Changes in Sleep Duration and Sleep Timing in the General Population from before to during the First COVID-19 Lockdown: A Systematic Review and Meta-Analysis
Abstract
1. Introduction
2. Materials and Methods
2.1. Search Strategy and Selection Criteria
2.2. Inclusion and Exclusion Criteria
2.3. Outcomes
- Sleep duration, i.e., the amount of time that a person sleeps;
- Sleep timing, which refers to bedtime, the time the person goes to bed, and wake-up time, the time the person awakes in the morning;
- The total duration spent in bed, namely TIB, encompassing both the time dedicated to sleep and any additional time spent lying in bed, whether awake or in a state of rest;
- Napping habits that refer to the sleep time beyond the main sleep period (percentage of participants tacking nap, length, and frequency).
2.4. Data Extraction
2.5. Risk of Bias Assessment
2.6. Data Analysis
- Mean sleep duration, TIB, and sleep timing before and during the lockdown;
- The percentages of change in sleep duration (increased, decreased, no change) or in bedtime, and wake-up time (delayed, earlier, no change) during the lockdown vs. before; the percentage of atypical sleep duration (short sleep duration < 7 h/night and long sleep duration > 8 h/night) before and during the lockdown.
2.7. Subgroup Analysis
3. Results
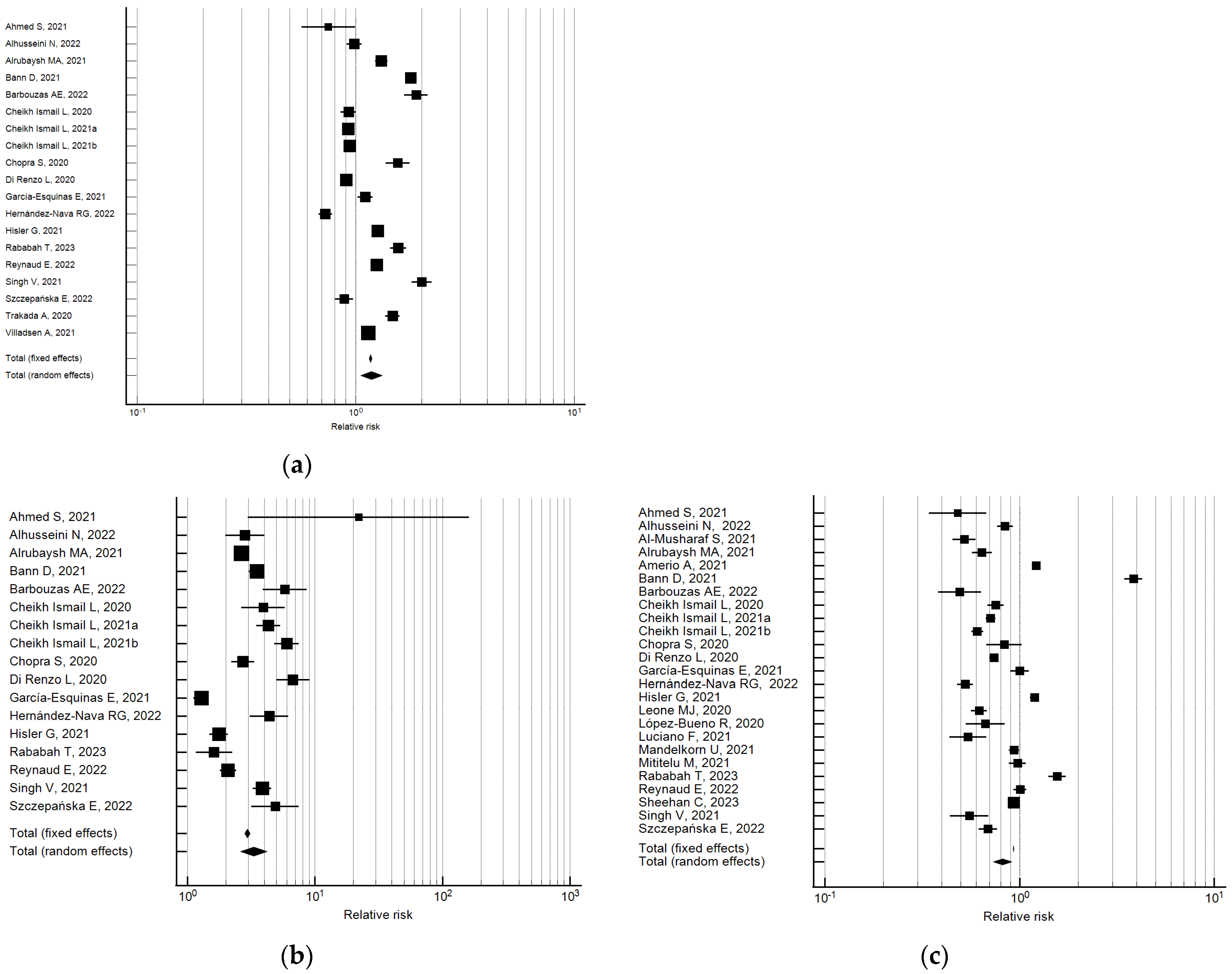
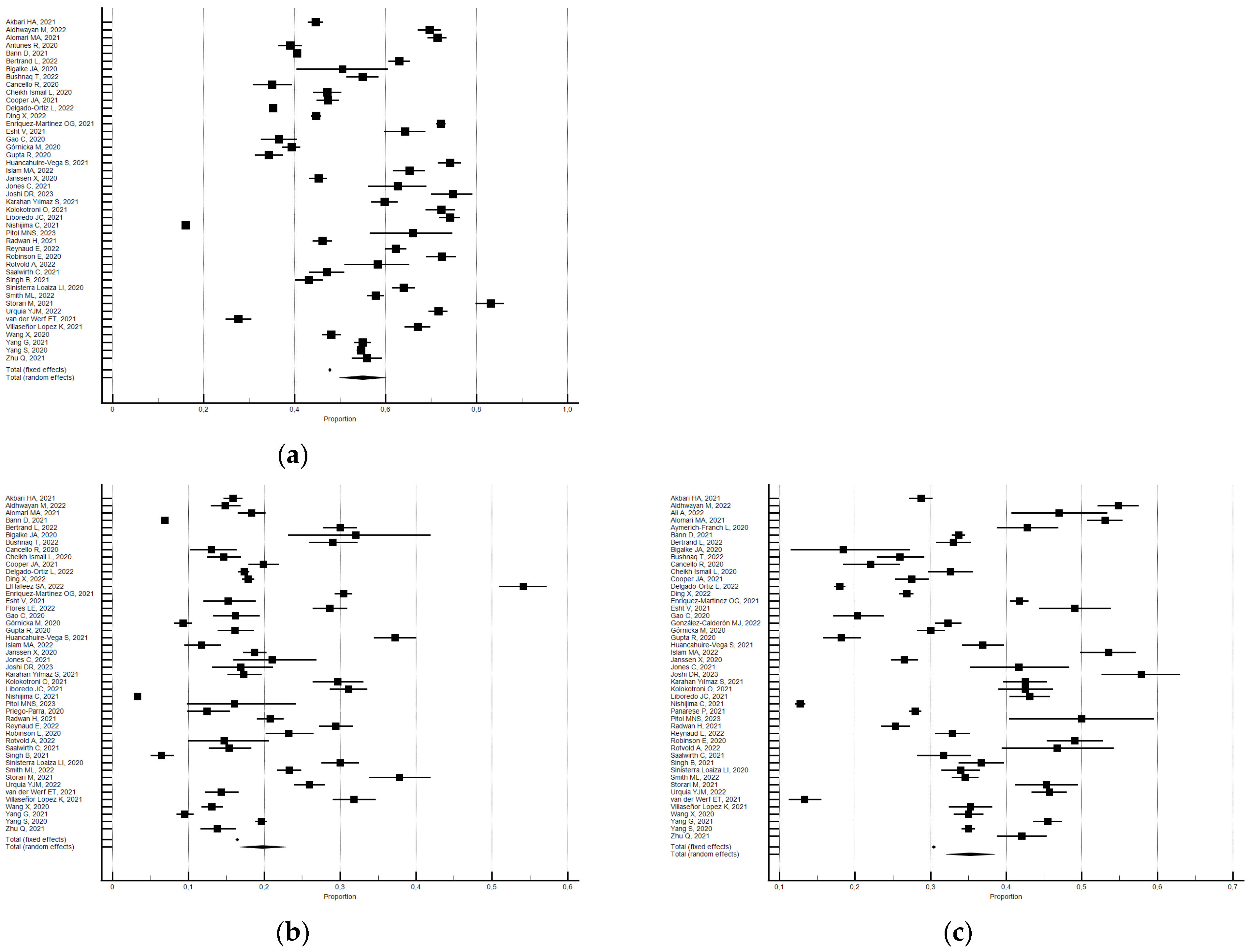
3.1. Sleep Duration
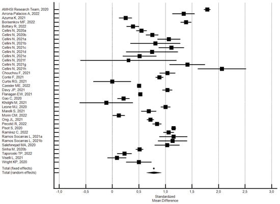
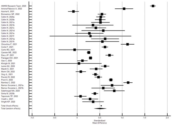
3.1.1. Meta-Analytic Changes in Sleep Duration: Means before and during the Lockdown
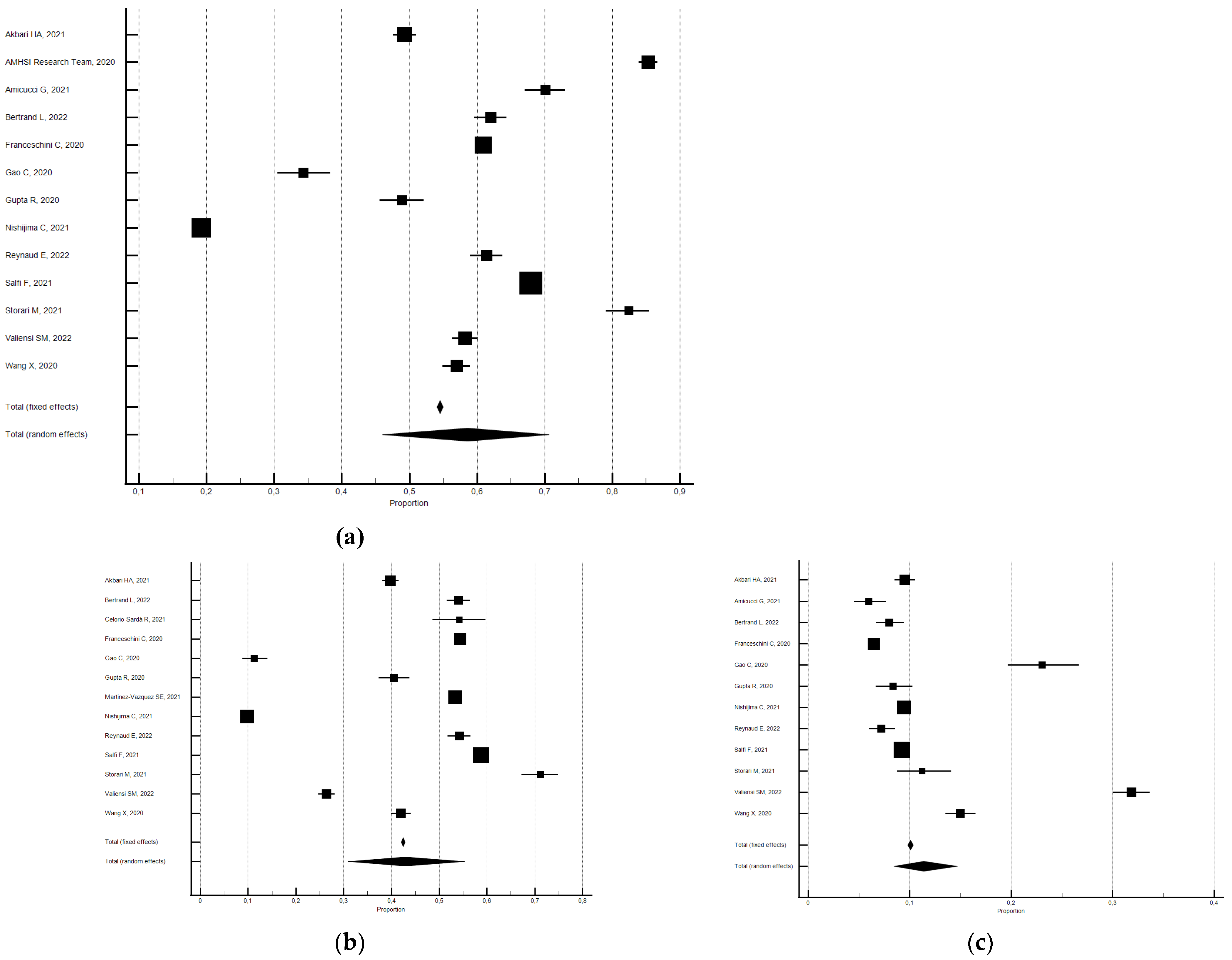
3.1.2. Meta-Analytic Changes: Percentage of Change in Sleep Duration
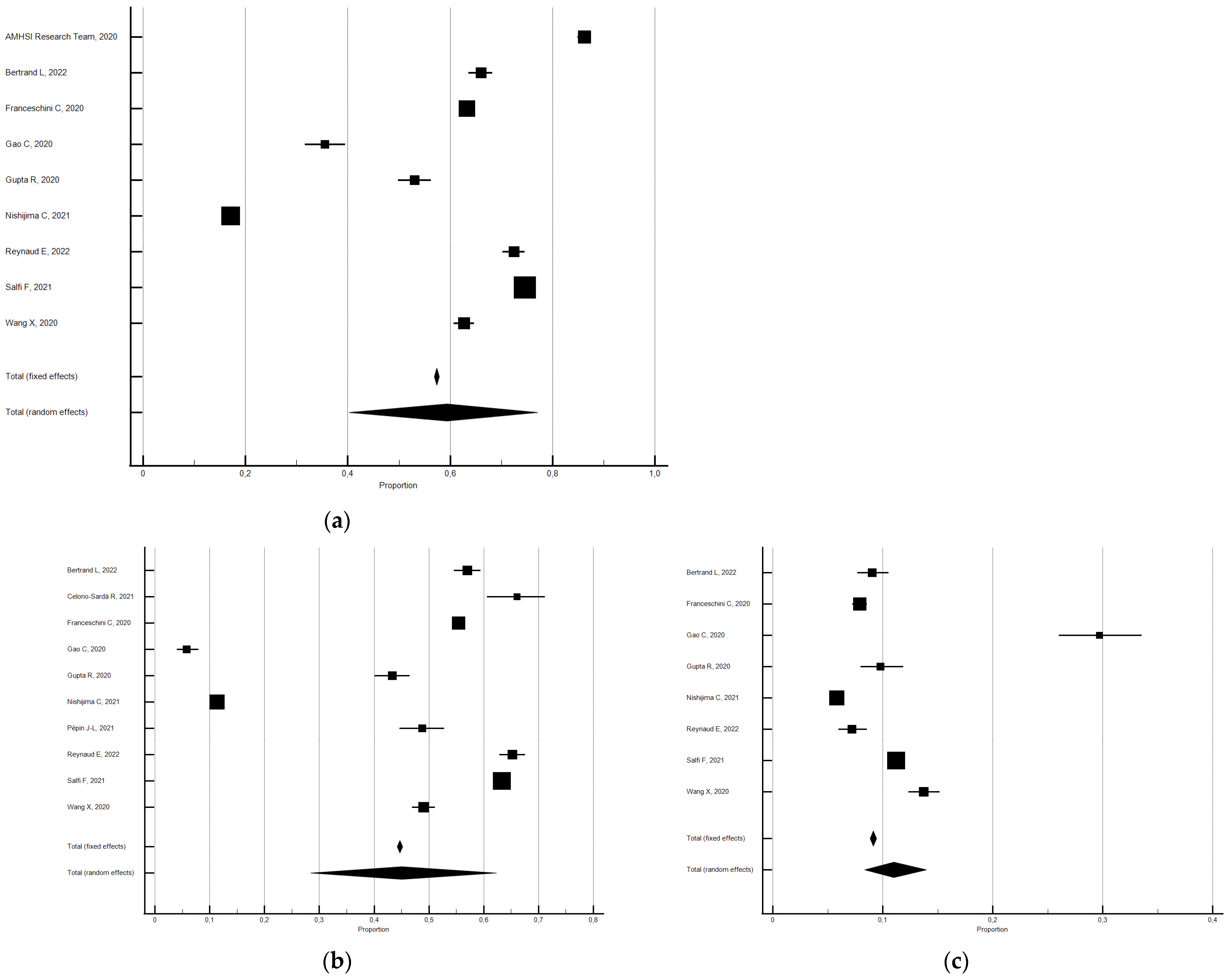
3.1.3. Meta-Analytic Changes: Percentage of Atypical Sleep Duration before and during the Lockdown
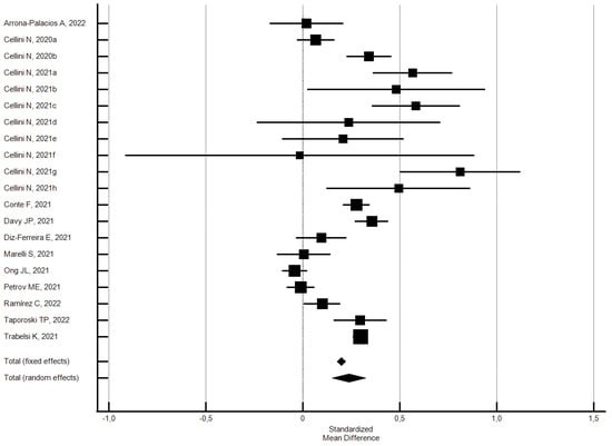
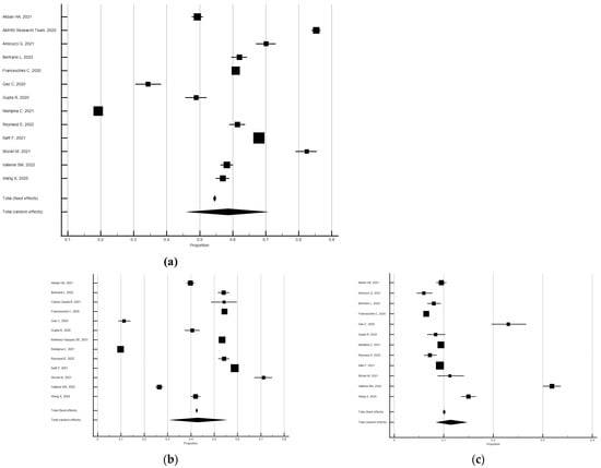
3.2. Time in Bed
Meta-Analytic Changes in Time in Bed: Means before and during the Lockdown
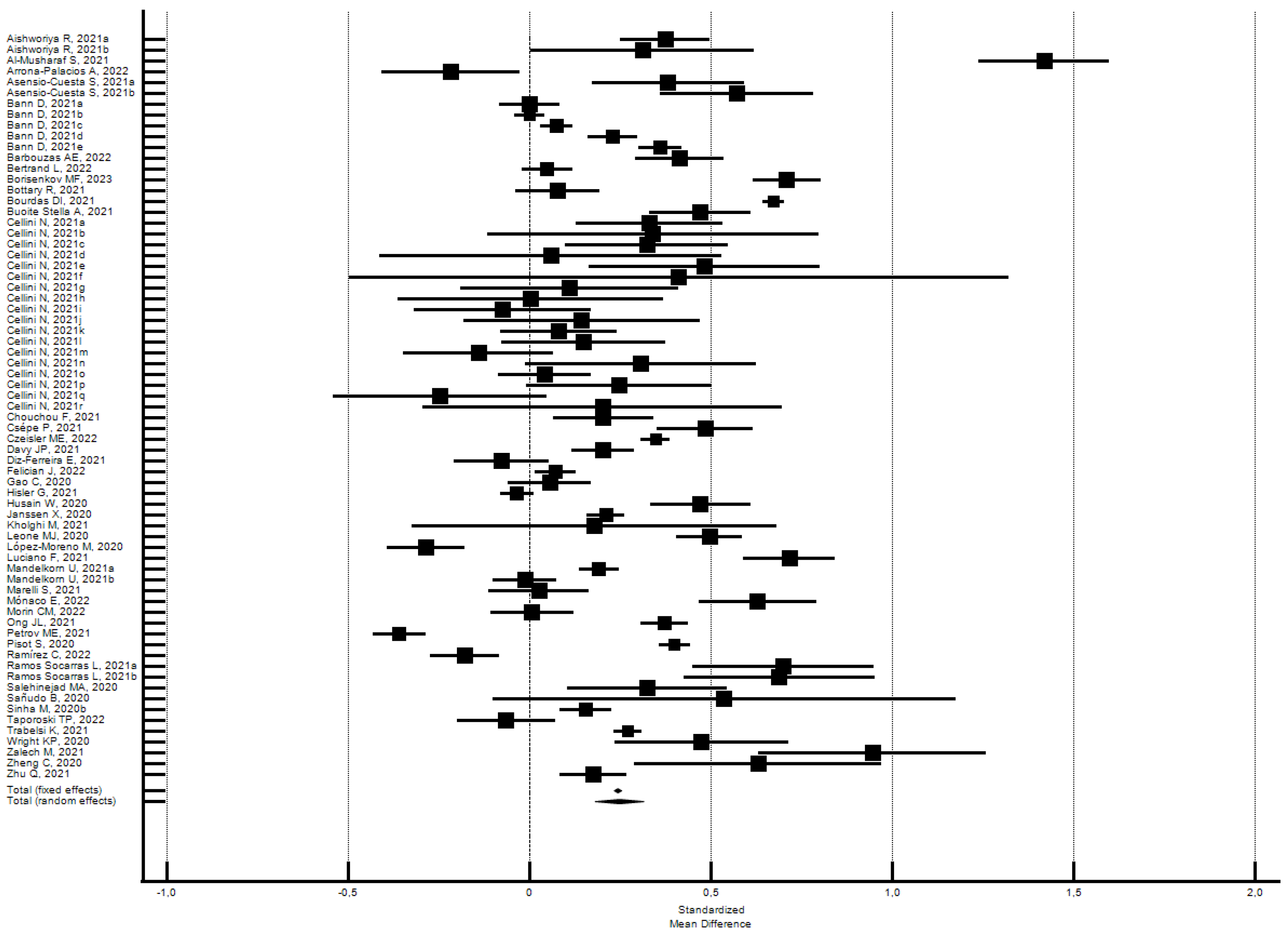
3.3. Sleep Timing
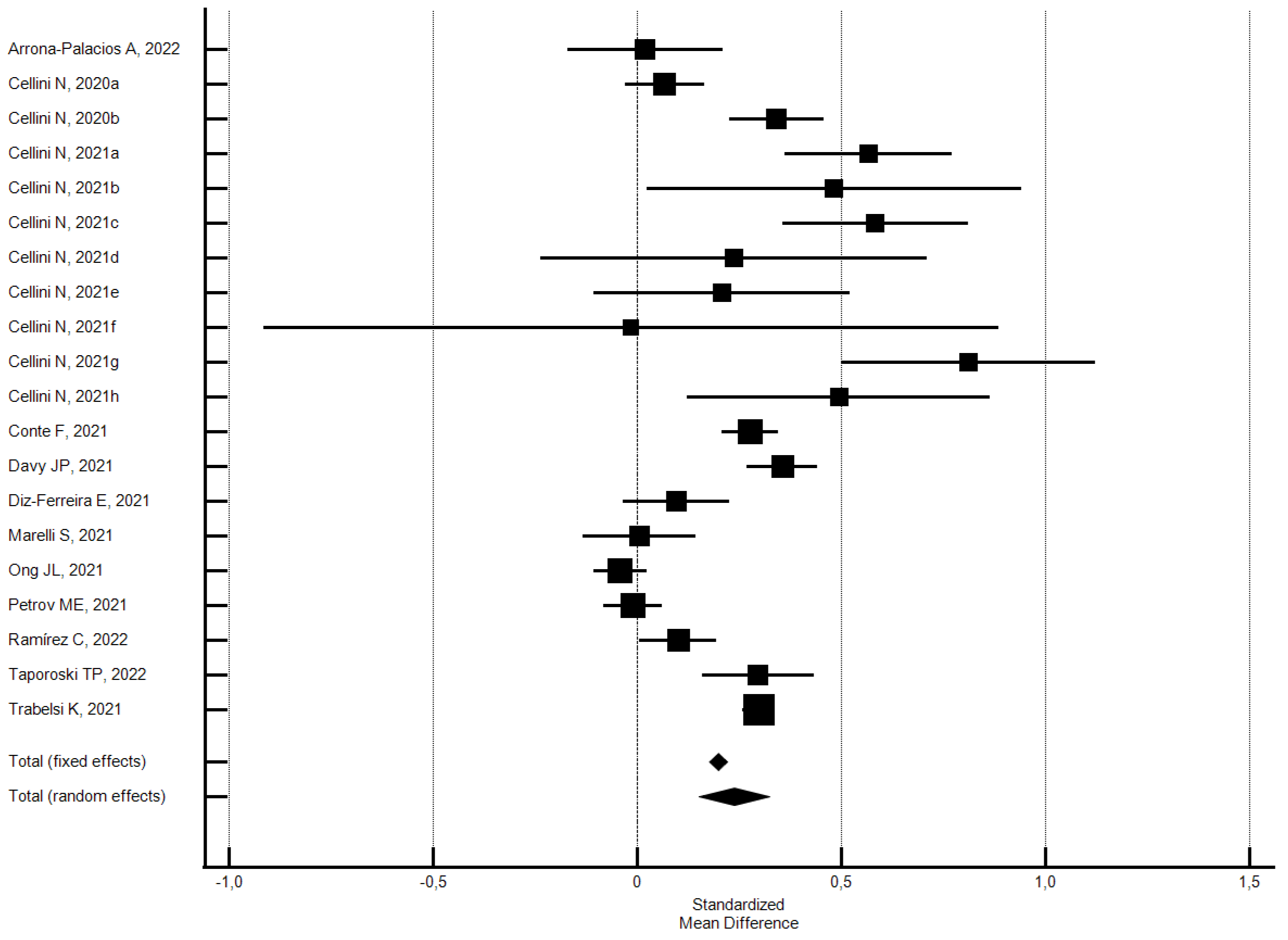
3.3.1. Meta-Analytic Changes in Bedtime: Means before and during the Lockdown
3.3.2. Meta-Analytic Changes in Bedtime: Percentage of Change
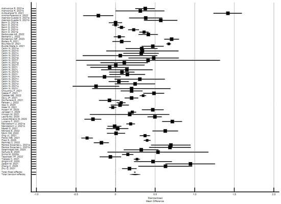
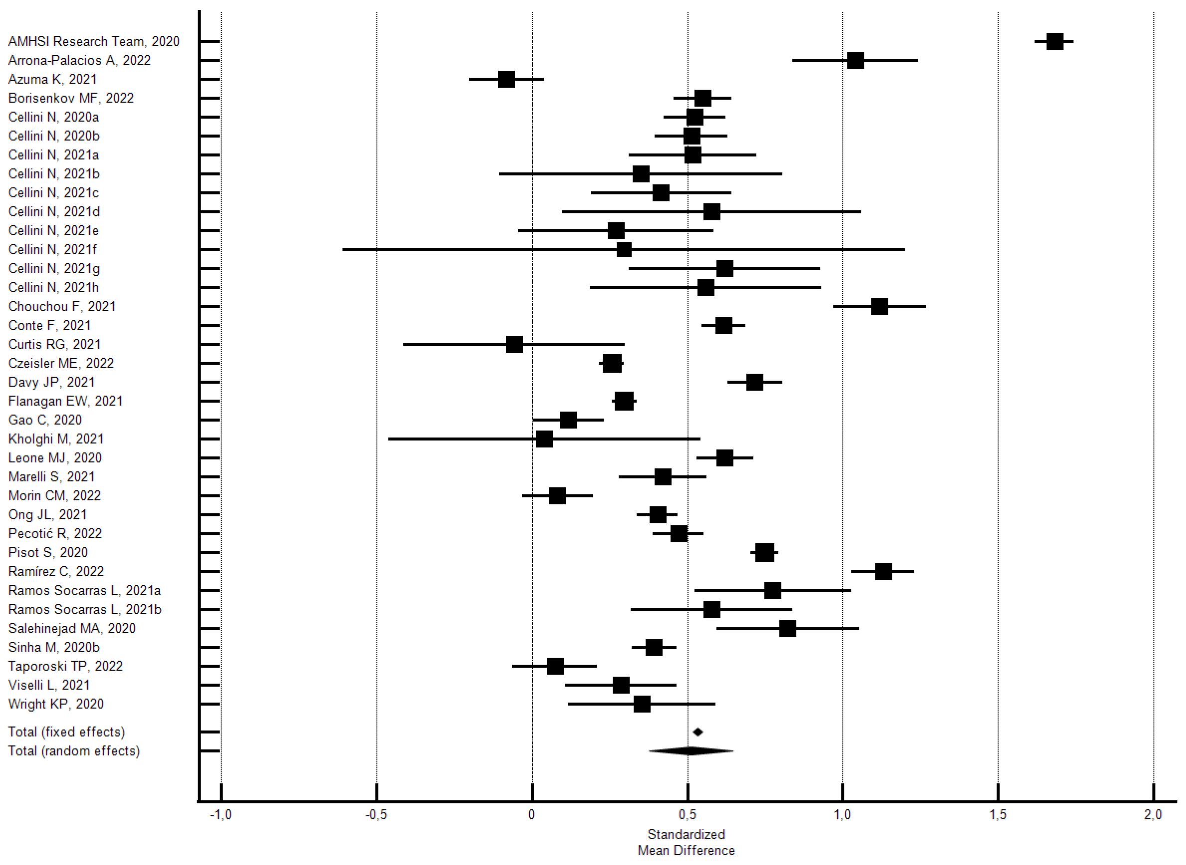
3.3.3. Meta-Analytic Changes in Wake-Up Time: Percentage of Change
3.3.4. Meta-Analytic Changes in Wake-Up Time: Percentage of Change
3.4. Qualitative Synthesis
3.4.1. Synthesis of Sleep Duration
3.4.2. Synthesis of Time in Bed
3.4.3. Synthesis of Sleep Timing
3.4.4. Synthesis of Napping Habits
4. Discussion
4.1. The Consequences of Quantitative Sleep Parameters Alterations on General Health
4.2. Exploring the Causes of Quantitative Sleep Parameters Alterations
4.3. Strengths and Limitations
4.4. Implications of the Results
5. Conclusions
Author Contributions
Funding
Institutional Review Board Statement
Informed Consent Statement
Data Availability Statement
Acknowledgments
Conflicts of Interest
Appendix A
| Databases and Registers | Search Terms |
|---|---|
| PubMed | (sleep[MeSH Terms] OR bedtime * OR “wake time” OR waketime * OR Circadian * OR sleep OR sleeping OR insomnia OR snore OR parasomnia* OR “Life Style”[Mesh] OR lifestyle * OR “life style *”) AND (“COVID 19” OR COVID-19 OR Coronavirus OR 2019-nCoV OR “2019 nCoV” OR “SARS CoV 2” OR SARS-CoV-2 OR “COVID-19”[Mesh] OR “COVID-19 pandemic *” OR “COVID 19 pandemic *”) AND (isolation OR lock-down OR lockdown OR self-isolation OR Confinement OR Containment OR Quarantine OR “Quarantine”[Mesh]) |
| Web of Science | (bedtime * OR “wake time” OR waketime * OR Circadian * OR sleep OR sleeping OR insomnia OR snore OR parasomnia * OR lifestyle * OR “life style*”) AND (“COVID 19” OR COVID-19 OR Coronavirus OR 2019-nCoV OR “2019 nCoV” OR “SARS CoV-2” OR SARS-CoV-2 OR “COVID-19 pandemic *” OR “COVID 19 pandemic *”) AND (isolation OR lock-down OR lockdown OR self-isolation OR Confinement OR Containment OR Quarantine) |
| Cochrane Library | (bedtime * OR “wake time” OR waketime * OR Circadian * OR sleep OR sleeping OR insomnia OR snore OR parasomnia* OR lifestyle * OR “life style *”) AND (“COVID 19” OR “COVID-19” OR Coronavirus OR “2019 nCoV” OR “SARS CoV-2” OR “SARS-CoV-2” OR “COVID-19 pandemic *” OR “COVID 19 pandemic *”) AND (isolation OR lock-down OR lockdown OR self-isolation OR Confinement OR Containment OR Quarantine) |
| EBSCOhost | (bedtime * OR “wake time” OR waketime * OR Circadian * OR sleep OR sleeping OR insomnia OR snore OR parasomnia * OR lifestyle * OR “life style *”) AND (“COVID 19” OR COVID-19 OR Coronavirus OR 2019-nCoV OR “2019 nCoV” OR “SARS CoV 2” OR SARS-CoV-2 OR “COVID-19 pandemic *” OR “COVID 19 pandemic *”) AND (isolation OR lock-down OR lockdown OR self-isolation OR Confinement OR Containment OR Quarantine) |
| MedRxiv * | bedtime bedtimes “wake time” waketime waketimes Circadian Circadians sleep sleeping insomnia snore parasomnia lifestyle lifestyles “life style” “life styles” AND COVID-19 AND lockdown |
| OpenGrey | bedtime bedtimes “wake time” waketime waketimes Circadian Circadians sleep sleeping insomnia snore parasomnia lifestyle lifestyles “life style” “life styles” AND coronavirus AND lockdown |
| Author, Year | Study Design | Selection | Comparability | Outcome | Risk of Bias Score | ||||
|---|---|---|---|---|---|---|---|---|---|
| Abouzid M., 2021 [25] | cross-sectional | c) | b) | c) | b) | c) | a) | 3 | |
| Ahmed S., 2021 [26] | cross-sectional | c) | a) | c) | a) | c) | a) | 4 | |
| Aishworiya R., 2021 [27] | cross-sectional | c) | b) | c) | a) | a)b) | c) | a) | 6 |
| Akbari H.A., 2021 [28] | cross-sectional | c) | a) | c) | a) | a) | c) | a) | 5 |
| Aldhwayan M., 2022 [29] | cross-sectional | c) | b) | c) | b) | a) | c) | a) | 4 |
| Alhusseini N., 2022 [30] | cross-sectional | c) | b) | c) | b) | c) | a) | 3 | |
| Ali A., 2021 [31] | cross-sectional | c) | a) | c) | a) | a)b) | c) | a) | 6 |
| Al-Musharaf S., 2021 [32] | longitudinal | c) | a) | a) | a) | a) | c) | a) | 6 |
| Alomari M.A., 2021 [33] | cross-sectional | c) | a) | c) | b) | c) | a) | 4 | |
| Alrubaysh M.A., 2021 [34] | cross-sectional | c) | b) | c) | b) | c) | a) | 3 | |
| Amerio A., 2021 [35] | cross-sectional | a) | b) | c) | a) | a)b) | c) | a) | 6 |
| AMHSI Research Team, 2021 [36] | longitudinal | c) | a) | a) | a) | c) | a) | 5 | |
| Anastasiou E., 2021 [37] | cross-sectional | c) | a) | b) | a) | a)b) | c) | a) | 7 |
| Antunes R., 2020 [38] | cross-sectional | c) | b) | c) | a) | a)b) | c) | a) | 6 |
| Arrona-Palacios A., 2022 [39] | cross-sectional | c) | b) | c) | b) | a) | c) | a) | 4 |
| Asensio-Cuesta S., 2021 [40] | cross-sectional | c) | b) | b) | a) | a) | c) | a) | 5 |
| Aymerich-Franch L., 2020 [41] | cross-sectional | c) | b) | c) | b) | c) | b) | 2 | |
| Azizi A., 2020 [42] | cross-sectional | c) | b) | b) | a) | c) | a) | 4 | |
| Azuma K., 2021 [43] | cross-sectional | c) | b) | b) | a) | a)b) | c) | a) | 6 |
| Bann D., 2021 [44] | cross-sectional | b) | b) | c) | b) | a)b) | c) | a) | 6 |
| Barbouzas A.E., 2022 [45] | cross-sectional | c) | b) | c) | b) | a) | c) | a) | 4 |
| Bertrand L., 2022 [46] | cross-sectional | c) | b) | c) | a) | c) | a) | 4 | |
| Bigalke J.A., 2020 [47] | cross-sectional | c) | b) | c) | b) | a)b) | c) | a) | 5 |
| Blume C., 2021 [48] | cross-sectional | c) | b) | c) | a) | a)b) | c) | a) | 6 |
| Borisenkov M.F., 2022 [49] | cross-sectional | c) | b) | b) | a) | a) | c) | a) | 5 |
| Bottary R., 2022 [50] | cross-sectional | c) | b) | c) | a) | a) | c) | a) | 5 |
| Bourdas D.I., 2021 [51] | cross-sectional | c) | b) | c) | b) | a)b) | c) | a) | 5 |
| Buoite Stella A., 2021 [52] | cross-sectional | c) | b) | c) | b) | a)b) | b) | a) | 6 |
| Bushnaq T., 2022 [53] | cross-sectional | c) | a) | c) | b) | c) | a) | 4 | |
| Cancello R., 2020 [54] | cross-sectional | c) | b) | c) | c) | c) | a) | 2 | |
| Casas R., 2022 [55] | cross-sectional | c) | b) | c) | b) | c) | a) | 3 | |
| Cellini N., 2020 [56] | cross-sectional | c) | b) | c) | a) | a)b) | c) | b) | 5 |
| Cellini N., 2021 [57] | cross-sectional | c) | b) | c) | b) | a)b) | c) | a) | 5 |
| Celorio-Sardà R., 2021 [58] | cross-sectional | c) | b) | c) | a) | c) | b) | 3 | |
| Cheikh Ismail L., 2020 [60] | cross-sectional | c) | b) | c) | b) | a)b) | c) | a) | 5 |
| Cheikh Ismail L., 2021a [61] | cross-sectional | c) | b) | c) | b) | c) | a) | 3 | |
| Cheikh Ismail L., 2021b [59] | cross-sectional | c) | b) | c) | b) | c) | a) | 3 | |
| Chopra S., 2020 [62] | cross-sectional | c) | b) | c) | b) | c) | a) | 3 | |
| Chouchou F., 2021 [63] | cross-sectional | c) | b) | c) | b) | a) | c) | a) | 4 |
| Conte F., 2021 [64] | cross-sectional | c) | b) | c) | b) | a)b) | c) | a) | 5 |
| Cooper J.A., 2021 [65] | cross-sectional | c) | b) | c) | a) | b) | c) | a) | 5 |
| Csépe P., 2021 [66] | cross-sectional | c) | b) | b) | b) | a) | c) | a) | 4 |
| Curtis R.G., 2021 [67] | longitudinal | c) | a) | a) | b) | a) | a) | 6 | |
| Czeisler M.É., 2021 [69] | cross-sectional | c) | b) | c) | a) | c) | a) | 4 | |
| Czeisler M.E., 2022 [68] | longitudinal | c) | a) | a) | b) | a) | a) | b) | 6 |
| Davy J.P., 2021 [70] | cross-sectional | c) | b) | c) | a) | a)b) | c) | a) | 6 |
| Delgado-Ortiz L., 2022 [71] | cross-sectional | b) | a) | a) | a) | a) | c) | a) | 8 |
| Di Renzo L., 2020 [72] | cross-sectional | c) | b) | b) | a) | c) | a) | 4 | |
| Ding X., 2022 [73] | cross-sectional | b) | b) | b) | a) | a) | c) | a) | 6 |
| Diz-Ferreira E., 2021 [74] | cross-sectional | c) | a) | c) | a) | c) | a) | 4 | |
| Dragun R., 2021 [75] | cross-sectional | c) | b) | c) | a) | b) | c) | a) | 5 |
| Elhadi M., 2021 [76] | cross-sectional | c) | a) | c) | c) | c) | a) | 3 | |
| ElHafeez S.A., 2022 [77] | cross-sectional | c) | a) | c) | a) | a) | c) | a) | 5 |
| Enriquez-Martinez O.G., 2021 [78] | cross-sectional | c) | b) | c) | a) | a) | c) | a) | 5 |
| Esht V., 2021 [79] | cross-sectional | c) | a) | c) | a) | c) | a) | 4 | |
| Falkingham J., 2020 [80] | longitudinal | c) | a) | a) | a) | a)b) | c) | a) | 7 |
| Felician J., 2022 [81] | cross-sectional | c) | b) | a) | a) | a)b) | c) | a) | 7 |
| Flanagan E.W., 2021 [82] | cross-sectional | c) | b) | c) | b) | a)b) | c) | a) | 5 |
| Flores L.E., 2022 [83] | cross-sectional | c) | b) | c) | a) | a) | c) | a) | 5 |
| Franceschini C., 2020 [84] | cross-sectional | c) | b) | c) | a) | a) | c) | a) | 5 |
| Gao C., 2020 [85] | longitudinal | c) | a) | c) | a) | c) | a) | 5 | |
| García-Esquinas E., 2021 [86] | longitudinal | b) | a) | a) | a) | c) | a) | 6 | |
| García-Garro P.A., 2022 [87] | cross-sectional | c) | a) | b) | a) | c) | a) | 5 | |
| Gibson R., 2022 [88] | cross-sectional | c) | b) | b) | a) | a) | c) | a) | 5 |
| González-Calderón M.J., 2022 [89] | cross-sectional | c) | b) | c) | b) | a) | c) | a) | 4 |
| Gornicka M., 2020 [90] | cross-sectional | c) | b) | c) | a) | b) | c) | a) | 5 |
| Gupta R., 2020 [91] | cross-sectional | c) | b) | c) | b) | a)b) | c) | a) | 5 |
| Hernández-Nava R.G., 2022 [92] | cross-sectional | c) | a) | c) | c) | a)b) | c) | a) | 5 |
| Hisler G., 2021 [93] | longitudinal | b) | a) | b) | b) | a)b) | c) | a) | 7 |
| Huancahuire-Vega S., 2021 [94] | cross-sectional | c) | b) | c) | a) | a) | c) | a) | 5 |
| Husain W., 2020 [95] | cross-sectional | c) | a) | c) | a) | c) | a) | 4 | |
| Islam M.A., 2022 [96] | cross-sectional | c) | b) | c) | b) | a) | c) | a) | 4 |
| Janssen X., 2020 [97] | longitudinal | c) | a) | a) | a) | c) | a) | 5 | |
| Jones C., 2021 [98] | cross-sectional | c) | b) | c) | b) | c) | a) | 3 | |
| Joshi D.R., 2023 [99] | cross-sectional | c) | b) | c) | a) | a)b) | c) | a) | 6 |
| Kaizi-Lutu M., 2021 [100] | cross-sectional | c) | b) | c) | b) | c) | a) | 3 | |
| Karahan Yılmaz S., 2020 [101] | cross-sectional | c) | b) | c) | c) | c) | a) | 2 | |
| Khojasteh M.R., 2022 [102] | cross-sectional | c) | a) | a) | b) | c) | a) | 5 | |
| Kholghi M., 2021 [103] | longitudinal | c) | a) | a) | a) | a) | a) | a) | 7 |
| Kim A.C.H., 2022 [104] | cross-sectional | c) | b) | c) | b) | a) | c) | a) | 4 |
| Kolokotroni O., 2021 [105] | cross-sectional | c) | b) | c) | a) | c) | a) | 4 | |
| Kontsevaya A.V., 2021 [106] | cross-sectional | c) | b) | c) | a) | a) | c) | a) | 5 |
| Leone M.J., 2020 [107] | longitudinal | c) | a) | a) | a) | a)b) | c) | a) | 7 |
| Li J.W., 2021 [108] | longitudinal | c) | a) | a) | b) | a) | a) | 6 | |
| Liboredo J.C., 2021 [109] | cross-sectional | c) | b) | c) | a) | c) | a) | 4 | |
| Lopez-Bueno R., 2020 [110] | cross-sectional | c) | b) | c) | a) | a)b) | c) | a) | 6 |
| López-Moreno M., 2020 [111] | cross-sectional | c) | b) | c) | b) | c) | a) | 3 | |
| Luciano F., 2020 [112] | cross-sectional | c) | b) | b) | a) | c) | a) | 4 | |
| Majumdar P., 2020 [113] | cross-sectional | c) | b) | c) | b) | a) | c) | b) | 3 |
| Mandelkorn U., 2021 [114] | cross-sectional | c) | b) | c) | c) | c) | a) | 2 | |
| Marelli S., 2021 [115] | cross-sectional | c) | b) | c) | a) | a)b) | c) | a) | 6 |
| Martínez-Vázquez S.E., 2021 [116] | cross-sectional | c) | a) | c) | b) | c) | a) | 4 | |
| Mititelu M., 2021 [117] | cross-sectional | c) | b) | c) | b) | a) | c) | a) | 4 |
| Mohsin A., 2021 [118] | cross-sectional | a) | b) | c) | b) | c) | b) | 3 | |
| Mónaco E., 2022 [119] | longitudinal | c) | a) | a) | a) | c) | b) | 3 | |
| Morin C.M., 2022 [120] | longitudinal | c) | a) | a) | b) | c) | a) | 5 | |
| Nishijima C., 2021 [121] | cross-sectional | b) | b) | c) | a) | a) | c) | a) | 5 |
| Ong J.L., 2021 [122] | longitudinal | a) | a) | a) | b) | a)b) | a) | a) | 9 |
| Pachocka L., 2022 [123] | cross-sectional | c) | b) | c) | b) | c) | a) | 3 | |
| Panarese P., 2021 [124] | cross-sectional | c) | b) | c) | b) | a) | c) | b) | 3 |
| Pecotić R., 2022 [125] | cross-sectional | c) | b) | c) | a) | a)b) | c) | a) | 6 |
| Pépin J.-L., 2021 [126] | longitudinal | c) | a) | a) | b) | a)b) | a) | a) | 8 |
| Perez-Carbonell L., 2020 [127] | cross-sectional | c) | b) | c) | c) | c) | a) | 2 | |
| Peterson M., 2021 [128] | longitudinal | d) | a) | a) | b) | a) | b) | 5 | |
| Petrov M.E., 2021 [129] | cross-sectional | c) | b) | c) | b) | a)b) | c) | a) | 5 |
| Pisot S., 2020 [130] | cross-sectional | c) | b) | c) | a) | b) | c) | a) | 5 |
| Pitol M.N.S., 2023 [131] | cross-sectional | c) | a) | b) | b) | c) | a) | 4 | |
| Pouget M., 2022 [132] | cross-sectional | c) | b) | c) | a) | c) | a) | 4 | |
| Priego-Parra, 2020 [133] | cross-sectional | c) | b) | c) | a) | a)b) | c) | a) | 6 |
| Rababah T., 2023 [134] | cross-sectional | c) | b) | c) | b) | c) | a) | 3 | |
| Radwan H., 2021 [135] | cross-sectional | c) | b) | b) | a) | a)b) | c) | a) | 6 |
| Ramírez C., 2022 [136] | cross-sectional | c) | b) | c) | a) | a) | c) | a) | 5 |
| Ramos Socarras, 2021 [137] | cross-sectional | c) | b) | c) | a) | a)b) | c) | a) | 6 |
| Reynaud E., 2022 [138] | cross-sectional | c) | b) | c) | b) | c) | a) | 3 | |
