Global Comparisons of Age, Gender and Socioeconomic Status Differences of Physical Fitness Health Risk in South African Primary School Children: Longitudinal Data from the NW-CHILD Study
Abstract
1. Introduction
2. Materials and Methods
2.1. Research Design
2.2. Ethical Considerations
2.3. Study Population and Procedures
2.4. Measurement Instruments and Apparatus
2.4.1. Anthropometric Measurements
2.4.2. Progressive Aerobic Cardiovascular Endurance (PACER) Test
2.4.3. Bruininks–Oseretsky Test of Motor Proficiency, Second Edition (BOT-2)
2.5. Statistical Analysis
3. Results
4. Discussion
4.1. Comparing Criteria Reference Standards (CRSs) and Interaction Effects of Age, Gender and SES on MF and CRF
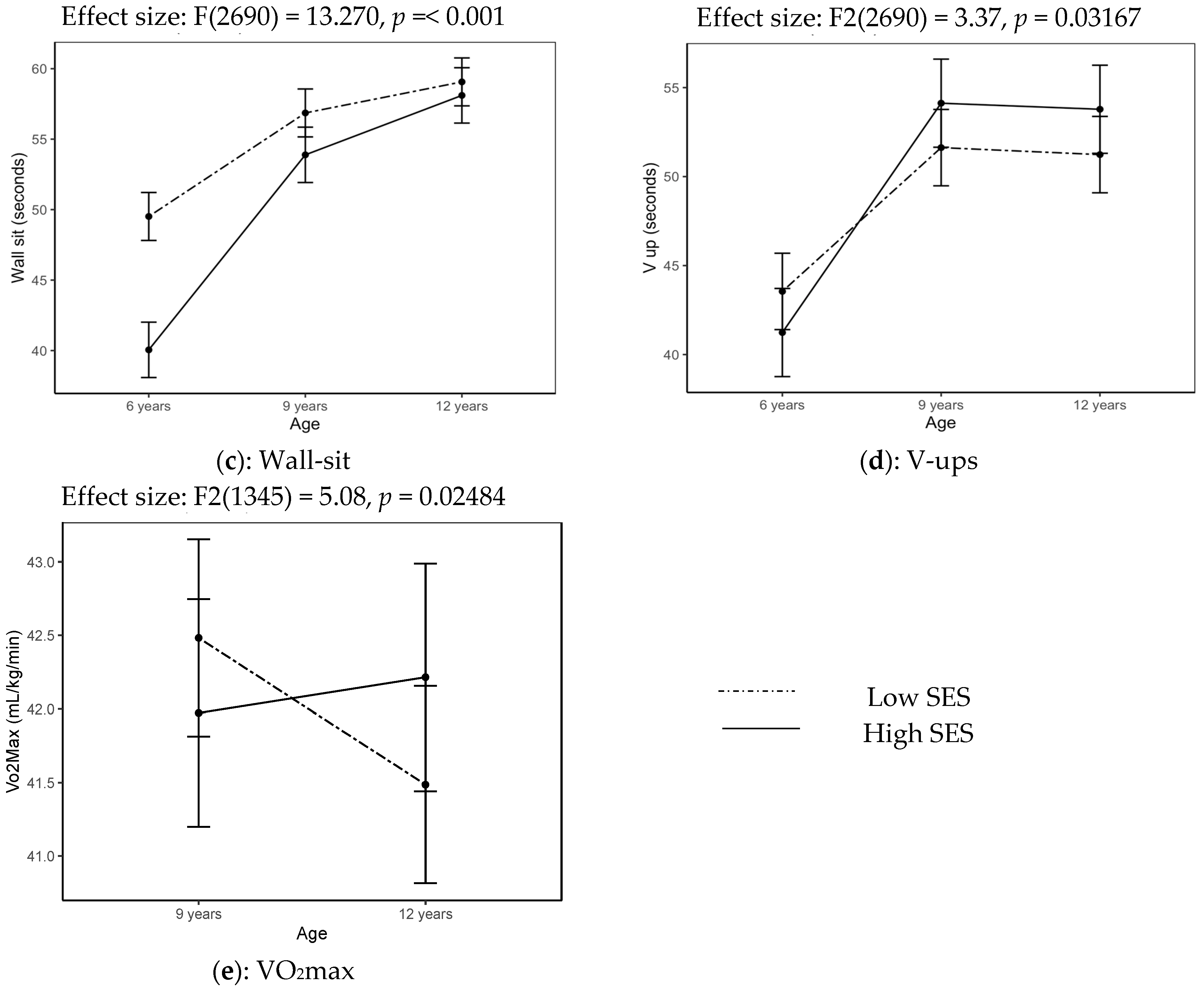
4.1.1. CRSs and Interaction Effects of Age and SES for V-Ups and Wall-Sitting
4.1.2. CRSs and Interaction Effects of Age and SES for Standing Long Jump
4.1.3. CRSs and Interaction Effects of Age, SES and Gender for Push-Ups
4.1.4. CRSs and Interaction Effects of Age and Gender for Sit-Ups
4.1.5. CRSs and Interaction Effects of Age, SES and Gender for VO2max (CRF)
4.2. Utilising International CRSs in South African Child Populations
4.3. Strengths and Limitations
5. Conclusions
Author Contributions
Funding
Institutional Review Board Statement
Informed Consent Statement
Data Availability Statement
Acknowledgments
Conflicts of Interest
References
- Cole, T.J. The Secular Trend in Human Physical Growth: A Biological View. Econ. Hum. Biol. 2003, 1, 161–168. [Google Scholar] [CrossRef]
- Tomkinson, G.R.; Léger, L.A.; Olds, T.S.; Cazorla, G. Secular Trends in the Performance of Children and Adolescents (1980–2000). Sports Med. 2003, 33, 285–300. [Google Scholar] [CrossRef] [PubMed]
- Conger, S.A.; Toth, L.P.; Cretsinger, C.; Raustorp, A.; Mitáš, J.; Inoue, S.; Bassett, D.R. Time Trends in Physical Activity Using Wearable Devices: A Systematic Review and Meta-Analysis of Studies from 1995 to 2017. Med. Sci. Sports Exerc. 2022, 54, 288–298. [Google Scholar] [CrossRef] [PubMed]
- Plowman, S.A.; Meredith, M.D. Fitnessgram/Activitygram Reference Guide, 4th ed.; The Cooper Institute: Dallas, TX, USA, 2013. [Google Scholar]
- Lang, J.J.; Tremblay, M.S.; Ortega, F.B.; Ruiz, J.R.; Tomkinson, G.R. Review of Criterion-Referenced Standards for Cardiorespiratory Fitness: What Percentage of 1 142 026 International Children and Youth Are Apparently Healthy? Br. J. Sports Med. 2019, 53, 953–958. [Google Scholar] [CrossRef] [PubMed]
- World Health Organization. Global Action Plan on Physical Activity 2018–2030: More Active People for a Healthier World; World Health Organization: Geneva, Switzerland, 2018; ISBN 978-92-4-151418-7. [Google Scholar]
- Ruiz, J.R.; Cavero-Redondo, I.; Ortega, F.B.; Welk, G.J.; Andersen, L.B.; Martinez-Vizcaino, V. Cardiorespiratory Fitness Cut Points to Avoid Cardiovascular Disease Risk in Children and Adolescents; What Level of Fitness Should Raise a Red Flag? A Systematic Review and Meta-Analysis. Br. J. Sports Med. 2016, 50, 1451–1458. [Google Scholar] [CrossRef]
- Tomkinson, G.R.; Kaster, T.; Dooley, F.L.; Fitzgerald, J.S.; Annandale, M.; Ferrar, K.; Lang, J.J.; Smith, J.J. Temporal Trends in the Standing Broad Jump Performance of 10,940,801 Children and Adolescents Between 1960 and 2017. Sports Med. 2021, 51, 531–548. [Google Scholar] [CrossRef]
- Kaster, T.; Dooley, F.L.; Fitzgerald, J.S.; Walch, T.J.; Annandale, M.; Ferrar, K.; Lang, J.J.; Smith, J.J.; Tomkinson, G.R. Temporal Trends in the Sit-Ups Performance of 9,939,289 Children and Adolescents between 1964 and 2017. J. Sports Sci. 2020, 38, 1913–1923. [Google Scholar] [CrossRef]
