The Association Between Cadmium Exposure and Prostate Cancer: An Updated Systematic Review and Meta-Analysis
Abstract
1. Introduction
2. Materials and Methods
2.1. Search Strategy and Data Source
2.2. Eligibility Criteria
2.3. Data Extraction and Quality Assessment
2.4. Statistical Analysis
3. Results
3.1. Study Selection
3.2. Study Characteristics and Quality Assessment
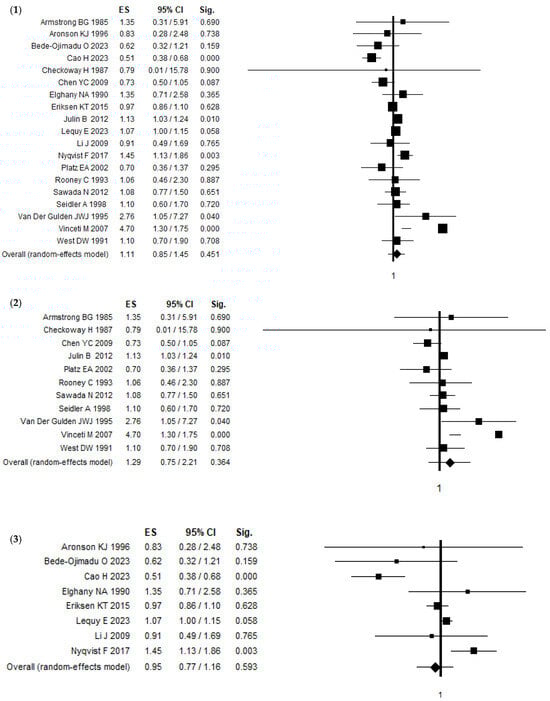
3.3. Meta-Analysis
3.4. Sensitivity Analysis
3.5. Publication Bias
4. Discussion
5. Conclusions
Supplementary Materials
Author Contributions
Funding
Institutional Review Board Statement
Data Availability Statement
Acknowledgments
Conflicts of Interest
References
- Bray, F.; Laversanne, M.; Sung, H.; Ferlay, J.; Siegel, R.L.; Soerjomataram, I.; Jemal, A. Global cancer statistics 2022: GLOBOCAN estimates of incidence and mortality worldwide for 36 cancers in 185 countries. CA A Cancer J. Clin. 2024, 74, 229–263. [Google Scholar] [CrossRef] [PubMed]
- Sung, H.; Ferlay, J.; Siegel, R.L.; Laversanne, M.; Soerjomataram, I.; Jemal, A.; Bray, F. Global Cancer Statistics 2020: GLOBOCAN Estimates of Incidence and Mortality Worldwide for 36 Cancers in 185 Countries. CA Cancer J. Clin. 2021, 71, 209–249. [Google Scholar] [CrossRef] [PubMed]
- Ferlay, J.; Colombet, M.; Soerjomataram, I.; Parkin, D.M.; Piñeros, M.; Znaor, A.; Bray, F. Cancer statistics for the year 2020: An overview. Int. J. Cancer 2021, 149, 778–789. [Google Scholar] [CrossRef] [PubMed]
- Rawla, P. Epidemiology of Prostate Cancer. World J. Oncol. 2019, 10, 63–89. [Google Scholar] [CrossRef]
- Qu, F.; Zheng, W. Cadmium Exposure: Mechanisms and Pathways of Toxicity and Implications for Human Health. Toxics 2024, 12, 388. [Google Scholar] [CrossRef]
- IARC Working Group on the Evaluation of Carcinogenic Risks to Humans. Arsenic, Metals, Fibres and Dusts. Lyon (FR): International Agency for Research on Cancer; 2012. (IARC Monographs on the Evaluation of Carcinogenic Risks to Humans, No. 100C.) CADMIUM AND CADMIUM COMPOUNDS. Available online: https://www.ncbi.nlm.nih.gov/books/NBK304372/ (accessed on 5 July 2024).
- Cadmium and Cadmium Compounds (IARC Summary & Evaluation, Volume 58, 1993). Available online: https://www.inchem.org/documents/iarc/vol58/mono58-2.html (accessed on 24 October 2024).
- Rayford, W.; Beksac, A.T.; Alger, J.; Alshalalfa, M.; Ahmed, M.; Khan, I.; Falagario, U.G.; Liu, Y.; Davicioni, E.; Spratt, D.E.; et al. Comparative analysis of 1152 African-American and European-American men with prostate cancer identifies distinct genomic and immunological differences. Commun. Biol. 2021, 4, 670. [Google Scholar] [CrossRef]
- Chemical Safety and Health. Available online: https://www.who.int/teams/environment-climate-change-and-health/chemical-safety-and-health/health-impacts/chemicals/cadmium (accessed on 2 August 2024).