| Robinson E., 2020 [139] | cross-sectional | c) | b) | b) | a) | c) | b) | 3 | |
| Rotvold A., 2022 [140] | cross-sectional | c) | b) | c) | b) | c) | a) | 3 | |
| Ruiz-Zaldibar C., 2022 [141] | cross-sectional | c) | a) | b) | a) | a) | c) | a) | 6 |
| Saalwirth C., 2021 [142] | cross-sectional | c) | b) | c) | a) | c) | a) | 4 | |
| Salehinejad M.A., 2020 [143] | cross-sectional | c) | b) | c) | b) | a) | c) | a) | 4 |
| Salfi F., 2021 [144] | cross-sectional | c) | b) | c) | b) | a) | c) | a) | 4 |
| Santos-Miranda E., 2021 [145] | cross-sectional | c) | b) | c) | b) | c) | a) | 3 | |
| Sañudo B., 2020 [146] | longitudinal | c) | a) | a) | a) | c) | a) | 5 | |
| Scarpelli S., 2021 [147] | cross-sectional | c) | b) | b) | b) | c) | a) | 3 | |
| Shahzadi K., 2021 [148] | cross-sectional | c) | b) | c) | b) | c) | b) | 2 | |
| Sheehan C., 2023 [149] | cross-sectional | a) | b) | b) | b) | a)b) | c) | a) | 6 |
| Singh B., 2021 [150] | cross-sectional | c) | b) | c) | a) | c) | a) | 4 | |
| Singh V., 2021 [151] | cross-sectional | c) | b) | c) | b) | c) | b) | 2 | |
| Sinha M., 2020a [152] | cross-sectional | c) | b) | c) | b) | a) | c) | a) | 4 |
| Sinha M., 2020b [153] | cross-sectional | c) | b) | c) | a) | a)b) | c) | a) | 6 |
| Sinisterra Loaiza L.I., 2020 [154] | cross-sectional | c) | b) | b) | a) | c) | b) | 3 | |
| Smith M.L., 2022 [155] | cross-sectional | b) | b) | c) | a) | c) | a) | 4 | |
| Souza T.C., 2022 [156] | cross-sectional | c) | b) | b) | a) | c) | a) | 4 | |
| Storari M., 2021 [157] | cross-sectional | c) | b) | c) | a) | a)b) | c) | a) | 6 |
| Szczepańska E., 2022 [158] | cross-sectional | c) | b) | c) | b) | c) | b) | 2 | |
| Tang N.K.Y., 2022 [159] | cross-sectional | c) | a) | b) | a) | a) | c) | a) | 6 |
| Taporoski T.P., 2022 [160] | longitudinal | a) | a) | a) | a) | a)b) | c) | a) | 7 |
| Trabelsi K., 2021 [161] | cross-sectional | c) | a) | b) | b) | c) | a) | 4 | |
| Trakada A., 2020 [162] | cross-sectional | c) | b) | c) | b) | a)b) | c) | a) | 5 |
| Tsigkas G., 2021 [163] | cross-sectional | b) | b) | b) | a) | c) | a) | 5 | |
| Urquia Y.J.M., 2022 [164] | cross-sectional | c) | b) | c) | b) | a) | c) | a) | 4 |
| Valiensi S.M., 2022 [165] | cross-sectional | c) | b) | b) | a) | c) | a) | 4 | |
| Van der Werf E.T., 2021 [166] | cross-sectional | b) | b) | b) | a) | c) | a) | 5 | |
| Villadsen A., 2020 [167] | longitudinal | b) | a) | a) | a) | a)b) | c) | a) | 8 |
| Villasenor Lopez K., 2021 [168] | cross-sectional | c) | b) | b) | a) | a) | c) | a) | 5 |
| Vinogradov O.O., 2022 [169] | cross-sectional | c) | b) | c) | b) | c) | b) | 2 | |
| Viselli L., 2021 [170] | cross-sectional | b) | b) | c) | b) | c) | a) | 4 | |
| Vollmer C., 2022 [171] | cross-sectional | c) | b) | c) | a) | a)b) | c) | a) | 6 |
| Wang X., 2020 [172] | cross-sectional | c) | b) | c) | b) | a) | c) | a) | 4 |
| Wright K.P., 2020 [173] | longitudinal | b) | a) | a) | b) | a) | c) | a) | 6 |
| Yang G., 2021 [174] | cross-sectional | c) | b) | b) | a) | b) | c) | a) | 5 |
| Yang S., 2020 [175] | longitudinal | c) | a) | a) | a) | a)b) | c) | b) | 6 |
| Zalech M., 2021 [176] | longitudinal | b) | a) | a) | b) | a)b) | c) | a) | 8 |
| Zheng C., 2020 [177] | longitudinal | c) | a) | a) | b) | c) | a) | 5 | |
| Zhu Q., 2021 [178] | cross-sectional | c) | b) | c) | b) | c) | a) | 3 | |
References
- WHO. WHO—Emergency Situation Reports. 2021. Available online: https://www.who.int/emergencies/situation-reports (accessed on 1 January 2023).
- Perra, N. Non-pharmaceutical interventions during the COVID-19 pandemic: A review. Phys. Rep. 2021, 913, 1–52. [Google Scholar] [CrossRef] [PubMed]
- Kupcova, I.; Danisovic, L.; Klein, M.; Harsanyi, S. Effects of the COVID-19 pandemic on mental health, anxiety, and depression. BMC Psychol. 2023, 11, 108. [Google Scholar] [CrossRef]
- Baquerizo-Sedano, L.; Chaquila, J.A.; Aguilar, L.; Ordovás, J.M.; González-Muniesa, P.; Garaulet, M. Anti-COVID-19 measures threaten our healthy body weight: Changes in sleep and external synchronizers of circadian clocks during confinement. Clin. Nutr. 2022, 41, 2988–2995. [Google Scholar] [CrossRef]
- Kalmbach, D.A.; Anderson, J.R.; Drake, C.L. The impact of stress on sleep: Pathogenic sleep reactivity as a vulnerability to insomnia and circadian disorders. J. Sleep Res. 2018, 27, e12710. [Google Scholar] [CrossRef] [PubMed]
- Alimoradi, Z.; Gozal, D.; Tsang, H.W.H.; Lin, C.Y.; Broström, A.; Ohayon, M.M.; Pakpour, A.H. Gender-specific estimates of sleep problems during the COVID-19 pandemic: Systematic review and meta-analysis. J. Sleep Res. 2022, 31, e13432. [Google Scholar] [CrossRef] [PubMed]
- Nochaiwong, S.; Ruengorn, C.; Thavorn, K.; Hutton, B.; Awiphan, R.; Phosuya, C.; Ruanta, Y.; Wongpakaran, N.; Wongpakaran, T. Global prevalence of mental health issues among the general population during the coronavirus disease-2019 pandemic: A systematic review and meta-analysis. Sci. Rep. 2021, 11, 10173. [Google Scholar] [CrossRef] [PubMed]
- Scarpelli, S.; Zagaria, A.; Ratti, P.L.; Albano, A.; Fazio, V.; Musetti, A.; Varallo, G.; Castelnuovo, G.; Plazzi, G.; Franceschini, C. Subjective sleep alterations in healthy subjects worldwide during COVID-19 pandemic: A systematic review, meta-analysis and meta-regression. Sleep Med. 2022, 100, 89–102. [Google Scholar] [CrossRef]
- Jahrami, H.; BaHammam, A.S.; Bragazzi, N.L.; Saif, Z.; Faris, M.; Vitiello, M.V. Sleep problems during the COVID-19 pandemic by population: A systematic review and meta-analysis. J. Clin. Sleep Med. 2021, 17, 299–313. [Google Scholar] [CrossRef]
- AlRasheed, M.M.; Fekih-Romdhane, F.; Jahrami, H.; Pires, G.N.; Saif, Z.; Alenezi, A.F.; Humood, A.; Chen, W.; Dai, H.; Bragazzi, N.; et al. The prevalence and severity of insomnia symptoms during COVID-19: A global systematic review and individual participant data meta-analysis. Sleep Med. 2022, 100, 7–23. [Google Scholar] [CrossRef]
- Limongi, F.; Siviero, P.; Trevisan, C.; Noale, M.; Catalani, F.; Ceolin, C.; Conti, S.; di Rosa, E.; Perdixi, E.; Remelli, F.; et al. Changes in sleep quality and sleep disturbances in the general population from before to during the COVID-19 lockdown: A systematic review and meta-analysis. Front. Psychiatry 2023, 14, 1166815. [Google Scholar] [CrossRef]
- Yuan, R.K.; Zitting, K.M.; Maskati, L.; Huang, J. Increased sleep duration and delayed sleep timing during the COVID-19 pandemic. Sci. Rep. 2022, 12, 10937. [Google Scholar] [CrossRef] [PubMed]
- Robbins, R.; Affouf, M.; Weaver, M.D.; Czeisler, M.É.; Barger, L.K.; Quan, S.F.; Czeisler, C.A. Estimated Sleep Duration Before and during the COVID-19 Pandemic in Major Metropolitan Areas on Different Continents: Observational Study of Smartphone App Data. J. Med. Internet Res. 2021, 23, e20546. [Google Scholar] [CrossRef] [PubMed]
- Rezaei, N.; Grandner, M.A. Changes in sleep duration, timing, and variability during the COVID-19 pandemic: Large-scale Fitbit data from 6 major US cities. Sleep Health 2021, 7, 303–313. [Google Scholar] [CrossRef] [PubMed]
- Al-Ajlouni, Y.A.; Al Ta’ani, O.; Shamaileh, G.; Mushasha, R.; Makarem, N.; Duncan, D.T. Effects of the COVID-19 pandemic on sleep health among Middle Eastern and North African (MENA) populations: A systematic review of the literature. BMJ Open 2022, 12, e066964. [Google Scholar] [CrossRef] [PubMed]
- Cui, D.; Zhang, X.; Guo, J. The impact of the COVID-19 pandemic on physical activity and sleep among healthy adults: A systematic review and meta-analysis. Front. Psychol. 2023, 14, 1149215. [Google Scholar] [CrossRef] [PubMed]
- Page, M.J.; McKenzie, J.E.; Bossuyt, P.M.; Boutron, I.; Hoffmann, T.C.; Mulrow, C.D.; Shamseer, L.; Tetzlaff, J.M.; Akl, E.A.; Brennan, S.E.; et al. The PRISMA 2020 statement: An updated guideline for reporting systematic reviews. BMJ 2021, 372, n71. [Google Scholar] [CrossRef] [PubMed]
- Wells, G.; Shea, B.; O’Connell, D.; Peterson, J.; Welch, V. The Newcastle-Ottawa Scale (NOS) for assessing the quality of case-control studies in meta-analyses. Eur. J. Epidemiol. 2011, 25, 603–605. [Google Scholar]
- Modesti, P.A.; Reboldi, G.; Cappuccio, F.P.; Agyemang, C.; Remuzzi, G.; Rapi, S.; Perruolo, E.; Parati, G.; ESH Working Group on CV Risk in Low Resource Settings. Panethnic Differences in Blood Pressure in Europe: A Systematic Review and Meta-Analysis. PLoS ONE 2016, 11, e0147601. [Google Scholar] [CrossRef] [PubMed]
- Luchini, C.; Stubbs, B.; Solmi, M.; Veronese, N. Assessing the quality of studies in meta-analyses: Advantages and limitations of the Newcastle Ottawa Scale. World J. Meta-Anal. 2017, 5, 80. [Google Scholar] [CrossRef]
- MedCalc Software Ltd, Ostend, Belgium. 2022. Available online: https://www.medcalc.org (accessed on 1 January 2023).
- Cohen, J. Statistical Power Analysis for the Behavioral Sciences, 2nd ed.; Lawrence Erlbaum Associates: Mahwah, NJ, USA, 1988. [Google Scholar]
- Higgins, J.P.; Thompson, S.G.; Deeks, J.J.; Altman, D.G. Measuring inconsistency in meta-analyses. BMJ 2003, 327, 557–560. [Google Scholar] [CrossRef]
- Egger, M.; Davey Smith, G.; Schneider, M.; Minder, C. Bias in meta-analysis detected by a simple, graphical test. BMJ 1997, 315, 629–634. [Google Scholar] [CrossRef] [PubMed]
- Abouzid, M.; El-Sherif, D.M.; Eltewacy, N.K.; Dahman, N.B.H.; Okasha, S.A.; Ghozy, S.; Islam, S.M.S.; EARG Collaborators. Influence of COVID-19 on lifestyle behaviors in the Middle East and North Africa Region: A survey of 5896 individuals. J. Transl. Med. 2021, 19, 129. [Google Scholar] [CrossRef] [PubMed]
- Ahmed, S.; Akter, R.; Islam, M.J.; Muthalib, A.A.; Sadia, A.A. Impact of lockdown on musculoskeletal health due to COVID-19 outbreak in Bangladesh: A cross sectional survey study. Heliyon 2021, 7, e07335. [Google Scholar] [CrossRef] [PubMed]
- Aishworiya, R.; Lim, M.T.C.; Ramamurthy, M.B.; Tran, A.P.; Rajgor, D.D.; Goh, D.Y.T. Impact of work routines on parents’ and children’s sleep during the COVID-19 pandemic lockdown. Sleep Med. 2021, 88, 61–67. [Google Scholar] [CrossRef] [PubMed]
- Akbari, H.A.; Pourabbas, M.; Yoosefi, M.; Briki, W.; Attaran, S.; Mansoor, H.; Moalla, W.; Damak, M.; Dergaa, I.; Teixeira, A.L.; et al. How physical activity behavior affected well-being, anxiety and sleep quality during COVID-19 restrictions in Iran. Eur. Rev. Med. Pharmacol. Sci. 2021, 25, 7847–7857. [Google Scholar] [CrossRef] [PubMed]
- Aldhwayan, M.; Alabdulkader, B. The impact of precautionary lockdown measures during COVID-19 on eating behaviour and lifestyle. Prog. Nutr. 2022, 24, e2022055. [Google Scholar] [CrossRef]
- Alhusseini, N.; Alammari, D.; Ramadan, M.; Ziadeh, N.; Zyadeh, Z.; Alshamrani, J.; Qasim, H.; Alamri, N.; Alqahtani, S.A. The impact of COVID-19 pandemic on lifestyle among the Saudi population. J. Public Health Res. 2022, 11, 22799036221123156. [Google Scholar] [CrossRef] [PubMed]
- Ali, A.; Siddiqui, A.A.; Arshad, M.S.; Iqbal, F.; Arif, T.B. Effects of COVID-19 pandemic and lockdown on lifestyle and mental health of students: A retrospective study from Karachi, Pakistan. Ann. Med. Psychol. 2022, 180, S29–S37. [Google Scholar] [CrossRef] [PubMed]
- Al-Musharaf, S.; Aljuraiban, G.; Bogis, R.; Alnafisah, R.; Aldhwayan, M.; Tahrani, A. Lifestyle changes associated with COVID-19 quarantine among young Saudi women: A prospective study. PLoS ONE 2021, 16, e0250625. [Google Scholar] [CrossRef]
- Alomari, M.A.; Alzoubi, K.H.; Khabour, O.F.; Darabseh, M.Z. Sleeping habits during COVID-19 induced confinement: A study from Jordan. Heliyon 2021, 7, e08545. [Google Scholar] [CrossRef]
- Alrubaysh, M.A.; Alkahtani, A.A.; Alluwaymi, Z.S.; Alanazi, S.M.; Alanazi, A.M.; Al Harbi, K.M. Lifestyle changes that can increase the risk of cardiovascular disease during the COVID-19 pandemic: A cross-sectional study. Middle East J. Fam. Med. 2021, 19, 44–53. [Google Scholar]
- Amerio, A.; Lugo, A.; Stival, C.; Fanucchi, T.; Gorini, G.; Pacifici, R.; Odone, A.; Serafini, G.; Gallus, S. COVID-19 lockdown impact on mental health in a large representative sample of Italian adults. J. Affect. Disord. 2021, 292, 398–404. [Google Scholar] [CrossRef] [PubMed]
- AMHSI Research Team; Milken Research Team; Roitblat, Y.; Burger, J.; Vaiman, M.; Nehuliaieva, L.; Buchris, N.; Shterenshis, M. Owls and larks do not exist: COVID-19 quarantine sleep habits. Sleep Med. 2021, 77, 177–183. [Google Scholar] [CrossRef] [PubMed]
- Anastasiou, E.; Duquenne, M.N. What about the “Social Aspect of COVID”? Exploring the Determinants of Social Isolation on the Greek Population during the COVID-19 Lockdown. Soc. Sci. 2021, 10, 27. [Google Scholar] [CrossRef]
- Antunes, R.; Frontini, R.; Amaro, N.; Salvador, R.; Matos, R.; Morouço, P.; Rebelo-Gonçalves, R. Exploring Lifestyle Habits, Physical Activity, Anxiety and Basic Psychological Needs in a Sample of Portuguese Adults during COVID-19. Int. J. Environ. Res. Public. Health 2020, 17, 4360. [Google Scholar] [CrossRef] [PubMed]
- Arrona-Palacios, A.; Rebolledo-Mendez, G.; Escamilla, J.; Hosseini, S.; Duffy, J. Effects of COVID-19 lockdown on sleep duration, sleep quality and burnout in faculty members of higher education in Mexico. Ciência Saúde Coletiva 2022, 27, 2985–2993. [Google Scholar] [CrossRef] [PubMed]
- Asensio-Cuesta, S.; Blanes-Selva, V.; Portolés, M.; Conejero, J.A.; García-Gómez, J.M. How the Wakamola chatbot studied a university community’s lifestyle during the COVID-19 confinement. Health Inform. J. 2021, 27, 14604582211017944. [Google Scholar] [CrossRef]
- Aymerich-Franch, L. COVID-19 lockdown: Impact on psychological well-being and relationship to habit and routine modifications. psyarxiv 2020. [Google Scholar] [CrossRef]
- Azizi, A.; Achak, D.; Aboudi, K.; Saad, E.; Nejjari, C.; Nouira, Y.; Hilali, A.; Youlyouz-Marfak, I.; Marfak, A. Health-related quality of life and behavior-related lifestyle changes due to the COVID-19 home confinement: Dataset from a Moroccan sample. Data Brief 2020, 32, 106239. [Google Scholar] [CrossRef]
- Azuma, K.; Nojiri, T.; Kawashima, M.; Hanai, A.; Ayaki, M.; Tsubota, K.; TRF-Japan Study Group. Possible favorable lifestyle changes owing to the coronavirus disease 2019 (COVID-19) pandemic among middle-aged Japanese women: An ancillary survey of the TRF-Japan study using the original “Taberhythm” smartphone app. PLoS ONE 2021, 16, e0248935. [Google Scholar] [CrossRef]
- Bann, D.; Villadsen, A.; Maddock, J.; Hughes, A.; Ploubidis, G.B.; Silverwood, R.; Patalay, P. Changes in the behavioural determinants of health during the COVID-19 pandemic: Gender, socioeconomic and ethnic inequalities in five British cohort studies. J. Epidemiol. Community Health 2021, 75, 1136–1142. [Google Scholar] [CrossRef]
- Barbouzas, A.E.; Malli, F.; Daniil, Z.; Gourgoulianis, K. Long-Term Impact of COVID-19 Pandemic in Sleep Quality and Lifestyle in Young Adults. Int. J. Environ. Res. Public. Health 2022, 19, 12333. [Google Scholar] [CrossRef]
- Bertrand, L.; Schröder, C.; Bourgin, P.; Maruani, J.; Atoui, Y.; d’Ortho, M.P.; Lejoyeux, M.; Geoffroy, P.A. Sleep and circadian rhythm characteristics in individuals from the general population during the French COVID-19 full lockdown. J. Sleep Res. 2022, 31, e13480. [Google Scholar] [CrossRef]
