Pacing Strategy Models in 1500 m Male Freestyle Long-Course Swimming on the Basis of the All-Time Ranking
Abstract
1. Introduction
2. Materials and Methods
2.1. Subjects
2.2. Statistical Analysis
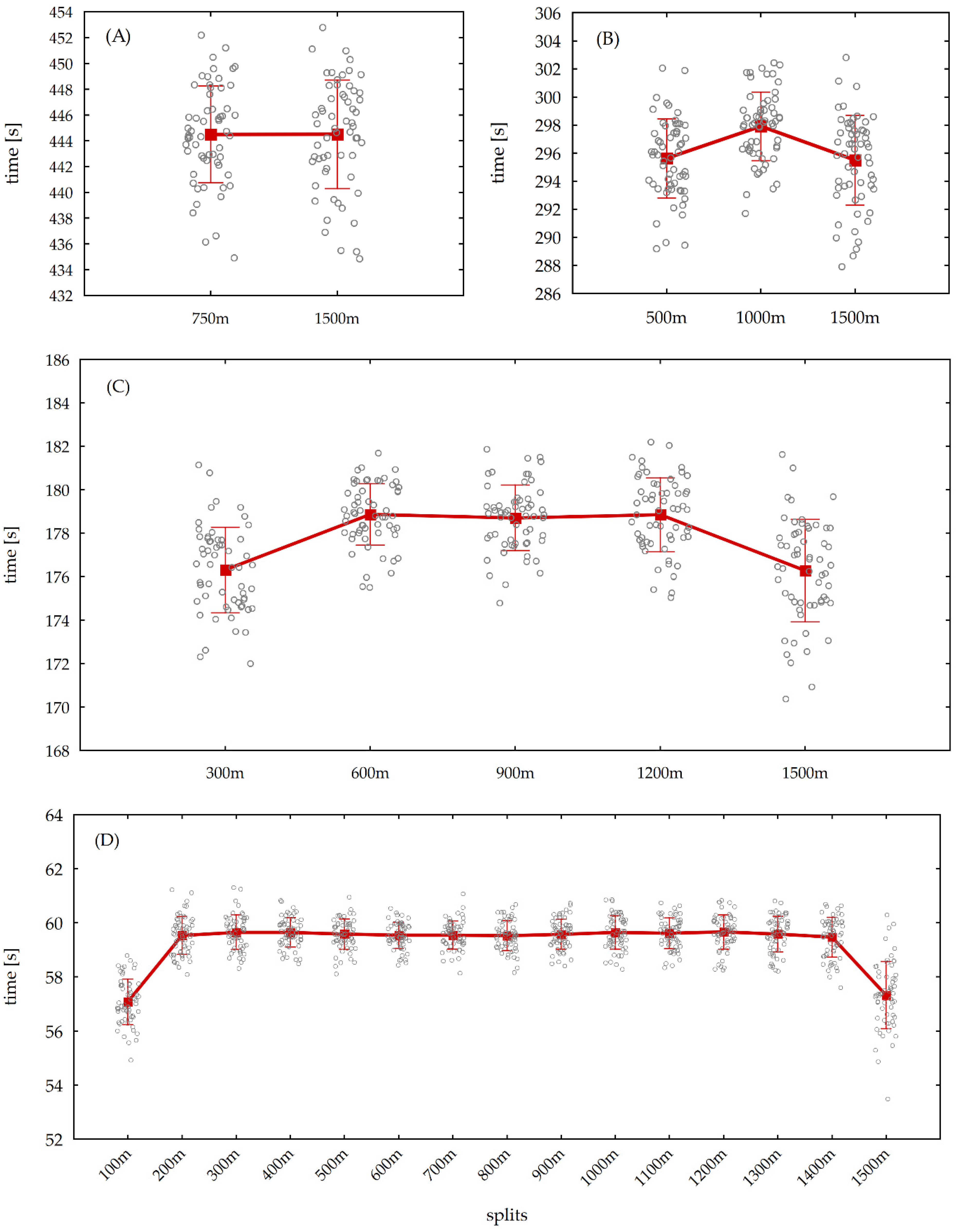
3. Results
4. Discussion
5. Conclusions
Author Contributions
Funding
Institutional Review Board Statement
Informed Consent Statement
Data Availability Statement
Conflicts of Interest
References
- Abbiss, C.R.; Laursen, P.B. Describing and understanding pacing strategies during athletic competition. Sport. Med. 2008, 38, 239–252. [Google Scholar] [CrossRef]
- Illidi, C.R.; Stang, J.; Melau, J.; Hisdal, J.; Stensrud, T. Does Cold-Water Endurance Swimming Affect Pulmonary Function in Healthy Adults? Sports 2021, 9, 7. [Google Scholar] [CrossRef] [PubMed]
- Foster, C.; Dekoning, J.J.; Hettinga, F.; Lampen, J.; Dodge, C.; Bobbert, M.; Porcari, J.P. Effect of competitive distance on energy expenditure during simulated competition. Int. J. Sport. Med. 2004, 25, 198–204. [Google Scholar] [CrossRef]
- McGibbon, K.E.; Pyne, D.B.; Shephard, M.E.; Thompson, K.G. Pacing in Swimming: A Systematic Review. Sport. Med. 2018, 48, 1621–1633. [Google Scholar] [CrossRef]
- Tucker, R.; Noakes, T.D. The physiological regulation of pacing strategy during exercise: A critical review. Br. J. Sport. Med. 2009, 43, 1–9. [Google Scholar] [CrossRef]
- Thompson, K.G.; Haljand, R.; Lindley, M. A Comparison of Selected Kinematic Variables Between Races in National to Elite Male 200 m Breaststroke Swimmers. J. Swim. Res. 2004, 16, 6–10. [Google Scholar]
- Stanula, A.; Strzała, M.; Ostrowski, A.; Niegot, M.; Sadowski, W. Rozkład tempa pływania na dystansie 200 m stylem dowolnym w latach 2000–2012 / Distribution of swimming pace on a distance of 200 m freestyle in the years 2000–2012. In Ratownictwo Wodne, Sport Pływacki i Kultura Fizyczna w Teorii i Praktyce/Water Rescue Service, Swimming and Physical Culture in the Theory and Practice; Akademia Wychowania Fizycznego i Sportu im. Jędrzeja Śniadeckiego: Gdańsk, Poland, 2015; pp. 188–201. [Google Scholar]
- Lipińska, P. Kinematic Tactics in the Women’s 800 m Freestyle Swimming Final at the Beijing 2008 Olympic Games. Balt. J. Health Phys. Act. 2009, 1, 86–92. [Google Scholar] [CrossRef]