- Substance Priority List | ATSDR. Available online: https://www.atsdr.cdc.gov/programs/substance-priority-list.html (accessed on 2 August 2024).
- Pokharel, A.; Wu, F. Dietary exposure to cadmium from six common foods in the United States. Food Chem. Toxicol. 2023, 178, 113873. [Google Scholar] [CrossRef]
- Fabiani, R.; Minelli, L.; Bertarelli, G.; Bacci, S. A Western Dietary Pattern Increases Prostate Cancer Risk: A Systematic Review and Meta-Analysis. Nutrients 2016, 8, 626. [Google Scholar] [CrossRef]
- Best practices for reducing cadmium in food: New review from FDA scientists—EDF Health. Available online: https://blogs.edf.org/health/2020/04/07/best-practices-for-reducing-cadmium-in-food-new-review-from-fda-scientists/ (accessed on 2 August 2024).
- Zimta, A.-A.; Schitcu, V.; Gurzau, E.; Stavaru, C.; Manda, G.; Szedlacsek, S.; Berindan-Neagoe, I. Biological and molecular modifications induced by cadmium and arsenic during breast and prostate cancer development. Environ. Res. 2019, 178, 108700. [Google Scholar] [CrossRef]
- Eriksen, K.T.; Halkjær, J.; Meliker, J.R.; A McElroy, J.; Sørensen, M.; Tjønneland, A.; Raaschou-Nielsen, O. Dietary cadmium intake and risk of prostate cancer: A Danish prospective cohort study. BMC Cancer 2015, 15, 177. [Google Scholar] [CrossRef]
- Platz, E.A.; Helzlsouer, K.J.; Hoffman, S.C.; Morris, J.S.; Baskett, C.K.; Comstock, G.W. Prediagnostic toenail cadmium and zinc and subsequent prostate cancer risk. Prostate 2002, 52, 288–296. [Google Scholar] [CrossRef] [PubMed]
- Sawada, N.; Iwasaki, M.; Inoue, M.; Takachi, R.; Sasazuki, S.; Yamaji, T.; Shimazu, T.; Endo, Y.; Tsugane, S. Long-term dietary cadmium intake and cancer incidence. Epidemiology 2012, 23, 368–376. [Google Scholar] [CrossRef] [PubMed]
- Stroup, D.F.; Berlin, J.A.; Morton, S.C.; Olkin, I.; Williamson, G.D.; Rennie, D.; Moher, D.; Becker, B.J.; Sipe, T.A.; Thacker, S.B. Meta-analysis of observational studies in epidemiology: A proposal for reporting. Meta-analysis Of Observational Studies in Epidemiology (MOOSE) group. JAMA 2000, 283, 2008–2012. [Google Scholar] [CrossRef] [PubMed]
- Page, M.J.; McKenzie, J.E.; Bossuyt, P.M.; Boutron, I.; Hoffmann, T.C.; Mulrow, C.D.; Shamseer, L.; Tetzlaff, J.M.; Akl, E.A.; Brennan, S.E.; et al. The PRISMA 2020 statement: An updated guideline for reporting systematic reviews. J. Clin. Epidemiol. 2021, 134, 178–189. [Google Scholar] [CrossRef] [PubMed]
- Higgins, J.P.T.; Thompson, S.G. Quantifying heterogeneity in a meta-analysis. Stat. Med. 2002, 21, 1539–1558. [Google Scholar] [CrossRef]
- Higgins, J.P.T.; Thompson, S.G.; Deeks, J.J.; Altman, D.G. Measuring inconsistency in meta-analyses. BMJ 2003, 327, 557–560. [Google Scholar] [CrossRef]
- Begg, C.B.; Mazumdar, M. Operating Characteristics of a Rank Correlation Test for Publication Bias. Biometrics 1994, 50, 1088–1101. [Google Scholar] [CrossRef]
- Egger, M.; Smith, G.D.; Schneider, M.; Minder, C. Bias in meta-analysis detected by a simple, graphical test. BMJ 1997, 315, 629–634. [Google Scholar] [CrossRef]
- Ju-Kun, S.; Yuan, D.-B.; Rao, H.-F.; Chen, T.-F.; Luan, B.-S.; Xu, X.-M.; Jiang, F.-N.; Zhong, W.-D.; Zhu, J.-G. Association Between Cd Exposure and Risk of Prostate Cancer: A PRISMA-Compliant Systematic Review and Meta-Analysis. Medicine 2016, 95, e2708. [Google Scholar] [CrossRef]