- Bigalke, J.A.; Greenlund, I.M.; Carter, J.R. Sex differences in self-report anxiety and sleep quality during COVID-19 stay-at-home orders. Biol. Sex Differ. 2020, 11, 56. [Google Scholar] [CrossRef]
- Blume, C.; Schmidt, M.H.; Cajochen, C. Effects of the COVID-19 lockdown on human sleep and rest-activity rhythms. Curr. Biol. 2020, 30, R795–R797. [Google Scholar] [CrossRef] [PubMed]
- Borisenkov, M.F.; Popov, S.V.; Smirnov, V.V.; Gubin, D.G.; Petrov, I.M.; Vasilkova, T.N.; Solovieva, S.V.; Martinson, E.A.; Pecherkina, A.A.; Dorogina, O.I.; et al. Associations among sleep-wake rhythm characteristics, time perspective and psycho-emotional state during COVID-19 isolation. Biol. Rhythm. Res. 2022, 53, 1770–1781. [Google Scholar] [CrossRef]
- Bottary, R.; Fields, E.C.; Kensinger, E.A.; Cunningham, T.J. Age and chronotype influenced sleep timing changes during the first wave of the COVID-19 pandemic. J. Sleep Res. 2022, 31, e13495. [Google Scholar] [CrossRef] [PubMed]
- Bourdas, D.I.; Zacharakis, E.D.; Travlos, A.K.; Souglis, A.; Georgali, T.I.; Gofas, D.C.; Ktistakis, I.E.; Deltsidou, A. Impact of lockdown on smoking and sleeping in the early COVID-19 presence: Datasets of Greek Adults sample. Data Brief 2021, 39, 107480. [Google Scholar] [CrossRef]
- Buoite Stella, A.; AjČeviĆ, M.; Furlanis, G.; Cillotto, T.; Menichelli, A.; Accardo, A.; Manganotti, P. Smart technology for physical activity and health assessment during COVID-19 lockdown. J. Sports Med. Phys. Fit. 2021, 61, 452–460. [Google Scholar] [CrossRef]
- Bushnaq, T.; Algheshairy, R.M.; Almujaydil, M.S.; Malki, A.A.; Alharbi, H.F.; Barakat, H. Dietary Habits and Lifestyle Behaviors of Saudi Residents during the COVID-19 Pandemic: A Cross-Sectional Study. Int. J. Environ. Res. Public. Health 2022, 19, 7659. [Google Scholar] [CrossRef]
- Cancello, R.; Soranna, D.; Zambra, G.; Zambon, A.; Invitti, C. Determinants of the Lifestyle Changes during COVID-19 Pandemic in the Residents of Northern Italy. Int. J. Environ. Res. Public. Health 2020, 17, 6287. [Google Scholar] [CrossRef]
- Casas, R.; Raidó-Quintana, B.; Ruiz-León, A.M.; Castro-Barquero, S.; Bertomeu, I.; Gonzalez-Juste, J.; Campolier, M.; Estruch, R. Changes in Spanish lifestyle and dietary habits during the COVID-19 lockdown. Eur. J. Nutr. 2022, 61, 2417–2434. [Google Scholar] [CrossRef]
- Cellini, N.; Canale, N.; Mioni, G.; Costa, S. Changes in sleep pattern, sense of time and digital media use during COVID-19 lockdown in Italy. J. Sleep Res. 2020, 29, e13074. [Google Scholar] [CrossRef]
- Cellini, N.; Conte, F.; De Rosa, O.; Giganti, F.; Malloggi, S.; Reyt, M.; Guillemin, C.; Schmidt, C.; Muto, V.; Ficca, G. Changes in sleep timing and subjective sleep quality during the COVID-19 lockdown in Italy and Belgium: Age, gender and working status as modulating factors. Sleep Med. 2021, 77, 112–119. [Google Scholar] [CrossRef]
- Celorio-Sardà, R.; Comas-Basté, O.; Latorre-Moratalla, M.L.; Zerón-Rugerio, M.F.; Urpi-Sarda, M.; Illán-Villanueva, M.; Farran-Codina, A.; Izquierdo-Pulido, M.; Vidal-Carou, M.D.C. Effect of COVID-19 Lockdown on Dietary Habits and Lifestyle of Food Science Students and Professionals from Spain. Nutrients 2021, 13, 1494. [Google Scholar] [CrossRef]
- Cheikh Ismail, L.; Hashim, M.; Mohamad, M.N.; Hassan, H.; Ajab, A.; Stojanovska, L.; Jarrar, A.H.; Hasan, H.; Abu Jamous, D.O.; Saleh, S.T.; et al. Dietary Habits and Lifestyle During Coronavirus Pandemic Lockdown: Experience From Lebanon. Front. Nutr. 2021, 8, 730425. [Google Scholar] [CrossRef]
- Cheikh Ismail, L.; Osaili, T.M.; Mohamad, M.N.; Al Marzouqi, A.; Jarrar, A.H.; Abu Jamous, D.O.; Magriplis, E.; Ali, H.I.; Al Sabbah, H.; Hasan, H.; et al. Eating Habits and Lifestyle during COVID-19 Lockdown in the United Arab Emirates: A Cross-Sectional Study. Nutrients 2020, 12, 3314. [Google Scholar] [CrossRef]
- Cheikh Ismail, L.; Osaili, T.M.; Mohamad, M.N.; Al Marzouqi, A.; Jarrar, A.H.; Zampelas, A.; Habib-Mourad, C.; Omar Abu Jamous, D.; Ali, H.I.; Al Sabbah, H.; et al. Assessment of eating habits and lifestyle during the coronavirus 2019 pandemic in the Middle East and North Africa region: A cross-sectional study. Br. J. Nutr. 2021, 126, 757–766. [Google Scholar] [CrossRef]
- Chopra, S.; Ranjan, P.; Singh, V.; Kumar, S.; Arora, M.; Hasan, M.S.; Kasiraj, R.; Suryansh; Kaur, D.; Vikram, N.K.; et al. Impact of COVID-19 on lifestyle-related behaviours- a cross-sectional audit of responses from nine hundred and ninety-five participants from India. Diabetes Metab. Syndr. 2020, 14, 2021–2030. [Google Scholar] [CrossRef]
- Chouchou, F.; Augustini, M.; Caderby, T.; Caron, N.; Turpin, N.A.; Dalleau, G. The importance of sleep and physical activity on well-being during COVID-19 lockdown: Reunion island as a case study. Sleep Med. 2021, 77, 297–301. [Google Scholar] [CrossRef]
- Conte, F.; Cellini, N.; De Rosa, O.; Rescott, M.L.; Malloggi, S.; Giganti, F.; Ficca, G. Dissociated profiles of sleep timing and sleep quality changes across the first and second wave of the COVID-19 pandemic. J. Psychiatr. Res. 2021, 143, 222–229. [Google Scholar] [CrossRef] [PubMed]
- Cooper, J.A.; vanDellen, M.; Bhutani, S. Self-weighing Practices and Associated Health Behaviors during COVID-19. Am. J. Health Behav. 2021, 45, 17–30. [Google Scholar] [CrossRef] [PubMed]
- Csépe, P.; Dinya, E.; Balázs, P.; Hosseini, S.M.; Küzdy, G.; Rosivall, L. Impact of the first wave of COVID-19 pandemic on the Hungarian university students’ social and health behaviour. J. Public Health 2021, 31, 999–1005. [Google Scholar] [CrossRef] [PubMed]
- Curtis, R.G.; Olds, T.; Ferguson, T.; Fraysse, F.; Dumuid, D.; Esterman, A.; Hendrie, G.A.; Brown, W.J.; Lagiseti, R.; Maher, C.A. Changes in diet, activity, weight, and wellbeing of parents during COVID-19 lockdown. PLoS ONE 2021, 16, e0248008. [Google Scholar] [CrossRef]
- Czeisler, M.É.; Capodilupo, E.R.; Weaver, M.D.; Czeisler, C.A.; Howard, M.E.; Rajaratnam, S.M.W. Prior sleep-wake behaviors are associated with mental health outcomes during the COVID-19 pandemic among adult users of a wearable device in the United States. Sleep Health 2022, 8, 311–321. [Google Scholar] [CrossRef] [PubMed]
- Czeisler, M.É.; Wiley, J.F.; Facer-Childs, E.R.; Robbins, R.; Weaver, M.D.; Barger, L.K.; Czeisler, C.A.; Howard, M.E.; Rajaratnam, S.M.W. Mental health, substance use, and suicidal ideation during a prolonged COVID-19-related lockdown in a region with low SARS-CoV-2 prevalence. J. Psychiatr. Res. 2021, 140, 533–544. [Google Scholar] [CrossRef]
- Davy, J.P.; Scheuermaier, K.; Roden, L.C.; Christie, C.J.; Bentley, A.; Gomez-Olive, F.X.; Iacovides, S.; Lewis, R.; Lipinska, G.; Roche, J.; et al. The COVID-19 Lockdown and Changes in Routine-Oriented Lifestyle Behaviors and Symptoms of Depression, Anxiety, and Insomnia in South Africa. J. Phys. Act. Health 2021, 18, 1046–1057. [Google Scholar] [CrossRef] [PubMed]
- Delgado-Ortiz, L.; Carsin, A.E.; Merino, J.; Cobo, I.; Koch, S.; Goldberg, X.; Chevance, G.; Bosch de Basea, M.; Castaño-Vinyals, G.; Espinosa, A.; et al. Changes in Population Health-Related Behaviors During a COVID-19 Surge: A Natural Experiment. Ann. Behav. Med. 2023, 57, 216–226. [Google Scholar] [CrossRef]
- Di Renzo, L.; Gualtieri, P.; Pivari, F.; Soldati, L.; Attinà, A.; Cinelli, G.; Leggeri, C.; Caparello, G.; Barrea, L.; Scerbo, F.; et al. Eating habits and lifestyle changes during COVID-19 lockdown: An Italian survey. J. Transl. Med. 2020, 18, 229. [Google Scholar] [CrossRef]
- Ding, X.; Brazel, D.M.; Mills, M.C. Gender differences in sleep disruption during COVID-19: Cross-sectional analyses from two UK nationally representative surveys. BMJ Open 2022, 12, e055792. [Google Scholar] [CrossRef]
- Diz-Ferreira, E.; Díaz-Vidal, P.; Da Cunha Soares Nicolau, M.L.; Criado-Santos, M.P.; Ayán, C.; Diz, J.C. Effect of confinement during COVID-19 outbreak on sleep quality in Galicia. Rev. Española Salud Pública 2021, 95, e202101001. [Google Scholar]
- Dragun, R.; Veček, N.N.; Marendić, M.; Pribisalić, A.; Đivić, G.; Cena, H.; Polašek, O.; Kolčić, I. Have Lifestyle Habits and Psychological Well-Being Changed among Adolescents and Medical Students Due to COVID-19 Lockdown in Croatia? Nutrients 2020, 13, 97. [Google Scholar] [CrossRef] [PubMed]
- Elhadi, M.; Alsoufi, A.; Msherghi, A.; Alshareea, E.; Ashini, A.; Nagib, T.; Abuzid, N.; Abodabos, S.; Alrifai, H.; Gresea, E.; et al. Psychological Health, Sleep Quality, Behavior, and Internet Use Among People During the COVID-19 Pandemic: A Cross-Sectional Study. Front. Psychiatry 2021, 12, 632496. [Google Scholar] [CrossRef] [PubMed]
- Abd ElHafeez, S.; E Cruz, M.M.; Gouda, S.; Nofal, M.; Fayed, A.; Ghazy, R.M.; Mekky, J. Sleep quality and anxiety among Egyptian population during COVID-19 pandemic. Sleep Sci. 2022, 15, 8–16. [Google Scholar] [CrossRef] [PubMed]
- Enriquez-Martinez, O.G.; Martins, M.C.T.; Pereira, T.S.S.; Pacheco, S.O.S.; Pacheco, F.J.; Lopez, K.V.; Huancahuire-Vega, S.; Silva, D.A.; Mora-Urda, A.I.; Rodriguez-Vásquez, M.; et al. Diet and Lifestyle Changes During the COVID-19 Pandemic in Ibero-American Countries: Argentina, Brazil, Mexico, Peru, and Spain. Front. Nutr. 2021, 8, 671004. [Google Scholar] [CrossRef] [PubMed]
- Esht, V.; Quraishi, S.; Ghosalkar, H.R.; Sharma, S.; Atri, G. A Web-Based Survey of COVID-19 Pandemic and its Impact on Physical, Recreational, Mental Health and Socio-Economic Factors of General Population of India. Biosci. Biotechnol. Res. Commun. 2021, 14, 227–235. [Google Scholar] [CrossRef]
- Falkingham, J.C.; Evandrou, M.; Qin, M.; Vlachantoni, A. Prospective longitudinal study of ‘Sleepless in Lockdown’: Unpacking differences in sleep loss during the coronavirus pandemic in the UK. BMJ Open 2022, 12, e053094. [Google Scholar] [CrossRef]
- Felician, J.; Galvao, F.; Lefebvre, M.; Nourredine, M.; Peter-Derex, L. Association of Delayed Sleep/Wake Rhythm with Depression During the First COVID-19 Lockdown in France. Nat. Sci. Sleep 2022, 14, 1545–1557. [Google Scholar] [CrossRef]
- Flanagan, E.W.; Beyl, R.A.; Fearnbach, S.N.; Altazan, A.D.; Martin, C.K.; Redman, L.M. The Impact of COVID-19 Stay-at-Home Orders on Health Behaviors in Adults. Obesity 2021, 29, 438–445. [Google Scholar] [CrossRef]
- Flores, L.E.; Elgart, J.F.; Abraham, A.G.; Garrote, G.L.; Torrieri, R.; Cepeda, A.; Cardelle-Cobas, A.; Gagliardino, J.J. Changes in lifestyle behaviors during COVID-19 isolation in Argentina: A cross-sectional study. Nutr. Health 2022, 12, 2601060221127115. [Google Scholar] [CrossRef]
- Franceschini, C.; Musetti, A.; Zenesini, C.; Palagini, L.; Scarpelli, S.; Quattropani, M.C.; Lenzo, V.; Freda, M.F.; Lemmo, D.; Vegni, E.; et al. Poor Sleep Quality and Its Consequences on Mental Health During the COVID-19 Lockdown in Italy. Front. Psychol. 2020, 11, 574475. [Google Scholar] [CrossRef]
- Gao, C.; Scullin, M.K. Sleep health early in the coronavirus disease 2019 (COVID-19) outbreak in the United States: Integrating longitudinal, cross-sectional, and retrospective recall data. Sleep Med 2020, 73, 1–10. [Google Scholar] [CrossRef]
- García-Esquinas, E.; Ortolá, R.; Gine-Vázquez, I.; Carnicero, J.A.; Mañas, A.; Lara, E.; Alvarez-Bustos, A.; Vicente-Rodriguez, G.; Sotos-Prieto, M.; Olaya, B.; et al. Changes in Health Behaviors, Mental and Physical Health among Older Adults under Severe Lockdown Restrictions during the COVID-19 Pandemic in Spain. Int. J. Environ. Res. Public. Health 2021, 18, 7067. [Google Scholar] [CrossRef]
- García-Garro, P.A.; Aibar-Almazán, A.; Rivas-Campo, Y.; Vega-Ávila, G.C.; Afanador-Restrepo, D.F.; Hita-Contreras, F. Influence of the COVID-19 Pandemic on Quality of Life, Mental Health, and Level of Physical Activity in Colombian University Workers: A Longitudinal Study. J. Clin. Med. 2022, 11, 4104. [Google Scholar] [CrossRef]
- Gibson, R.; Shetty, H.; Carter, M.; Münch, M. Sleeping in a bubble: Factors affecting sleep during New Zealand’s COVID-19 lockdown. Sleep Adv. 2022, 3, zpac017. [Google Scholar] [CrossRef]
- González-Calderón, M.J.; Baile, J.I.; Izquierdo-Sotorrío, E. A Comparative Cross-Sectional Study of the Consequences of the COVID-19 Lockdown on Women’s Health Behaviors in Spain. Nutrients 2022, 14, 846. [Google Scholar] [CrossRef]
- Górnicka, M.; Drywień, M.E.; Zielinska, M.A.; Hamułka, J. Dietary and Lifestyle Changes During COVID-19 and the Subsequent Lockdowns among Polish Adults: A Cross-Sectional Online Survey PLifeCOVID-19 Study. Nutrients 2020, 12, 2324. [Google Scholar] [CrossRef]
- Gupta, R.; Grover, S.; Basu, A.; Krishnan, V.; Tripathi, A.; Subramanyam, A.; Nischal, A.; Hussain, A.; Mehra, A.; Ambekar, A.; et al. Changes in sleep pattern and sleep quality during COVID-19 lockdown. Indian J. Psychiatry 2020, 62, 370–378. [Google Scholar] [CrossRef]
- Hernández-Nava, R.G.; de la Luz Sánchez-Mundo, M.; García-Barrientos, R.; Espinosa-Solis, V.; Villalobos-Aguayo, P.; Salmerón-Muñiz, N.N.; Anaya-Tacuba, J.D. Lifestyle Changes among Mexican People during the COVID-19 Lockdown in 2020: A Cross-Sectional Study. Healthcare 2022, 10, 2537. [Google Scholar] [CrossRef]
- Hisler, G.C.; Twenge, J.M. Sleep characteristics of U.S. adults before and during the COVID-19 pandemic. Soc. Sci. Med. 2021, 276, 113849. [Google Scholar] [CrossRef]
- Huancahuire-Vega, S.; Newball-Noriega, E.E.; Rojas-Humpire, R.; Saintila, J.; Rodriguez-Vásquez, M.; Ruiz-Mamani, P.G.; Morales-García, W.C.; White, M. Changes in Eating Habits and Lifestyles in a Peruvian Population during Social Isolation for the COVID-19 Pandemic. J. Nutr. Metab. 2021, 2021, 4119620. [Google Scholar] [CrossRef]
- Husain, W.; Ashkanani, F. Does COVID-19 change dietary habits and lifestyle behaviours in Kuwait: A community-based cross-sectional study. Environ. Health Prev. Med. 2020, 25, 61. [Google Scholar] [CrossRef] [PubMed]
- Islam, M.A.; Nahar, M.T.; Ibn Anik, S.M.F.; Barna, S.D.; Hossain, M.T. Changes in dietary patterns among Bangladeshi adult population during the COVID-19 pandemic: A web-based cross-sectional study. Heliyon 2022, 8, e10349. [Google Scholar] [CrossRef] [PubMed]
- Janssen, X.; Fleming, L.; Kirk, A.; Rollins, L.; Young, D.; Grealy, M.; MacDonald, B.; Flowers, P.; Williams, L. Changes in Physical Activity, Sitting and Sleep across the COVID-19 National Lockdown Period in Scotland. Int. J. Environ. Res. Public. Health 2020, 17, 9362. [Google Scholar] [CrossRef] [PubMed]
- Jones, C.; Kaizi-Lutu, M.; Cordoza, M.; Mange, A.; Dinges, D. 226 Changes in sleep amount and sleep quality due to the COVID-19 pandemic confinement associate with ratings of health and stress. Sleep 2021, 44 (Suppl. S2), A90. [Google Scholar] [CrossRef]
- Joshi, D.R.; Neupane, U.; Singh, J.K.; Khanal, B.; Belbase, S. Impact of COVID-19 Pandemic on Academic Activities of Academicians in Nepal. J. Educ. 2023, 204, 439–454. [Google Scholar] [CrossRef]