- Lipinska, P.; Allen, S.V.; Hopkins, W.G. Relationships between pacing parameters and performance of elite male 1500-m swimmers. Int. J. Sport. Physiol. Perform. 2016, 11, 159–163. [Google Scholar] [CrossRef]
- Morouço, P.G.; Marinho, D.A.; Izquierdo, M.; Neiva, H.; Marques, M.C. Relative Contribution of Arms and Legs in 30 s Fully Tethered Front Crawl Swimming. BioMed Res. Int. 2015, 2015, 563206. [Google Scholar] [CrossRef]
- Wakayoshi, K.; D’Acquisto, L.J.; Cappaert, J.M.; Troup, J.P. Relationship between oxygen uptake, stroke rate and swimming velocity in competitive swimming. Int. J. Sport. Med. 1995, 16, 19–23. [Google Scholar] [CrossRef]
- Sanders, R.H.; Psycharakis, S.G. Rolling rhythms in front crawl swimming with six-beat kick. J. Biomech. 2009, 42, 273–279. [Google Scholar] [CrossRef] [PubMed]
- de Oliveira, G.T.; Werneck, F.Z.; Coelho, E.F.; Simim, M.A.d.M.; Penna, E.M.; Ferreira, R.M. What pacing strategy 800m and 1500m swimmers use? Rev. Bras. Cineantropometria Desempenho Hum. 2019, 21, 1–9. [Google Scholar] [CrossRef]
- Mauger, A.R.; Neuloh, J.; Castle, P.C. Analysis of pacing strategy selection in elite 400-m freestyle swimming. Med. Sci. Sport. Exerc. 2012, 44, 2205–2212. [Google Scholar] [CrossRef]
- Robertson, E.; Pyne, D.; Hopkins, W.; Anson, J. Analysis of lap times in international swimming competitions. J. Sport. Sci. 2009, 27, 387–395. [Google Scholar] [CrossRef] [PubMed]
- Nikolaidis, P.T.; Knechtle, B. Pacing in age-group freestyle swimmers at The XV FINA World Masters Championships in Montreal 2014. J. Sport. Sci. 2017, 35, 1165–1172. [Google Scholar] [CrossRef]
- Kreher, J.B.; Schwartz, J.B. Overtraining Syndrome: A Practical Guide. Sport. Health 2012, 4, 128–138. [Google Scholar] [CrossRef] [PubMed]
- Lara, B.; Del Coso, J. Pacing strategies of 1500 m freestyle swimmers in the world championships according to their final position. Int. J. Environ. Res. Public Health 2021, 18, 7559. [Google Scholar] [CrossRef]
- Skorski, S.; Faude, O.; Caviezel, S.; Meyer, T. Reproducibility of pacing profiles in elite swimmers. Int. J. Sport. Physiol. Perform. 2014, 9, 217–225. [Google Scholar] [CrossRef]
- Skorski, S.; Faude, O.; Rausch, K.; Meyer, T. Reproducibility of pacing profiles in competitive swimmers. Int. J. Sport. Med. 2013, 34, 152–157. [Google Scholar] [CrossRef]
- Mauger, A.R.; Jones, A.M.; Williams, C.A. Influence of feedback and prior experience on pacing during a 4-km cycle time trial. Med. Sci. Sport. Exerc. 2009, 41, 451–458. [Google Scholar] [CrossRef]