- Julin, B.; Wolk, A.; Johansson, J.-E.; Andersson, S.-O.; Andrén, O.; Åkesson, A. Dietary cadmium exposure and prostate cancer incidence: A population-based prospective cohort study. Br. J. Cancer 2012, 107, 895–900. [Google Scholar] [CrossRef]
- Chen, Y.-C.; Pu, Y.S.; Wu, H.-C.; Wu, T.T.; Lai, M.K.; Yang, C.Y.; Sung, F.-C. Cadmium burden and the risk and phenotype of prostate cancer. BMC Cancer 2009, 9, 429. [Google Scholar] [CrossRef] [PubMed]
- Vinceti, M.; Venturelli, M.; Sighinolfi, C.; Trerotoli, P.; Bonvicini, F.; Ferrari, A.; Bianchi, G.; Serio, G.; Bergomi, M.; Vivoli, G. Case-control study of toenail cadmium and prostate cancer risk in Italy. Sci. Total. Environ. 2007, 373, 77–81. [Google Scholar] [CrossRef] [PubMed]
- Seidler, A.; Heiskel, H.; Bickeböller, R.; Elsner, G. Association between diesel exposure at work and prostate cancer. Scand. J. Work. Environ. Health 1998, 24, 486–494. [Google Scholar] [CrossRef] [PubMed]
- van der Gulden, J.W.J.; Kolk, J.J.; Verbeek, A.L.M. Work environment and prostate cancer risk. Prostate 1995, 27, 250–257. [Google Scholar] [CrossRef]
- Rooney, C.; Beral, V.; Maconochie, N.; Fraser, P.; Davies, G. Case-control study of prostatic cancer in employees of the United Kingdom Atomic Energy Authority. BMJ 1993, 307, 1391–1397. [Google Scholar] [CrossRef]
- West, D.W.; Slattery, M.L.; Robison, L.M.; French, T.K.; Mahoney, A.W. Adult dietary intake and prostate cancer risk in Utah: A case-control study with special emphasis on aggressive tumors. Cancer Causes Control 1991, 2, 85–94. [Google Scholar] [CrossRef]
- Checkoway, H.; Diferdinando, G.; Hulka, B.S.; Mickey, D.D. Medical, life-style, and occupational risk factors for prostate cancer. Prostate 1987, 10, 79–88. [Google Scholar] [CrossRef]
- Armstrong, B.G.; Kazantzis, G. Prostatic cancer and chronic respiratory and renal disease in British cadmium workers: A case control study. Occup. Environ. Med. 1985, 42, 540–545. [Google Scholar] [CrossRef]
- Cao, H.-M.; Yang, Y.-Z.; Huang, B.-Y.; Zhang, Y.; Wu, Y.; Wan, Z.; Ma, L. A cross-sectional study of the association between heavy metals and pan-cancers associated with sex hormones in NHANES 1999–2018. Environ. Sci. Pollut. Res. 2023, 30, 61005–61017. [Google Scholar] [CrossRef]
- Bede-Ojimadu, O.; Nnamah, N.; Onuegbu, J.; Grant-Weaver, I.; Barraza, F.; Orakwe, J.; Abiahu, J.; Orisakwe, O.E.; Nriagu, J. Cadmium exposure and the risk of prostate cancer among Nigerian men: Effect modification by zinc status. J. Trace Elements Med. Biol. 2023, 78, 127168. [Google Scholar] [CrossRef]
- Lequy, E.; Leblond, S.; Siemiatycki, J.; Meyer, C.; Vienneau, D.; de Hoogh, K.; Zins, M.; Goldberg, M.; Jacquemin, B. Long-term exposure to airborne metals and risk of cancer in the French cohort Gazel. Environ. Int. 2023, 177, 107999. [Google Scholar] [CrossRef] [PubMed]
- Nyqvist, F.; Helmfrid, I.; Augustsson, A.; Wingren, G. Increased Cancer Incidence in the Local Population Around Metal-Contaminated Glassworks Sites. J. Occup. Environ. Med. 2017, 59, e84–e90. [Google Scholar] [CrossRef] [PubMed]
- Elghany, N.A.; Schumacher, M.C.; Slattery, M.L.; West, D.W.; Lee, J.S. Occupation, cadmium exposure, and prostate cancer. Epidemiology 1990, 1, 107–115. [Google Scholar] [CrossRef]
- Aronson, K.J.; Siemiatycki, J.; Dewar, R.; Gérin, M. Occupational risk factors for prostate cancer: Results from a case-control study in Montréal, Québec, Canada. Am. J. Epidemiol. 1996, 143, 363–373. [Google Scholar] [CrossRef]
