Relationship between COVID-19 Cases and Environmental Contaminants in Quito, Ecuador
Abstract
1. Introduction
2. Materials and Methods
2.1. Study Area
2.2. Methodology
2.2.1. COVID-19 Infections
2.2.2. Atmospheric Contaminants vs. Covid-19 Infections in Quito City
2.2.3. Statistical Tests
3. Results
3.1. COVID-19 Infections
3.2. Atmospheric Contaminants vs. COVID-19 Cases in Quito City
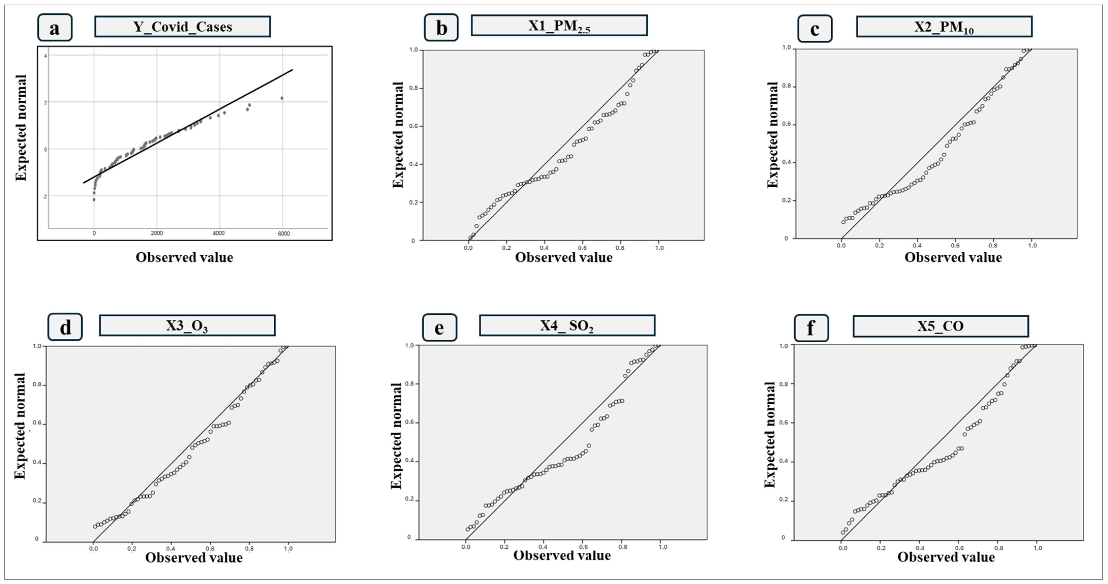
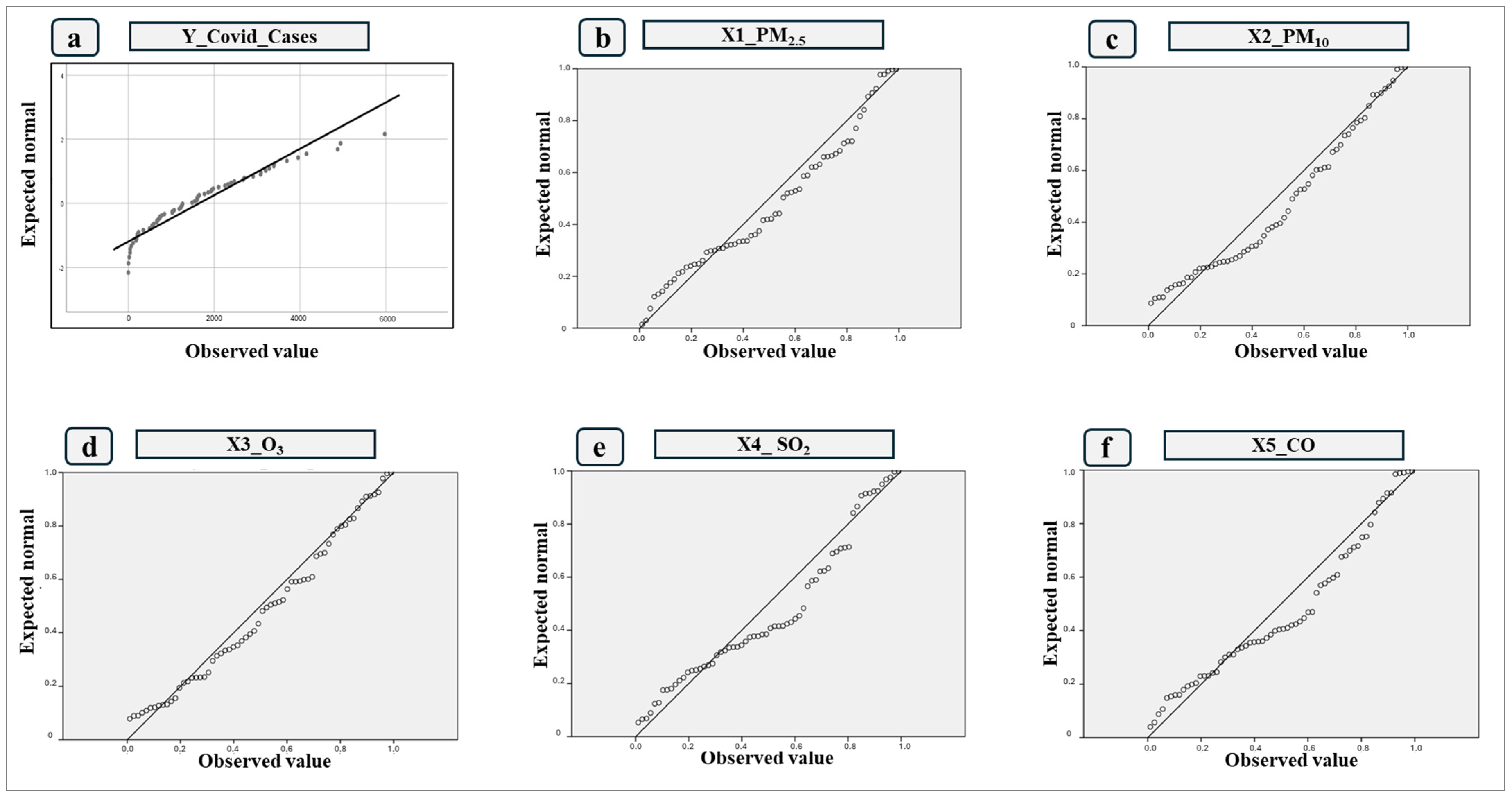
3.3. Statistical Tests
4. Discussion
5. Conclusions
Author Contributions
Funding
Institutional Review Board Statement
Informed Consent Statement
Data Availability Statement
Acknowledgments
Conflicts of Interest
References
- Gautam, S.; Hens, L. COVID-19: Impact by and on the Environment, Health and Economy. Environ. Dev. Sustain. 2020, 22, 4953–4954. [Google Scholar] [CrossRef] [PubMed]
- Khan, M.; Adil, S.F.; Alkhathlan, H.Z.; Tahir, M.N.; Saif, S.; Khan, M.; Khan, S.T. COVID-19: A Global Challenge with Old History, Epidemiology and Progress So Far. Molecules 2021, 26, 39. [Google Scholar] [CrossRef]
- Jin, Y.; Yang, H.; Ji, W.; Wu, W.; Chen, S.; Zhang, W.; Duan, G. Virology, Epidemiology, Pathogenesis, and Control of COVID-19. Viruses 2020, 12, 372. [Google Scholar] [CrossRef] [PubMed]
- Chow, E.J.; Uyeki, T.M.; Chu, H.Y. The Effects of the COVID-19 Pandemic on Community Respiratory Virus Activity. Nat. Rev. Microbiol. 2023, 21, 195–210. [Google Scholar] [CrossRef] [PubMed]
- Lima-Martínez, M.M.; Boada, C.C.; Madera-Silva, M.D.; Marín, W.; Contreras, M. COVID-19 and Diabetes: A Bidirectional Relationship. Clínica E Investig. En Arterioscler. (Engl. Ed.) 2021, 33, 151–157. [Google Scholar] [CrossRef]
- Zhao, J.; Kang, J.; Cao, X.; Bian, R.; Liu, G.; Hu, S.; Wu, X.; Li, C.; Wang, D.; Qi, W.; et al. Impacts of Comorbidity and Mental Shock on Organic Microcontaminants in Surface Water during and after the COVID-19 Pandemic in Wuhan (2019–2021), China. Engineering 2024, 37, 40–48. [Google Scholar] [CrossRef]
- Lai, A.; Chang, M.L.; O’Donnell, R.P.; Zhou, C.; Sumner, J.A.; Hsiai, T.K. Association of COVID-19 Transmission with High Levels of Ambient Contaminants: Initiation and Impact of the Inflammatory Response on Cardiopulmonary Disease. Sci. Total Environ. 2021, 779, 146464. [Google Scholar] [CrossRef]
- Espejo, W.; Celis, J.E.; Chiang, G.; Bahamonde, P. Environment and COVID-19: Contaminants, Impacts, Dissemination, Management and Recommendations for Facing Future Epidemic Threats. Sci. Total Environ. 2020, 747, 141314. [Google Scholar] [CrossRef]
- Padhan, R.; Prabheesh, K.P. The Economics of COVID-19 Pandemic: A Survey. Econ. Anal. Policy 2021, 70, 220–237. [Google Scholar] [CrossRef]
- Ismail, I.H.M.; Khatib, S.F.A.; Abbas, A.F.; Khan, M.N.A.A.; Sulimany, H.G.H.; Bazhair, A.H. Crisis and Environmental Governance Decisions amidst the COVID-19 Pandemic: Lessons from European Countries. Heliyon 2024, 10, e25673. [Google Scholar] [CrossRef]