- Milanese, C.; Sandri, M.; Cavedon, V.; Zancanaro, C. The Role of Age, Sex, Anthropometry, and Body Composition as Determinants of Physical Fitness in Nonobese Children Aged 6–12. PeerJ 2020, 8, e8657. [Google Scholar] [CrossRef]
- Physical Activity. Available online: https://www.who.int/health-topics/physical-activity (accessed on 18 September 2024).
- Castro-Piñero, J.; Perez-Bey, A.; Cuenca-Garcia, M.; Cabanas-Sanchez, V.; Gómez-Martínez, S.; Veiga, O.L.; Marcos, A.; Ruiz, J.R.; Marcos, A.; Gomez-Martinez, S.; et al. Muscle Fitness Cut Points for Early Assessment of Cardiovascular Risk in Children and Adolescents. J. Pediatr. 2019, 206, 134–141.e3. [Google Scholar] [CrossRef]
- Eler, N. The Relationship between Body Composition and Physical Fitness Parameters in Children. Int. Educ. Stud. 2018, 11, 71. [Google Scholar] [CrossRef]
- Hamlin, M.J.; Fraser, M.; Lizamore, C.A.; Draper, N.; Shearman, J.P.; Kimber, N.E. Measurement of Cardiorespiratory Fitness in Children from Two Commonly Used Field Tests After Accounting for Body Fatness and Maturity. J. Hum. Kinet. 2014, 40, 83–92. [Google Scholar] [CrossRef] [PubMed][Green Version]
- Smith, D.; Adams, L.; Du Randt, R.; Degen, J.; Gall, S.; Joubert, N.; Müller, I.; Nqweniso, S.; Pühse, U.; Steinmann, P.; et al. Physical Fitness and Nutritional Anthropometric Status of Children from Disadvantaged Communities in the Nelson Mandela Bay Region. S. Afr. J. Sports Med. 2020, 32, 1–8. [Google Scholar] [CrossRef] [PubMed]
- Johansson, L.; Brissman, M.; Morinder, G.; Westerståhl, M.; Marcus, C. Reference Values and Secular Trends for Cardiorespiratory Fitness in Children and Adolescents with Obesity. Acta Paediatr. 2020, 109, 1665–1671. [Google Scholar] [CrossRef]
- Tomkinson, G.R.; Carver, K.D.; Atkinson, F.; Daniell, N.D.; Lewis, L.K.; Fitzgerald, J.S.; Lang, J.J.; Ortega, F.B. European Normative Values for Physical Fitness in Children and Adolescents Aged 9–17 Years: Results from 2 779 165 Eurofit Performances Representing 30 Countries. Br. J. Sports Med. 2018, 52, 1445–1456. [Google Scholar] [CrossRef] [PubMed]
- Cooper Institute. Fitnessgram/Activitygram: Test Administration Manual; Meredith, M.D., Welk, G., Eds.; Updated Fourth Edition; Human Kinetics: Champaign, IL, USA, 2010; ISBN 978-0-7360-9992-9. [Google Scholar]
- Pinto, A.A.; Marques, A.P.C.; Pelegrini, A. Secular Trends in Physical Activity in Adolescents: A Systematic Review. J. Taibah Univ. Med. Sci. 2023, 18, 207–216. [Google Scholar] [CrossRef]
- Köster, P.; Hohmann, A.; Niessner, C.; Siener, M. Health-Related Motor Testing of Children in Primary School: A Systematic Review of Criterion-Referenced Standards. Children 2021, 8, 1046. [Google Scholar] [CrossRef]
- Ahmad, N.; Asim, H.H.; Juatan, N.; Hipni, N.E.; Ithnain, N.; Ahmad Sanusi, N.H.; Harun, S.N.F.; Zakaria, M.R.; Jaafar, N.; Mohamed, M.H.; et al. Contributing Factors to Decline in Physical Activity Among Adolescents: A Scoping Review. Malays. J. Soc. Sci. Humanit. 2021, 6, 447–463. [Google Scholar] [CrossRef]
- Sfm, C.; Van Cauwenberg, J.; Maenhout, L.; Cardon, G.; Lambert, E.V.; Van Dyck, D. Inequality in Physical Activity, Global Trends by Income Inequality and Gender in Adults. Int. J. Behav. Nutr. Phys. Act. 2020, 17, 142. [Google Scholar] [CrossRef]
- Aubert, S.; Barnes, J.D.; Demchenko, I.; Hawthorne, M.; Abdeta, C.; Abi Nader, P.; Adsuar Sala, J.C.; Aguilar-Farias, N.; Aznar, S.; Bakalár, P.; et al. Global Matrix 4.0 Physical Activity Report Card Grades for Children and Adolescents: Results and Analyses From 57 Countries. J. Phys. Act. Health 2022, 19, 700–728. [Google Scholar] [CrossRef]