- Li, J.; Bostick, R.M.; Ward, K.C. Cadmium, Sexually Transmitted Disease, and Risk for Prostate Cancer. Open Epidemiol. J. 2009, 2, 14–19. [Google Scholar] [CrossRef]
- Tyagi, B.; Chandrasekaran, B.; Tyagi, A.; Shukla, V.; Saran, U.; Tyagi, N.; Talluri, S.; Juneau, A.D.; Fu, H.; Ankem, M.K.; et al. Exposure of environmental trace elements in prostate cancer patients: A multiple metal analysis. Toxicol. Appl. Pharmacol. 2023, 479, 116728. [Google Scholar] [CrossRef]
- Vijayakumar, V.; Abern, M.R.; Jagai, J.S.; Kajdacsy-Balla, A. Observational Study of the Association between Air Cadmium Exposure and Prostate Cancer Aggressiveness at Diagnosis among a Nationwide Retrospective Cohort of 230,540 Patients in the United States. Int. J. Environ. Res. Public Health 2021, 18, 8333. [Google Scholar] [CrossRef]
- Bailey, J.; Bazuaye-Alonge, P.; McFarlane, S. The Putative Role of Environmental Chemical Exposure in The Development of Cervical, Prostate and Colorectal (Cpc) Cancers in Jamaica. World Cancer Res. J. 2023, 10, e2542. [Google Scholar] [CrossRef]
- Lim, J.T.; Tan, Y.Q.; Valeri, L.; Lee, J.; Geok, P.P.; Chia, S.E.; Ong, C.N.; Seow, W.J. Association between serum heavy metals and prostate cancer risk—A multiple metal analysis. Environ. Int. 2019, 132, 105109. [Google Scholar] [CrossRef]
- Ashizawa, A.; Faroon, O.; Ingerman, L.; Jenkins, K.; Tucker, P.; Wright, S. Toxicological Profile for Cadmium; Centers for Disease Control and Prevention: Atlanta, GA, USA, 2012.
- Nawrot, T.; Plusquin, M.; Hogervorst, J.; A Roels, H.; Celis, H.; Thijs, L.; Vangronsveld, J.; Van Hecke, E.; A Staessen, J. Environmental exposure to cadmium and risk of cancer: A prospective population-based study. Lancet Oncol. 2006, 7, 119–126. [Google Scholar] [CrossRef]
- EFSA Panel on Contaminants in the Food Chain (CONTAM). Cadmium dietary exposure in the European population. EFSA J. 2012, 10, 2551. [Google Scholar] [CrossRef]





| First Author, Year, Location Reference | Study Design C: Cohort CC: Case-Control FU: Follow-Up | Population and Characteristics. N: Number [Age; Smoking (% Never); Race/Ethnicity (%); BMI (kg/m2)] M: Mean; Mdn: Median | Cd Exposure (Biological Sample, Type of Exposure, Evaluation Test) | PCa | Results | OR/RR/HR (95% CI) | P for Trend | Matched or Adjusted Variables | NOS | 
|---|---|---|---|---|---|---|---|---|---|
| Cao H, 2023 USA [34] | Cross-sectional study from NHANES | N = 94.337 N with PCa = 784 -Age: 71 (M); -Non-Hispanic White: 75.6%; -BMI (kg/m2): 28.5 (M) | -Blood -Environmental, occupational, and dietary -ICP-DRC-MS. | NA | Used statistics methods: REF: lowest (lowest vs. highest) WQS SVYGLM | OR 0.52 (0.36–0.76) 0.49 (0.30–0.80) | Age, education, race/ethnicity, poverty income ratio (PIR), BMI, and marital status | 7 | |
| Bede-Ojimadu O, 2023 Nigeria [35] | CC | N = 273 N with PCa = 82 Controls: 98 -Age: Cases 70.5 (M), Controls 68.5 (M); -BMI (kg/m2): Cases 23.66 (M), Controls 24.78 (M); -Never smokers: Cases 39.02%, Controls 28.8% | -Blood, urine -Environmental, occupational, and dietary -ICAP-RQ-ICP-MS. | Histologically confirmed incident PCa | Urinary Cd Q1 (<1.5179) Q2 (1.5180–2.4108) Q3 (2.4109–4.3082) Q4 (>4.3082) Blood Cd Q1 (≤0.8036) Q2 (0.8037–1.7858) Q3 (1.7859–2.5894) Q4 (>2.5894) | OR REF 0.6 (0.23–1.55) 0.73 (0.29–1.83) 0.76 (0.28–2.06) REF 0.77 (0.32–1.83) 0.51 (0.20–1.32) 0.52 (0.21–1.29) | Age, BMI, major occupation, smoking frequency and family history of PCa, residential proximity to known sources of trace element pollution, and physician-diagnosed diabetes | 7 | |