- Shi, P.; Dong, Y.; Yan, H.; Zhao, C.; Li, X.; Liu, W.; He, M.; Tang, S.; Xi, S. Impact of Temperature on the Dynamics of the COVID-19 Outbreak in China. Sci. Total Environ. 2020, 728, 138890. [Google Scholar] [CrossRef] [PubMed]
- She, J.; Jiang, J.; Ye, L.; Hu, L.; Bai, C.; Song, Y. 2019 Novel Coronavirus of Pneumonia in Wuhan, China: Emerging Attack and Management Strategies. Clin. Transl. Med. 2020, 9, 19. [Google Scholar] [CrossRef] [PubMed]
- Ceccarelli, M.; Berretta, M.; Venanzi Rullo, E.; Nunnari, G.; Cacopardo, B. Differences and Similarities between Severe Acute Respiratory Syndrome (SARS)-CoronaVirus (CoV) and SARS-CoV-2. Would a Rose by Another Name Smell as Sweet? Eur. Rev. Med. Pharmacol. Sci. 2020, 24, 2781–2783. [Google Scholar] [CrossRef]
- Wu, J.T.; Leung, K.; Leung, G.M. Nowcasting and Forecasting the Potential Domestic and International Spread of the 2019-nCoV Outbreak Originating in Wuhan, China: A Modelling Study. Lancet 2020, 395, 689–697. [Google Scholar] [CrossRef] [PubMed]
- Domingo, J.L.; Marquès, M.; Rovira, J. Influence of Airborne Transmission of SARS-CoV-2 on COVID-19 Pandemic. A Review. Environ. Res. 2020, 188, 109861. [Google Scholar] [CrossRef] [PubMed]
- Sharma, G.D.; Tiwari, A.K.; Jain, M.; Yadav, A.; Srivastava, M. COVID-19 and Environmental Concerns: A Rapid Review. Renew. Sustain. Energy Rev. 2021, 148, 111239. [Google Scholar] [CrossRef] [PubMed]
- Barouki, R.; Kogevinas, M.; Audouze, K.; Belesova, K.; Bergman, A.; Birnbaum, L.; Boekhold, S.; Denys, S.; Desseille, C.; Drakvik, E.; et al. The COVID-19 Pandemic and Global Environmental Change: Emerging Research Needs. Environ. Int. 2021, 146, 106272. [Google Scholar] [CrossRef]
- Zhong, J.; Zhang, X.; Dong, Y.; Wang, Y.; Liu, C.; Wang, J.; Zhang, Y.; Che, H. Feedback Effects of Boundary-Layer Meteorological Factors on Cumulative Explosive Growth of PM2.5 during Winter Heavy Pollution Episodes in Beijing from 2013 to 2016. Atmos. Chem. Phys. 2018, 18, 247–258. [Google Scholar] [CrossRef]
- Karan, A.; Ali, K.; Teelucksingh, S.; Sakhamuri, S. The Impact of Air Pollution on the Incidence and Mortality of COVID-19. Glob. Health Res. Policy 2020, 5, 39. [Google Scholar] [CrossRef]
- Woodby, B.; Arnold, M.M.; Valacchi, G. SARS-CoV-2 Infection, COVID-19 Pathogenesis, and Exposure to Air Pollution: What Is the Connection? Ann. N. Y. Acad. Sci. 2021, 1486, 15–38. [Google Scholar] [CrossRef]
- O’Reilly, K.M.; Auzenbergs, M.; Jafari, Y.; Liu, Y.; Flasche, S.; Lowe, R. Effective Transmission across the Globe: The Role of Climate in COVID-19 Mitigation Strategies. Lancet Planet Health 2020, 4, e172. [Google Scholar] [CrossRef] [PubMed]
- Ren, S.; Du, M.; Bu, W.; Lin, T. Assessing the Impact of Economic Growth Target Constraints on Environmental Pollution: Does Environmental Decentralization Matter? J. Environ. Manag. 2023, 336, 117618. [Google Scholar] [CrossRef] [PubMed]
- Yan, C.; Li, H.; Li, Z. Environmental Pollution and Economic Growth: Evidence of SO2 Emissions and GDP in China. Front. Public Health 2022, 10, 930780. [Google Scholar] [CrossRef] [PubMed]
