef]
- Robinson, L.; Miller, R. The Impact of Bisphenol A and Phthalates on Allergy, Asthma, and Immune Function: A Review of Latest Findings. Curr. Environ. Health Rep. 2015, 2, 379–387. [Google Scholar] [CrossRef] [PubMed]
- Zhou, A.; Chang, H.; Huo, W.; Zhang, B.; Hu, J.; Xia, W.; Chen, Z.; Xiong, C.; Zhang, Y.; Wang, Y.; et al. Prenatal exposure to bisphenol A and risk of allergic diseases in early life. Pediatr. Res. 2017, 81, 851–856. [Google Scholar] [CrossRef] [PubMed]
- Berger, K.; Coker, E.; Rauch, S.; Eskenazi, B.; Balmes, J.; Kogut, K.; Holland, N.; Calafat, A.M.; Harley, K. Prenatal phthalate, paraben, and phenol exposure and childhood allergic and respiratory outcomes: Evaluating exposure to chemical mixtures. Sci. Total Environ. 2020, 725, 138418. [Google Scholar] [CrossRef]
- Adgent, M.A.; Carroll, K.N.; Hazlehurst, M.F.; Loftus, C.T.; Szpiro, A.A.; Karr, C.J.; Barrett, E.S.; LeWinn, K.Z.; Bush, N.R.; Tylavsky, F.A.; et al. A combined cohort analysis of prenatal exposure to phthalate mixtures and childhood asthma. Environ. Int. 2020, 143, 105970. [Google Scholar] [CrossRef]
- Buckley, J.P.; Quiros-Alcala, L.; Teitelbaum, S.L.; Calafat, A.M.; Wolff, M.S.; Engel, S.M. Associations of prenatal environmental phenol and phthalate biomarkers with respiratory and allergic diseases among children aged 6 and 7 years. Environ. Int. 2018, 115, 79–88. [Google Scholar] [CrossRef] [PubMed]
- Gaylord, A.; Barrett, E.S.; Sathyanarayana, S.; Swan, S.H.; Nguyen, R.H.N.; Bush, N.R.; Carroll, K.; Day, D.B.; Kannan, K.; Trasande, L. Prenatal bisphenol A and S exposure and atopic disease phenotypes at age 6. Environ. Res. 2023, 226, 115630. [Google Scholar] [CrossRef]
- Chang, J.W.; Chen, H.C.; Hu, H.Z.; Chang, W.T.; Huang, P.C.; Wang, I.J. Phthalate Exposure and Oxidative/Nitrosative Stress in Childhood Asthma: A Nested Case-Control Study with Propensity Score Matching. Biomedicines 2022, 10, 1438. [Google Scholar] [CrossRef]
- Ketema, R.M.; Ait Bamai, Y.; Miyashita, C.; Saito, T.; Kishi, R.; Ikeda-Araki, A. Phthalates mixture on allergies and oxidative stress biomarkers among children: The Hokkaido study. Environ. Int. 2022, 160, 107083. [Google Scholar] [CrossRef]
- Tibshirani, R. Regression shrinkage and selection via the lasso. J. R. Stat. Soc. Ser. B 1996, 58, 267–288. [Google Scholar] [CrossRef]
- Bobb, J.F.; Valeri, L.; Claus Henn, B.; Christiani, D.C.; Wright, R.O.; Mazumdar, M.; Godleski, J.J.; Coull, B.A. Bayesian kernel machine regression for estimating the health effects of multi-pollutant mixtures. Biostatistics 2015, 16, 493–508. [Google Scholar] [CrossRef]
- Kaplan, B.J.; Giesbrecht, G.F.; Leung, B.M.; Field, C.J.; Dewey, D.; Bell, R.C.; Manca, D.P.; O’Beirne, M.; Johnston, D.W.; Pop, V.J.; et al. The Alberta Pregnancy Outcomes and Nutrition (APrON) cohort study: Rationale and methods. Matern. Child Nutr. 2014, 10, 44–60. [Google Scholar] [CrossRef]
- Letourneau, N.; Aghajafari, F.; Bell, R.C.; Deane, A.J.; Dewey, D.; Field, C.; Giesbrecht, G.; Kaplan, B.; Leung, B.; Ntanda, H.; et al. The Alberta Pregnancy Outcomes and Nutrition (APrON) longitudinal study: Cohort profile and key findings from the first three years. BMJ Open 2022, 12, e047503. [Google Scholar] [CrossRef]
- Soomro, M.H.; England-Mason, G.; Liu, J.; Reardon, A.J.F.; MacDonald, A.M.; Kinniburgh, D.W.; Martin, J.W.; Dewey, D.; APrON Study Team. Associations between the chemical exposome and pregnancy induced hypertension. Environ. Res. 2023, 237, 116838. [Google Scholar] [CrossRef]