- Kaizi-Lutu, M.; Dinges, D.; Cordoza, M.; Jones, C.; Mange, A. 215 Sleep duration, quality and timing during confinement amid the COVID-19 Pandemic. Sleep 2021, 44 (Suppl. S2), A86. [Google Scholar] [CrossRef]
- Karahan Yılmaz, S.; Eskici, G. Evaluation of emotional (depression) and behavioural (nutritional, physical activity and sleep) status of Turkish adults during the COVID-19 pandemic period. Public. Health Nutr. 2021, 24, 942–949. [Google Scholar] [CrossRef] [PubMed]
- Khojasteh, M.R.; Khadem-Rezaiyan, M. Evaluation of Sleep Quality before and During COVID-19 Quarantine and Its Relationship with Family Social Support: A Web-based Survey among University Students. Iran. J. Psychiatry Behav. Sci. 2022, 16, e123447. [Google Scholar] [CrossRef]
- Kholghi, M.; Ellender, C.M.; Zhang, Q.; Gao, Y.; Higgins, L.; Karunanithi, M. Home-Based Sleep Sensor Measurements in an Older Australian Population: Before and during a Pandemic. Sensors 2021, 21, 5993. [Google Scholar] [CrossRef]
- Kim, A.C.H.; Du, J.; Andrew, D.P.S. Changes in Physical Activity and Depressive Symptoms During COVID-19 Lockdown: United States Adult Age Groups. Front. Psychol. 2022, 13, 769930. [Google Scholar] [CrossRef]
- Kolokotroni, O.; Mosquera, M.C.; Quattrocchi, A.; Heraclides, A.; Demetriou, C.; Philippou, E. Lifestyle habits of adults during the COVID-19 pandemic lockdown in Cyprus: Evidence from a cross-sectional study. BMC Public. Health 2021, 21, 786. [Google Scholar] [CrossRef]
- Kontsevaya, A.V.; Mukaneeva, D.K.; Myrzamatova, A.O.; Okely, A.D.; Drapkina, O.M. Changes in physical activity and sleep habits among adults in Russian Federation during COVID-19: A cross-sectional study. BMC Public. Health 2021, 21, 893. [Google Scholar] [CrossRef] [PubMed]
- Leone, M.J.; Sigman, M.; Golombek, D.A. Effects of lockdown on human sleep and chronotype during the COVID-19 pandemic. Curr. Biol. 2020, 30, R930–R931. [Google Scholar] [CrossRef]
- Li, J.W.; Guo, Y.T.; Di Tanna, G.L.; Neal, B.; Chen, Y.D.; Schutte, A.E. Vital Signs During the COVID-19 Outbreak: A Retrospective Analysis of 19,960 Participants in Wuhan and Four Nearby Capital Cities in China. Glob. Heart 2021, 16, 47. [Google Scholar] [CrossRef]
- Liboredo, J.C.; Anastácio, L.R.; Ferreira, L.G.; Oliveira, L.A.; Della Lucia, C.M. Quarantine During COVID-19 Outbreak: Eating Behavior, Perceived Stress, and Their Independently Associated Factors in a Brazilian Sample. Front. Nutr. 2021, 8, 704619. [Google Scholar] [CrossRef] [PubMed]
- López-Bueno, R.; Calatayud, J.; Casaña, J.; Casajús, J.A.; Smith, L.; Tully, M.A.; Andersen, L.L.; López-Sánchez, G.F. COVID-19 Confinement and Health Risk Behaviors in Spain. Front. Psychol. 2020, 11, 1426. [Google Scholar] [CrossRef] [PubMed]
- López-Moreno, M.; López, M.T.I.; Miguel, M.; Garcés-Rimón, M. Physical and Psychological Effects Related to Food Habits and Lifestyle Changes Derived from COVID-19 Home Confinement in the Spanish Population. Nutrients 2020, 12, 3445. [Google Scholar] [CrossRef]
- Luciano, F.; Cenacchi, V.; Vegro, V.; Pavei, G. COVID-19 lockdown: Physical activity, sedentary behaviour and sleep in Italian medicine students. Eur. J. Sport Sci. 2021, 21, 1459–1468. [Google Scholar] [CrossRef]
- Majumdar, P.; Biswas, A.; Sahu, S. COVID-19 pandemic and lockdown: Cause of sleep disruption, depression, somatic pain, and increased screen exposure of office workers and students of India. Chronobiol. Int. 2020, 37, 1191–1200. [Google Scholar] [CrossRef]
- Mandelkorn, U.; Genzer, S.; Choshen-Hillel, S.; Reiter, J.; Meira E Cruz, M.; Hochner, H.; Kheirandish-Gozal, L.; Gozal, D.; Gileles-Hillel, A. Escalation of sleep disturbances amid the COVID-19 pandemic: A cross-sectional international study. J. Clin. Sleep Med. 2021, 17, 45–53. [Google Scholar] [CrossRef] [PubMed]
- Marelli, S.; Castelnuovo, A.; Somma, A.; Castronovo, V.; Mombelli, S.; Bottoni, D.; Leitner, C.; Fossati, A.; Ferini-Strambi, L. Impact of COVID-19 lockdown on sleep quality in university students and administration staff. J. Neurol. 2021, 268, 8–15. [Google Scholar] [CrossRef] [PubMed]
- Martínez-Vázquez, S.E.; Ceballos-Rasgado, M.; Posada-Velázquez, R.; Hunot-Alexander, C.; Nava-González, E.J.; Ramírez-Silva, I.; Aguilar-López, D.K.; Quiroz-Olguín, G.; López-Jara, B.; Delgado-de-la-Cruz, C.; et al. Perceived Diet Quality, Eating Behaviour, and Lifestyle Changes in a Mexican Population with Internet Access during Confinement for the COVID-19 Pandemic: ESCAN-COVID19Mx Survey. Nutrients 2021, 13, 4256. [Google Scholar] [CrossRef]
- Mititelu, M.; Stanciu, T.I.; Udeanu, D.I.; Popa, D.E.; Drăgănescu, D.; Cobelschi, C.; Grigore, N.D.; Pop, A.L.; Ghica, M. The impact of COVID-19 lockdown on the lifestyle and dietary patterns among Romanian population. Farmacia 2021, 69, 1–11. [Google Scholar] [CrossRef]
- Mohsin, A.; Riaz, J.; Ahmad, S.A. Potential Physical Health Changes during the Covid-19 Confinement in Pakistan. Pak. J. Med. Health Sci. 2021, 15, 1365–1367. [Google Scholar] [CrossRef]
- Mónaco, E.; Zaragozá, M.; Montoya-Castilla, I. Sleep and emotions: How much are they affected by confinement due to COVID-19? A longitudinal study. Int. J. Psychiatry Clin. Pr. 2023, 27, 8–17. [Google Scholar] [CrossRef]
- Morin, C.M.; Vézina-Im, L.A.; Ivers, H.; Micoulaud-Franchi, J.A.; Philip, P.; Lamy, M.; Savard, J. Prevalent, incident, and persistent insomnia in a population-based cohort tested before (2018) and during the first-wave of COVID-19 pandemic (2020). Sleep 2022, 45, zsab258. [Google Scholar] [CrossRef]
- Nishijima, C.; Miyagawa, N.; Tsuboyama-Kasaoka, N.; Chiba, T.; Miyachi, M. Association between Lifestyle Changes and at-Home Hours during and after the State of Emergency Due to the COVID-19 Pandemic in Japan. Nutrients 2021, 13, 2698. [Google Scholar] [CrossRef] [PubMed]
- Ong, J.L.; Lau, T.; Massar, S.A.A.; Chong, Z.T.; Ng, B.K.L.; Koek, D.; Zhao, W.; Yeo, B.T.T.; Cheong, K.; Chee, M.W.L. COVID-19-related mobility reduction: Heterogenous effects on sleep and physical activity rhythms. Sleep 2021, 44, zsaa179. [Google Scholar] [CrossRef]
- Pachocka, L.; El-Helou, B.; Wojda, B.; Mękus, M. Impact of lockdown on changes in lifestyle, including changes in consumtion of selected groups of food products among the inhabitatns in the Mazowieckie Region. Prz. Epidemiol. 2022, 76, 79–96. [Google Scholar] [CrossRef]
- Panarese, P.; Azzarita, V. The Impact of the COVID-19 Pandemic on Lifestyle: How Young people have Adapted Their Leisure and Routine during Lockdown in Italy. Young 2021, 29 (Suppl. S4), S35–S64. [Google Scholar] [CrossRef]
- Pecotić, R.; Pavlinac Dodig, I.; Lušić Kalcina, L.; Demirović, S.; Madirazza, K.; Valić, M.; Đogaš, Z. The COVID-19 lockdown promotes changes in sleep habits in the Croatian general population. Croat. Med. J. 2022, 63, 352–361. [Google Scholar] [CrossRef] [PubMed]
- Pépin, J.L.; Bailly, S.; Mordret, E.; Gaucher, J.; Tamisier, R.; Ben Messaoud, R.; Arnal, P.J.; Mignot, E. Greatest changes in objective sleep architecture during COVID-19 lockdown in night owls with increased REM sleep. Sleep 2021, 44, zsab075. [Google Scholar] [CrossRef]
- Pérez-Carbonell, L.; Meurling, I.J.; Wassermann, D.; Gnoni, V.; Leschziner, G.; Weighall, A.; Ellis, J.; Durrant, S.; Hare, A.; Steier, J. Impact of the novel coronavirus (COVID-19) pandemic on sleep. J. Thorac. Dis. 2020, 12 (Suppl. S2), S163–S175. [Google Scholar] [CrossRef] [PubMed]
- Peterson, M.; Lundholm, K.; Skeiky, L.; Van Dongen, H.; Hansen, D. 727 Impact of Washington State COVID-19 Lockdown on Sleep. Sleep 2021, 44 (Suppl. S2), A283–A284. [Google Scholar] [CrossRef]
- Petrov, M.E.; Pituch, K.A.; Kasraeian, K.; Jiao, N.; Mattingly, J.; Hasanaj, K.; Youngstedt, S.D.; Buman, M.P.; Epstein, D.R. Impact of the COVID-19 pandemic on change in sleep patterns in an exploratory, cross-sectional online sample of 79 countries. Sleep Health 2021, 7, 451–458. [Google Scholar] [CrossRef] [PubMed]
- Pišot, S.; Milovanović, I.; Šimunič, B.; Gentile, A.; Bosnar, K.; Prot, F.; Bianco, A.; Lo Coco, G.; Bartoluci, S.; Katović, D.; et al. Maintaining everyday life praxis in the time of COVID-19 pandemic measures (ELP-COVID-19 survey). Eur. J. Public. Health 2020, 30, 1181–1186. [Google Scholar] [CrossRef] [PubMed]
- Pitol, M.N.S.; Sapir, A.S.M. COVID-19: Introduction of a new lifestyle and diet among the Malaysians. Bull. Natl. Res. Cent. 2023, 47, 3. [Google Scholar] [CrossRef]
- Pouget, M.; Clinchamps, M.; Lambert, C.; Pereira, B.; Farigon, N.; Gentes, E.; Miolanne, M.; Picard, M.; Tyrode, A.; Alligier, M.; et al. Impact of COVID-19 Lockdown on Food Consumption and Behavior in France (COVISTRESS Study). Nutrients 2022, 14, 3739. [Google Scholar] [CrossRef]
- Priego-Parra, B.A.; Triana-Romero, A.; Mayanin Pinto-Gálvez, S.; Durán Ramos, C.; Salas-Nolasco, O.; Manriquez Reyes, M.; Ramos-de-la-Medina, A.; María Remes-Troche, J. Anxiety, depression, attitudes, and internet addiction during the initial phase of the 2019 coronavirus disease (COVID-19) epidemic: A cross-sectional study in México. medRxiv 2020. [Google Scholar] [CrossRef]
- Rababah, T.; Al-U’datt, M.; Angor, M.M.; Gammoh, S.; Rababah, R.; Magableh, G.; Almajwal, A.; Al-Rayyan, Y.; Al-Rayyan, N. Impact of COVID-19 pandemic on obesity among adults in Jordan. Front. Nutr. 2023, 10, 1114076. [Google Scholar] [CrossRef] [PubMed]
- Radwan, H.; Al Kitbi, M.; Hasan, H.; Al Hilali, M.; Abbas, N.; Hamadeh, R.; Saif, E.R.; Naja, F. Indirect Health Effects of COVID-19: Unhealthy Lifestyle Behaviors during the Lockdown in the United Arab Emirates. Int. J. Environ. Res. Public. Health 2021, 18, 1964. [Google Scholar] [CrossRef] [PubMed]
- Ramírez, C.; García, A.; Santos, I.; Borrani, J.; Valdez, P. Changes in sleep habits during the lockdown for the COVID-19 pandemic in the population and people attending a morning or an afternoon shift in Monterrey, Mexico. Chronobiol. Int. 2022, 39, 918–935. [Google Scholar] [CrossRef] [PubMed]
- Ramos Socarras, L.; Potvin, J.; Forest, G. COVID-19 and sleep patterns in adolescents and young adults. Sleep Med. 2021, 83, 26–33. [Google Scholar] [CrossRef] [PubMed]
- Reynaud, E.; Pottelette, J.; Rabot, J.; Rolling, J.; Royant-Parola, S.; Hartley, S.; Coutelle, R.; Schröder, C.M. Differential effects of COVID-related lockdown on sleep-wake rhythms in adults with autism spectrum disorder compared to the general population. Autism Res. 2022, 15, 945–956. [Google Scholar] [CrossRef] [PubMed]
- Robinson, E.; Gillespie, S.; Jones, A. Weight-related lifestyle behaviours and the COVID-19 crisis: An online survey study of UK adults during social lockdown. Obes. Sci. Pr. 2020, 6, 735–740. [Google Scholar] [CrossRef] [PubMed]
- Rotvold, A.; Parker, K.; Honrath, K.; Rhee, Y. Sleep and diet patterns of college students during the COVID-19 pandemic lockdowns. J. Am. Coll. Health 2022, 1–4. [Google Scholar] [CrossRef] [PubMed]
- Ruiz-Zaldibar, C.; García-Garcés, L.; Vicario-Merino, Á.; Mayoral-Gonzalo, N.; Lluesma-Vidal, M.; Ruiz-López, M.; Pérez-Manchón, D. The Impact of COVID-19 on the Lifestyles of University Students: A Spanish Online Survey. Healthcare 2022, 10, 309. [Google Scholar] [CrossRef] [PubMed]
- Saalwirth, C.; Leipold, B. Well-being and sleep in stressful times of the COVID-19 pandemic: Relations to worrying and different coping strategies. Stress Health 2021, 37, 973–985. [Google Scholar] [CrossRef]
- Salehinejad, M.A.; Majidinezhad, M.; Ghanavati, E.; Kouestanian, S.; Vicario, C.M.; Nitsche, M.A.; Nejati, V. Negative impact of COVID-19 pandemic on sleep quantitative parameters, quality, and circadian alignment: Implications for health and psychological well-being. EXCLI J. 2020, 19, 1297–1308. [Google Scholar] [CrossRef]
- Salfi, F.; Lauriola, M.; D’Atri, A.; Amicucci, G.; Viselli, L.; Tempesta, D.; Ferrara, M. Demographic, psychological, chronobiological, and work-related predictors of sleep disturbances during the COVID-19 lockdown in Italy. Sci. Rep. 2021, 11, 11416. [Google Scholar] [CrossRef] [PubMed]
- Santos-Miranda, E.; Rico-Díaz, J.; Carballo-Fazanes, A.; Abelairas-Gómez, C. Changes in healthy habits regarding physical activity and sedentary lifestyle during a national lockdown due to COVID-19. Retos 2022, 43, 415–421. [Google Scholar] [CrossRef]
- Sañudo, B.; Fennell, C.; Sánchez-Oliver, A.J. Objectively-assessed physical activity, sedentary behavior, smartphone use, and sleep patterns preand during-COVID-19 quarantine in young adults from Spain. Sustainability 2020, 12, 5890. [Google Scholar] [CrossRef]
- Scarpelli, S.; Alfonsi, V.; Mangiaruga, A.; Musetti, A.; Quattropani, M.C.; Lenzo, V.; Freda, M.F.; Lemmo, D.; Vegni, E.; Borghi, L.; et al. Pandemic nightmares: Effects on dream activity of the COVID-19 lockdown in Italy. J. Sleep Res. 2021, 30, e13300. [Google Scholar] [CrossRef] [PubMed]
- Shahzadi, K.; Liaqat, B.; Shahbaz, A.; Farooq, H.U. Covid-19 lockdown Impact on the Adult Pakistani Population. Pak. J. Med. Health Sci. 2021, 15, 1180–1184. [Google Scholar] [CrossRef]
- Sheehan, C.; Li, L.; Petrov, M.E. How did trends in sleep duration in 2020 compare to previous years and how did they vary by sex, race/ethnicity, and educational attainment? Sleep Med. 2023, 101, 570–577. [Google Scholar] [CrossRef] [PubMed]
- Singh, B.; Jain, S.; Rastogi, A. Effects of nationwide COVID-19 lockdown on lifestyle and diet: An Indian survey. J. Fam. Med. Prim. Care 2021, 10, 1246–1250. [Google Scholar] [CrossRef] [PubMed]
- Singh, V.; Raghav, P.; Singh, G.; Pritish Baskaran, T.B.; Bishnoi, A.; Gautam, V.; Chaudhary, A.K.; Kumar, A.; Kumar, S.; Sahu, S. Lifestyle and behavioral changes during nationwide lockdown in India-A cross-sectional analysis. J. Fam. Med. Prim. Care 2021, 10, 2661–2667. [Google Scholar] [CrossRef]
- Sinha, M.; Pande, B.; Sinha, R. Association of mid sleep time and social jetlag with psychosocial behaviour of Indian population during COVID-19 lockdown. J. Public. Health Res. 2020, 9, 1870. [Google Scholar] [CrossRef]
- Sinha, M.; Pande, B.; Sinha, R. Impact of COVID-19 lockdown on sleep-wake schedule and associated lifestyle related behavior: A national survey. J. Public. Health Res. 2020, 9, 1826. [Google Scholar] [CrossRef]
- Sinisterra Loaiza, L.I.; Vázquez Belda, B.; Miranda López, J.M.; Cepeda, A.; Cardelle Cobas, A. Food habits in the Galician population during confinement byCOVID-19. Nutr. Hosp. 2020, 37, 1190–1196. [Google Scholar] [CrossRef] [PubMed]
- Smith, M.L.; Herbert, A.; Hughes, A.; Northstone, K.; Howe, L.D. Socioeconomic position and adverse childhood experiences as risk factors for health-related behaviour change and employment adversity during the COVID-19 pandemic: Insights from a prospective cohort study in the UK. BMC Public. Health 2022, 22, 1820. [Google Scholar] [CrossRef]
- Souza, T.C.; Oliveira, L.A.; Daniel, M.M.; Ferreira, L.G.; Della Lucia, C.M.; Liboredo, J.C.; Anastácio, L.R. Lifestyle and eating habits before and during COVID-19 quarantine in Brazil. Public. Health Nutr. 2022, 25, 65–75. [Google Scholar] [CrossRef]