- Wan, Q.; Shi, D. Smarter and Cleaner: The Digital Economy and Environmental Pollution. China World Econ. 2022, 30, 59–85. [Google Scholar] [CrossRef]
- Shakoor, A.; Chen, X.; Farooq, T.H.; Shahzad, U.; Ashraf, F.; Rehman, A.; Sahar, N.E.; Yan, W. Fluctuations in Environmental Contaminants and Air Quality during the Lockdown in the USA and China: Two Sides of COVID-19 Pandemic. Air Qual. Atmos. Health 2020, 13, 1335–1342. [Google Scholar] [CrossRef]
- Li, A.; Zhou, Q.; Xu, Q. Prospects for Ozone Pollution Control in China: An Epidemiological Perspective. Environ. Pollut. 2021, 285, 117670. [Google Scholar] [CrossRef]
- Meo, S.A.; Almutairi, F.J.; Abukhalaf, A.A.; Usmani, A.M. Effect of Green Space Environment on Air Contaminants PM2.5, PM10, CO, O3, and Incidence and Mortality of SARS-CoV-2 in Highly Green and Less-Green Countries. Int. J. Environ. Res. Public Health 2021, 18, 13151. [Google Scholar] [CrossRef]
- Suzuki, T.; Hidaka, T.; Kumagai, Y.; Yamamoto, M. Environmental Contaminants and the Immune Response. Nat. Immunol. 2020, 21, 1486–1495. [Google Scholar] [CrossRef]
- Faustini, A.; Stafoggia, M.; Colais, P.; Berti, G.; Bisanti, L.; Cadum, E.; Cernigliaro, A.; Mallone, S.; Scarnato, C.; Forastiere, F. Air Pollution and Multiple Acute Respiratory Outcomes. Eur. Respir. J. 2013, 42, 304. [Google Scholar] [CrossRef]
- Filippini, T.; Rothman, K.J.; Cocchio, S.; Narne, E.; Mantoan, D.; Saia, M.; Goffi, A.; Ferrari, F.; Maffeis, G.; Orsini, N.; et al. Associations between Mortality from COVID-19 in Two Italian Regions and Outdoor Air Pollution as Assessed through Tropospheric Nitrogen Dioxide. Sci. Total Environ. 2021, 760, 143355. [Google Scholar] [CrossRef]
- Wang, B.; Liu, J.; Fu, S.; Xu, X.; Li, L.; Ma, Y.; Zhou, J.; Yaoc, J.; Liu, X.; Zhang, X.; et al. An Effect Assessment of Airborne Particulate Matter Pollution on COVID-19: A Multi-City Study in China. medRxiv 2020. [Google Scholar] [CrossRef]
- Toulkeridis, T.; Seqqat, R.; Torres, A.M.; Ortiz-Prado, E.; Debut, A. COVID-19: Pandemic in Ecuador: A Health Disparities Perspective. Rev. De Salud Pública 2023, 22, 304–308. [Google Scholar] [CrossRef] [PubMed]
- Pansini, R.; Fornacca, D. COVID-19 Higher Mortality in Chinese Regions with Chronic Exposure to Lower Air Quality. Front. Public Health 2021, 8, 597753. [Google Scholar] [CrossRef] [PubMed]
- Soiza, R.L.; Niven, M. The COVID-19 Vaccine Gamble—By Luck They Worked in the Oldest, Frailest People. Rev. Esp. De Geriatr. Y Gerontol. 2024, 59, 101427. [Google Scholar] [CrossRef] [PubMed]
- Feng, B.; Wang, W.; Zhou, B.; Zhou, Y.; Wang, J.; Liao, F. Mapping the Long-Term Associations between Air Contaminants and COVID-19 Risks and the Attributable Burdens in the Continental United States. Environ. Pollut. 2023, 324, 121418. [Google Scholar] [CrossRef]
- Chen, Z.; Sidell, M.A.; Huang, B.Z.; Chow, T.; Eckel, S.P.; Martinez, M.P.; Gheissari, R.; Lurmann, F.; Thomas, D.C.; Gilliland, F.D. Ambient Air Contaminant Exposures and COVID-19 Severity and Mortality in a Cohort of Patients with COVID-19 in Southern California. Am. J. Respir. Crit. Care Med. 2022, 206, 440–448. [Google Scholar] [CrossRef]