- Micklewright, D.; Papadopoulou, E.; Swart, J.; Noakes, T. Previous experience influences pacing during 20 km time trial cycling. Br. J. Sport. Med. 2010, 44, 952–960. [Google Scholar] [CrossRef] [PubMed]
- Costa, M.J.; Marinho, D.A.; Reis, V.M.; Silva, A.J.; Marques, M.C.; Bragada, J.A.; Barbosa, T.M. Tracking the performance of world-ranked swimmers. J. Sport. Sci. Med. 2010, 9, 411–417. [Google Scholar]
- Lipińska, P.; Allen, S.V.; Hopkins, W.G. Modeling parameters that characterize pacing of elite female 800-m freestyle swimmers. Eur. J. Sport Sci. 2016, 16, 287–292. [Google Scholar] [CrossRef] [PubMed]
- Deminice, R.; Papoti, M.; Zagatto, A.M.; Do Prado, M.V. Validity of 30 minutes test (T-30) in aerobic capacity, stroke parameters and aerobic performance determination of trained swimmers. Rev. Bras. Med. Esporte 2007, 13, 195–199. [Google Scholar] [CrossRef]
- López-Belmonte, Ó.; Gay, A.; Ruiz-Navarro, J.J.; Cuenca-Fernández, F.; González-Ponce, Á.; Arellano, R. Pacing profiles, variability and progression in 400, 800 and 1500-m freestyle swimming events at the 2021 European Championship. Int. J. Perform. Anal. Sport 2022, 22, 90–101. [Google Scholar] [CrossRef]
- Garland, S.W. An analysis of the pacing strategy adopted by elite competitors in 2000 m rowing. Br. J. Sport. Med. 2005, 39, 39–42. [Google Scholar] [CrossRef]
- Muehlbauer, T.; Panzer, S.; Schindler, C. Pacing pattern and speed skating performance in competitive long-distance events. J. Strength Cond. Res. 2010, 24, 114–119. [Google Scholar] [CrossRef]
- Tucker, R.; Lambert, M.I.; Noakes, T.D. An analysis of pacing strategies during men’s world-record performances in track athletics. Int. J. Sport. Physiol. Perform. 2006, 1, 233–245. [Google Scholar] [CrossRef]
- Thomas, K.; Stone, M.; St Clair Gibson, A.; Thompson, K.; Ansley, L. The effect of an even-pacing strategy on exercise tolerance in well-trained cyclists. Eur. J. Appl. Physiol. 2013, 113, 3001–3010. [Google Scholar] [CrossRef]
- Damasceno, M.; Correia-Oliveira, C.R.; Narita, T.; Pasqua, L.; Bueno, S.; Lima-Silva, A.E.; Bertuzzi, R. Pacing strategy adopted in crawl swimming competitions: An analysis of the 800-m and 1500-m distances. Rev. Bras. Cineantropometria Desempenho Hum. 2013, 15, 361–370. [Google Scholar]