- Storari, M.; Orrù, G.; Manconi, M.; Caruso, L.; Viscuso, D. Sleep/wake rhythm modifications in the Italian population during SARS-CoV-2 pandemic: A web-based cross-sectional survey. Eur. Rev. Med. Pharmacol. Sci. 2021, 25, 5047–5056. [Google Scholar] [CrossRef] [PubMed]
- Szczepańska, E.; Janota, B. Lifestyle of Families with Children Aged 4-8 Years before and during Lockdown Due to COVID-19 Pandemic in Poland. Int. J. Environ. Res. Public. Health 2022, 19, 15064. [Google Scholar] [CrossRef]
- Tang, N.K.Y.; McEnery, K.A.M.; Chandler, L.; Toro, C.; Walasek, L.; Friend, H.; Gu, S.; Singh, S.P.; Meyer, C. Pandemic and student mental health: Mental health symptoms among university students and young adults after the first cycle of lockdown in the UK. BJPsych Open 2022, 8, e138. [Google Scholar] [CrossRef] [PubMed]
- Taporoski, T.P.; Beijamini, F.; Gómez, L.M.; Ruiz, F.S.; Ahmed, S.S.; von Schantz, M.; Pereira, A.C.; Knutson, K.L. Subjective sleep quality before and during the COVID-19 pandemic in a Brazilian rural population. Sleep Health 2022, 8, 167–174. [Google Scholar] [CrossRef] [PubMed]
- Trabelsi, K.; Ammar, A.; Masmoudi, L.; Boukhris, O.; Chtourou, H.; Bouaziz, B.; Brach, M.; Bentlage, E.; How, D.; Ahmed, M.; et al. Globally altered sleep patterns and physical activity levels by confinement in 5056 individuals: ECLB COVID-19 international online survey. Biol. Sport 2021, 38, 495–506. [Google Scholar] [CrossRef]
- Trakada, A.; Nikolaidis, P.T.; Andrade, M.D.S.; Puccinelli, P.J.; Economou, N.T.; Steiropoulos, P.; Knechtle, B.; Trakada, G. Sleep During “Lockdown” in the COVID-19 Pandemic. Int. J. Environ. Res. Public. Health 2020, 17, 9094. [Google Scholar] [CrossRef]
- Tsigkas, G.; Koufou, E.E.; Katsanos, K.; Patrinos, P.; Moulias, A.; Miliordos, I.; Almpanis, G.; Christodoulou, I.; Papanikolaou, F.; Dimitroula, T.; et al. Potential Relationship Between Lifestyle Changes and Incidence of Hospital Admissions for Acute Coronary Syndrome During the COVID-19 Lockdown. Front. Cardiovasc. Med. 2021, 8, 604374. [Google Scholar] [CrossRef]
- Urquía, Y.J.M.; Pereira, T.S.S.; Martinez, O.G.E.; Silva, D.A.; Martins, M.C.T.; Molina, M.d.C.B. Food, lifestyle and social distancing: A study in the Brazilian southeast during the COVID-19 pandemic. Población Salud Mesoamérica 2022, 20, 165–188. [Google Scholar] [CrossRef]
- Valiensi, S.M.; Folgueira, A.L.; Garay, A. Early impact on sleep and mental health during the mandatory social isolation of COVID-19 outbreak: An observational cross-sectional study carried out in Argentina. Sleep Sci. 2022, 15 (Suppl. S1), 41–48. [Google Scholar] [CrossRef] [PubMed]
- van der Werf, E.T.; Busch, M.; Jong, M.C.; Hoenders, H.J.R. Lifestyle changes during the first wave of the COVID-19 pandemic: A cross-sectional survey in the Netherlands. BMC Public. Health 2021, 21, 1226. [Google Scholar] [CrossRef]
- Villadsen, A.; Patalay, P.; Bann, D. Mental health in relation to changes in sleep, exercise, alcohol and diet during the COVID-19 pandemic: Examination of four UK cohort studies. Psychol. Med. 2023, 53, 2748–2757. [Google Scholar] [CrossRef] [PubMed]
- Villaseñor Lopez, K.; Jimenez Garduño, A.M.; Ortega Regules, A.E.; Islas Romero, L.M.; Gonzalez Martinez, O.A.; Silva Pereira, T.S. Cambios en el estilo de vida y nutrición durante el confinamiento por SARS-CoV-2 (COVID-19) en México: Un estudio observacional. Rev. Española Nutr. Humana Dietética 2021, 25 (Suppl. S2), e1099. [Google Scholar] [CrossRef]
- Vinogrado, O.O.; Guzhva, O.I. The impact of restrictive measures to prevent the spread of COVID-19 on students’ lifestyle. Med. Perspect. 2022, 3, 2786–4804. [Google Scholar] [CrossRef]
- Viselli, L.; Salfi, F.; D’Atri, A.; Amicucci, G.; Ferrara, M. Sleep Quality, Insomnia Symptoms, and Depressive Symptomatology among Italian University Students before and during the Covid-19 Lockdown. Int. J. Environ. Res. Public. Health 2021, 18, 13346. [Google Scholar] [CrossRef] [PubMed]
- Vollmer, C.; Jankowski, K.S. COVID-19-lockdown delayed sleep timing in Tyrolean teachers. Chronobiol. Int. 2022, 39, 1601–1610. [Google Scholar] [CrossRef] [PubMed]
- Wang, X.; Lei, S.M.; Le, S.; Yang, Y.; Zhang, B.; Yao, W.; Gao, Z.; Cheng, S. Bidirectional Influence of the COVID-19 Pandemic Lockdowns on Health Behaviors and Quality of Life among Chinese Adults. Int. J. Environ. Res. Public. Health 2020, 17, 5575. [Google Scholar] [CrossRef]
- Wright, K.P., Jr.; Linton, S.K.; Withrow, D.; Casiraghi, L.; Lanza, S.M.; Iglesia, H.; Vetter, C.; Depner, C.M. Sleep in university students prior to and during COVID-19 Stay-at-Home orders. Curr. Biol. 2020, 30, R797–R798. [Google Scholar] [CrossRef]
- Yang, G.Y.; Lin, X.L.; Fang, A.P.; Zhu, H.L. Eating Habits and Lifestyles during the Initial Stage of the COVID-19 Lockdown in China: A Cross-Sectional Study. Nutrients 2021, 13, 970. [Google Scholar] [CrossRef] [PubMed]
- Yang, S.; Guo, B.; Ao, L.; Yang, C.; Zhang, L.; Zhou, J.; Jia, P. Obesity and activity patterns before and during COVID-19 lockdown among youths in China. Clin. Obes. 2020, 10, e12416. [Google Scholar] [CrossRef] [PubMed]
- Zalech, M. Effects of social isolation caused by the COVID-19 pandemic on changes in daily activity: A case study of physical education students. Balt. J. Health Phys. Act. 2021, 13, 63–74. [Google Scholar] [CrossRef]
- Zheng, C.; Huang, W.Y.; Sheridan, S.; Sit, C.H.; Chen, X.K.; Wong, S.H. COVID-19 Pandemic Brings a Sedentary Lifestyle in Young Adults: A Cross-Sectional and Longitudinal Study. Int. J. Environ. Res. Public. Health 2021, 17, 6035. [Google Scholar] [CrossRef] [PubMed]
- Zhu, Q.; Li, M.; Ji, Y.; Shi, Y.; Zhou, J.; Li, Q.; Qin, R.; Zhuang, X. “Stay-at-Home” Lifestyle Effect on Weight Gain during the COVID-19 Outbreak Confinement in China. Int. J. Environ. Res. Public. Health 2021, 18, 1813. [Google Scholar] [CrossRef] [PubMed]
- Kantermann, T. Behavior: How a Global Social Lockdown Unlocks Time for Sleep. Curr. Biol. 2020, 30, R822–R823. [Google Scholar] [CrossRef] [PubMed]
- Bird, K.A.; Castleman, B.L.; Lohner, G. Negative Impacts from the Shift to Online Learning during the COVID-19 Crisis: Evidence from a Statewide Community College System; EdWorkingPaper: 20-299; Annenberg Institute at Brown University: Providence, RI, USA, 2020. [Google Scholar] [CrossRef]
- Chattu, V.K.; Manzar, M.D.; Kumary, S.; Burman, D.; Spence, D.W.; Pandi-Perumal, S.R. The Global Problem of Insufficient Sleep and Its Serious Public Health Implications. Healthcare 2018, 7, 1. [Google Scholar] [CrossRef] [PubMed]
- Roland, A.; Colomb, C.; Noël, S.; Putilov, A.; Oginska, H.; Delwiche, B.; Benkirane, O.; Windal, M.; Vanlaer, N.; Briganti, G.; et al. Prevalence of Insomnia and Sleep Habits during the First and Second Wave of COVID-19 in Belgium. Psychol. Belg. 2023, 63, 18–29. [Google Scholar] [CrossRef] [PubMed]
- Salfi, F.; D’Atri, A.; Tempesta, D.; Ferrara, M. Sleeping under the waves: A longitudinal study across the contagion peaks of the COVID-19 pandemic in Italy. J. Sleep Res. 2021, 30, e13313. [Google Scholar] [CrossRef]
- Watson, N.F.; Badr, M.S.; Belenky, G.; Bliwise, D.L.; Buxton, O.M.; Buysse, D.; Dinges, D.F.; Gangwisch, J.; Grandner, M.A.; Kushida, C.; et al. Recommended Amount of Sleep for a Healthy Adult: A Joint Consensus Statement of the American Academy of Sleep Medicine and Sleep Research Society. Sleep 2015, 38, 843–844. [Google Scholar] [CrossRef]
- Benedict, C.; Cedernaes, J. Could a good night’s sleep improve COVID-19 vaccine efficacy? Lancet Respir. Med. 2021, 9, 447–448. [Google Scholar]
- Patel, S.R.; Malhotra, A.; Gao, X.; Hu, F.B.; Neuman, M.I.; Fawzi, W.W. A prospective study of sleep duration and pneumonia risk in women. Sleep 2012, 35, 97–101. [Google Scholar] [CrossRef] [PubMed]
- Athanasiou, N.; Baou, K.; Papandreou, E.; Varsou, G.; Amfilochiou, A.; Kontou, E.; Pataka, A.; Porpodis, K.; Tsiouprou, I.; Kaimakamis, E.; et al. Association of sleep duration and quality with immunological response after vaccination against severe acute respiratory syndrome coronavirus-2 infection. J. Sleep Res. 2023, 32, e13656. [Google Scholar] [CrossRef] [PubMed]
- Izuhara, M.; Matsui, K.; Yoshiike, T.; Kawamura, A.; Utsumi, T.; Nagao, K.; Tsuru, A.; Otsuki, R.; Kitamura, S.; Kuriyama, K. Association between sleep duration and antibody acquisition after mRNA vaccination against SARS-CoV-2. Front. Immunol. 2023, 14, 1242302. [Google Scholar] [CrossRef]
- Chaput, J.P.; Dutil, C.; Featherstone, R.; Ross, R.; Giangregorio, L.; Saunders, T.J.; Janssen, I.; Poitras, V.J.; Kho, M.E.; Ross-White, A.; et al. Sleep timing, sleep consistency, and health in adults: A systematic review. Appl. Physiol. Nutr. Metab. 2020, 45 (Suppl. S2), S232–S247. [Google Scholar] [CrossRef] [PubMed]
- Zatońska, K.; Basiak-Rasała, A.; Połtyn-Zaradna, K.; Kinastowski, K.; Szuba, A. Sleep Duration and Bedtime in the PURE Poland Cohort Study and the Link with Noncommunicable Diseases. Int. J. Environ. Res. Public. Health 2021, 19, 403. [Google Scholar] [CrossRef] [PubMed]
- Itani, O.; Jike, M.; Watanabe, N.; Kaneita, Y. Short sleep duration and health outcomes: A systematic review, meta-analysis, and meta-regression. Sleep Med. 2017, 32, 246–256. [Google Scholar] [CrossRef]
- Jike, M.; Itani, O.; Watanabe, N.; Buysse, D.J.; Kaneita, Y. Long sleep duration and health outcomes: A systematic review, meta-analysis and meta-regression. Sleep Med. Rev. 2018, 39, 25–36. [Google Scholar] [CrossRef]
- Stenholm, S.; Kronholm, E.; Bandinelli, S.; Guralnik, J.M.; Ferrucci, L. Self-reported sleep duration and time in bed as predictors of physical function decline: Results from the InCHIANTI study. Sleep 2011, 34, 1583–1593. [Google Scholar] [CrossRef]
- Leong, R.L.F.; Lo, J.C.; Chee, M.W.L. Systematic review and meta-analyses on the effects of afternoon napping on cognition. Sleep Med. Rev. 2022, 65, 101666. [Google Scholar] [CrossRef]
- Li, J.; McPhillips, M.V.; Deng, Z.; Fan, F.; Spira, A. Daytime Napping and Cognitive Health in Older Adults: A Systematic Review. The journals of gerontology. Ser. A Biol. Sci. Med. Sci. 2023, 78, 1853–1860. [Google Scholar] [CrossRef] [PubMed]
- Xie, B.; Wang, J.; Li, X.; Zhang, J.; Chen, M. Association between daytime napping duration and depression in middle-aged and elderly Chinese: Evidence from the China Health and Retirement Longitudinal Study (CHARLS): A cross-sectional study in China. Medicine 2020, 99, e22686. [Google Scholar] [CrossRef] [PubMed]
- Sun, J.; Ma, C.; Zhao, M.; Magnussen, C.G.; Xi, B. Daytime napping and cardiovascular risk factors, cardiovascular disease, and mortality: A systematic review. Sleep Med. Rev. 2022, 65, 101682. [Google Scholar] [CrossRef] [PubMed]
- Ferreira-Souza, L.F.; Julianelli-Peçanha, M.; Coelho-Oliveira, A.C.; da Silva Bahia, C.M.C.; Paineiras-Domingos, L.L.; Reis-Silva, A.; Moura-Fernandes, M.C.; Trindade-Gusmão, L.C.; Taiar, R.; da Cunha Sá-Caputo, D.; et al. Impacts of COVID-19 Pandemic on Sleep Quality Evaluated by Wrist Actigraphy: A Systematic Review. J. Clin. Med. 2023, 12, 1182. [Google Scholar] [CrossRef] [PubMed]
- Korman, M.; Tkachev, V.; Reis, C.; Komada, Y.; Kitamura, S.; Gubin, D.; Kumar, V.; Roenneberg, T. TCOVID-19-mandated social restrictions unveil the impact of social time pressure on sleep and body clock. Sci. Rep. 2020, 10, 22225. [Google Scholar] [CrossRef] [PubMed]
- Tull, M.T.; Edmonds, K.A.; Scamaldo, K.M.; Richmond, J.R.; Rose, J.P.; Gratz, K.L. Psychological Outcomes Associated with Stay-at-Home Orders and the Perceived Impact of COVID-19 on Daily Life. Psychiatry Res. 2020, 289, 113098. [Google Scholar] [CrossRef] [PubMed]
- Trott, M.; Driscoll, R.; Irlado, E.; Pardhan, S. Changes and correlates of screen time in adults and children during the COVID-19 pandemic: A systematic review and meta-analysis. eClinicalMedicine 2022, 48, 101452. [Google Scholar] [CrossRef]
- Drumheller, K.; Fan, C.W. Unprecedented times and uncertain connections: A systematic review examining sleep problems and screentime during the COVID-19 pandemic. Sleep Epidemiol. 2022, 2, 100029. [Google Scholar] [CrossRef]









| Author, Year | Country | Study Design | Assessment Period | Population | N (F%) | Age | Data Collection/ Type of Recruitment | Measurement | Risk of Bias Score | D | TIB | BT | WT | NAP |
|---|---|---|---|---|---|---|---|---|---|---|---|---|---|---|
| Abouzid M., 2021 [25] | multi-country: Middle East/North Africa countries | cross-sectional | August–4 September 2020 | general population | 5896; F 62.8% | ≥18 y | online survey/snowball sampling | self-report measure | 3 | D | ||||
| Ahmed S., 2021 [26] | Bangladesh | cross-sectional | 24 April–25 May 2020 | general population | 230; F 20.9% | 8–60 y | online survey/random sampling | self-report measure | 4 | D | ||||
| Aishworiya R., 2021 [27] | Singapore | cross-sectional | 7 April–1 June 2020 | general population | 593; F 86.0% | ≥21 y | online survey/convenience sampling | self-report measure | 6 | D | BT | WT | ||
| Akbari H.A., 2021 [28] | Iran | cross-sectional | 17 November 2020–13 February 2021 | general population | 3323; F 54.3% | 30 ± 11 y | online survey/snowball sampling | self-report measure | 5 | D | BT | |||
| Aldhwayan M., 2022 [29] | Saudi Arabia | cross-sectional | 2–23 April 2020 | general population | 1860; F 75.1% | >18; median 36 y (IQR 18) | online survey/convenience sampling | self-report measure | 4 | D | ||||
| Alhusseini N., 2022 [30] | Saudi Arabia | cross-sectional | 22 May–2 June 2021 | general population | 1051; F 71% | ≥18 y | online survey/convenience sampling | self-report measure | 3 | D | ||||
| Ali A., 2021 [31] | Pakistan | cross-sectional | 24 March–26 April 2020 | students | 251; F 70.2% | 19.4 ± 1.6 y | online survey/convenience sampling | self-report measure | 6 | D | ||||
| Al-Musharaf S., 2021 [32] | Saudi Arabia | longitudinal | B: February–April 2019; D: April–May 2020 | university students | 297; F 100% | 19–30 y; 20.7 ± 1.4 y | telephone interview/nr | self-report measure | 6 | D | ||||
| Alomari M.A., 2021 [33] | Jordan | cross-sectional | second-third quartiles of 2020 | general population | 1757; F 69.4% | 33.8 ±11.1y; ≥18 y | online survey/convenience sampling | self-report measure | 4 | D | NAP | |||
| Alrubaysh M.A., 2021 [34] | Saudi Arabia | cross-sectional | January 2021–February 2021 | general population | 2069; F 68.1% | ≥18 y | online survey/convenience sampling | self-report measure | 3 | D | ||||
| Amerio A., 2021 [35] | Italy | cross-sectional | 27 April–3 May 2020 | general population | 6003; F 50,7% | 18–74 y | online survey/quota sampling method | self-report measure | 6 | D | ||||
| AMHSI Research Team, 2021 [36] | multi-country: International | longitudinal | D: 1 March–15 June 2020 | adults | 2645; F 52.5% | 19–60 y | online and telephone survey/snowball sampling | self-report measure | 5 | BT | WT | NAP | ||
| Anastasiou E., 2021 [37] | Greece | cross-sectional | 31 March–23 April 2020 | general population | 4216; F 70,87% | 36.8 ± 12.0 y | online survey/convenience sampling | self-report measure | 7 | BT | WT | |||