- Zalakeviciute, R.; Vasquez, R.; Bayas, D.; Buenano, A.; Mejia, D.; Zegarra, R.; Diaz, V.; Lamb, B. Drastic Improvements in Air Quality in Ecuador during the COVID-19 Outbreak. Aerosol Air Qual. Res. 2020, 20, 1783–1792. [Google Scholar] [CrossRef]
- Coccia, M. An Index to Quantify Environmental Risk of Exposure to Future Epidemics of the COVID-19 and Similar Viral Agents: Theory and Practice. Environ. Res. 2020, 191, 110155. [Google Scholar] [CrossRef]
- Bashir, M.F.; Ma, B.; Bilal; Komal, B.; Bashir, M.A.; Tan, D.; Bashir, M. Correlation between Climate Indicators and COVID-19 Pandemic in New York, USA. Sci. Total Environ. 2020, 728, 138835. [Google Scholar] [CrossRef]
- Bashir, M.F.; MA, B.J.; Bilal; Komal, B.; Bashir, M.A.; Farooq, T.H.; Iqbal, N.; Bashir, M. Correlation between Environmental Pollution Indicators and COVID-19 Pandemic: A Brief Study in Californian Context. Environ. Res. 2020, 187, 109652. [Google Scholar] [CrossRef]
- Meo, S.A.; Abukhalaf, A.A.; Alomar, A.A.; Alessa, O.M.; Sami, W.; Klonoff, D.C. Effect of Environmental Contaminants PM-2.5, Carbon Monoxide, and Ozone on the Incidence and Mortality of SARS-COV-2 Infection in Ten Wildfire Affected Counties in California. Sci. Total Environ. 2021, 757, 143948. [Google Scholar] [CrossRef] [PubMed]
- Bilal; Bashir, M.F.; Benghoul, M.; Numan, U.; Shakoor, A.; Komal, B.; Bashir, M.A.; Bashir, M.; Tan, D. Environmental Pollution and COVID-19 Outbreak: Insights from Germany. Air Qual. Atmos. Health 2020, 13, 1385–1394. [Google Scholar] [CrossRef]
- Lembo, R.; Landoni, G.; Cianfanelli, L.; Frontera, A. Air Contaminants and SARS-CoV-2 in 33 European Countries. Acta Biomed. 2021, 92, e2021166. [Google Scholar] [CrossRef]
- Bilal; Bashir, M.F.; Komal, B.; Benghoul, M.; Bashir, M.A.; Tan, D. Nexus Between the COVID-19 Dynamics and Environmental Pollution Indicators in South America. Risk Manag. Healthc. Policy 2021, 14, 67–74. [Google Scholar] [CrossRef]
- Morantes, G.; Rincon, G.; Chanaba, A.; Jones, B. Addressing Air Quality Challenges: Comparative Analysis of Barcelona, Venezuela, and Guayaquil, Ecuador. Heliyon 2024, 10, e29211. [Google Scholar] [CrossRef] [PubMed]
- Parra, R.; Espinoza, C. Insights for Air Quality Management from Modeling and Record Studies in Cuenca, Ecuador. Atmosphere 2020, 11, 998. [Google Scholar] [CrossRef]
- Borja-Urbano, S.; Rodríguez-Espinosa, F.; Luna-Ludeña, M.; Toulkeridis, T. Valuing the Impact of Air Pollution in Urban Residence Using Hedonic Pricing and Geospatial Analysis, Evidence from Quito, Ecuador. Air Soil Water Res. 2021, 14, 11786221211053277. [Google Scholar] [CrossRef]
- Cornejo-Vásconez, D.; Rodríguez-Espinosa, F.; Guasumba, A.; Toulkeridis, T. Contrasting Effects of Air Pollution Assessment in Two Areas of the Quito Metropolitan District, Ecuador. La Granja 2022, 36, 98–112. [Google Scholar] [CrossRef]
- Instituto Nacional de Estadísticas y Censos (INEC) Información Demográfica. Available online: https://www.ecuadorencifras.gob.ec/institucional/home/ (accessed on 12 April 2022).