| Lequy E, 2023 France [36] | C, Gazel Cohort, FU: 1989–2015 | N = 11.755 N with PCa = 957 Characteristics of the whole population: -Age: Cases 51.5 (Mdn), Controls 50.5 (Mdn); -BMI (kg/m2): Cases 36.7%, Controls 33.5%; -Never smokers: Cases 39.5%, Controls: 42.2% | -Blood -Environmental -ICP-MS. | Incident cancer sources: -French national health administrative databases (81%) OTHER: -Company records for employees -Self-reported by participants | REF: low per IQR | HR 1.07 (1.00–1.15) | Time-varying cumulative smoking pack-years, alcohol use, marital status, fruit and vegetable intake, calendar year; sex, socio-economic status, and education as static variables | 7 | |
| Lim JT, 2019 Singapore [44] | CC, SPCS | Cases = 141, Controls = 114 -Age (≥70): Cases 35.5%, Controls 22.8% -BMI (≥28 kg/m2) Cases 14.2%, Controls 13.2% -Ethnicity (Chinese): Cases 85.1%, Controls 79.8% | -Blood -Environmental -ICP-MS. | Biopsy or operative specimens by pathologist | NA | NA | NA | NA | |
| Nyqvist F, 2017 Sweden [37] | C study, FU: 1979–2010 | N = 34.266 N with PCa = 572 | -NA -Environmental, occupational -NA. | ICD-7 177.1 | Low Medium High | OR REF 1.05 (0.87–1.27) 1.45 (1.13–1.86) | Age and calendar year | 6 | |
| Eriksen KT, 2015 Denmark [15] | C study, DCH cohort, FU | N = 26.778 N with PCa = 1.567 Total Cohort characteristics: -Age: 56 (Mdn); -BMI (kg/m2): 26 (Mdn); -Never smokers: 26% Cases characteristics: -Age: 58 (Mdn); -BMI (kg/m2): 26 (Mdn); -Never smokers: 27% | -NA -Dietary -FFQ. | Danish Cancer Registry | Low (<14 µg/day) Medium (14–18 µg/day) High (>18 µg/day) Cancer severity REF: low Aggressive | IRR REF 0.96 (0.85–1.08) 0.97 (0.86–1.10) 1.00 (0.86–1.16) | Educational level, smoking status, BMI, waist-to-hip ratio, and physical activity | 9 | |
| Li J, 2009 USA [40] | CC, study period 1994–1996 | Cases= 113 Controls = 258 -Age: Cases 66.1 (M), Controls 67 (M); -Race (White): Cases 84.1% Controls 85.3% -BMI (kg/m2): Cases 27 (M), Controls 27.3 (M) | -Blood, urine -NA -CS AAS. | Hospital tumor registries | Urinary Cd/creatinine (µg/mg × 10−4) <5.34 × 10−4 ≥5.34 × 10−4 | OR REF 0.91 (0.49–1.69) | Urinary creatinine-standardized Cd, age, race, education, smoking status, family history of PC in a first-degree relative, physical activity, vasectomy, multivitamin taking, total energy intake, BMI, STD, and Cd through STD interaction | 8 | |
| Aronson KJ, 1995 Canada [39] | CC, study period 1979–1986 | Cases = 449 -Controls: (1) Populations 533 (2) Other cancer 1550 -Age: Cases 63 (M), Control (1) 57 (M) Control (2) 59 (M) | -NA -Occupational -Job history information that was assessed by exposure experts. | Histologically confirmed | REF: low Non-substantial exposure | OR 0.83 (0.28–2.48) | Age, ethnicity, socioeconomic status, Quetelet index, and self/proxy status of the respondent | 9 | |
| Elghany NA, 1990 USA [38] | CC | Cases = 358 Controls = 679 -Age (>67): Cases 50% Controls 43.3% -Never smokers: Cases 42.7% Controls 42.4% | -NA -Occupational -Rapid reporting system set up in all of Wasatch Front pathology laboratory. | -Histologically confirmed (code 185.9 by International Classification of Disease 9th revision) -Utah Cancer Registry | REF: low All tumors 1 Aggressive tumors 2 | OR 1.3 (0.6–2.7) 1.5 (0.4–5.1) | Age | 7 | |