- Lang, J.J.; Tremblay, M.S.; Léger, L.; Olds, T.; Tomkinson, G.R. International Variability in 20 m Shuttle Run Performance in Children and Youth: Who Are the Fittest from a 50-Country Comparison? A Systematic Literature Review with Pooling of Aggregate Results. Br. J. Sports Med. 2018, 52, 276. [Google Scholar] [CrossRef]
- Uys, M.; Bassett, S.; Draper, C.E.; Micklesfield, L.; Monyeki, A.; De Villiers, A.; Lambert, E.V.; The HAKSA 2016 Writing Group. Results From South Africa’s 2016 Report Card on Physical Activity for Children and Youth. J. Phys. Act. Health 2016, 13, S265–S273. [Google Scholar] [CrossRef] [PubMed]
- Monyeki, M.A.; Koppes, L.L.J.; Kemper, H.C.G.; Monyeki, K.D.; Toriola, A.L.; Pienaar, A.E.; Twisk, J.W.R. Body Composition and Physical Fitness of Undernourished South African Rural Primary School Children. Eur. J. Clin. Nutr. 2005, 59, 877–883. [Google Scholar] [CrossRef] [PubMed]
- Pienaar, A.E. Prevalence of Overweight and Obesity among Primary School Children in a Developing Country: NW-CHILD Longitudinal Data of 6–9-Yr-Old Children in South Africa. BMC Obes. 2015, 2, 2. [Google Scholar] [CrossRef] [PubMed]
- Draper, C.E.; Tomaz, S.A.; Harbron, J.; Kruger, H.S.; Micklesfield, L.K.; Monyeki, A.; Lambert, E.V.; Haksa, A.M.O.T. Results from the Healthy Active Kids South Africa 2018 Report Card. S. Afr. J. Child Health 2019, 13, 130. [Google Scholar] [CrossRef]
- Armstrong, M.E.G.; Lambert, E.V.; Lambert, M.I. Physical Fitness of South African Primary School Children, 6 to 13 Years of Age: Discovery Vitality Health of the Nation Study. Percept. Mot. Ski. 2011, 113, 999–1016. [Google Scholar] [CrossRef]
- Van Biljon, A.; McKune, A.J.; DuBose, K.D.; Kolanisi, U.; Semple, S.J. Physical Activity Levels in Urban-Based South African Learners: A Cross-Sectional Study of 7 348 Participants. S. Afr. Med. J. 2018, 108, 126. [Google Scholar] [CrossRef]
- Haywood, X.; Pienaar, A.E. The Mediating Effect of Physical Fitness on Long Term Influences of Overweight in Primary School Girls’ Academic Performance. J. Sports Med. Phys. Fit. 2020, 61, 63–74. [Google Scholar] [CrossRef]
- Haywood, X.; Pienaar, A.E. Long-Term Influences of Stunting, Being Underweight, and Thinness on the Academic Performance of Primary School Girls: The NW-CHILD Study. Int. J. Environ. Res. Public Health 2021, 18, 8973. [Google Scholar] [CrossRef]
- Agata, K.; Monyeki, M.A. Association Between Sport Participation, Body Composition, Physical Fitness, and Social Correlates Among Adolescents: The PAHL Study. Int. J. Environ. Res. Public Health 2018, 15, 2793. [Google Scholar] [CrossRef]
- Mamabolo, R.; Kruger, H.; Lennox, A.; Monyeki, M.; Pienaar, A.; Underhay, C.; Czlapka-Matyasik, M. Habitual Physical Activity and Body Composition of Black Township Adolescents Residing in the North West Province, South Africa. Public Health Nutr. 2007, 10, 1047–1056. [Google Scholar] [CrossRef]
- Nyawose, Z.Z.; Naidoo, R.; Christie, C.; Bassett, S.; Coetzee, D.; Van Gent, M.; Monyeki, A.; Gradidge, P.; Janse Van Rensburg, C.; Cozett, C.; et al. Results From South Africa’s 2022 Healthy Active Kids’ Report Card on Physical Activity, Body Composition Proxies, and Nutritional Status in Children and Adolescents. J. Phys. Act. Health 2024, 21, 861–871. [Google Scholar] [CrossRef] [PubMed]
- Statistics South Africa. Five Facts About Poverty in South Africa; Statistics South Africa: Pretoria, South Africa, 2019.