- Valencia, V.H.; Hertel, O.; Ketzel, M.; Levin, G. Modeling Urban Background Air Pollution in Quito, Ecuador. Atmos. Pollut. Res. 2020, 11, 646–666. [Google Scholar] [CrossRef]
- Laña, I.; Del Ser, J.; Padró, A.; Vélez, M.; Casanova-Mateo, C. The Role of Local Urban Traffic and Meteorological Conditions in Air Pollution: A Data-Based Case Study in Madrid, Spain. Atmos. Environ. 2016, 145, 424–438. [Google Scholar] [CrossRef]
- Zambrano-Monserrate, M.A.; Ruano, M.A. Has Air Quality Improved in Ecuador during the COVID-19 Pandemic? A Parametric Analysis. Air Qual. Atmos. Health 2020, 13, 929–938. [Google Scholar] [CrossRef] [PubMed]
- Montoya, O.L.Q.; Niño-Ruiz, E.D.; Pinel, N. On the Mathematical Modelling and Data Assimilation for Air Pollution Assessment in the Tropical Andes. Environ. Sci. Pollut. Res. 2020, 27, 35993–36012. [Google Scholar] [CrossRef] [PubMed]
- Martínez Burgos, W.J.; Lima Serra, J.; Parody Muñoz, A.E.; Wedderhoff Herrmann, L.; Gallego Cartagena, E.; Paternina-Arboleda, C.; Thomas Soccol, V.; Santiago Martínez, V.J.; Soccol, C.R. Analysis on Air Pollution in South America during the Propagation of COVID-19. Rev. Técnica De La Fac. De Ingeniería. Univ. Del Zulia 2023, 46, e234612. [Google Scholar] [CrossRef]
- Gómez Manotoa, O.X. The Effect of Air Pollution, Meteorology and HumanMobility on the Mortality of COVID-19 in Ecuador. Master’s Thesis, Dalarna University, Dalarna County, Sweden, 2022. [Google Scholar]
- Gupta, A.; Bherwani, H.; Gautam, S.; Anjum, S.; Musugu, K.; Kumar, N.; Anshul, A.; Kumar, R. Air Pollution Aggravating COVID-19 Lethality? Exploration in Asian Cities Using Statistical Models. Environ. Dev. Sustain. 2021, 23, 6408–6417. [Google Scholar] [CrossRef] [PubMed]
- Naik, P.A.; Zu, J.; Ghori, M.B.; Naik, M. Modeling the Effects of the Contaminated Environments on COVID-19 Transmission in India. Results Phys. 2021, 29, 104774. [Google Scholar] [CrossRef]
- Simarda, L.; Lestari, D.; Novkaniza, F.; Haqqi, A.; Devila, S. Modeling the Number of Toddler Pneumonia Sufferers in DKI Jakarta Using Negative Binomial Regression. Asian J. Manag. Entrep. Soc. Sci. 2024, 4, 622–643. [Google Scholar]
- Gobierno Autónomo Descentralizado del Distrito Metropolitano de Quito. Plan Metropolitano de Ordenamiento Territorial 2012–2022; Municipio del Distrito Metropolitano de Quito: Quito, Ecuador, 2022; pp. 1–400. [Google Scholar]
- Instituto Nacional de Estadísticas y Censos (INEC). Estadísticas de Defunciones Generales en Ecuador; Instituto Nacional de Estadísticas y Censos: Quito, Ecuador, 2020. [Google Scholar]
- Ministerio de Salud Pública del Ecuador Información COVID-19 Con Fines de Análisis Estadísticos e Investigación Científica. Available online: https://app.powerbi.com/view?r=eyJrIjoiZDBmZGQwNTEtMWE2NS00NDM4LTk5MDEtNGJkNDZiNTM3MjU1IiwidCI6IjcwNjIyMGRiLTliMjktNGU5MS1hODI1LTI1NmIwNmQyNjlmMyJ9&pageName=ReportSection042264456352cb264131 (accessed on 4 April 2023).
- Toulkeridis, T.; Ortiz-Prado, E.; Chunga-Moran, J.; Heredia-R, M.; Debut, A. Excess Mortality Data Analysis of COVID-19 Infections and Fatalities in Ecuador. Uniciencia 2022, 36, 280–289. [Google Scholar] [CrossRef]
- Quiroz, D.; Guanochanga, B.; Fuertes, W.; Benítez, D.; Torres, J.; Tapia, F.; Toulkkeridis, T. Visual Analytics for the Reduction of Air Pollution on Real-Time Data Derived from WSN; Springer: Berlin/Heidelberg, Germany, 2020; pp. 109–119. [Google Scholar]
- Environmental Protection Agency (EPA). Health-Based Categories of Air Quality. Available online: https://www.epa.gov/wildfire-smoke-course/wildfire-smoke-and-your-patients-health-air-quality-index (accessed on 4 April 2023).