| Armstrong BG, 1985 United Kingdom [33] | CC | N of cases: 39; N of controls: 115 | -NA -Occupational by work history information -NA. | ICD 185 | REF: lowest High | OR 1.35 (0.31–5.91) | Unadjusted | 3 | |
| Checkoway H, 1987 USA [32] | CC, study period: 1984–1985 | N of cases: 40; N of controls: 40; Age: -Cases 68.8 (M), -Controls 67.3 (M) Race (White): -Cases 55%, -Controls 73.4% | -NA -Occupational -Structured questionnaire. | -Histologically confirmed PCa | REF: low | OR 0.79 (0.01–15.78) | Unadjusted | 3 | |
| West DW, 1991 USA [31] | CC, study period: 1984–1985 | N of cases: 358; N of controls: 679; Age (68–74 years): -Cases 50%, -Controls 43% Smoking status: -Cases 43%, -Controls 42% BMI (≥30 kg/m2): -Cases 26%, -Controls 26% | -NA -Dietary -FFQ. | -Histologically confirmed PCa -Utah Cancer Registry -SEER | REF low (<36 µg) Cd intake >61 µg | OR 1.1(0.7–1.9) | Unadjusted | 5 | |
| Rooney C, 1993 United Kingdom [30] | CC, study period: 1946–1986 | N of cases: 136; N of controls: 404 | -NA -Occupational by occupational health, personnel, and radiation records held by the UKAEA -NA. | -Histologically confirmed PCa -Hospital records | REF: low Work exposure | RR 1.06 (0.46–2.30) | Unadjusted | 4 | |
| Van Der Gulden JWJ, 1995 Netherlands [29] | CC, study period: 1988–1990 | N of cases: 345; N of controls: 1346 Age (Mdn): -Cases 72, -Controls 69 | -NA -Occupational by questionnaire -NA. | Histologically confirmed PCa | REF: low Cd exposure | OR 2.76 (1.05–7.27) | Age | 4 | |
| Seidler A, 1998 Germany [28] | CC | N of cases: 192; N of controls: 210 Age (Mdn): -Cases 71.1, -Controls 69.7 | -Toenail -Occupational -Furnace atomic absorption with Zeeman background correction. | Histologically confirmed PCa | REF: never Low probability of exposure (≥5 years) | OR 1.1 (0.6–1.7) | Age, smoking, and region | 4 | |
| Platz EA, 2002 USA [16] | Nested CC, study period: 1989–1996 | N of cases: 115; N of controls: 227 | -Toenail -Dietary -Perkin Elmer Model 5100 PC with Zeeman background correction. | Cases were pathologically confirmed through the following: -Washington County Cancer Registry -Maryland Cancer Registry | REF: low (Q1) Q5 | OR 0.70 (0.36–1.37) | 0.9 | Toenail weight using residual analysis | 5 | 
| Vinceti M, 2007 Italy [27] | CC | N of cases: 45; N of controls: 68 | -Toenail -Environmental -Perkin Elmer Model 5100 PC with Zeeman background correction. | Histologically based diagnosis of PC | REF: low (Q1) Q4 | OR 4.70 (1.30–1.75) | 0.004 | Unadjusted | 5 | 
| Chen YC, 2009 Taiwan [26] | CC | N of cases: 261; N of controls: 267 Age (Mdn): -Cases 72.1, -Controls 71.3 | -Urinary, blood -Environmental, occupational, and dietary -Perkin Elmer Model 5100 PC with Zeeman background correction. | Histologically based diagnosis of PC from four medical centers | REF: low Blood µg/L >0.87 Urinary (µg CD/g creatinine) >1.12 Cancer severity REF: low (GS 2–6) Urine GS > 8 Blood GS > 8 | OR 1.44 (0.78–2.64) 0.49 (0.31–0.78) 2.89 (1.25–6.70) 1.58 (1.40–1.77) | Age, smoking, and medical institution | 6 | |
| Julin B, 2012 Sweden [25] | C, FU: 1998–2009 | C size: 41.089 N of cases: 3085 Age (Mdn): 56.2 | -NA -Dietary -FFQ. | National Cancer Registry | REF: low (<17 µg per day) >20 µg per day Cancer severity REF: low Fatal | RR 1.13 (1.03–1.24) 1.14 (0.86–1.51) | Age, family history of PC, years of education, BMI, waist circumference, metabolic equivalent hours per day, smoking status, total energy intake, alcohol consumption, selenium, lycopene, and calcium | 6 | |