- Statistics South Africa. Unemployment in South Africa: A Youth Perspective; Statistics South Africa: Pretoria, South Africa, 2024.
- De Waal, E.; Pienaar, A.E. Influences of Early Motor Proficiency and Socioeconomic Status on the Academic Achievement of Primary School Learners: The NW-CHILD Study. Early Child. Educ. J. 2020, 48, 671–682. [Google Scholar] [CrossRef]
- Statistics South Africa. Migration Profile Report for South Africa: A Country Profile 2023; Statistics South Africa: Pretoria, South Africa, 2024.
- Esparaza-Ros, F.; Vaquero-Cristobal, R.; Marfell-Jones, M. International Standards for Anthropometric Assessments; The International Society for the Advancement of Kinanthropometry (ISAK): Spain, 2019. [Google Scholar]
- Cole, T.J.; Flegal, K.M.; Nicholls, D.; Jackson, A.A. Body Mass Index Cut Offs to Define Thinness in Children and Adolescents: International Survey. BMJ 2007, 335, 194. [Google Scholar] [CrossRef] [PubMed]
- SAS Institute Inc. SAS OnlineDoc®9.4, SAS Institute Antroplus: Carry, NC, USA, 2011.
- Mahar, M.T.; Welk, G.J.; Rowe, D.A. Estimation of Aerobic Fitness from PACER Performance with and without Body Mass Index. Meas. Phys. Educ. Exerc. Sci. 2018, 22, 239–249. [Google Scholar] [CrossRef]
- Bruininks, R.H.; Bruininks, B.D. BOT-2 Bruininks-Oseretsky Test of Motor Proficiency, 2nd ed.; Pearson Assessments: Minneapolis, MN, USA, 2005. [Google Scholar]
- IBM Corp. IBM SPSS Statistics for Windows; IBM Corp.: Armonk, NY, USA, 2022. [Google Scholar]
- Cohen, J. Statistical Power Analysis for the Behavioral Sciences, 2nd ed.; Reprint; Psychology Press: New York, NY, USA, 2009; ISBN 978-0-8058-0283-2. [Google Scholar]
- Castro-Piñero, J.; Ortega, F.B.; Artero, E.G.; Girela-Rejón, M.J.; Mora, J.; Sjöström, M.; Ruiz, J.R. Assessing Muscular Strength in Youth: Usefulness of Standing Long Jump as a General Index of Muscular Fitness. J. Strength Cond. Res. 2010, 24, 1810. [Google Scholar] [CrossRef] [PubMed]
- Thomas, E.; Petrigna, L.; Tabacchi, G.; Teixeira, E.; Pajaujiene, S.; Sturm, D.J.; Sahin, F.N.; Gómez, M.; Pausic, J.; Paoli, A.; et al. Percentile Values of the Standing Broad Jump in Children and Adolescents Aged 6–18 Years Old. Eur. J. Transl. Myol. 2020, 30, 9050. [Google Scholar] [CrossRef]
- Kolimechkov, S.; Petrov, L.; Alexandrova, A. Alpha-fit test battery norms for children and adolescents from 5 to 18 years of age obtained by a linear interpolation of existing European physical fitness references. Eur. J. Phys. Educ. 2019, 5, 2. [Google Scholar] [CrossRef]
- Africa, E.; Stryp, O.V.; Musálek, M. The Influence of Cultural Experiences on the Associations between Socio-Economic Status and Motor Performance as Well as Body Fat Percentage of Grade One Learners in Cape Town, South Africa. Int. J. Environ. Res. Public Health 2021, 19, 121. [Google Scholar] [CrossRef]
- Niessner, C.; Utesch, T.; Oriwol, D.; Hanssen-Doose, A.; Schmidt, S.C.E.; Woll, A.; Bös, K.; Worth, A. Representative Percentile Curves of Physical Fitness From Early Childhood to Early Adulthood: The MoMo Study. Front. Public Health 2020, 8, 458. [Google Scholar] [CrossRef]
- Gherghel, T.S. Strength Motor Quality: Trends and Differences by Gender and Age among Urban Primary School Students. In Bulletin of the Transilvania University of Braşov. Series IX: Sciences of Human Kinetics; Transilvania University Press: Braşov, Romania, 2023; pp. 73–78. [Google Scholar] [CrossRef]
- Castro-Piñero, J.; González-Montesinos, J.L.; Mora, J.; Keating, X.D.; Girela-Rejón, M.J.; Sjöström, M.; Ruiz, J.R. Percentile Values for Muscular Strength Field Tests in Children Aged 6 to 17 Years: Influence of Weight Status. J. Strength Cond. Res. 2009, 23, 2295–2310. [Google Scholar] [CrossRef]
- Physical Activity. Available online: https://www.who.int/news-room/fact-sheets/detail/physical-activity (accessed on 18 September 2024).