- Wijekularathna, D.K.; Manage, A.B.W.; Scariano, S.M. Power Analysis of Several Normality Tests: A Monte Carlo Simulation Study. Commun. Stat.—Simul. Comput. 2020, 51, 757–773. [Google Scholar] [CrossRef]
- Souza, R.R.d.; Toebe, M.; Mello, A.C.; Bittencourt, K.C. Sample Size and Shapiro-Wilk Test: An Analysis for Soybean Grain Yield. Eur. J. Agron. 2023, 142, 126666. [Google Scholar] [CrossRef]
- Alsaqr, A.M. Remarks on the Use of Pearson’s and Spearman’s Correlation Coefficients in Assessing Relationships in Ophthalmic Data. Afr. Vis. Eye Health 2021, 80, a612. [Google Scholar] [CrossRef]
- Arreguín, M.; Hernández, A.; Sampayo, S.; Taco, P. Fundamentos Matemáticos de Regresión Lineal Parte III; Casa Editora del Polo: Manta, Ecuador, 2024; ISBN 978-9942-621-66-5. [Google Scholar]
- Ortiz-Prado, E.; Simbaña-Rivera, K.; Gómez-Barreno, L.; Rubio-Neira, M.; Guaman, L.P.; Kyriakidis, N.C.; Muslin, C.; Jaramillo, A.M.G.; Barba-Ostria, C.; Cevallos-Robalino, D. Clinical, Molecular, and Epidemiological Characterization of the SARS-CoV-2 Virus and the Coronavirus Disease 2019 (COVID-19), a Comprehensive Literature Review. Diagn. Microbiol. Infect. Dis. 2020, 98, 115094. [Google Scholar] [CrossRef] [PubMed]
- Ortiz-Prado, E.; Izquierdo-Condoy, J.S.; Fernandez-Naranjo, R.; Vasconez, J.; Dávila Rosero, M.G.; Revelo-Bastidas, D.; Herrería-Quiñonez, D.; Rubio-Neira, M. The Deadly Impact of COVID-19 among Children from Latin America: The Case of Ecuador. Front. Pediatr. 2023, 11, 1060311. [Google Scholar] [CrossRef] [PubMed]
- Fuertes, W.; Carrera, D.; Villacís, C.; Toulkeridis, T.; Galárraga, F.; Torres, E.; Aules, H. Distributed System as Internet of Things for a New Low-Cost, Air Pollution Wireless Monitoring on Real Time. In Proceedings of the 2015 IEEE/ACM 19th International Symposium on Distributed Simulation and Real Time Applications (DS-RT), Chengdu, China, 14–16 October 2015; pp. 58–67. [Google Scholar]
- Guanochanga, B.; Cachipuendo, R.; Fuertes, W.; Benítez, D.S.; Toulkeridis, T.; Torres, J.; Villacís, C.; Tapia, F.; Meneses, F. Towards a Real-Time Air Pollution Monitoring Systems Implemented Using Wireless Sensor Networks: Preliminary Results. In Proceedings of the 2018 IEEE Colombian Conference on Communications and Computing (COLCOM), Medellin, Colombia, 16–18 May 2018; pp. 1–4. [Google Scholar]
- Nakada, L.Y.K.; Urban, R.C. COVID-19 Pandemic: Impacts on the Air Quality during the Partial Lockdown in São Paulo State, Brazil. Sci. Total Environ. 2020, 730, 139087. [Google Scholar] [CrossRef] [PubMed]
- Zambrano-Monserrate, M.A.; Ruano, M.A.; Sanchez-Alcalde, L. Indirect Effects of COVID-19 on the Environment. Sci. Total Environ. 2020, 728, 138813. [Google Scholar] [CrossRef]
- Jalloul, H.; Pinto, A.D.; Choi, J. Investigating the Variance in the Adaptation Pathways of U.S. Municipal Solid Waste Management Systems to the COVID-19 Pandemic. Sustain. Cities Soc. 2024, 101, 105080. [Google Scholar] [CrossRef]
- Zhang, Q.; Jiang, X.; Tong, D.; Davis, S.J.; Zhao, H.; Geng, G.; Feng, T.; Zheng, B.; Lu, Z.; Streets, D.G.; et al. Transboundary Health Impacts of Transported Global Air Pollution and International Trade. Nature 2017, 543, 705–709. [Google Scholar] [CrossRef]
- Rodríguez-Urrego, D.; Rodríguez-Urrego, L. Air Quality during the COVID-19: PM2.5 Analysis in the 50 Most Polluted Capital Cities in the World. Environ. Pollut. 2020, 266, 115042. [Google Scholar] [CrossRef]
- Molina, M.J.; Molina, L.T. Megacities and Atmospheric Pollution. J. Air Waste Manag. Assoc. 2004, 54, 644–680. [Google Scholar] [CrossRef]
- Paucar, N.E.; Kiggins, P.; Blad, B.; De Jesus, K.; Afrin, F.; Pashikanti, S.; Sharma, K. Ionic Liquids for the Removal of Sulfur and Nitrogen Compounds in Fuels: A Review. Environ. Chem. Lett. 2021, 19, 1205–1228. [Google Scholar] [CrossRef]
- Cohen, A.J.; Brauer, M.; Burnett, R.; Anderson, H.R.; Frostad, J.; Estep, K.; Balakrishnan, K.; Brunekreef, B.; Dandona, L.; Dandona, R.; et al. Estimates and 25-Year Trends of the Global Burden of Disease Attributable to Ambient Air Pollution: An Analysis of Data from the Global Burden of Diseases Study 2015. Lancet 2017, 389, 1907–1918. [Google Scholar] [CrossRef]