| Antunes R., 2020 [38] | Portugal | cross-sectional | 1–15 April 2020 | general population | 1404; F 69.6% | 18–89 y, 36.4 ± 11.7 y | online survey/convenience sampling | self-report measure | 6 | D | ||||
| Arrona-Palacios A., 2022 [39] | Mexico | cross-sectional | 18 May–10 June 2020 | faculty members of universities | 214; F 56.5% | 42.66 ± 9.17 y; 25–64 y | online survey/snowball sampling | self-report measure | 4 | D | TIB | BT | WT | |
| Asensio-Cuesta S., 2021 [40] | Spain | cross-sectional | B: 17 October 2019–17 February 2020; D: 21 April–1 May 2020 | university community (students, teachers, and staff) | B: 341, F 43.1%; D: 398, F 58.3% | ≥18 y | telegram chatbot/convenience sampling | self-report measure | 5 | D | ||||
| Aymerich-Franch L., 2020 [41] | Spain | cross-sectional | 15–25 April 2020 | general population | 584; F 75.3% | 18–65 y | online survey/snowball sampling | self-report measure | 2 | D | ||||
| Azizi A., 2020 [42] | Morocco | cross-sectional | B: nr; D: 9–30 May 2020 | general population | B: 484, F nr; D: 537, F 62.9% | D: 33.19 ± 12.14 | online survey/convenience sampling | self-report measure | 4 | BT | WT | NAP | ||
| Azuma K., 2021 [43] | Japan | cross-sectional | B: January 7–28 April 2019; D: 6 January 6–26 April 2020 | general population | B: 464, F 74.6%; D: 622, F 85.7% | ≥20 y; B 35 ± 12 y; D: 32 ± 11 y | online survey/convenience sampling | self-report measure | 6 | BT | WT | |||
| Bann D., 2021 [44] | UK | cross-sectional | 4–30 May 2020 | general population by birth cohort | 13283; F 50.3% | ≥19 y | online survey/cohort | self-report measure | 6 | D | ||||
| Barbouzas A.E., 2022 [45] | Greece | cross-sectional | 2 September–27 November 2020 | young adults | 540; F 62.8% | 21.2 ± 2.3 y; 18–25 y | online survey/cohort | self-report measure | 4 | D | ||||
| Bertrand L., 2022 [46] | France | cross-sectional | 6–11 May 2020 | general population | 1627; F 74.3% | <18 y 1%–>65 y 7.5% | online survey/convenience sampling | self-report measure | 4 | D | BT | WT | ||
| Bigalke J.A., 2020 [47] | USA | cross-sectional | 25 April–18 May 2020 | general population | 103; F 59% | mean 38 y | online survey/convenience sampling | self-report measure | 5 | D | ||||
| Blume C., 2021 [48] | multi-country: Austria/Germany/Switzerland | cross-sectional | 23 March–26 April 2020 | general population | 435; F 75.2% | ≥18 y | online survey/convenience sampling | self-report measure | 6 | D | ||||
| Borisenkov M.F., 2022 [49] | Russia | cross-sectional | 17 April–14 June 2020 | university students | B: 1050, F 71.8; D: 844; F 79.4% | B: 18.9 ± 1.9; D: 19.4 ± 1.8 y | online survey/convenience sampling | self-report measure | 5 | D | BT | WT | ||
| Bottary R., 2022 [50] | USA | cross-sectional | April–May 2020 | general population | 610; F 82.9% | ≥18 y; 39.24 ± 17.45 y; 18–89 y | online survey/snowball and convenience sampling | self-report measure | 5 | D | BT | WT | ||
| Bourdas D.I., 2021 [51] | Greece | cross-sectional | 4–19 April 2020 | general population | 8495; F 61.68% | ≥18 y | online survey/snowball sampling | self-report measure | 5 | D | ||||
| Buoite Stella A., 2021 [52] | Italy | cross-sectional | 23–29 March 2020 | general population | 400; F 69% | 35 ± 15 y | device data or online survey/convenience sampling | objective or self-report measures | 6 | D | ||||
| Bushnaq T., 2022 [53] | Saudi Arabia | cross-sectional | 10August–9 October 2021 | general population | 786; F 88.3% | ≥18 y; 30.48 ± 11.50 y | online survey/convenience sampling | self-report measure | 4 | D | ||||
| Cancello R., 2020 [54] | Italy | cross-sectional | 15 April–4 May 2020 | general population | 490; F 84% | ≥18 y | online survey/convenience sampling | self-report measure | 2 | D | ||||
| Casas R., 2022 [55] | Spain | cross-sectional | 23 April–2 June 2020 | general population | 945; F 70.8% | >18 y; 43.4 ± 13.4 y | online survey/snowball sampling | self-report measure | 3 | D | ||||
| Cellini N., 2020 [56] | Italy | cross-sectional | 24–28 March 2020 | students/workers | 1310; F 67.2% | 23.91 ± 3.6 y | online survey/convenience sampling | self-report measure | 5 | TIB | BT | WT | ||
| Cellini N., 2021 [57] | multi-country: Italy/Belgium | cross-sectional | 1 April–19 May 2020 | general population | 1622 Italians, F 72.2%; 650 Belgian, F 78.3% | 34.1 ± 13.6 y; 43.0 ± 16.8 y | online survey/convenience sampling | self-report measure | 5 | D | TIB | BT | WT | |
| Celorio-Sardà R., 2021 [58] | Spain | cross-sectional | 22 May–3 July 2020 | students/workers | 321; F 79.8% | ≥18 y | online survey/convenience sampling | self-report measure | 3 | BT | WT | |||
| Cheikh Ismail L., 2021b [59] | Lebanon | cross-sectional | 3–28 June 2020 | general population | 2507; F 73% | >18 y | online survey/snowball sampling | self-report measure | 3 | D | ||||
| Cheikh Ismail L., 2020 [60] | United Arab Emirates | cross-sectional | April–May 2020 | general population | 1012; F 75.9% | ≥18 y | online survey/convenience sampling | self-report measure | 5 | D | ||||
| Cheikh Ismail L., 2021a [61] | multi-country MENA region: Algeria, Bahrain, Egypt, Iraq, Jordan, Kuwait, Lebanon, Libya, Morocco, Oman, Palestine, Qatar, Saudi Arabia, Sudan, Syria, Tunisia, United Arab Emirates and Yemen. | Cross-sectional | 15–29 April 2020 | general population | 2970; F 71·6% | ≥18 y | online survey/convenience and snowball sampling | self-report measure | 3 | D | ||||
| Chopra S., 2020 [62] | India | cross-sectional | 15–30 August 2020 | general population | 995; F 41.4% | 33.33 ± 14.5 y; 18–85 y | online and telephone survey/quota sampling | self-report measure | 3 | D | ||||
| Chouchou F., 2021 [63] | France | cross-sectional | 35–45th days of lookdown | general population | 400; F 58.3% | ≥18 y; 29.8 ± 11.5 y | online survey/convenience sampling | self-report measure | 4 | D | BT | WT | NAP | |
| Conte F., 2021 [64] | Italy | cross-sectional | 1–20 April 2020 | general population | 1622; F 72.2% | >18 y; 18–79 y; 34.1 ± 13.6 y | online survey/convenience sampling | self-report measure | 5 | TIB | BT | WT | NAP | |
| Cooper J.A., 2021 [65] | USA | cross-sectional | 24 April–4 May 2020 | adults | 1607; F 56.6% | 38.0 ± 12.9 y, 18–75 y | online survey/convenience sampling | self-report measure | 5 | D | ||||
| Csépe P., 2021 [66] | Hungary | cross-sectional | 29 June–5 July 2020 | university students | 447; F 75,16% | 25.6 ± 7.2 y | online survey/convenience sampling | self-report measure | 4 | D | ||||
| Curtis R.G., 2021 [67] | Australia | longitudinal | B: 10–23 February 2020; D: 14–27 April 2020 | parents of children | 61; F 66% | 41 ± 6 y | device data/sample of parents | objective measure (wrist-worn wearable device, Fitbit Charge 3) | 6 | BT | WT | |||
| Czeisler M.E., 2022 [68] | USA | longitudinal | B: 1 January–12 March 2020; D: 13 March–12 April 2020 | general population | 4912; F 29.3% | ≥18 y | device data/non-probability sampling | objective measure (sleep wearable device, WHOOP) | 6 | D | BT | WT | ||
| Czeisler M.É., 2021 [69] | Australia | cross-sectional | 15–24 September 2020 | general population | 1157; F 53% | ≥18 y | online survey/demographic quota sampling and survey weighting to Census | self-report measure | 4 | TIB | ||||
| Davy J.P., 2021 [70] | South Africa | cross-sectional | 12 May–15 June 2020 | young adults | 1048; F 73.2% | median 27 (21, 42) y | online survey/convenience and snowball sampling | self-report measure | 6 | D | TIB | BT | WT | |
| Delgado-Ortiz L., 2022 [71] | Catalonia | cross-sectional | March–August 2020 | general population | 10032; F 59% | 55.3 ± 8 y | online or telephone survey/cohort | self-report measure | 8 | D | ||||
| Di Renzo L., 2020 [72] | Italy | cross-sectional | 5–24 April 2020 | general population Internet users | 3533; F 76.1% | 40.03 ± 13.53 y | online survey/convenience sampling | self-report measure | 4 | D | ||||
| Ding X., 2022 [73] | UK | cross-sectional | 2–31 May 2020 | general population | 8547; F 57% | ≥17 y | online survey/cohort | self-report measure | 6 | D | ||||
| Diz-Ferreira E., 2021 [74] | Spain | cross-sectional | 30 March–12 April 2020 | general population | 451; F 73.4% | ≥18 y | paper and online survey/convenience sampling | self-report measure | 4 | D | TIB | WT | ||
| Dragun R., 2021 [75] | Croatia | cross-sectional | B: 2018–2019; D: May 2020 | students | B: 1326, F 63.8%; D: 531, F 62.3% | B/D: 18.0 (IQR 6.0) | online survey/convenience sampling | self-report measure | 5 | D | ||||
| Elhadi M., 2021 [76] | Libya | cross-sectional | 18 July–23 August 2020 | general population | 10,296; F 76.6% | 28.9 ± 8.5 y | online survey/convenience sampling | self-report measure | 3 | BT | WT | |||
| ElHafeez S.A., 2022 [77] | Egypt | cross-sectional | 25 April–1 June 2020 | general population | 1000; F 66.2% | ≥18 y | online survey/convenience sampling | self-report measure | 5 | D | ||||
| Enriquez-Martinez O.G., 2021 [78] | multi-country: Argentina, Brazil, Mexico, Peru, Spain | cross-sectional | 1 April–26 September 2020 | general population | 6325; F 68.1% | ≥18 y | online survey/convenience sampling | self-report measure | 5 | D | ||||
| Esht V., 2021 [79] | India | cross-sectional | April–May 2020 | general population | 440; F 52.7% | 20–40 y | online survey/snowball sampling | self-report measure | 4 | D | ||||
| Falkingham J., 2020 [80] | UK | longitudinal | B: 2019; D: April 2020 | general population | 8163; F 53% | 50.6 ± 17.5 y | online survey/nr | self-report measure | 7 | D | ||||
| Felician J., 2022 [81] | France | cross-sectional | 9 April–9 June 2020 | general population | 2513; F 77% | median 39 (IQR 30–48) y | online survey/convenience sampling | self-report measure | 7 | D | NAP | |||
| Flanagan E.W., 2021 [82] | multi-country: USA/Australia/Canada/Ireland/UK | cross-sectional | 3 April–3 May 2020 | general population | 7753; F 80.0% | ≥18 y; 51.2 ± 0.17 y | online survey/convenience sampling | self-report measure | 5 | BT | WT | |||
| Flores L.E., 2022 [83] | Argentina | cross-sectional | 2–22 December 2020 | general population | 1536; F 75.1% | ≥18 y; 38.8 ± 13.1 y; | online survey/convenience sampling | self-report measure | 5 | D | ||||
| Franceschini C., 2020 [84] | Italy | cross-sectional | March 10–4 May 2020 | adults | 6439; F 73.1% | 33.9 ± 27.6 y; 18–82 | online survey/convenience sampling | self-report measure | 5 | BT | WT | NAP | ||
| Gao C., 2020 [85] | USA | longitudinal | B: 17 February 2020; D: 25–27 March 2020 | general population | 699 (B:199; D: 500; B/D: 86); F 44.78% | 38.04 ± 11.65 y | online survey/convenience sampling | self-report measure | 5 | D | BT | WT | ||
| García-Esquinas E., 2021 [86] | Spain | longitudinal | B: 2019; D: 27 April–22 June 2020 | general population | 3041; F 57.7% | ≥65 y | telephone interview/cohort | self-report measure | 6 | D | NAP | |||
| García-Garro P.A., 2022 [87] | Colombia | cross-sectional | 26 May–23 June 2020 | university community (professors, administration staff) | 354; F 40.96% | 43.39 ± 10.21 y; 40–64 y | online survey/convenience sampling (calculation of the sample size) | self-report measure | 5 | D | ||||
| Gibson R., 2022 [88] | New Zealand | cross-sectional | 11 April 2020 | general population | 723; F 82.3% | median 45 (IQR 22) y; 20–85 y | online survey/convenience sampling | self-report measure | 5 | D | TIB | BT | WT | |
| González-Calderón M.J., 2022 [89] | Spain | cross-sectional | 9–31 May 2020 | university community (students, professors, administration staff) | 2834; F 69.3% | 41.36 ± 10.5 y; 19–76 y | online survey/convenience sampling | self-report measure | 4 | D | ||||
| Gornicka M., 2020 [90] | Poland | cross-sectional | 30 April–23 May 2020 | general population | 2381; F 89.8% | ≥18 y | online survey/convenience sampling | self-report measure | 5 | D | ||||
| Gupta R., 2020 [91] | India | cross-sectional | 28 April–10 May 2020 | general population | 958; F 41.2% | 37.32 ± 13.09 y | online survey/snowball sampling | self-report measure | 5 | D | BT | WT | NAP | |
| Hernández-Nava R.G., 2022 [92] | Mexico | cross-sectional | 2 June–4 July 2020 | general population | 1004; F 69.5% | ≥18 y | online survey/convenience sampling | self-report measure | 5 | D | ||||
| Hisler G., 2021 [93] | USA | longitudinal | B: 2018; D: 27 April 2020 | general population | B: 19433, F 51.8%; D: 2059, F 50.7% | ≥18 y; B: 42.84 ± 14.84 y; D: 43.35 ± 14.88 y | online survey/probability sampling | self-report measure | 7 | D | ||||
| Huancahuire-Vega S., 2021 [94] | Peru | cross-sectional | 16 July–31 August 2020 | general population | 1176; F 51.5% | ≥18 y | online survey/convenience sampling | self-report measure | 5 | D | ||||
| Husain W., 2020 [95] | Kuwait | cross-sectional | 30 March–15 April 2020 | adults | 415; F 68.7% | ≥18 y; 38.47 ± 12.73 y, 18–73 y | online survey/snowball sampling | self-report measure | 4 | D | ||||
| Islam M.A., 2022 [96] | Bangladesh | cross-sectional | 10–17 December 2020 | general population | 748; F 41.3% | ≥18 y | online survey/snowball sampling | self-report measure | 4 | D | ||||
| Janssen X., 2020 [97] | UK: Scotland | longitudinal | D: 20 May–12 June 2020 | general population | 3230; F 79.2% | ≥18 y, 46.2 ± 15.3 y | online survey/convenience sampling | self-report measure | 5 | D | ||||
| Jones C., 2021 [98] | USA | cross-sectional | 14 May–24 October 2020 | general population | 228; F 79.0% | ≥18 y; 45.0 ± 17.1 y | online survey/convenience sampling | self-report measure | 3 | D | ||||
| Joshi D.R., 2023 [99] | Nepal | cross-sectional | 15 April–25 July 2020 | academicians (school teachers, faculty members, and graduate students of higher education institutions) | 361; F 18.3% | 34.17 ± 8.67 y | online survey/snowball sampling | self-report measure | 6 | D | ||||
| Kaizi-Lutu M., 2021 [100] | USA | cross-sectional | 16 May–11 November 2020 | general population | 226; F 77.8% | ≥18 y; 44.9 ± 17.4 y | online survey/convenience sampling | self-report measure | 3 | BT | WT | NAP | ||
| Karahan Yılmaz S., 2020 [101] | Turkey | cross-sectional | April–May 2020 | adults | 1120; F 63.2% | 18–65 y; 33.04 ± 11.04 y | online survey/convenience sampling | self-report measure | 2 | D | ||||
| Khojasteh M.R., 2022 [102] | Iran | cross-sectional | March–April 2020 | university students | 283; F 72.4% | 24.11 ± 2.54 | online survey/convenience sampling | self-report measure | 5 | D | ||||
| Kholghi M., 2021 [103] | Australia | longitudinal | B: November 2019–February 2020; D: March–May 2020 | older adults | 31; 54.8% | 84 ± 6.8 y | device data/cohort | objective measure (mattress-based devices, EMFIT QS) | 7 | D | BT | WT | ||
| Kim A.C.H., 2022 [104] | USA | cross-sectional | first week of June 2020 | general population | 695; F 40% | 45.85 ± 15.42 y | online survey/convenience sampling | self-report measure | 4 | D | ||||