- Mota, J.; Guerra, S.; Leandro, C.; Pinto, A.; Ribeiro, J.C.; Duarte, J.A. Association of Maturation, Sex, and Body Fat in Cardiorespiratory Fitness. Am. J. Hum. Biol. 2002, 14, 707–712. [Google Scholar] [CrossRef] [PubMed]




| Variables | Boys (n = 165) | Girls (n = 184) | ||||||||||
|---|---|---|---|---|---|---|---|---|---|---|---|---|
| Low SES (n = 83) | High SES (n = 82) | Low SES (n = 118) | High SES (n = 66) | |||||||||
| M ± SD | Min | Max | M ± SD | Min | Max | M ± SD | Min | Max | M ± SD | Min | Max | |
| Biographic and Anthropometric | ||||||||||||
| Age (years) | ||||||||||||
| 6 years old | 6.76 ± 0.48 | 6.00 | 7.80 | 6.90 ± 0.55 | 6.10 | 7.80 | 6.70 ± 0.44 | 6.00 | 7.80 | 6.88 ± 0.54 | 6.10 | 7.70 |
| 9 years old | 9.84 ± 0.38 | 8.99 | 10.67 | 10.04 ± 0.35 | 9.32 | 10.68 | 9.77 ± 0.35 | 9.00 | 10.68 | 10.01 ± 0.36 | 9.24 | 10.64 |
| 12 years old | 12.84 ± 0.39 | 11.89 | 13.68 | 13.05 ± 0.35 | 12.34 | 13.68 | 12.78 ± 0.36 | 12.03 | 13.68 | 13.02 ± 0.36 | 12.26 | 13.65 |
| Stature (cm) | ||||||||||||
| 6 years old | 116.99 ± 4.69 | 102.10 | 130.30 | 124.50 ± 5.89 | 112.20 | 141.70 | 117.06 ± 4.94 | 107.90 | 128.50 | 122.33 ± 6.01 | 109.70 | 134.70 |
| 9 years old | 132.33 ± 4.99 | 117.00 | 147.10 | 139.77 ± 6.60 | 123.20 | 161.00 | 134.03 ± 6.00 | 121.40 | 151.00 | 138.91 ± 7.84 | 113.00 | 155.00 |
| 12 years old | 147.78 ± 7.15 | 131.90 | 169.40 | 157.24 ± 8.34 | 139.40 | 178.80 | 151.98 ± 6.38 | 136.70 | 168.80 | 157.35 ± 7.37 | 143.60 | 185.90 |
| Body mass (kg) | ||||||||||||
| 6 years old | 20.67 ± 2.52 | 16.40 | 30.50 | 26.76 ± 5.73 | 17.20 | 45.90 | 20.74 ± 3.06 | 15.08 | 29.70 | 24.18 ± 4.97 | 16.40 | 42.80 |
| 9 years old | 28.58 ± 5.26 | 19.60 | 55.90 | 37.31 ± 9.86 | 22.60 | 65.60 | 30.13 ± 6.88 | 21.70 | 55.80 | 36.09 ± 8.78 | 22.20 | 64.70 |
| 12 years old | 39.05 ± 9.31 | 23.10 | 84.80 | 52.35 ± 14.17 | 30.80 | 100.80 | 44.17 ± 10.05 | 28.80 | 78.50 | 52.19 ± 12.37 | 36.90 | 95.20 |
| BMI (Kg/m2) | ||||||||||||
| 6 years old | 15.18 ± 1.46 | 12.90 | 22.90 | 16.50 ± 2.70 | 12.90 | 26.80 | 15.10 ± 5.00 | 12.70 | 20.70 | 16.10 ± 2.50 | 12.90 | 24.00 |
| 9 years old | 16.27 ± 2.37 | 12.90 | 25.83 | 19.00 ± 3.90 | 13.30 | 30.80 | 16.70 ± 3.00 | 13.10 | 27.40 | 18.50 ± 3.80 | 14.20 | 29.70 |
| 12 years old | 17.81 ± 3.23 | 14.00 | 32.00 | 21.10 ± 4.70 | 14.90 | 36.50 | 19.00 ± 3.60 | 13.90 | 33.70 | 21.10 ± 4.40 | 16.10 | 34.50 |
| ∑ skinfolds (mm) | ||||||||||||
| 6 years old | 12.40 ± 3.40 | 8.20 | 27.00 | 16.00 ± 8.00 | 8.00 | 47.00 | 15.00 ± 5.00 | 8.00 | 38.00 | 19.00 ± 7.00 | 9.00 | 40.00 |
| 9 years old | 13.30 ± 7.30 | 7.00 | 57.50 | 22.00 ± 11.00 | 8.00 | 53.00 | 18.00 ± 8.00 | 8.00 | 46.00 | 25.00 ± 11.00 | 12.00 | 54.00 |
| 12 years old | 15.10 ± 11.40 | 7.50 | 78.20 | 25.00 ± 15.00 | 9.00 | 76.00 | 22.00 ± 10.00 | 9.00 | 60.00 | 28.00 ± 14.00 | 14.00 | 75.00 |
| Body fat (%) | ||||||||||||
| 6 years old | 14.60 ± 3.30 | 8.70 | 27.80 | 18.00 ± 6.00 | 10.00 | 39.00 | 14.00 ± 4.00 | 8.00 | 29.00 | 17.00 ± 6.00 | 8.00 | 32.00 |
| 9 years old | 18.10 ± 6.70 | 5.00 | 38.40 | 23.00 ± 8.00 | 7.00 | 42.00 | 19.00 ± 8.00 | 5.00 | 44.00 | 24.00 ± 9.00 | 10.00 | 47.00 |