- Fan, Y.; Ding, X.; Hang, J.; Ge, J. Characteristics of Urban Air Pollution in Different Regions of China between 2015 and 2019. Build. Environ. 2020, 180, 107048. [Google Scholar] [CrossRef]
- Conticini, E.; Frediani, B.; Caro, D. Can Atmospheric Pollution Be Considered a Co-Factor in Extremely High Level of SARS-CoV-2 Lethality in Northern Italy? Environ. Pollut. 2020, 261, 114465. [Google Scholar] [CrossRef] [PubMed]
- Carugno, M.; Dentali, F.; Mathieu, G.; Fontanella, A.; Mariani, J.; Bordini, L.; Milani, G.P.; Consonni, D.; Bonzini, M.; Bollati, V.; et al. PM10 Exposure Is Associated with Increased Hospitalizations for Respiratory Syncytial Virus Bronchiolitis among Infants in Lombardy, Italy. Environ. Res. 2018, 166, 452–457. [Google Scholar] [CrossRef] [PubMed]
- Glencross, D.A.; Ho, T.-R.; Camiña, N.; Hawrylowicz, C.M.; Pfeffer, P.E. Air Pollution and Its Effects on the Immune System. Free Radic. Biol. Med. 2020, 151, 56–68. [Google Scholar] [CrossRef] [PubMed]
- Lee, B.-J.; Kim, B.; Lee, K. Air Pollution Exposure and Cardiovascular Disease. Toxicol. Res. 2014, 30, 71–75. [Google Scholar] [CrossRef]
- Jenwitheesuk, K.; Peansukwech, U.; Jenwitheesuk, K. Accumulated Ambient Air Pollution and Colon Cancer Incidence in Thailand. Sci. Rep. 2020, 10, 17765. [Google Scholar] [CrossRef]
- Abraham, E.; Rousseaux, S.; Agier, L.; Giorgis-Allemand, L.; Tost, J.; Galineau, J.; Hulin, A.; Siroux, V.; Vaiman, D.; Charles, M.-A.; et al. Pregnancy Exposure to Atmospheric Pollution and Meteorological Conditions and Placental DNA Methylation. Environ. Int. 2018, 118, 334–347. [Google Scholar] [CrossRef]
- Chen, C.; Wang, J.; Kwong, J.; Kim, J.; van Donkelaar, A.; Martin, R.V.; Hystad, P.; Su, Y.; Lavigne, E.; Kirby-McGregor, M.; et al. Association between Long-Term Exposure to Ambient Air Pollution and COVID-19 Severity: A Prospective Cohort Study. CMAJ 2022, 194, E693. [Google Scholar] [CrossRef]
- Mejía, C.D.; Faican, G.; Zalakeviciute, R.; Matovelle, C.; Bonilla, S.; Sobrino, J.A. Spatio-Temporal Evaluation of Air Pollution Using Ground-Based and Satellite Data during COVID-19 in Ecuador. Heliyon 2024, 10, e28152. [Google Scholar] [CrossRef]
- Notari, A.; Torrieri, G. COVID-19 Transmission Risk Factors. Pathog. Glob. Health 2022, 116, 146–177. [Google Scholar] [CrossRef]
- Zhu, Y.; Xie, J.; Huang, F.; Cao, L. Association between Short-Term Exposure to Air Pollution and COVID-19 Infection: Evidence from China. Sci. Total Environ. 2020, 727, 138704. [Google Scholar] [CrossRef] [PubMed]
- Ogen, Y. Assessing Nitrogen Dioxide (NO2) Levels as a Contributing Factor to Coronavirus (COVID-19) Fatality. Sci. Total Environ. 2020, 726, 138605. [Google Scholar] [CrossRef] [PubMed]
- Shafiev, T. Development of a Mathematical Model and an Efficient Computational Algorithm for Predicting Atmospheric Pollution in Industrial Regions. AIP Conf. Proc. 2024, 3004, 060005. [Google Scholar] [CrossRef]
- Becchetti, L.; Beccari, G.; Conzo, G.; Conzo, P.; De Santis, D.; Salustri, F. Air Quality and COVID-19 Adverse Outcomes: Divergent Views and Experimental Findings. Environ. Res. 2021, 193, 110556. [Google Scholar] [CrossRef]
- Hernandez-Vargas, E.A.; Velasco-Hernandez, J.X. In-Host Mathematical Modelling of COVID-19 in Humans. Annu. Rev. Control 2020, 50, 448–456. [Google Scholar] [CrossRef]
- Bouchnita, A.; Jebrane, A. A Multi-Scale Model Quantifies the Impact of Limited Movement of the Population and Mandatory Wearing of Face Masks in Containing the COVID-19 Epidemic in Morocco. Math. Model. Nat. Phenom. 2020, 15, 31. [Google Scholar] [CrossRef]
- Chaharborj, S.S.; Asl, J.H.; Mohammadi, B. Optimal Control Strategy to Control Pandemic COVID-19 Using MSILIHR_V Model. Math. Model. Nat. Phenom. 2022, 17, 23. [Google Scholar] [CrossRef]
- Neiderud, C.-J. How Urbanization Affects the Epidemiology of Emerging Infectious Diseases. Infect. Ecol. Epidemiol. 2015, 5, 27060. [Google Scholar] [CrossRef]
- Medina-Gómez, O.S. Impact of the COVID-19 Pandemic on Cardiovascular Disease Mortality Trends in Mexico, 2000–2022. Semergen 2024, 50, 102170. [Google Scholar] [CrossRef]
- Jensen, B.C.S.; Engsig-Karup, A.P.; Knudsen, K. Efficient Uncertainty Quantification and Variance-Based Sensitivity Analysis in Epidemic Modelling Using Polynomial Chaos. Math. Model. Nat. Phenom. 2022, 17, 8. [Google Scholar] [CrossRef]