| Sawada N, 2012 Japan [17] | C, FU: 1990–1998 | C size: 46.033 N of cases: 470 | -NA -Dietary -FFQ. | -Notification from the major hospitals -Population-based cancer registries -Responses to questionnaires | REF: low (19.7 µg per day) High µg per day | HR 1.08 (0.77–1.50) | Age, area, BMI, smoking status, alcohol intake, sports in leisure time, intake of meat, soybean, vegetables, and fruit | 6 | 
| Combined Risk Estimate (OR) | Test of Heterogeneity | Publication Bias | |||||
|---|---|---|---|---|---|---|---|
| No. b | Value (95% CI) | Q | I2 % | p | p (Egger Test) | p (Begg Test) | |
| ALL (19 articles) | 23 | 1.11 (0.85–1.45) | 400.16 | 95.50 | 0.00 | 0.893 | 0.100 | 
| ALL (11 articles) | 12 | 1.29 (0.75–2.21) | 290.74 | 96.56 | 0.00 | 0.800 | 0.073 | 
| ALL (8 articles) | 11 | 0.95 (0.77–1.16) | 34.13 | 79.49 | 0.00 | 0.481 | 0.621 | 
| Type of variable | |||||||
| Adj for age (19 articles) | 16 | 1.00 (0.85–1.17) | 42.60 | 74.18 | 0.00 | 0.542 | 1.000 | 
| Adj for age (11 articles) | 6 | 1.07 (0.85–1.34) | 8.70 | 54.03 | 0.07 | 0.961 | 0.624 | 
| Adj for age (8 articles) | 10 | 0.92 (0.68–1.26) | 32.92 | 81.77 | 0.00 | 0.525 | 0.453 | 
| Type of biological sample | |||||||
| 19 articles | |||||||
| Blood | 5 | 0.82 (0.49–1.36) | 26.12 | 88.51 | 0.00 | 0.466 | 0.497 | 
| Urine | 3 | 0.65 (0.43–0.98) | 2.63 | 23.97 | 0.268 | 0.570 | 0.602 | 
| 11 articles | |||||||
| Blood | 1 | 1.44 (0.78–2.64) | / | / | / | / | / | 
| Urine | 1 | 0.49 (0.31–0.78) | / | / | / | / | / | 
| 8 articles | |||||||
| Blood | 4 | 0.69 (0.37–1.30) | 24.94 | 91.98 | 0.00 | 0.372 | 0.602 | 
| Urine | 2 | 0.76 (0.48–1.20) | 1.00 | 0.00 | 0.608 | 0.489 | 0.602 | 
| Type of study | |||||||
| 19 articles | |||||||
| Cohort | 5 | 1.10 (1.00–1.20) | 9.27 | 56.85 | 0.055 | 0.562 | 0.624 | 
| Case-control | 16 | 1.17 (0.64–2.14) | 186.37 | 93.56 | 0.00 | 0.005 | 0.143 | 
| 11 articles | |||||||
| Cohort | 2 | 1.13 (1.03–1.23) | 0.07 | 0.00 | 0.798 | / | / | 
| Case-control | 10 | 1.33 (0.62–2.84) | 147.67 | 94.58 | 0.00 | 0.049 | 0.211 | 
| 8 articles | |||||||
| Cohort | 3 | 1.10 (0.94–1.28) | 8.12 | 75.38 | 0.02 | 0.651 | 0.602 | 
| Case-control | 6 | 0.91 (0.64–1.29) | 2.73 | 0.00 | 0.435 | 0.833 | 0.497 | 
| Geographic location | |||||||
| 19 articles | |||||||
| European | 9 | 1.47 (1.00–2.17) | 349.22 | 97.71 | 0.00 | 0.545 | 0.095 | 
| United States | 9 | 0.82 (0.58–1.16) | 12.25 | 51.02 | 0.06 | 0.241 | 0.881 | 
| Asia | 3 | 0.89 (0.60–1.32) | 2.47 | 59.44 | 0.12 | / | / | 
| Africa | 2 | 0.62 (0.32–1.21) | 0.30 | 0.00 | 0.581 | / | / | 
| 11 articles | |||||||
| European | 6 | 1.71 (0.76–3.85) | 259.10 | 98.07 | 0.00 | 0.811 | 0.348 | 
| United States | 3 | 0.93 (0.63–1.39) | 1.14 | 0.00 | 0.567 | 0.796 | 0.602 | 
| Asia | 3 | 0.89 (0.60–1.32) | 2.47 | 59.44 | 0.12 | / | / | 
| 8 articles | |||||||
| European | 3 | 1.10 (0.94–1.28) | 8.12 | 75.38 | 0.02 | 0.651 | 0.602 | 
| United States | 6 | 0.80 (0.48–1.34) | 8.89 | 66.0 | 0.032 | 0.213 | 0.497 | 
| Africa | 2 | 0.62 (0.32–1.21) | 0.30 | 0.00 | 0.581 | / | / | 
| Type of exposure | |||||||
| 19 articles | |||||||
| Dietary | 11 | 0.86 (0.70–1.05) | 33.07 | 78.83 | 0.00 | 0.108 | 0.322 | 
| Occupational | 15 | 0.99 (0.70–1.39) | 38.10 | 73.76 | 0.00 | 0.776 | 0.815 | 