| 12 years old | 17.30 ± 7.10 | 7.60 | 41.80 | 22.00 ± 9.00 | 5.00 | 45.00 | 23.00 ± 8.00 | 10.00 | 46.00 | 27.00 ± 8.00 | 11.00 | 48.00 |
| Physical Fitness | ||||||||||||
| Strength (SS) | ||||||||||||
| 6 years old | 16.80 ± 2.90 | 9.00 | 23.00 | 16.80 ± 3.20 | 9.00 | 23.00 | 15.30 ± 3.40 | 6.00 | 22.00 | 16.30 ± 3.70 | 8.00 | 29.00 |
| 9 years old | 17.70 ± 3.00 | 8.00 | 24.00 | 18.60 ± 3.00 | 10.00 | 27.00 | 15.90 ± 3.00 | 7.00 | 22.00 | 16.90 ± 3.60 | 10.00 | 25.00 |
| 12 years old | 13.90 ± 2.20 | 7.00 | 18.00 | 14.50 ± 2.50 | 8.00 | 21.00 | 13.10 ± 2.10 | 7.00 | 19.00 | 14.60 ± 3.20 | 8.00 | 22.00 |
| PACER (laps) ^ | ||||||||||||
| 9 years-old | 27.00 ± 15.00 | 4.00 | 74.00 | 24.00 ± 13.00 | 5.00 | 65.00 | 17.00 ± 9.00 | 2.00 | 59.00 | 19.00 ± 9.00 | 7.00 | 45.00 |
| 12 years-old | 37.00 ± 16.00 | 7.00 | 812.00 | 39.00 ± 19.00 | 8.00 | 83.00 | 20.00 ± 10.00 | 6.00 | 58.00 | 25.00 ± 17.00 | 5.00 | 80.00 |
| Variables | Boys (n = 165) | Girls (n = 184) | ||||||||||
|---|---|---|---|---|---|---|---|---|---|---|---|---|
| Low SES (n = 83) | High SES (n = 82) | Low SES (n = 118) | High SES (n = 66) | |||||||||
| M ± SD | Min | Max | M ± SD | Min | Max | M ± SD | Min | Max | M ± SD | Min | Max | |
| Long jump (cm) | ||||||||||||
| 6 years old | 91.40 ± 20.30 | 43.20 | 134.60 | 106.70 ± 15.2 | 66.40 | 55.00 | 83.08 ± 15.20 | 50.80 | 134.62 | 91.40 ± 15.20 | 50.80 | 134.00 |
| 9 years old | 111.80 ± 20.30 | 76.20 | 68.00 | 127.00 ± 25.40 | 20.30 | 70.00 | 104.10 ± 17.80 | 58.40 | 149.90 | 111.70 ± 25.40 | 53.30 | 165.10 |
| 12 years old | 137.20 ± 15.20 | 91.40 | 70.00 | 142.20 ± 22.90 | 91.40 | 80.00 | 127.00 ± 22.9.00 | 76.20 | 269.20 | 129.50 ± 40.60 | 76.20 | 332.70 |
| Push-up (reps) | ||||||||||||
| 6 years old | 12.00 ± 6.00 | 0.00 | 26.00 | 10.00 ± 5.00 | 0.00 | 25.00 | 9.00 ± 6.00 | 0.00 | 20.00 | 10.00 ± 5.00 | 0.00 | 17.00 |
| 9 years old | 21.00 ± 5.00 | 10.00 | 33.00 | 22.00 ± 5.00 | 11.00 | 40.00 | 15.00 ± 5.00 | 0.00 | 28.00 | 17.00 ± 6.00 | 5.00 | 30.00 |
| 12 years old | 18.00 ± 7.00 | 2.00 | 35.00 | 19.00 ± 6.00 | 6.00 | 33.00 | 10.00 ± 5.00 | 0.00 | 26.00 | 14.00 ± 7.00 | 1.00 | 27.00 |
| Sit-up (reps) | ||||||||||||
| 6 years old | 3.00 ± 3.00 | 0.00 | 11.00 | 5.00 ± 4.00 | 0.00 | 17.00 | 2.00 ± 3.00 | 0.00 | 12.00 | 6.00 ± 4.00 | 0.00 | 15.00 |
| 9 years old | 17.00 ± 6.00 | 0.00 | 32.00 | 21.00 ± 6.00 | 2.00 | 50.00 | 15.00 ± 6.00 | 0.00 | 28.00 | 18.00 ± 5.00 | 0.00 | 32.00 |
| 12 years old | 11.00 ± 4.00 | 0.00 | 19.00 | 15.00 ± 7.00 | 2.00 | 60.00 | 8.00 ± 5.00 | 0.00 | 21.00 | 13.00 ± 5.00 | 0.00 | 26.00 |
| Wall-sit (s) * | ||||||||||||
| 6 years old | 49.00 ± 15.00 | 100.0 | 60.00 | 40.00 ± 20.00 | 6.00 | 60.00 | 50.00 ± 15.00 | 10.00 | 60.00 | 40.00 ± 19.00 | 8.00 | 60.00 |
| 9 years old | 58.00 ± 7.00 | 23.00 | 60.00 | 54.00 ± 12.00 | 14.00 | 60.00 | 56.00 ± 10.00 | 20.00 | 60.00 | 54.00 ± 14.00 | 6.00 | 60.00 |
| 12 years old | 60.00 ± 3.00 | 42.00 | 60.00 | 59.00 ± 4.00 | 34.00 | 60.00 | 59.00 ± 6.00 | 18.00 | 60.00 | 57.00 ± 9.00 | 10.00 | 60.00 |
| V-up (s) * | ||||||||||||
| 6 years old | 46.00 ± 17.00 | 7.00 | 60.00 | 40.00 ± 19.00 | 0.00 | 60.00 | 41.00 ± 20.00 | 0.00 | 60.0 | 42.00 ± 18.00 | 0.00 | 60.00 |