- England-Mason, G.; Martin, J.W.; MacDonald, A.; Kinniburgh, D.; Giesbrecht, G.F.; Letourneau, N.; Dewey, D. Similar names, different results: Consistency of the associations between prenatal exposure to phthalates and parent-ratings of behavior problems in preschool children. Environ. Int. 2020, 142, 105892. [Google Scholar] [CrossRef] [PubMed]
- Hornung, R.W.; Reed, L.D. Estimation of average concentration in the presence of non-detectable values. Appl. Occup. Environ. Hyg. 1990, 5, 46–51. [Google Scholar] [CrossRef]
- Liu, J.; Martin, L.J.; Dinu, I.; Field, C.J.; Dewey, D.; Martin, J.W. Interaction of prenatal bisphenols, maternal nutrients, and toxic metal exposures on neurodevelopment of 2-year-olds in the APrON cohort. Environ. Int. 2021, 155, 106601. [Google Scholar] [CrossRef]
- England-Mason, G.; Liu, J.; Martin, J.W.; Giesbrecht, G.F.; Letourneau, N.; Dewey, D.; APrON Study Team. Postnatal BPA is associated with increasing executive function difficulties in preschool children. Pediatr. Res. 2021, 89, 686–693. [Google Scholar] [CrossRef]
- Landgraf, J.; Abetz, L.; Ware, J., Jr. The Child Health Questionnaire (CHQ): A User’s Manual; Health Act CHQ: Boston, MA, USA, 1999. [Google Scholar]
- Ivkovic-Jurekovic, I. Oral allergy syndrome in children. Int. Dent. J. 2015, 65, 164–168. [Google Scholar] [CrossRef]
- Mastrorilli, C.; Caffarelli, C.; Hoffmann-Sommergruber, K. Food allergy and atopic dermatitis: Prediction, progression, and prevention. Pediatr. Allergy Immunol. 2017, 28, 831–840. [Google Scholar] [CrossRef]
- Iweala, O.I.; Choudhary, S.K.; Commins, S.P. Food Allergy. Curr. Gastroenterol. Rep. 2018, 20, 17. [Google Scholar] [CrossRef]
- Froidure, A.; Mouthuy, J.; Durham, S.R.; Chanez, P.; Sibille, Y.; Pilette, C. Asthma phenotypes and IgE responses. Eur. Respir. J. 2016, 47, 304–319. [Google Scholar] [CrossRef]
- Lee, S.; Park, S.K.; Park, H.; Lee, W.; Lee, J.H.; Hong, Y.C.; Ha, M.; Kim, Y.; Lee, B.E.; Ha, E. Joint association of prenatal bisphenol-A and phthalates exposure with risk of atopic dermatitis in 6-month-old infants. Sci. Total Environ. 2021, 789, 147953. [Google Scholar] [CrossRef]
- Stelmach, I.; Majak, P.; Jerzynska, J.; Podlecka, D.; Stelmach, W.; Polanska, K.; Ligocka, D.; Hanke, W. The effect of prenatal exposure to phthalates on food allergy and early eczema in inner-city children. Allergy Asthma Proc. 2015, 36, e72–e78. [Google Scholar] [CrossRef]
- Hsu, N.Y.; Lee, C.C.; Wang, J.Y.; Li, Y.C.; Chang, H.W.; Chen, C.Y.; Bornehag, C.G.; Wu, P.C.; Sundell, J.; Su, H.J. Predicted risk of childhood allergy, asthma, and reported symptoms using measured phthalate exposure in dust and urine. Indoor Air 2011, 22, 186–199. [Google Scholar] [CrossRef]
- Barr, D.B.; Wilder, L.C.; Caudill, S.P.; Gonzalez, A.J.; Needham, L.L.; Pirkle, J.L. Urinary creatinine concentrations in the U.S. population: Implications for urinary biologic monitoring measurements. Environ. Health Perspect. 2005, 113, 192–200. [Google Scholar] [CrossRef]
- Benjamini, Y.; Hochberg, Y. Controlling the false discovery rate: A practical and powerful approach to multiple testing. J. R. Stat. Soc. Ser. B 1995, 57, 289–300. [Google Scholar] [CrossRef]
- Kowalik, A.; Cichocka-Jarosz, E.; Kwinta, P. Atopic dermatitis and gestational age—Is there an association between them? A review of the literature and an analysis of pathology. Postep. Dermatol. I Alergol. 2023, 40, 341–349. [Google Scholar] [CrossRef] [PubMed]