- Neuloh, J.E.; Skorski, S.; Mauger, L.; Hecksteden, A.; Meyer, T. Analysis of end-spurt behaviour in elite 800-m and 1500-m freestyle swimming. Eur. J. Sport Sci. 2021, 21, 1628–1636. [Google Scholar] [CrossRef] [PubMed]
- Hanon, C.; Gajer, B. Velocity and stride parameters of world-class 400-meter athletes compared with less experienced runners. J. Strength Cond. Res. 2009, 23, 524–531. [Google Scholar] [CrossRef] [PubMed]
- Aisbett, B.; Le Rossignol, P.; Sparrow, W.A. The influence of pacing during 6-minute supramaximal cycle ergometer performance. J. Sci. Med. Sport 2003, 6, 187–198. [Google Scholar] [CrossRef] [PubMed]
- Roelands, B.; De Koning, J.; Foster, C.; Hettinga, F.; Meeusen, R. Neurophysiological determinants of theoretical concepts and mechanisms involved in pacing. Sport. Med. 2013, 43, 301–311. [Google Scholar] [CrossRef] [PubMed]

| Splits | Effect | F | df | p | ηp2 |
|---|---|---|---|---|---|
| 2 × 750 m | Group | 218.20 | 5, 54 | <0.001 | 0.95 |
| Split time | 0.00 | 1, 54 | 0.999 | 0.00 | |
| Group × Split time | 0.57 | 5, 54 | 0.723 | 0.05 | |
| 3 × 500 m | Group | 213.30 | 5, 54 | <0.001 | 0.95 |
| Split time | 27.04 | 2, 108 | <0.001 | 0.33 | |
| Group × Split time | 0.83 | 10, 108 | 0.560 | 0.07 | |
| 5 × 300 m | Group | 216.08 | 5, 54 | <0.001 | 0.95 |
| Split time | 66.15 | 4, 216 | <0.001 | 0.55 | |
| Group × Split time | 1.00 | 20, 216 | 0.459 | 0.09 | |
| 15 × 100 m | Group | 218.20 | 5, 54 | <0.001 | 0.95 |
| Split time | 162.30 | 14, 756 | <0.001 | 0.75 | |
| Group × Split time | 1.09 | 70, 756 | 0.294 | 0.09 |
| Splits | Time (s) | Bonferroni’s Significance Results | |||
|---|---|---|---|---|---|
| M ± SD | 1 | 2 | 3 | ||
| 500 m | 1 | 295.62 ± 2.82 | – | ||
| 1000 m | 2 | 297.91 ± 2.45 | <0.001 * | – | |
| 1500 m | 3 | 295.50 ± 3.20 | n.s | <0.001 * | – |
| Splits | Time (s) | Bonferroni’s Significance Results | ||||||
|---|---|---|---|---|---|---|---|---|
| M ± SD | 1 | 2 | 3 | 4 | 5 | |||
| 300 m | 1 | 176.31 ± 1.97 | – | |||||
| 600 m | 2 | 178.87 ± 1.42 | <0.001 * | – | ||||
| 900 m | 3 | 178.71 ± 1.51 | <0.001 * | n.s | – | |||
| 1200 m | 4 | 178.85 ± 1.70 | <0.001 * | n.s | n.s | – | ||
| 1500 m | 5 | 176.28 ± 2.35 | n.s | <0.001 * | <0.001 * | <0.001 * | – | |
| Splits | Time (s) | Bonferroni’s Significance Results | ||
|---|---|---|---|---|
| M ± SD | 1 | 2–14 | ||
| 100 m | 1 | 57.08 ± 0.84 | – | |