| 9 years old | 53.00 ± 12.00 | 14.00 | 60.00 | 56.00 ± 11.00 | 7.00 | 60.00 | 50.00 ± 17.00 | 0.00 | 60.0 | 52.00 ± 14.00 | 3.00 | 60.00 |
| 12 years old | 53.00 ± 12.00 | 10.00 | 60.00 | 54.00 ± 11.00 | 10.00 | 60.00 | 50.00 ± 13.00 | 20.00 | 60.0 | 53.00 ± 14.00 | 5.00 | 60.00 |
| VO2max (mL/kg/min) ^ | ||||||||||||
| 9 years old | 44.20 ± 5.20 | 35.70 | 60.30 | 43.00 ± 4.40 | 35.80 | 57.30 | 40.80 ± 2.90 | 35.70 | 54.60 | 40.90 ± 3.20 | 36.30 | 50.90 |
| 12 years old | 44.40 ± 5.50 | 33.30 | 59.70 | 44.60 ± 6.80 | 33.20 | 60.30 | 38.50 ± 3.60 | 33.20 | 51.30 | 39.80 ± 6.00 | 32.60 | 59.10 |
| PF tests | Model | MS | F | p |
|---|---|---|---|---|
| Standing long jump | Age and Gender | 14.31 | 0.04 | 0.96 |
| Age and SES | 1955.00 | 5.70 | 0.00 * | |
| Gender and SES | 704.00 | 2.05 | 0.15 | |
| Sit-ups | Age and Gender | 214.40 | 11.57 | <0.00 * |
| Age and SES | 43.19 | 2.33 | 0.10 | |
| Gender and SES | 7.63 | 0.41 | 0.52 | |
| Push-ups | Age and Gender | 592.30 | 22.37 | <0.00 * |
| Age and SES | 176.70 | 6.67 | 0.00 * | |
| Gender and SES | 87.34 | 3.30 | 0.07 | |
| Wall-sit | Age and Gender | 56.32 | 0.45 | 0.64 |
| Age and SES | 1651.00 | 13.27 | <0.00 * | |
| Gender and SES | 0.026 | 0.00 | 0.99 | |
| V-ups | Age and Gender | 48.44 | 0.26 | 0.77 |
| Age and SES | 650.90 | 3.47 | 0.03 * | |
| Gender and SES | 337.50 | 1.80 | 0.18 | |
| VO2max | Age and Gender | 282.5 | 22.36 | <0.00 * |
| Age and SES | 464.15 | 5.08 | 0.02 * | |
| Gender and SES | 23.63 | 1.87 | 0.17 |
| Year Group | Low SES (n = 83 + 118) | High SES (n = 82 + 66) | d | ||||||||
|---|---|---|---|---|---|---|---|---|---|---|---|
| EMM | SE | df | Lower CL | Upper CL | EMM | SE | df | Lower CL | Upper CL | ||
| Standing long jump | |||||||||||
| 6 yo | 86.97 | 1.59 | 873.61 | 82.78 | 91.16 | 99.03 | 1.84 | 873.61 | 94.20 | 103.87 | −0.65 ## |
| 9 yo | 108.18 | 1.59 | 873.61 | 103.99 | 112.37 | 118.90 | 1.84 | 873.61 | 114.06 | 123.74 | −0.58 ## |
| 12 yo | 132.20 | 1.59 | 873.61 | 128.01 | 136.39 | 135.29 | 1.84 | 873.61 | 130.46 | 140.13 | −0.17 |
| Push-ups | |||||||||||
| 6 yo | 10.35 | 0.40 | 979.07 | 9.29 | 11.42 | 9.87 | 0.47 | 979.07 | 8.64 | 11.10 | 0.09 |
| 9 yo | 17.89 | 0.40 | 979.07 | 16.82 | 18.95 | 19.65 | 0.47 | 979.07 | 18.42 | 20.88 | −0.34 # |
| 12 yo | 14.07 | 0.40 | 979.07 | 13.00 | 15.13 | 16.31 | 0.47 | 979.07 | 15.08 | 17.54 | −0.44 # |
| Wall-sit | |||||||||||
| 6 yo | 49.52 | 0.867 | 989.71 | 47.23 | 51.80 | 40.05 | 1.00 | 989.71 | 37.41 | 42.69 | 0.85 ### |
| 9 yo | 40.05 | 1.001 | 989.71 | 37.41 | 42.69 | 53.89 | 1.00 | 989.71 | 51.25 | 56.53 | 0.27 # |
| 12 yo | 59.06 | 0.867 | 989.71 | 56.78 | 61.35 | 58.11 | 1.00 | 989.71 | 55.47 | 60.74 | 0.09 |
| V-ups | |||||||||||
| 6 yo | 43.55 | 1.09 | 962.11 | 40.67 | 46.43 | 41.24 | 1.26 | 962.11 | 37.91 | 44.56 | 0.17 |
| 9 yo | 51.63 | 1.09 | 962.11 | 48.75 | 54.51 | 54.13 | 1.26 | 962.11 | 50.80 | 57.45 | −0.18 |
| 12 yo | 51.24 | 1.09 | 962.11 | 48.35 | 54.12 | 53.78 | 1.26 | 962.11 | 50.46 | 57.11 | −0.19 |
| VO2max ^ | |||||||||||
| 9 yo | 42.48 | 0.34 | 576.56 | 41.63 | 43.34 | 41.97 | 0.39 | 576.56 | 40.99 | 42.96 | 0.13 |
| 12 yo | 41.49 | 0.341 | 576.56 | 40.63 | 42.34 | 42.22 | 0.39 | 576.56 | 41.23 | 43.20 | −0.21 # |