- Wooldridge, A.L.; McMillan, M.; Kaur, M.; Giles, L.C.; Marshall, H.S.; Gatford, K.L. Relationship between birth weight or fetal growth rate and postnatal allergy: A systematic review. J. Allergy Clin. Immunol. 2019, 144, 1703–1713. [Google Scholar] [CrossRef] [PubMed]
- Loid, P.; Goksor, E.; Alm, B.; Pettersson, R.; Mollborg, P.; Erdes, L.; Aberg, N.; Wennergren, G. A persistently high body mass index increases the risk of atopic asthma at school age. Acta Paediatr. 2015, 104, 707–712. [Google Scholar] [CrossRef]
- Carrico, C.; Gennings, C.; Wheeler, D.C.; Factor-Litvak, P. Characterization of Weighted Quantile Sum Regression for Highly Correlated Data in a Risk Analysis Setting. J. Agric. Biol. Environ. Stat. 2015, 20, 100–120. [Google Scholar] [CrossRef]
- Zhou, Y.; Wang, P.; Li, J.; Zhao, Y.; Huang, Y.; Sze-Yin Leung, K.; Shi, H.; Zhang, Y. Mixed exposure to phthalates and organic UV filters affects Children’s pubertal development in a gender-specific manner. Chemosphere 2023, 320, 138073. [Google Scholar] [CrossRef]
- Lazarevic, N.; Barnett, A.G.; Sly, P.D.; Knibbs, L.D. Statistical Methodology in Studies of Prenatal Exposure to Mixtures of Endocrine-Disrupting Chemicals: A Review of Existing Approaches and New Alternatives. Environ. Health Perspect. 2019, 127, 26001. [Google Scholar] [CrossRef] [PubMed]
- Roberts, S.; Nowak, G. Stabilizing the lasso against cross-validation variability. Comput. Stat. Data Anal. 2014, 70, 198–211. [Google Scholar] [CrossRef]
- Urminsky, O.; Hansen, C.; Chernozhukov, V. The Double-Lasso Method for Principled Variable Selection. PsyArXiv 2019, 2019, 1–70. [Google Scholar] [CrossRef]
- Lee, J.H.; Shi, Z.; Gao, Z. On LASSO for predictive pregression. J. Econom. 2022, 229, 322–349. [Google Scholar] [CrossRef]
- Belloni, A.; Chernozhukov, V.; Hansen, C. Inference on treatment effects after selection among high-dimentional controls. Rev. Econ. Stud. 2014, 81, 608–650. [Google Scholar] [CrossRef]
- McEligot, A.J.; Poynor, V.; Sharma, R.; Panangadan, A. Logistic LASSO Regression for Dietary Intakes and Breast Cancer. Nutrients 2020, 12, 2652. [Google Scholar] [CrossRef]
- Bobb, J.F.; Claus Henn, B.; Valeri, L.; Coull, B.A. Statistical software for analyzing the health effects of multiple concurrent exposures via Bayesian kernel machine regression. Environ. Health 2018, 17, 67. [Google Scholar] [CrossRef]
- Coker, E.; Chevrier, J.; Rauch, S.; Bradman, A.; Obida, M.; Crause, M.; Bornman, R.; Eskenazi, B. Association between prenatal exposure to multiple insecticides and child body weight and body composition in the VHEMBE South African birth cohort. Environ. Int. 2018, 113, 122–132. [Google Scholar] [CrossRef]
- Barbieri, M.M.; Berger, J.O. Optimal predictive model selection. Ann. Stat. 2004, 32, 870–897. [Google Scholar] [CrossRef]
- Podlecka, D.; Gromadzinska, J.; Mikolajewska, K.; Fijalkowska, B.; Stelmach, I.; Jerzynska, J. Longitudinal effect of phthalates exposure on allergic diseases in children. Ann. Allergy Asthma Immunol. 2020, 125, 84–89. [Google Scholar] [CrossRef] [PubMed]
- Smit, L.A.M.; Lenters, V.; Hoyer, B.B.; Lindh, C.H.; Pedersen, H.S.; Liermontova, I.; Jonsson, B.A.; Piersma, A.H.; Bonde, J.P.; Toft, G.; et al. Prenatal exposure to environmental chemical contaminants and asthma and eczema in school-age children. Allergy 2015, 70, 653–660. [Google Scholar] [CrossRef] [PubMed]
- Just, A.C.; Whyatt, R.M.; Perzanowski, M.S.; Calafat, A.M.; Perera, F.P.; Goldstein, I.F.; Chen, Q.; Rundle, A.G.; Miller, R.L. Prenatal exposure to butylbenzyl phthalate and early eczema in an urban cohort. Environ. Health Perspect. 2012, 120, 1475–1480. [Google Scholar] [CrossRef] [PubMed]