- Samui, P.; Mondal, J.; Khajanchi, S. A Mathematical Model for COVID-19 Transmission Dynamics with a Case Study of India. Chaos Solitons Fractals 2020, 140, 110173. [Google Scholar] [CrossRef] [PubMed]
- Gumel, A.B.; Iboi, E.A.; Ngonghala, C.N.; Elbasha, E.H. A Primer on Using Mathematics to Understand COVID-19 Dynamics: Modeling, Analysis and Simulations. Infect. Dis. Model. 2021, 6, 148–168. [Google Scholar] [CrossRef] [PubMed]
- Kucharski, A.J.; Russell, T.W.; Diamond, C.; Liu, Y.; Edmunds, J.; Funk, S.; Eggo, R.M.; Sun, F.; Jit, M.; Munday, J.D.; et al. Early Dynamics of Transmission and Control of COVID-19: A Mathematical Modelling Study. Lancet Infect. Dis. 2020, 20, 553–558. [Google Scholar] [CrossRef] [PubMed]


















| Category | AQI | Air Contaminants | ||||
|---|---|---|---|---|---|---|
| PM10 (µg/m³) | PM2.5 (µg/m³) | O3 (µg/m³) | SO2 (µg/m³) | CO (mg/m³) | ||
| Good | 0–50 | ≤54 | ≤12.0 | ≤180 | ≤20 | ≤4.4 |
| Moderate | 51–100 | 55–154 | 12.1–35.4 | 181–240 | 21–50 | 4.5–9.0 |
| Unhealthy for Sensitive individuals | 101–150 | 155–254 | 35.5–55.4 | 241–300 | 51–150 | 9.1–15.0 |
| Unhealthy | 151–200 | 255–354 | 55.5–150.4 | 301–400 | 151–200 | >15.0 |
| Very Unhealthy | 201–300 | 355–424 | 150.5–250.4 | 400–500 | 201–300 | - |
| Hazardous | >300 | >424 | >250.4 | >500 | >300 | - |
| Kolmogorov–Smirnov a | Shapiro–Wilk | |||||
|---|---|---|---|---|---|---|
| Statistic | gl | Sig. | Statistic | Gl | Sig. | |
| Y_Covid_Cases | 0.107 | 64 | 0.101 | 0.9412 | 64 | 0.1854 |
| X1_PM2.5 | 0.064 | 64 | 0.057 | 0.9734 | 64 | 0.0789 |
| X2_PM10 | 0.065 | 64 | 0.605 | 0.9784 | 64 | 0.0893 |
| X3_O3 | 0.073 | 64 | 0.401 | 0.9862 | 64 | 0.0623 |
| X4_SO2 | 0.1351 | 64 | 0.005 | 0.9471 | 64 | 0.0002 |
| X5_CO | 0.0732 | 64 | 0.446 | 0.9804 | 64 | 0.1086 |
| SPSS | ||||
|---|---|---|---|---|
| Model | R | R Squared | R Squared Adjusted | Error |
| X1_PM2.5 | 0.463 a | 0.214 | 0.201 | 1235.42 |
| X2_PM10 | 0.288 a | 0.083 | 0.068 | 1334.69 |
| X3_O3 | 0.264 a | 0.070 | 0.055 | 1343.99 |
| X4_SO2 | 0.500 a | 0.250 | 0.238 | 1207.10 |
| X5_CO | 0.378 a | 0.148 | 0.129 | 1290.06 |
Disclaimer/Publisher’s Note: The statements, opinions and data contained in all publications are solely those of the individual author(s) and contributor(s) and not of MDPI and/or the editor(s). MDPI and/or the editor(s) disclaim responsibility for any injury to people or property resulting from any ideas, methods, instructions or products referred to in the content. |
© 2024 by the authors. Licensee MDPI, Basel, Switzerland. This article is an open access article distributed under the terms and conditions of the Creative Commons Attribution (CC BY) license (https://creativecommons.org/licenses/by/4.0/).
Share and Cite
Hernández-Allauca, A.D.; Pérez Castillo, C.G.; Villacis Uvidia, J.F.; Abdo-Peralta, P.; Frey, C.; Ati-Cutiupala, G.M.; Ureña-Moreno, J.; Toulkeridis, T. Relationship between COVID-19 Cases and Environmental Contaminants in Quito, Ecuador. Int. J. Environ. Res. Public Health 2024, 21, 1336. https://doi.org/10.3390/ijerph21101336
Hernández-Allauca AD, Pérez Castillo CG, Villacis Uvidia JF, Abdo-Peralta P, Frey C, Ati-Cutiupala GM, Ureña-Moreno J, Toulkeridis T. Relationship between COVID-19 Cases and Environmental Contaminants in Quito, Ecuador. International Journal of Environmental Research and Public Health. 2024; 21(10):1336. https://doi.org/10.3390/ijerph21101336
Chicago/Turabian StyleHernández-Allauca, Andrea Damaris, Carlos Gabriel Pérez Castillo, Juan Federico Villacis Uvidia, Paula Abdo-Peralta, Catherine Frey, Guicela Margoth Ati-Cutiupala, Juan Ureña-Moreno, and Theofilos Toulkeridis. 2024. "Relationship between COVID-19 Cases and Environmental Contaminants in Quito, Ecuador" International Journal of Environmental Research and Public Health 21, no. 10: 1336. https://doi.org/10.3390/ijerph21101336
APA StyleHernández-Allauca, A. D., Pérez Castillo, C. G., Villacis Uvidia, J. F., Abdo-Peralta, P., Frey, C., Ati-Cutiupala, G. M., Ureña-Moreno, J., & Toulkeridis, T. (2024). Relationship between COVID-19 Cases and Environmental Contaminants in Quito, Ecuador. International Journal of Environmental Research and Public Health, 21(10), 1336. https://doi.org/10.3390/ijerph21101336