| Year Group | Boys (n = 165) | Girls (n = 184) | d | ||||||||
|---|---|---|---|---|---|---|---|---|---|---|---|
| EMM | SE | df | Lower CL | Upper CL | EMM | SE | df | Lower CL | Upper CL | ||
| Sit-ups | |||||||||||
| 6 yo | 4.07 | 0.40 | 873.67 | 3.01 | 5.13 | 4.13 | 0.40 | 873.67 | 3.09 | 5.18 | −0.02 |
| 9 yo | 19.03 | 0.40 | 873.67 | 17.98 | 20.09 | 16.22 | 0.40 | 873.67 | 15.17 | 17.26 | 0.65 ## |
| 12 yo | 12.95 | 0.40 | 873.67 | 11.89 | 14.01 | 10.36 | 0.40 | 873.67 | 9.32 | 11.41 | 0.60 ## |
| Push-ups | |||||||||||
| 6 yo | 10.89 | 0.44 | 979.07 | 9.73 | 12.05 | 9.33 | 0.43 | 979.07 | 8.18 | 10.47 | 0.31 # |
| 9 yo | 21.47 | 0.44 | 979.07 | 20.31 | 22.62 | 16.07 | 0.43 | 979.07 | 14.93 | 17.21 | 1.05 ### |
| 12 yo | 18.53 | 0.44 | 979.07 | 17.37 | 19.69 | 11.84 | 0.43 | 979.07 | 10.70 | 12.99 | 1.30 ### |
| VO2max ^ | |||||||||||
| 9 yo | 43.61 | 0.37 | 576.56 | 42.68 | 44.54 | 40.85 | 0.37 | 576.56 | 39.93 | 41.76 | 0.78 ## |
| 12 yo | 44.53 | 0.37 | 576.56 | 43.61 | 45.46 | 39.17 | 0.37 | 576.56 | 38.25 | 40.08 | 1.51 ### |
Disclaimer/Publisher’s Note: The statements, opinions and data contained in all publications are solely those of the individual author(s) and contributor(s) and not of MDPI and/or the editor(s). MDPI and/or the editor(s) disclaim responsibility for any injury to people or property resulting from any ideas, methods, instructions or products referred to in the content. |
© 2024 by the authors. Licensee MDPI, Basel, Switzerland. This article is an open access article distributed under the terms and conditions of the Creative Commons Attribution (CC BY) license (https://creativecommons.org/licenses/by/4.0/).
Share and Cite
Muller, X.; Pienaar, A.E.; Gerber, B.; Moran, C.N.; Brooks, N.E. Global Comparisons of Age, Gender and Socioeconomic Status Differences of Physical Fitness Health Risk in South African Primary School Children: Longitudinal Data from the NW-CHILD Study. Int. J. Environ. Res. Public Health 2024, 21, 1554. https://doi.org/10.3390/ijerph21121554
Muller X, Pienaar AE, Gerber B, Moran CN, Brooks NE. Global Comparisons of Age, Gender and Socioeconomic Status Differences of Physical Fitness Health Risk in South African Primary School Children: Longitudinal Data from the NW-CHILD Study. International Journal of Environmental Research and Public Health. 2024; 21(12):1554. https://doi.org/10.3390/ijerph21121554
Chicago/Turabian StyleMuller, Xonné, Anita E. Pienaar, Barry Gerber, Colin N. Moran, and Naomi E. Brooks. 2024. "Global Comparisons of Age, Gender and Socioeconomic Status Differences of Physical Fitness Health Risk in South African Primary School Children: Longitudinal Data from the NW-CHILD Study" International Journal of Environmental Research and Public Health 21, no. 12: 1554. https://doi.org/10.3390/ijerph21121554
APA StyleMuller, X., Pienaar, A. E., Gerber, B., Moran, C. N., & Brooks, N. E. (2024). Global Comparisons of Age, Gender and Socioeconomic Status Differences of Physical Fitness Health Risk in South African Primary School Children: Longitudinal Data from the NW-CHILD Study. International Journal of Environmental Research and Public Health, 21(12), 1554. https://doi.org/10.3390/ijerph21121554