- Lee, J.Y.; Lee, J.; Huh, D.A.; Moon, K.W. Association between environmental exposure to phthalates and allergic disorders in Korean children: Korean National Environmental Health Survey (KoNEHS) 2015–2017. Int. J. Hyg. Environ. Health 2021, 238, 113857. [Google Scholar] [CrossRef]
- Li, X.N.; Wu, D.; Liu, Y.; Zhang, S.S.; Tian, F.L.; Sun, Q.; Wei, W.; Cao, X.; Jia, L.H. Prenatal exposure to bisphenols, immune responses in cord blood and infantile eczema: A nested prospective cohort study in China. Ecotoxicol. Environ. Saf. 2021, 228, 112987. [Google Scholar] [CrossRef]
- Nygaard, U.C.; Ulriksen, E.S.; Hjertholm, H.; Sonnet, F.; Bolling, A.K.; Andreassen, M.; Husoy, T.; Dirven, H. Immune cell profiles associated with measured exposure to phthalates in the Norwegian EuroMix biomonitoring study—A mass cytometry approach in toxicology. Environ. Int. 2021, 146, 106283. [Google Scholar] [CrossRef]
- Eisner, A.; Gao, Y.; Collier, F.; Drummond, K.; Thomson, S.; Burgner, D.; Vuillermin, P.; Tang, M.L.; Mueller, J.; Symeonides, C.; et al. Cord blood immune profile: Associations with higher prenatal plastic chemical levels. Environ. Pollut. 2022, 315, 120332. [Google Scholar] [CrossRef]
- Arbuckle, T.E.; Davis, K.; Marro, L.; Fisher, M.; Legrand, M.; LeBlanc, A.; Gaudreau, E.; Foster, W.G.; Choeurng, V.; Fraser, W.D. Phthalate and bisphenol A exposure among pregnant women in Canada—Results from the MIREC study. Environ. Int. 2014, 68, 55–65. [Google Scholar] [CrossRef]
- Gascon, M.; Casas, M.; Morales, E.; Valvi, D.; Ballesteros-Gomez, A.; Luque, N.; Rubio, S.; Monfort, N.; Ventura, R.; Martinez, D.; et al. Prenatal exposure to bisphenol A and phthalates and childhood respiratory tract infections and allergy. J. Allergy Clin. Immunol. 2015, 135, 370–378. [Google Scholar] [CrossRef] [PubMed]
- Bertelsen, R.J.; Carlsen, K.C.; Calafat, A.M.; Hoppin, J.A.; Haland, G.; Mowinckel, P.; Carlsen, K.H.; Lovik, M. Urinary biomarkers for phthalates associated with asthma in Norwegian children. Environ. Health Perspect. 2013, 121, 251–256. [Google Scholar] [CrossRef] [PubMed]
- Teixeira, D.; Marques, C.; Pestana, D.; Faria, A.; Norberto, S.; Calhau, C.; Monteiro, R. Effects of xenoestrogens in human M1 and M2 macrophage migration, cytokine release, and estrogen-related signaling pathways. Environ. Toxicol. 2016, 31, 1496–1509. [Google Scholar] [CrossRef] [PubMed]
- Bansal, A.; Henao-Mejia, J.; Simmons, R.A. Immune System: An Emerging Player in Mediating Effects of Endocrine Disruptors on Metabolic Health. Endocrinology 2018, 159, 32–45. [Google Scholar] [CrossRef]
- Nishioka, J.; Iwahara, C.; Kawasaki, M.; Yoshizaki, F.; Nakayama, H.; Takamori, K.; Ogawa, H.; Iwabuchi, K. Di-(2-ethylhexyl) phthalate induces production of inflammatory molecules in human macrophages. Inflamm. Res. 2012, 61, 69–78. [Google Scholar] [CrossRef]
- Ochiai, S.; Roediger, B.; Abtin, A.; Shklovskaya, E.; Fazekas de St Groth, B.; Yamane, H.; Weninger, W.; Le Gros, G.; Ronchese, F. CD326(lo)CD103(lo)CD11b(lo) dermal dendritic cells are activated by thymic stromal lymphopoietin during contact sensitization in mice. J. Immunol. 2014, 193, 2504–2511. [Google Scholar] [CrossRef]
- Noval Rivas, M.; Chatila, T.A. Regulatory T cells in allergic diseases. J. Allergy Clin. Immunol. 2016, 138, 639–652. [Google Scholar] [CrossRef]
- Salimi, M.; Barlow, J.L.; Saunders, S.P.; Xue, L.; Gutowska-Owsiak, D.; Wang, X.; Huang, L.C.; Johnson, D.; Scanlon, S.T.; McKenzie, A.N.; et al. A role for IL-25 and IL-33-driven type-2 innate lymphoid cells in atopic dermatitis. J. Exp. Med. 2013, 210, 2939–2950. [Google Scholar] [CrossRef]