| Environmental | 9 | 1.11 (0.55–2.22) | 370.3 | 98.65 | 0.00 | 0.995 | 0.851 | 
| 11 articles | |||||||
| Dietary | 6 | 1.00 (0.83–1.21) | 6.97 | 42.62 | 0.137 | 0.171 | 0.327 | 
| Occupational | 7 | 1.06 (0.72–1.55) | 7.33 | 31.82 | 0.197 | 0.261 | 0.851 | 
| Environmental | 3 | 1.86 (0.30–11.61) | 85.18 | 98.83 | 0.00 | / | / | 
| 8 articles | |||||||
| Dietary | 5 | 0.69 (0.42–1.15) | 16.52 | 87.89 | 0.00 | 0.446 | 0.602 | 
| Occupational | 8 | 0.88 (0.49–1.56) | 30.76 | 87.00 | 0.00 | 0.804 | 0.624 | 
| Environmental | 6 | 0.87 (0.58–1.31) | 31.96 | 90.61 | 0.00 | 0.567 | 0.497 | 
| Cancer severity a | |||||||
| 19 articles | |||||||
| Most aggressive type | 4 | 1.23 (0.87–1.73) | 24.7 | 91.9 | 0.00 | 0.652 | 0.602 | 
| 11 articles | |||||||
| Most aggressive type | 3 | 1.50 (1.08–2.07) | 6.68 | 70.07 | 0.035 | 0.971 | 0.602 | 
| 8 articles | |||||||
| Most aggressive type | 1 | 1.00 (0.86–1.16) | / | / | / | / | / | 
| NOS | |||||||
| 19 articles | |||||||
| ≥7 | 8 | 1.04 (0.97–1.11) | 5.15 | 2.85 | 0.398 | 0.347 | 0.573 | 
| <7 | 15 | 1.26 (0.90–1.76) | 344.05 | 96.51 | 0.00 | 0.826 | 0.020 | 
| 11 articles | |||||||
| ≥7 | / | / | / | / | / | / | / | 
| <7 | 12 | 1.29 (0.75–2.21) | 290.74 | 96.56 | 0.00 | 0.800 | 0.073 | 
| 8 articles | |||||||
| ≥7 | 8 | 1.04 (0.97–1.11) | 5.15 | 2.85 | 0.398 | 0.347 | 0.573 | 
| <7 | 3 | 0.86 (0.31–2.40) | 28.01 | 96.43 | 0.00 | / | / | 
| Disclaimer/Publisher’s Note: The statements, opinions and data contained in all publications are solely those of the individual author(s) and contributor(s) and not of MDPI and/or the editor(s). MDPI and/or the editor(s) disclaim responsibility for any injury to people or property resulting from any ideas, methods, instructions or products referred to in the content. | 
© 2024 by the authors. Licensee MDPI, Basel, Switzerland. This article is an open access article distributed under the terms and conditions of the Creative Commons Attribution (CC BY) license (https://creativecommons.org/licenses/by/4.0/).
Share and Cite
Firmani, G.; Chiavarini, M.; Dolcini, J.; Quarta, S.; D’Errico, M.M.; Barbadoro, P. The Association Between Cadmium Exposure and Prostate Cancer: An Updated Systematic Review and Meta-Analysis. Int. J. Environ. Res. Public Health 2024, 21, 1532. https://doi.org/10.3390/ijerph21111532
Firmani G, Chiavarini M, Dolcini J, Quarta S, D’Errico MM, Barbadoro P. The Association Between Cadmium Exposure and Prostate Cancer: An Updated Systematic Review and Meta-Analysis. International Journal of Environmental Research and Public Health. 2024; 21(11):1532. https://doi.org/10.3390/ijerph21111532
Chicago/Turabian StyleFirmani, Giorgio, Manuela Chiavarini, Jacopo Dolcini, Stefano Quarta, Marcello Mario D’Errico, and Pamela Barbadoro. 2024. "The Association Between Cadmium Exposure and Prostate Cancer: An Updated Systematic Review and Meta-Analysis" International Journal of Environmental Research and Public Health 21, no. 11: 1532. https://doi.org/10.3390/ijerph21111532
APA StyleFirmani, G., Chiavarini, M., Dolcini, J., Quarta, S., D’Errico, M. M., & Barbadoro, P. (2024). The Association Between Cadmium Exposure and Prostate Cancer: An Updated Systematic Review and Meta-Analysis. International Journal of Environmental Research and Public Health, 21(11), 1532. https://doi.org/10.3390/ijerph21111532
 
        


 
       