| Kolokotroni O., 2021 [105] | Cyprus | cross-sectional | 10 April–12 May 2020 | general population | 745; F 73.8% | ≥18 y; median 39 (IQR 13) y; 18–76 y | online survey/convenience sampling | self-report measure | 4 | D | ||||
| Kontsevaya A.V., 2021 [106] | Russia | cross-sectional | 26 April–6 June 2020 | general population | 2432; F 83% | ≥18 y; 37.6 ± 13.4 y | online survey/convenience sampling | self-report measure | 5 | D | WT | |||
| Leone M.J., 2020 [107] | Argentina | longitudinal | B: February and May 2018 and 2019/February 2020; D: April 2020 | general population | 1021; F 69.64% | 13–74 y; 37.4 ± 13.21 y | online survey/convenience sampling | self-report measure | 7 | D | BT | WT | NAP | |
| Li J.W., 2021 [108] | China | longitudinal | B: 26 December 2019-22 January 2020; D: 3–21 January 21 February 2020 | general population | 19,960; F 10.1% | 35.7 ± 11.3 y | device data/cohort | objective measure (wrist-worn wearable device—acceleration sensor and photoplethysmogram) | 6 | D | ||||
| Liboredo J.C., 2021 [109] | Brazil | cross-sectional | 14 August–9 September 2020 | general population | 1368; F 80% | median 31 y; 18–87 y | online survey/convenience sampling | self-report measure | 4 | D | ||||
| Lopez-Bueno R., 2020 [110] | Spain | cross-sectional | 22 March–5 April 2020 | adults | 2741; F 51.8% | ≥18 y; 34.2 ± 13.0 y | online survey/convenience sampling | self-report measure | 6 | D | ||||
| López-Moreno M., 2020 [111] | Spain | cross-sectional | 28 May–21 June 2020 | general population | 675; F 30.1% | ≥18 y; 39.1 ± 12.9 y; 18–85 y | online survey/snowball sampling | self-report measure | 3 | D | ||||
| Luciano F., 2020 [112] | Italy | cross-sectional | B: October–November 2019; D: 9 March–3 May 2020 | university students | B: 714, F 62%; D: 394, F 73% | B/D: 25 ± 2 y | online survey/convenience sampling | self-report measure | 4 | D | ||||
| Majumdar P., 2020 [113] | India | cross-sectional | 14 April–2 May 2020 | university students/workers | 325 students, F 60.9%; 203 workers, F 18.2% | 33.1 ± 7.11 y; 22.1 ± 1.66 y | online survey/convenience sampling | self-report measure | 3 | D | NAP | |||
| Mandelkorn U., 2021 [114] | multi-country: multi-national/USA | cross-sectional | 26 March–26 April 2020 | general population | 2562 study 1, F 68%; 971 study 2, F 52.8% | study 1 45.18 ± 14.46 y; study 2 40.36 ± 13.61 y | online survey/convenience sampling | self-report measure | 2 | D | ||||
| Marelli S., 2021 [115] | Italy | cross-sectional | 24 March–2 May 2020 | university students/workers | 400; F 75.8% | 22.84 ± 2.68 y | online survey/convenience sampling | self-report measure | 6 | D | TIB | BT | WT | |
| Martínez-Vázquez S.E., 2021 [116] | Mexico | cross-sectional | 13 April–16 May 2020 | general population | 8289; F 80% | ≥18 y; 18–38 | online survey/snowball sampling | self-report measure | 4 | BT | ||||
| Mititelu M., 2021 [117] | Romania | cross-sectional | 8–26 July 2020 | general population | 805, F 19.7% | ≥20 y | online survey/convenience sampling | self-report measure | 4 | D | ||||
| Mohsin A., 2021 [118] | Pakistan | cross-sectional | 27 May–1 July 2020 | general population | 553; F 63.5% | >18 y | online survey/convenience sampling | self-report measure | 3 | NAP | ||||
| Mónaco E., 2022 [119] | Spain | longitudinal | 30 March 2020 | general population | B: 363, F 69.4%; D: 261, F nr | 32.59 ± 12.57 y; age range: 18–65 y | online survey/snowball sampling | self-report measure | 3 | D | BT | WT | NAP | |
| Morin C.M., 2022 [120] | Canada | longitudinal | B: 2018; D: April–May 2020 | general population | 594; F: 64.0% | 48.3 ± 13.1 y; 18–83 y | online or telephone survey/cohort | self-report measure | 5 | D | BT | WT | NAP | |
| Nishijima C., 2021 [121] | Japan | cross-sectional | 9–14 September 2020 | general population | 9645; F 52,4% | ≥20 y | online survey/random sampling by age, sex, and place of residence | self-report measure | 5 | D | BT | WT | ||
| Ong J.L., 2021 [122] | Singapore | longitudinal | B: 2–22 January 2020; D: 7–27 April 2020 | city-dwelling/young working adults | 1824; F 51.64% | 21–40 y; 30.94 ± 4.62 y | device data/convenience sampling | objective measure (wrist-worn wearable device, Fitbit API) | 9 | D | TIB | BT | WT | |
| Pachocka L., 2022 [123] | Poland | cross-sectional | August 2020 | general population | 490; F 66.1% | 18–80 y | face to face survey/convenience sampling | self-report measure | 3 | D | ||||
| Panarese P., 2021 [124] | Italy | cross-sectional | 7 April–3 May 2020 | general population | 11,452; F nr | ≥25 y | online survey/snowball sampling | self-report measure | 3 | D | ||||
| Pecotić R., 2022 [125] | Croatia | cross-sectional | 25 April–5 May 2020 | general population | 1173; F 73.7% | ≥18 y; median 42 (32–52) y | online survey/snowball sampling | self-report measure | 6 | BT | WT | |||
| Pépin J.-L., 2021 [126] | France | longitudinal | B: 16 February–March 2020; D: March 17–11 May 2020 | regular users of a sleep-monitoring headband | 599; F 29% | median 47 (IQR 36–59) y | device data or online survey/convenience sampling | objective (dream sleep-monitoring headband) and self-report measures | 8 | D | TIB | BT | WT | |
| Perez-Carbonell L., 2020 [127] | UK | cross-sectional | 12 May–2 June 2020 | general population | 843; F 67.4% | ≥18 y; median 52 (IQR 40–63) y | online survey/convenience sampling | self-report measure | 2 | BT | ||||
| Peterson M., 2021 [128] | USA | longitudinal | B: before 15 March 2020; D: after 15 March 2020 | general population | 9; F 55.6% | 22–48 y | device data/nr | objective measure (wrist-worn actigraph, Actiwatch-2 + non-contact monitoring device, SleepScore Max, SleepScore Labs) | 5 | D | ||||
| Petrov M.E., 2021 [129] | multi-country 79 countries | cross-sectional | 21 May 2020–7 July 2020 | general population | 991; 72.5% | ≥18; 37.9 ± 14.6 y; 18–80 y | online survey/convenience sampling | self-report measure | 5 | D | TIB | NAP | ||
| Pisot S., 2020 [130] | multi-country: Bosnia and Herzegovina/Croatia/Greece/Kosovo/Italy/Serbia/Slovakia/Slovenia/Spain | cross-sectional | 15 April–3 May 2020 | general population | 4108; F 63.6% | 15–82 y; 32.0 ± 13.2 y | online survey/snowball sampling | self-report measure | 5 | D | BT | WT | ||
| Pitol M.N.S., 2023 [131] | Malaysia | cross-sectional | first lockdown | general population | 112; F 68.8% | ≥18 y; 19–60 y | online survey/convenience sampling | self-report measure | 4 | D | ||||
| Pouget M., 2022 [132] | France | cross-sectional | 26 June 2020–2 March 2021 | general population | 671; F 74% | 47 ± 13 y | online survey/convenience sampling | self-report measure | 4 | D | ||||
| Priego-Parra, 2020 [133] | Mexico | cross-sectional | 23 March–21 April 2020 | general population | 561; F 71% | 30.7 ± 10.6 y | online survey/snowball sampling | self-report measure | 6 | D | ||||
| Rababah T., 2023 [134] | Jordan | cross-sectional | March–June 2021 | general population | 672; F61.9% | ≥18 y | online survey/convenience sampling | self-report measure | 3 | D | ||||
| Radwan H., 2021 [135] | United Arab Emirates | cross-sectional | 5–18 May 2020 | adults residing | 2060; F 75.1% | ≥18 y | online survey/convenience sampling | self-report measure | 6 | D | ||||
| Ramírez C., 2022 [136] | Mexico | cross-sectional | 30 April –23 May 2020 | general population | 861; F 74.7% | 18–69 y; 27.73 ± 11.31 y | online survey/snowball sampling | self-report measure | 5 | D | TIB | BT | WT | NAP |
| Ramos Socarras, 2021 [137] | Canada | cross-sectional | 3 June–3 July 2020. | young adults | 248; F 75.4% | 18–25 y | online survey/convenience sampling | self-report measure | 6 | D | BT | WT | ||
| Reynaud E., 2022 [138] | France | cross-sectional | 11 April –20 May 2020 | general population | 1652; F 77.1% | ≥18 y; 35.4 ± 11.4 y | online survey/convenience sampling | self-report measure | 3 | D | BT | WT | ||
| Robinson E., 2020 [139] | UK | cross-sectional | 19–22 April 2020 | adults | 723; F 67% | 18–60 y, 30.7 ± 9.6 y | online survey/convenience sampling | self-report measure | 3 | D | ||||
| Rotvold A., 2022 [140] | USA | cross-sectional | spring of 2020 | students | 195; F74.5% | 18–46 y | online survey/convenience sampling | self-report measure | 3 | D | ||||
| Ruiz-Zaldibar C., 2022 [141] | Spain | cross-sectional | 11–25 April 2020 | university students | 488; F 73.6% | median 21 y; 18–54 y | online survey/convenience sampling | self-report measure | 6 | D | ||||
| Saalwirth C., 2021 [142] | Germany | cross-sectional | 1–19 April 2020 | general population | 665; F 53.8% | 18–73 y; 36 ± 14 y | online survey/convenience sampling | self-report measure | 4 | D | ||||
| Salehinejad M.A., 2020 [143] | Germany | cross-sectional | 20–28 April 2020 | general population | 160; F 85.6% | 18–60 y; 25.79 ± 7.31 y | online survey/convenience sampling | self-report measure | 4 | D | BT | WT | ||
| Salfi F., 2021 [144] | Italy | cross-sectional | 25 March –3 May 2020 | general population | 13,989; F 76,96% | 34.8 ± 12.2 y; 18–86 y | online survey/snowball sampling | self-report measure | 4 | D | BT | WT | NAP | |
| Santos-Miranda E., 2021 [145] | Spain | cross-sectional | 23 March –6 April 2020 | general population | 474; F 54.9% | 31.9 ± 12.1 y; median 29 (IQR 22–41) y | online survey/convenience sampling | self-report measure | 3 | D | NAP | |||
| Sañudo B., 2020 [146] | Spain | longitudinal | B: February 2020; D: 24 March –3 April 2020 | general population | 20; F 45% | 22.6 ± 3.4 y | device data/convenience sampling | objective measure (wristband accelerometer, Xiaomi Mi Band 2) | 5 | D | BT | WT | ||
| Scarpelli S., 2021 [147] | Italy | cross-sectional | 10 March–4 May 2020 | general population | 5988; F 73.3% | ≥18 | online survey/convenience sampling | self-report measure | 3 | NAP | ||||
| Shahzadi K., 2021 [148] | Pakistan | cross-sectional | 1 June–30 July 2020 | general population | 100; F 68% | 18–50 y | online survey/convenience sampling | self-report measure | 2 | WT | ||||
| Sheehan C., 2023 [149] | USA | cross-sectional | B: March 2018; D: March 2020 | general population | 2,203,861; F 51.2% | ≥18 y | telephone survey/random sampling | self-report measure | 6 | D | ||||
| Singh B., 2021 [150] | India | cross-sectional | 11–20 May 2020 | adults | 1008; F 43.4% | 18–81 y, median 24 y | online survey/convenience sampling | self-report measure | 4 | D | ||||
| Singh V., 2021 [151] | India | cross-sectional | 1–15 June 2020 | general population | 1251; F 29.5% | 31.71 ± 13.5 y | online survey/convenience sampling | self-report measure | 2 | D | ||||
| Sinha M., 2020a [152] | India | cross-sectional | 1 April–6 May 2020 | general population | 1511; F 50.9% | ≥18 y; 18–80 y | online survey/convenience sampling | self-report measure | 4 | NAP | ||||
| Sinha M., 2020b [153] | India | cross-sectional | 1–7 May 2020 | general population/university students | 1511; F 50.9% | ≥18 y | online survey/convenience sampling | self-report measure | 6 | D | BT | WT | ||
| Sinisterra Loaiza L.I., 2020 [154] | Spain: Galicia | cross-sectional | 2–15 May 2020 | adults | 1350; F 70% | 63.2 ± 8.1 y | online survey/convenience sampling | self-report measure | 3 | D | ||||
| Smith M.L., 2022 [155] | UK | cross-sectional | 26 May –5 July 2020 | young adults | 2710; F nr | mean 27.8 y | online survey/cohort | self-report measure | 4 | D | ||||
| Souza T.C., 2022 [156] | Brazil | cross-sectional | August–September 2020 | general population | 1368; F 80% | ≥18 y; median 31 (24–39) y | online survey/convenience sampling | self-report measure | 4 | D | BT | WT | ||
| Storari M., 2021 [157] | Italy | cross-sectional | 29 April –17 May 2020 | general population | 967; F 58.84% | ≥18 y | online survey/convenience sampling | self-report measure | 6 | D | BT | |||
| Szczepańska E., 2022 [158] | Poland | cross-sectional | 2 first weeks of May 2020 | parents of children | 1098; F nr | 20–50 y | online survey/convenience sampling | self-report measure | 2 | D | ||||
| Tang N.K.Y., 2022 [159] | UK | cross-sectional | July–September 2020 | university students/young adults | 1442; 56.2% | 18–30 y | online survey/convenience sampling | self-report measure | 6 | D | BT | |||
| Taporoski T.P., 2022 [160] | Brazil | longitudinal | B: January 2010–September 2014; D: March 30–29 June 2020 | general population | 417; F 70% | 44 ± 15 y | telephone survey/cohort | self-report measure | 7 | D | TIB | BT | WT | |
| Trabelsi K., 2021 [161] | multi-country: Western Asia/North Africa/Europe/Americas | cross-sectional | 6 April –28 June 2020 | general population | 5056; F 59.4% | ≥18 y | online survey/convenience sampling | self-report measure | 4 | D | TIB | |||
| Trakada A., 2020 [162] | multi-country: Greece/Switzerland/Austria/Germany/France/Brazil | cross-sectional | 25 March–6 April 2020 (Europe); 10–14 2020 (Brazil) | general population | 1622; F nr | nr | online survey/convenience sampling | self-report measure | 5 | D | ||||
| Tsigkas G., 2021 [163] | Greece | cross-sectional | 13–30 April 2020 | general population | 1014; F 48.7% | ≥35 y | telephone survey/representative sample | self-report measure | 5 | D | ||||
| Urquia Y.J.M., 2022 [164] | Brazil | cross-sectional | July–September 2020 | general population | 1828; F 70.5% | 18–83 y | online survey/convenience sampling | self-report measure | 4 | D | ||||
| Valiensi S.M., 2022 [165] | Argentina | cross-sectional | 13–30 April 2020 | general population | 2594; F 69% | 42 ± 13 y; 18–85 y | online survey/convenience sampling | self-report measure | 4 | BT | NAP | |||
| van der Werf E.T., 2021 [166] | Netherlands | cross-sectional | 22–27 May 2020 | general population | 1004; F 50.7% | 18–88 y | online survey/convenience sampling | self-report measure | 5 | D | ||||
| Villadsen A., 2020 [167] | UK | longitudinal | D: May 2020 | general population by birth cohort | 10666; F 60.4% | 19–62 y | online survey/cohort | self-report measure | 8 | D | ||||
| Villasenor Lopez K., 2021 [168] | Mexico | cross-sectional | 27 April–17 May 2020 | general population | 1084; F 66.5% | 35.5 ± 13.9 y, 18–86 y | online survey/convenience sampling | self-report measure | 5 | D | ||||
| Vinogradov O.O., 2022 [169] | Ukraine | cross-sectional | 10–12 May 2020 | university students | 86; F 58.1% | 22.9 ± 0.56 y | online survey/convenience sampling | self-report measure | 2 | D | BT | WT | NAP | |
| Viselli L., 2021 [170] | Italy | cross-sectional | B: 6–11 October 2016; D: 25–31 March 2020 | university students | B: 240, F 80.42%; D: 240 | B/D: 20.39 ± 1.42 y; 18–25 y | nr/non-probability sampling | self-report measure | 4 | BT | WT | |||
| Vollmer C., 2022 [171] | Austria | cross-sectional | 24 April –8 May 2020 | teachers | 2314; F 72.9% | 45.3 ± 10.9 y | online survey/convenience sampling | self-report measure | 6 | D | BT | WT | ||
| Wang X., 2020 [172] | China | cross-sectional | 23 March –26 April 2020 | general population | 2289; F 48.6% | 27.5 ± 12.0 y; 18–81 y | online survey/convenience sampling | self-report measure | 4 | D | BT | WT | ||