- Yan, H.; Takamoto, M.; Sugane, K. Exposure to Bisphenol A prenatally or in adulthood promotes T(H)2 cytokine production associated with reduction of CD4CD25 regulatory T cells. Environ. Health Perspect. 2008, 116, 514–519. [Google Scholar] [CrossRef]
- Byberg, K.K.; Eide, G.E.; Forman, M.R.; Juliusson, P.B.; Oymar, K. Body mass index and physical activity in early childhood are associated with atopic sensitization, atopic dermatitis and asthma in later childhood. Clin. Transl. Allergy 2016, 6, 33. [Google Scholar] [CrossRef]


| Characteristics | Present Study (N = 556) | APrON Cohort (N = 2189) | |||
|---|---|---|---|---|---|
| N | % | N | % | p Value | |
| Maternal Age | |||||
| <25 | 18 | 3.2 | 148 | 6.8 | 0.005 |
| 25–29 | 147 | 26.4 | 586 | 26.7 | |
| 30–34 | 262 | 47.2 | 912 | 41.7 | |
| ≥35 | 18 | 3.2 | 148 | 6.8 | |
| Missing | 7 | 1.3 | 79 | 3.6 | |
| Parity | |||||
| 0 | 304 | 54.7 | 1194 | 54.6 | 0.19 |
| 1 | 196 | 35.3 | 717 | 32.7 | |
| ≥2 | 49 | 8.8 | 223 | 10.2 | |
| Missing | 7 | 1.3 | 55 | 2.5 | |
| Pre-Pregnancy BMI | |||||
| <18.5 | 16 | 2.9 | 79 | 3.6 | 0.83 |
| 18.5–24.9 | 343 | 61.7 | 1339 | 61.2 | |
| 25–30 | 126 | 22.6 | 482 | 22.0 | |
| >30 | 71 | 12.8 | 289 | 13.2 | |
| Missing | 2 | 0.4 | 79 | 3.6 | |
| Maternal Education | |||||
| Less than high school/high school diploma/technical/ trade school | 141 | 25.4 | 663 | 30.3 | 0.01 |
| University degree | 405 | 72.8 | 1459 | 66.6 | |
| Missing | 10 | 1.8 | 67 | 3.1 | |
| Smoking during pregnancy | |||||
| Yes | 6 | 1.1 | 47 | 2.2 | 0.23 |
| No | 531 | 95.5 | 2058 | 94.0 | |
| Missing | 19 | 3.4 | 84 | 3.8 | |
| Gestational age | |||||
| <37 gestational week | 34 | 6.1 | 197 | 9.0 | 0.0001 |
| ≥37 gestational week | 515 | 92.6 | 1832 | 83.7 | |
| Missing | 7 | 1.3 | 160 | 7.3 | |
| Household Income | |||||
| <$70,000 | 100 | 18.0 | 469 | 21.2 | 0.0001 |
| ≥$70,000 | 447 | 80.4 | 1608 | 73.6 | |
| Missing | 9 | 1.7 | 112 | 5.2 | |
| Marital Status | |||||
| Married/cohabitating | 535 | 96.2 | 1998 | 91.3 | 0.0004 |
| Unmarried/single/ divorce/separated/ widowed | 14 | 2.6 | 115 | 5.2 | |
| Missing | 7 | 1.3 | 76 | 3.5 | |
| Race | |||||
| White | 479 | 86.2 | 1774 | 81.0 | 0.0008 |
| Non-white | 76 | 13.7 | 343 | 15.7 | |
| Missing | 1 | 0.2 | 72 | 3.3 | |
| Child birthweight (g) | |||||
| <2500 | 28 | 5.0 | 114 | 5.2 | 0.05 |
| ≥2500 | 521 | 93.7 | 2006 | 91.6 | |
| Missing | 7 | 1.3 | 69 | 3.2 | |
| Child Sex | |||||
| Female | 263 | 47.3 | 1003 | 45.8 | 0.10 |
| Male | 286 | 51.4 | 1124 | 51.4 | |
| Missing | 7 | 1.3 | 62 | 2.8 | |
| Characteristics | Females (N = 263) | Males (N = 286) | ||
|---|---|---|---|---|
| N | % | N | % | |
| Maternal Age | ||||
| <25 | 7 | 2.7 | 10 | 3.5 |
| 25–29 | 63 | 24.0 | 82 | 28.7 |
| 30–34 | 131 | 49.8 | 129 | 45.1 |
| ≥35 | 62 | 23.6 | 65 | 22.7 |
| Parity | ||||
| 0 | 133 | 50.6 | 171 | 59.8 |
| 1 | 113 | 43.0 | 83 | 29.0 |
| ≥2 | 17 | 6.5 | 32 | 11.2 |
| Pre-Pregnancy BMI | ||||
| <18.5 | 8 | 3.0 | 6 | 2.1 |
| 18.5–24.9 | 161 | 61.2 | 178 | 62.2 |
| 25–30 | 62 | 23.6 | 62 | 21.7 |
| >30 | 32 | 12.2 | 38 | 13.3 |
| Maternal Education | ||||
| Less than high school/high school diploma/technical/ trade school | 68 | 25.9 | 73 | 25.5 |
| University degree | 193 | 73.4 | 212 | 74.1 |
| Smoking during pregnancy | ||||
| Yes | 11 | 4.2 | 14 | 4.8 |
| No | 252 | 95.8 | 272 | 95.2 |
| Gestational age | ||||
| <37 gestational week | 13 | 4.9 | 21 | 7.3 |
| ≥37 gestational week | 249 | 94.7 | 265 | 92.7 |