| 200 m | 2 | 59.53 ± 0.70 | <0.001 * | – |
| 300 m | 3 | 59.65 ± 0.64 | <0.001 * | n.s |
| 400 m | 4 | 59.65 ± 0.54 | <0.001 * | n.s |
| 500 m | 5 | 59.58 ± 0.56 | <0.001 * | n.s |
| 600 m | 6 | 59.54 ± 0.48 | <0.001 * | n.s |
| 700 m | 7 | 59.55 ± 0.52 | <0.001 * | n.s |
| 800 m | 8 | 59.53 ± 0.55 | <0.001 * | n.s |
| 900 m | 9 | 59.58 ± 0.55 | <0.001 * | n.s |
| 1000 m | 10 | 59.65 ± 0.62 | <0.001 * | n.s |
| 1100 m | 11 | 59.62 ± 0.57 | <0.001 * | n.s |
| 1200 m | 12 | 59.66 ± 0.64 | <0.001 * | n.s |
| 1300 m | 13 | 59.59 ± 0.66 | <0.001 * | n.s |
| 1400 m | 14 | 59.47 ± 0.73 | <0.001 * | n.s |
| 1500 m | 15 | 57.33 ± 1.24 | n.s | <0.001 * |
Disclaimer/Publisher’s Note: The statements, opinions and data contained in all publications are solely those of the individual author(s) and contributor(s) and not of MDPI and/or the editor(s). MDPI and/or the editor(s) disclaim responsibility for any injury to people or property resulting from any ideas, methods, instructions or products referred to in the content. |
© 2023 by the authors. Licensee MDPI, Basel, Switzerland. This article is an open access article distributed under the terms and conditions of the Creative Commons Attribution (CC BY) license (https://creativecommons.org/licenses/by/4.0/).
Share and Cite
Hołub, M.; Prajzner, A.; Stanula, A. Pacing Strategy Models in 1500 m Male Freestyle Long-Course Swimming on the Basis of the All-Time Ranking. Int. J. Environ. Res. Public Health 2023, 20, 4809. https://doi.org/10.3390/ijerph20064809
Hołub M, Prajzner A, Stanula A. Pacing Strategy Models in 1500 m Male Freestyle Long-Course Swimming on the Basis of the All-Time Ranking. International Journal of Environmental Research and Public Health. 2023; 20(6):4809. https://doi.org/10.3390/ijerph20064809
Chicago/Turabian StyleHołub, Maciej, Arkadiusz Prajzner, and Arkadiusz Stanula. 2023. "Pacing Strategy Models in 1500 m Male Freestyle Long-Course Swimming on the Basis of the All-Time Ranking" International Journal of Environmental Research and Public Health 20, no. 6: 4809. https://doi.org/10.3390/ijerph20064809
APA StyleHołub, M., Prajzner, A., & Stanula, A. (2023). Pacing Strategy Models in 1500 m Male Freestyle Long-Course Swimming on the Basis of the All-Time Ranking. International Journal of Environmental Research and Public Health, 20(6), 4809. https://doi.org/10.3390/ijerph20064809