| Wright K.P., 2020 [173] | USA | longitudinal | B: 29 January–4 February 2020; D: 22–29 April 2020 | university students | 139; F 70.5% | 22.2 ± 1.7 y | online survey/convenience sampling | self-report measure | 6 | D | BT | WT | ||
| Yang G., 2021 [174] | China | cross-sectional | 23 February –4 March 2020 | general population | 2702; F 70.7% | ≥18 y, 37.3 ± 12.0 y | online survey/convenience sampling | self-report measure | 5 | D | ||||
| Yang S., 2020 [175] | China | longitudinal | B:23 December 2019–23 January 2020; D: 24–23 February 2020 | students | 10082; F 71.7% | 19.8 ± 2.3 y | online survey/snowball sampling | self-report measure | 6 | D | ||||
| Zalech M., 2021 [176] | Poland | longitudinal | B: 2019; D: 20209 | university students | B: 86, F nr; D: 88, F nr | B: 23.13 ± 0.86 y; D: 23.10 ± 1.04 | online survey/nr | self-report measure | 8 | D | ||||
| Zheng C., 2020 [177] | China | longitudinal | B: 2019; D: 15–26 April 2020 | general population | 631 (B/D: 70); F 61.2% | 18–35 y; 21.1 ± 2.9 y | online survey/convenience sampling | self-report measure | 5 | D | ||||
| Zhu Q., 2021 [178] | China | cross-sectional | 29 March–5 April 2020 | general population | 889; F 61% | 16–70 y; 31.8 ± 11.4 y | online survey/convenience sampling | self-report measure | 3 | D |
| Country’s Area | Studies | Percentages of Change in Sleep Duration | ||
|---|---|---|---|---|
| Change | Decrease | Increase | ||
| North America (Canada, USA) | [47,65,85,98,140] | 51.4% (95% CI 42.38–60.35; I2 = 93.9%; not significant Eggers´s publication bias) | 19.8% (95% CI 16.21–23.62; I2 = 75.5%; not significant Eggers´s publication bias) | 30.5% (95% CI 22.17–39.43; I2 = 94.4%: not significant Eggers´s publication bias) |
| South America (Argentina, Brazil, Mexico, Peru) | [94,109,164,168] | 71.8% (95% CI 68.76–74.78; I2 = 84.0%; not significant Eggers´s publication bias) | 27.6% (95% CI 22.20–33.26; I2 = 96.6%; not significant Eggers´s publication bias) | 40.3% (95% CI 35.40–45.24; I2 = 92.9%; significant Eggers´s publication bias) |
| Central Asia (Bangladesh, India, Malaysia, Nepal, Pakistan) | [31,79,91,96,99,131,150] | 58.0% (95% CI 44.45–71.01; I2 = 98.5%; not significant Eggers´s publication bias) | 13.4% (95% CI 9.51–17.86; I2 = 92.2%; not significant Eggers´s publication bias) | 44.1% (95% CI 32.03–56.63; I2 = 98.3%; not significant Eggers´s publication bias) |
| East Asia (China, Japan, Singapore) | [121,172,174,175,178] | 45.3% (95% CI 25.13–66.21; I2 = 99.9%) | 11.2% (95% CI 4.40–20.62; I2 = 99.7%) | 33.3% (95% CI 19.84–48.33; I2 = 99.8%) |
| West Asia (Iran, Jordan, Kuwait, Lebanon, Saudi Arabia, United Arab Emirates) | [28,29,33,53,60] | 55.9% (95% CI 45.40–66.05; I2 = 99.1%; not significant Eggers´s publication bias) | 18.6% (95% CI 15.43–22.09; I2 = 94.6%; not significant Eggers´s publication bias) | 36.4% (95% CI 26.10–47.40; I2 = 99.2%; not significant Eggers´s publication bias) |
| Europe (France, Germany, Hungary, Netherlands, Poland, Romania, UK) | [44,46,73,90,97,138,139,142,155,166] | 50.0% (95% CI 43.71–56.23; I2 = 99.2%; not significant Eggers´s publication bias) | 18.2% (95% CI 12.83–24.31; I2 = 99.4%; not significant Eggers´s publication bias) | 30.8% (95% CI 27.10–34.56; I2 = 98.0%; not significant Eggers´s publication bias) |
| Mediterranean Europe (Catalonia, Cyprus, Greece, Italy, Portugal, Spain, Turkey) | [38,41,54,71,89,101,105,124,154,157] | 56.0% (95% CI 41.68–69.78; I2 = 99.6%; significant Eggers´s publication bias) | 23.6% (95% CI 17.30–30.64; I2 = 98.1%; not significant Eggers´s publication bias) | 33.8% (95% CI 27.46–40.34; I2 = 99.1%; significant Eggers´s publication bias) |
| Author, Year | Outcome | Direction of Change a |
|---|---|---|
| Duration | ||
| Abouzid M., 2021 [25] | Significant increase in sleep hours for 53.2% (p < 0.001). | ↑ |
| Blume C., 2021 [48] | Significant increase in sleep duration by about 13 min (p < 0.001). | ↑ |
| Casas R., 2022 [55] | Nearly half of the participants reported no change in sleep duration. | ≈ |
| Dragun R., 2020 [75] | Significant increase in the median length of sleep duration by 1.5 h (p < 0.001). | ↑ |
| Falkingham J., 2022 [80] | Increase in the prevalence of sleep loss compared to 2019 (22% vs. 13.9%) particularly marked among the women and the Black, Asian, and the individuals of other minorities (p < 0.01). | ↓ |
| García-Garro P.A., 2022 [87] | Significant decrease in sleep duration (p < 0.001). | ↓ |
| Gibson R., 2022 [88] | No significant change in the weighted 24 h sleep duration (p = 0.161). | ≈ |
| Khojasteh M.R., 2022 [102] | Significant increase in sleep duration (p < 0.001). | ↑ |
| Kim A.C.H., 2022 [104] | Significant increase in sleep time in the young (18–39 y) and middle-aged participants (40–59 y) (p < 0.001). No significant decrease in the older participants (60 ≥ y). | ↑Y ↑M ↓O |
| Kontsevaya A.V., 2021 [106] | Significant decrease in the number of days per week that participants reported not getting enough sleep (from 3.21 ± 2.44 to 2.86 ± 2.57, p < 0.001). | ↑ |
| Li J.W., 2021 [108] | Significant increase in sleep duration by 0.5 h (p < 0.001). | ↑ |
| Majumdar P., 2020 [113] | Significant decrease in sleep duration in office workers (p < 0.001) and significant increase in sleep duration in students (p < 0.001). | ↓W ↑S |
| Pachocka L., 2022 [123] | Decrease in sleep hours. | ↓ |
| Pépin J.-L., 2021 [126] | Significant increase in objectively measured total sleep time (p < 0.01). | ↑ |
| Peterson M., 2021 [128] | Significant increase in sleep duration (p = 0.016). | ↑ |
| Pouget M., 2022 [132] | No significant change in hours of sleep per night. | ≈ |
| Ruiz-Zaldibar C., 2022 [141] | Significant increase in adequate nighttime sleep (7 to 9 h per night) in both the males (p = 0.011) and females (p < 0.001). | ↑ |
| Salfi F., 2021 [144] | Significant difference between the three chronotype groups (evening-type/neither-type/morning type) for the reported sleep duration (p < 0.001): the evening-type slept more than the neither-type and morning-type groups. | ↑ET |
| Santos-Miranda E., 2021 [145] | Significant increase in sleep hours (p < 0.001). | ↑ |
| Souza T.C., 2022 [156] | Significant increase in sleep hours (p <0.001). | ↑ |
| Tang N.K.Y., 2022 [159] | More participants reported an increase in sleep duration. | ↑ |
| Trakada A., 2020 [162] | Significant increase in sleep duration (p < 0.001). | ↑ |
| Tsigkas G., 2021 [163] | Significant increase in the percentage of people sleeping > 7 h (p < 0.001) mainly in the younger persons and in those with a higher income (p < 0.001). | ↑ |
| Vinogradov O.O., 2022 [169] | No change in sleep duration. | ≈ |
| Vollmer C., 2022 [171] | Increase in sleep duration on workdays but not on weekends (p < 0.001). | ↑ |
| Time in bed | ||
| Czeisler M.É., 2021 [69] | Increased time in bed. | ↑ |
| Gibson R., 2022 [88] | Significant increase in time in bed both on workdays and on weekends (p < 0.0001). | ↑ |
| Pépin J.-L., 2021 [126] | Significant increase in time in bed (p < 0.01). | ↑ |
| Sleep timing | ||
| Bedtime | ||
| Aishworiya R., 2021 [27] | Delay in bedtime. | → |
| Anastasiou E., 2021 [37] | Delay in bedtime. | → |
| Azizi A., 2020 [42] | Significant delay in bedtime (p < 0.0001). | → |
| Bottary R., 2022 [50] | Significant delay in bedtime (p < 0.001). | → |
| Elhadi M., 2021 [76] | Significant delay in bedtime (p < 0.001). | → |
| Gibson R., 2022 [88] | Significant delay in bedtime both on workdays and on weekends (p < 0.001). | → |
| Kaizi-Lutu M., 2021 [100] | Among the participants, 36.3% reported an earlier bedtime. | NA |
| Mónaco E., 2022 [119] | Delay in bedtime. | → |
| Pépin J.-L., 2021 [126] | No significant delay in bedtime. Greater delay in eveningness compared to morningness chronotypes (p < 0.01). | ≈ |
| Perez-Carbonell L., 2020 [127] | Among the participants, 30% reported a delay in bedtime. | NA |
| Sañudo B., 2020 [146] | Earlier bedtime. | ← |
| Souza T.C., 2022 [156] | Significantly earlier bedtime (p < 0.0001). | ← |
| Tang N.K.Y., 2022 [159] | Delay in bedtime both in the students and in the young adults. | → |
| Vinogradov O.O., 2022 [169] | Delay in bedtime. | → |
| Vollmer C., 2022 [171] | Significant delay in bedtime on workdays but not on weekends, especially in the youngest teachers (p < 0.001). | → |
| Wake-up time | ||
| Aishworiya R., 2021 [27] | Delay in wake-up time both in the mothers and fathers. | → |
| Anastasiou E., 2021 [37] | Delay in wake-up time. | → |
| Azizi A., 2020 [42] | Significant delay in wake-up time (p < 0.0001). | → |
| Diz-Ferreira E., 2021 [74] | Significantly earlier wake-up time (p < 0.001). | ← |
| Elhadi M., 2021 [76] | Significant delay in wake-up time (p < 0.001). | → |
| Gibson R., 2022 [88] | Significant delay in wake-up time both on workdays (p < 0.0001) and on weekends (p < 0.001). | → |
| Kaizi-Lutu M., 2021 [100] | Among the participants, 36.3% reported an earlier wake-up time. | NA |
| Kontsevaya A.V., 2021 [106] | No significant change in the number of days per week the participants reported an earlier wake-up time. | ≈ |
| Mónaco E., 2022 [119] | Delay in wake-up time. | → |
| Pépin J.-L., 2021 [126] | No significant delay in wake-up time. Greater delay in eveningness compared to morningness chronotypes (p < 0.01). | ≈ |
| Scarpelli S., 2021 [147] | The majority of the participants (60.9%) reported changes in wake-up time. | NA |
| Sañudo B., 2020 [146] | Delay in wake-up time. | → |
| Shahzadi K., 2021 [148] | Delay in wake-up time. | → |
| Souza T.C., 2022 [156] | Significant delay in wake-up time (p < 0.0001). | → |
| Vinogradov O.O., 2022 [169] | Delay in wake-up time. | → |
| Vollmer C., 2022 [171] | Significant delay in wake-up time both on workdays (p < 0.001) and on weekends (p = 0.027). | → |
| Napping habits | ||
| Alomari M.A., 2021 [33] | Significant decrease in nap hours (p < 0.0001). | ↓ |
| AMHSI Research Team, 2021 [36] | Significant increase in the percentage of participants taking regular naps (p = 0.004). | ↑ |
| Azizi A., 2020 [42] | Significant increase in the length of naps (p < 0.0001). | ↑ |
| Chouchou F., 2021 [63] | Significant increase in the frequency and in the length of naps (p < 0.001). | ↑ |
| Conte F., 2021 [64] | No significant change in the frequency and in the length of naps. | ≈ |
| Felician J., 2022 [81] | Decrease in the percentage of participants taking naps (from 42% to 36%) | ↓ |
| Franceschini C., 2020 [84] | Most of the good sleepers did not change or reduce the length of naps while the poor sleepers reported an increase (p < 0.001). | ↓GS↑PS |
| García-Esquinas E., 2021 [86] | Decrease in the percentage of participants taking naps (from 65% to 45%). | ↓ |
| Gupta R., 2020 [91] | Significant increase in the percentage of participants taking naps (p < 0.001). | ↑ |
| Kaizi-Lutu M., 2021 [100] | Increase in the frequency of naps. | ↑ |
| Leone M.J., 2020 [107] | Significant decrease in the percentage of participants taking naps both on weekdays (from 58.1% to 48.1%, p < 0.0001) and on weekends (from 51.3% to 66.3% p < 0.0001). | ↓ |
| Majumdar P., 2020 [113] | Significant increase in the length of naps both in the students and in the office workers (p < 0.05). | ↑ |
| Mohsin A., 2021 [118] | Increase in the frequency (from 40.1% to 50.8%) and the length of naps (from 26.6% to 34.9% of nap exceeding one hour). | ↑ |
| Mónaco E., 2022 [119] | Increase in the frequency of long naps. | ↑ |
| Morin C.M., 2022 [120] | Significant increase in the frequency of naps (almost twice) (p < 0.0001). | ↑ |
| Petrov M.E., 2021 [129] | Significant increase in the frequency of naps (p < 0.001). | ↑ |
| Ramirez C., 2022 [136] | Significant increase in the length of naps both on workdays (p < 0.001) and on weekends (p < 0.01). | ↑ |
| Salfi F., 2021 [144] | The majority of the participants maintained unchanged napping habits (64.7%). A significantly higher percentage of the evening-type subjects reported changes in napping habits compared to the morning-type and neither-type chronotypes (p < 0.01). | ≈ |
| Santos-Miranda E., 2021 [145] | Increase in the frequency of naps (p = 0.051). Significant increase in the length of naps (p = 0.034). | ↑ |
| Scarpelli S., 2021 [147] | The majority of the participants (60.8%) reported changes in napping habits. | NA |
| Sinha M., 2020a [152] | The majority of the participants reported an increase in the frequency of naps. | ↑ |
| Valiensi S.M., 2022 [165] | The majority of the participants reported no change in the frequency of naps and a decrease in the length of naps | ≈F↓L |
| Vinogradov O.O., 2022 [169] | Slight increase in the percentage of the participants taking naps (from 62.8 to 69.8%); no change in the length of naps. | ↑P≈L |
Disclaimer/Publisher’s Note: The statements, opinions and data contained in all publications are solely those of the individual author(s) and contributor(s) and not of MDPI and/or the editor(s). MDPI and/or the editor(s) disclaim responsibility for any injury to people or property resulting from any ideas, methods, instructions or products referred to in the content. |
© 2024 by the authors. Licensee MDPI, Basel, Switzerland. This article is an open access article distributed under the terms and conditions of the Creative Commons Attribution (CC BY) license (https://creativecommons.org/licenses/by/4.0/).
Share and Cite
Ceolin, C.; Limongi, F.; Siviero, P.; Trevisan, C.; Noale, M.; Catalani, F.; Conti, S.; Di Rosa, E.; Perdixi, E.; Remelli, F.; et al. Changes in Sleep Duration and Sleep Timing in the General Population from before to during the First COVID-19 Lockdown: A Systematic Review and Meta-Analysis. Int. J. Environ. Res. Public Health 2024, 21, 583. https://doi.org/10.3390/ijerph21050583
Ceolin C, Limongi F, Siviero P, Trevisan C, Noale M, Catalani F, Conti S, Di Rosa E, Perdixi E, Remelli F, et al. Changes in Sleep Duration and Sleep Timing in the General Population from before to during the First COVID-19 Lockdown: A Systematic Review and Meta-Analysis. International Journal of Environmental Research and Public Health. 2024; 21(5):583. https://doi.org/10.3390/ijerph21050583
Chicago/Turabian StyleCeolin, Chiara, Federica Limongi, Paola Siviero, Caterina Trevisan, Marianna Noale, Filippo Catalani, Silvia Conti, Elisa Di Rosa, Elena Perdixi, Francesca Remelli, and et al. 2024. "Changes in Sleep Duration and Sleep Timing in the General Population from before to during the First COVID-19 Lockdown: A Systematic Review and Meta-Analysis" International Journal of Environmental Research and Public Health 21, no. 5: 583. https://doi.org/10.3390/ijerph21050583
APA StyleCeolin, C., Limongi, F., Siviero, P., Trevisan, C., Noale, M., Catalani, F., Conti, S., Di Rosa, E., Perdixi, E., Remelli, F., Prinelli, F., & Maggi, S. (2024). Changes in Sleep Duration and Sleep Timing in the General Population from before to during the First COVID-19 Lockdown: A Systematic Review and Meta-Analysis. International Journal of Environmental Research and Public Health, 21(5), 583. https://doi.org/10.3390/ijerph21050583