| Household Income | ||||
| <$70,000 | 41 | 15.6 | 59 | 20.6 |
| ≥$70,000 | 222 | 84.4 | 225 | 78.7 |
| Marital Status | ||||
| Married/cohabitating | 256 | 97.3 | 279 | 97.6 |
| Unmarried/single/ divorce/separated/widowed | 5 | 1.9 | 5 | 1.7 |
| Missing | 2 | 0.8 | 2 | 0.7 |
| Race | ||||
| White | 227 | 86.3 | 246 | 86.0 |
| Non-white | 36 | 13.7 | 40 | 14.0 |
| Child birthweight (g) | ||||
| <2500 | 12 | 4.6 | 16 | 5.6 |
| ≥2500 | 251 | 95.4 | 270 | 94.4 |
| Percentile | |||||||||||||
|---|---|---|---|---|---|---|---|---|---|---|---|---|---|
| Parent Compound | Abbreviation | Metabolite (µg/L) | Abbrev | LOD | % > LOD | GM | Minimum | 5th | 25th | 50th | 75th | 95th | Maximum |
| Phthalates | |||||||||||||
| Di-methyl phthalate | DMP | Mono-methyl phthalate | MMP | 0.10 µg/L | 99.4 | 2.3 | <LOD | 0.4 | 1.3 | 2.4 | 4.2 | 9.8 | 98.7 |
| Di-ethyl phthalate | DEP | Mono-ethyl phthalate | MEP | 0.10 µg/L | 100 | 50.4 | 0.1 | 5.2 | 17.7 | 45.4 | 144.2 | 651.2 | 22,520.6 |
| Di-n-butyl phthalate | DBP | Mono-n-butyl phthalate | MBP | 0.10 µg/L | 99.1 | 16.2 | <LOD | 2.8 | 8.9 | 16.6 | 30.3 | 81.9 | 1129.7 |
| Di-iso-butyl phthalate | DiBP | Mono-iso-butyl phthalate | MiBP | 0.10 µg/L | 98.9 | 9.4 | <LOD | 1.9 | 5.6 | 10.3 | 17.6 | 41.5 | 374.2 |
| Di-(2-ethyl-hexyl) phthalate | DEHP | Mono-(2-ethyl-5-carboxypentyl) phthalate | MECPP | 0.10 µg/L | 100 | 14.2 | 0.4 | 2.7 | 7.8 | 14.9 | 26.4 | 68.3 | 341.6 |
| Di-(2-ethyl-hexyl) phthalate | DEHP | Mono(2-ethyl-5-hydroxyhexyl) phthalate | MEHHP | 0.10 µg/L | 100 | 9.7 | 0.2 | 1.8 | 5.2 | 10.1 | 18.4 | 49.3 | 250.4 |
| Di-(2-ethyl-hexyl) phthalate | DEHP | Mono(2-ethyl-5-oxohexyl) phthalate | MEOHP | 0.10 µg/L | 100 | 8.1 | 0.2 | 1.5 | 4.5 | 8.4 | 15.2 | 24.5 | 192.3 |
| Di-(2-ethyl-hexyl) phthalate | DEHP | Mono(2-ethylhexyl) phthalate | MEHP | 0.10 µg/L | 99.1 | 3.2 | <LOD | 0.5 | 1.6 | 3.2 | 6.3 | 17.7 | 120.1 |
| Benzylbutyl phthalate | BBzP | Monobenzyl phthalate | MBzP | 0.10 µg/L | 99.2 | 7.5 | <LOD | 1.1 | 3.5 | 8.1 | 16.1 | 54.0 | 515.5 |
| Di-isononyl phthalate | DiNP | Monocarboxy-isooctyl phthalate | MCOP | 0.10 µg/L | 99.8 | 12.5 | <LOD | 1.5 | 5.1 | 11.8 | 27.4 | 143.9 | 1139.7 |
| Di-isononyl phthalate | DiNP | Mono-isononyl phthalate | MNP | 0.10 µg/L | 99.8 | 4.1 | <LOD | 0.4 | 1.3 | 3.1 | 8.7 | 125.9 | 1612.5 |
| Di-isodecyl phthalate | DiDP | Mononcarboxy-isononyl phthalate | MCNP | 0.10 µg/L | 91.0 | 1.1 | <LOD | 0.1 | 0.5 | 1.1 | 2.2 | 9.3 | 353.9 |
| Di-cyclohexyl phthalate | DCHP | Mono-cyclohexyl phthalate | MCHP | 0.10 µg/L | <50.0 | 0.1 | <LOD | <LOD | <LOD | <LOD | 0.1 | 0.9 | 29.9 |
| Di-n-octyl phthalate | DOP | Mono-n-octyl phthalate | MOP | 0.10 µg/L | <50.0 | 0.1 | <LOD | <LOD | <LOD | <LOD | 0.1 | 0.5 | 66.2 |
| Bisphenols | |||||||||||||
| Bisphenol A | BPA | - | - | 0.32 µg/mL | 92.3 | 1.1 | <LOD | <LOD | 0.5 | 1.0 | 2.1 | 6.9 | 44.1 |
| Bisphenol S | BPS | - | - | 0.10 µg/mL | 58.6 | 0.1 | <LOD | <LOD | <LOD | 0.12 | 0.3 | 1.1 | 243.1 |
| N | Prevalence | N | Incidence | |
|---|---|---|---|---|
| Food Allergies | ||||
| 12 months | 40 | 7.2 | 40 | 7.2 |
| 24 months | 103 | 18.5 | 63 | 11.3 |
| 36 months | 156 | 28.1 | 53 | 9.5 |
| Eczema | ||||
| 12 months | 105 | 18.9 | 105 | 18.9 |
| 36 months | 197 | 35.4 | 92 | 16.5 |
| Rash | ||||
| 12 months | 189 | 33.9 | 189 | 33.9 |
| 36 months | 340 | 61.1 | 151 | 27.1 |
| Asthma | ||||
| 12 months | 2 | 0.4 | 2 | 0.4 |
| 24 months | 11 | 1.9 | 9 | 1.6 |
| 36 months | 33 | 5.7 | 22 | 3.9 |
| N | MMP | MEP | MBP | MiBP | MECPP | MEHHP | MEOHP | MEHP | MBzP | MCOP | MNP | MCNP | ΣDEHP | |
|---|---|---|---|---|---|---|---|---|---|---|---|---|---|---|
| Food Allergies | ||||||||||||||
| 12 months | 556 | 0.81 (0.54–1.23) | 0.88 (0.68–1.13) | 1.19 (0.82–1.72) | 0.96 (0.62–1.48) | 0.81 (0.51–1.27) | 0.85 (0.56–1.30) | 0.85 (0.54–1.34) | 0.87 (0.62–1.23) | 0.89 (0.62–1.28) | 1.08 (0.82–1.42) | 1.08 (0.89–1.31) | 1.02 (0.84–1.24) | 0.80 0.51–1.25) |
| 24 months | 556 | 0.82 (0.59–1.14) | 1.02 (0.85–1.23) | 0.97 (0.73–1.30) | 1.00 (0.73–1.39) | 1.09 (0.78–1.51) | 0.93 (0.67–1.27) | 0.98 (0.70–1.37) | 0.91 (0.70–1.18) | 0.74 (0.55–1.00) † | 0.95 (0.76–1.20) | 0.89 (0.74–1.06) | 1.03 (0.89–1.19) | 0.95 (0.69–1.31) |
| 36 months | 556 | 1.17 (0.83–1.63) | 0.97 (0.80–1.19) | 0.81 (0.60–1.11) | 0.91 (0.65–1.27) | 0.82 (0.57–1.18) | 0.86 (0.62–1.21) | 0.84 (0.58–1.20) | 1.12 (0.87–1.43) | 1.22 (0.92–1.63) | 1.10 (0.86–1.39) | 1.05 (0.89–1.23) | 0.94 (0.79–1.12) | 0.98 (0.70–1.36) |
| Eczema | ||||||||||||||
| 12 months | 556 | 0.77 (0.58–1.02) † | 0.90 (0.77–1.06) | 0.98 (0.76–1.25) | 0.78 (0.59–1.02) † | 1.09 (0.82–1.45) | 1.07 (0.82–1.40) | 1.01 (0.76–1.34) | 1.04 (0.85–1.28) | 0.76 (0.60–0.97) * | 1.10 (0.91–1.33) | 1.03 (0.90–1.18) | 0.97 (0.85–1.11) | 1.11 (0.85–1.44) |
| 36 months | 556 | 1.29 (1.00–1.68) * | 0.90 (0.77–1.05) | 0.89 (0.70–1.14) | 0.88 (0.67–1.15) | 1.13 (0.86–1.50) | 1.09 (0.84–1.41) | 1.06 (0.80–1.40) | 1.11 (0.91–1.36) | 1.02 (0.81–1.28) | 0.78 (0.64–0.96) * | 0.93 (0.8–1.07) | 1.11 (0.99–1.25) † | 1.15 (0.89–1.49) |
| Rash | ||||||||||||||
| 12 months | 556 | 0.88 (0.70–1.11) | 0.94 (0.82–1.07) | 1.07 (0.87–1.31) | 0.96 (0.76–1.21) | 1.14 (0.90–1.44) | 1.09 (0.88–1.36) | 1.05 (0.83–1.33) | 1.07 (0.90–1.27) | 0.89 (0.73–1.08) | 1.21 (1.03–1.41) * | 1.04 (0.93–1.16) | 0.95 (0.85–1.07) | 1.12 (0.90–1.40) |
| 36 months | 556 | 1.35 (1.08–1.69) * | 0.98 (0.87–1.11) | 1.02 (0.84–1.25) | 1.01 (0.81–1.27) | 1.02 (0.81–1.28) | 1.05 (0.85–1.30) | 1.02 (0.81–1.29) | 1.17 (0.98–1.39) † | 1.12 (0.93–1.35) | 0.86 (0.73–1.01) † | 0.91 (0.82–1.02) | 1.03 (0.92–1.14) | 1.16 (0.93–1.44) |
| Asthma | ||||||||||||||
| 12 months | 556 | 0.18 (0.02–2.14) | 1.29 (0.26–6.23) | 2.10 (0.46–9.56) | 0.56 (0.05–6.29) | 0.89 (0.09–8.46) | 0.99 (0.13–7.57) | 1.13 (0.14–8.94) | 0.60 (0.10–3.66) | 0.25 (0.01–4.31) | 0.81 (0.19–3.41) | 0.81 (0.25–2.53) | 0.64 (0.10–4.15) | 0.33 (0.01–8.45) |
| 24 months | 556 | 2.08 (0.99–4.39) † | 1.11 (0.68–1.81) | 1.11 (0.48–2.52) | 1.84 (0.67–5.06) | 1.45 (0.60–3.50) | 1.60 (0.73–3.51) | 1.51 (0.64–3.56) | 0.93 (0.45–1.93) | 0.75 (0.34–1.63) | 0.99 (0.53–1.86) | 1.01 (0.64–1.57) | 0.97 (0.61–1.58) | 1.34 (0.61–2.96) |
| 36 months | 556 | 1.01 (0.59–1.73) | 1.27 (0.97–1.67) † | 1.12 (0.67–1.88) | 1.17 (0.63–2.14) | 1.13 (0.64–1.98) | 1.08 (0.64–1.83) | 1.10 (0.63–1.91) | 0.82 (0.53–1.28) | 1.30 (0.83–2.05) | 0.69 (0.43–1.09) | 0.78 (0.56–1.10) | 0.76 (0.49–1.17) | 1.03 (0.61–1.76) |
| N | BPA | BPS | |
|---|---|---|---|
| Food Allergies | |||
| 12 months | 556 | 0.91 (0.63–1.31) | 1.17 (0.87–1.58) |
| 24 months | 556 | 0.90 (0.67–1.22) | 0.83 (0.61–1.11) |
| 36 months | 556 | 1.10 (0.82–1.45) | 0.95 (0.71–1.27) |
| Eczema | |||
| 12 months | 556 | 0.86 (0.67–1.10) | 0.98 (0.79–1.22) |
| 36 months | 556 | 0.99 (0.79–1.24) | 0.72 (0.56–0.93) * |
| Rash | |||
| 12 months | 556 | 0.89 (0.73–1.08) | 1.08 (0.91–1.30) |
| 36 months | 556 | 1.05 (0.87–1.26) | 0.81 (0.67–0.98) * |
| Asthma | |||
| 12 months | 556 | 0.68 (0.07–6.01) | 2.15 (0.88–5.23) † |
| 24 months | 556 | 0.98 (0.46–2.09) | 1.26 (0.68–2.35) |
| 36 months | 556 | 1.11 (0.72–1.72) | 0.81 (0.49–1.34) |
| Outcome | N | Exposure | Adjusted OR | p Value |
|---|---|---|---|---|
| Eczema 36 months | 556 | |||
| MMP | 1.42 (1.07–1.88) | 0.01 * | ||
| MEP | 0.87 (0.73–1.03) | 0.13 | ||
| MBP | 0.91 (0.65–1.28) | 0.61 | ||
| MiBP | 0.90 (0.61–1.33) | 0.61 | ||
| MECPP | 2.12 (0.95–4.71) | 0.06 † | ||
| MEHHP | 2.80 (0.69–11.30) | 0.14 | ||
| MEOHP | 0.18 (0.03–1.07) | 0.60 | ||
| MEHP | 1.20 (0.85–1.69) | 0.28 | ||
| MBzP | 1.09 (0.84–1.41) | 0.49 | ||
| MCOP | 0.67 (0.51–0.89) | 0.006 * | ||
| MNP | 1.01 (0.84–1.19) | 0.93 | ||
| MCNP | 1.07 (0.93–1.22) | 0.31 | ||
| BPA | 0.99 (0.76–0.93) | 0.99 | ||
| BPS | 0.73 (0.57–0.93) | 0.01 * | ||
| Rash 36 months | 556 | |||
| MMP | 1.41 (1.11–1.81) | 0.005 * | ||
| MEP | 0.95 (0.83–1.09) | 0.52 | ||
| MBP | 0.99 (0.75–1.31) | 0.96 | ||
| MiBP | 0.95 (0.70–1.28) | 0.75 | ||
| MECPP | 1.09 (0.53–2.25) | 0.79 | ||
| MEHHP | 2.69 (0.82–8.83) | 0.10 | ||
| MEOHP | 0.23 (0.05–1.02) | 0.05 † | ||
| MEHP | 1.49 (1.11–2.00) | 0.007 * | ||
| MBzP | 1.10 (0.88–1.36) | 0.37 | ||
| MCOP | 0.82 (0.69–0.98) | 0.03 * | ||
| MNP | 0.95 (0.81–1.10) | 0.50 | ||
| MCNP | 1.03 (0.91–1.16) | 0.56 | ||
| BPA | 1.04 (0.85–1.28) | 0.64 | ||
| BPS | 0.79 (0.66–0.96) | 0.01 * |
Disclaimer/Publisher’s Note: The statements, opinions and data contained in all publications are solely those of the individual author(s) and contributor(s) and not of MDPI and/or the editor(s). MDPI and/or the editor(s) disclaim responsibility for any injury to people or property resulting from any ideas, methods, instructions or products referred to in the content. |
© 2025 by the authors. Licensee MDPI, Basel, Switzerland. This article is an open access article distributed under the terms and conditions of the Creative Commons Attribution (CC BY) license (https://creativecommons.org/licenses/by/4.0/).
Share and Cite
Bartram, E.; England-Mason, G.; Martin, J.W.; MacDonald, A.M.; Kinniburgh, D.W.; Dewey, D.; Soomro, M.H., on behalf of the APrON Study Team. Prenatal Exposure to Phthalates, Bisphenols and Their Mixtures and Early Childhood Allergic Conditions and Asthma: Results from the APrON Cohort. Int. J. Environ. Res. Public Health 2025, 22, 1875. https://doi.org/10.3390/ijerph22121875
Bartram E, England-Mason G, Martin JW, MacDonald AM, Kinniburgh DW, Dewey D, Soomro MH on behalf of the APrON Study Team. Prenatal Exposure to Phthalates, Bisphenols and Their Mixtures and Early Childhood Allergic Conditions and Asthma: Results from the APrON Cohort. International Journal of Environmental Research and Public Health. 2025; 22(12):1875. https://doi.org/10.3390/ijerph22121875
Chicago/Turabian StyleBartram, Emily, Gillian England-Mason, Jonathan W. Martin, Amy M. MacDonald, David W. Kinniburgh, Deborah Dewey, and Munawar Hussain Soomro on behalf of the APrON Study Team. 2025. "Prenatal Exposure to Phthalates, Bisphenols and Their Mixtures and Early Childhood Allergic Conditions and Asthma: Results from the APrON Cohort" International Journal of Environmental Research and Public Health 22, no. 12: 1875. https://doi.org/10.3390/ijerph22121875
APA StyleBartram, E., England-Mason, G., Martin, J. W., MacDonald, A. M., Kinniburgh, D. W., Dewey, D., & Soomro, M. H., on behalf of the APrON Study Team. (2025). Prenatal Exposure to Phthalates, Bisphenols and Their Mixtures and Early Childhood Allergic Conditions and Asthma: Results from the APrON Cohort. International Journal of Environmental Research and Public Health, 22(12), 1875. https://doi.org/10.3390/ijerph22121875

