Reasons behind the Delayed Diagnosis of Testicular Cancer: A Retrospective Analysis
Abstract
1. Introduction
2. Materials and Methods
2.1. Participants
2.2. Statistical Analysis
3. Results
3.1. General Characteristics of the Study Participants
3.2. Determinants of Delayed Diagnosis
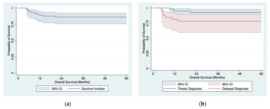
3.3. Effect of Delayed Diagnosis on Clinical Stage and Treatment Outcome
4. Discussion
5. Conclusions
Author Contributions
Funding
Institutional Review Board Statement
Informed Consent Statement
Data Availability Statement
Conflicts of Interest
References
- Znaor, A.; Skakkebaek, N.E.; Rajpert-De Meyts, E.; Laversanne, M.; Kuliš, T.; Gurney, J.; Sarfati, D.; McGlynn, K.A.; Bray, F. Testicular Cancer Incidence Predictions in Europe 2010–2035: A Rising Burden despite Population Ageing. Int. J. Cancer 2020, 147, 820–828. [Google Scholar] [CrossRef] [PubMed]
- Krajowy Rejestr Nowotworów. Nowotwór Jądra. 2019. Available online: https://onkologia.org.pl/sites/default/files/J%C4%85dro.pdf (accessed on 27 February 2023).
- Fung, C.; Dinh, P.C.; Fossa, S.D.; Travis, L.B. Testicular Cancer Survivorship. J. Natl. Compr. Canc. Netw. 2019, 17, 1557–1568. [Google Scholar] [CrossRef] [PubMed]
- Richardson, L.C.; Neri, A.J.; Tai, E.; Glenn, J.D. Testicular Cancer: A Narrative Review of the Role of Socioeconomic Position from Risk to Survivorship. Urol. Oncol. 2012, 30, 95–101. [Google Scholar] [CrossRef] [PubMed]
- National Cancer Institute. Surveillance, Epidemiology, and End Results Program. Cancer Stat Facts: Testicular Cancer. Available online: https://seer.cancer.gov/statfacts/html/testis.html (accessed on 27 February 2023).
- Moul, J.W. Timely Diagnosis of Testicular Cancer. Urol. Clin. North Am. 2007, 34, 109–117. [Google Scholar] [CrossRef]
- Smith, Z.L.; Werntz, R.P.; Eggner, S.E. Testicular Cancer: Epidemiology, Diagnosis, and Management. Med. Clin. North Am. 2018, 102, 251–264. [Google Scholar] [CrossRef]
- Parekh, N.V.; Lundy, S.D.; Vij, S.C. Fertility considerations in men with testicular cancer. Transl. Urol. 2020, 9 (Suppl. 1), S14–S23. [Google Scholar] [CrossRef]
- Paffenholz, P.; Salem, J.; Borgmann, H.; Nestler, T.; Pfister, D.; Ruf, C.; Tsaur, I.; Haferkamp, A.; Heidenreich, A. Testicular Cancer on the Web-an Appropriate Source of Patient Information in Concordance with the European Association of Urology Guidelines? J. Cancer Educ. 2018, 33, 1314–1322. [Google Scholar] [CrossRef]
- Prasanth, A.S.; Jayarajah, U.; Mohanappirian, R.; Seneviratne, S.A. Assessment of the Quality of Patient-Oriented Information over Internet on Testicular Cancer. BMC Cancer 2018, 18, 491. [Google Scholar] [CrossRef]
- Yeo, S.; Eigl, B.; Ingledew, P.-A. A Fountain of Knowledge? The Quality of Online Resources for Testicular Cancer Patients. Can. Urol. Assoc. J. 2020, 14, E363–E368. [Google Scholar] [CrossRef]
- Valizadeh-Haghi, S.; Rahmatizadeh, S.; Soleimaninejad, A.; Mousavi Shirazi, S.F.; Mollaei, P. Are Health Websites Credible Enough for Elderly Self-Education in the Most Prevalent Elderly Diseases? BMC Med. Inf. Decis. Mak. 2021, 21, 31. [Google Scholar] [CrossRef]
- Yeo, S.; Eigl, B.; Chan, S.; Kollmannsberger, C.; Ingledew, P.-A. Caught in the Net: Characterizing How Testicular Cancer Patients Use the Internet as an Information Source. Can. Urol. Assoc. J. 2021, 15, E400–E404. [Google Scholar] [CrossRef] [PubMed]
- Saab, M.M.; Landers, M.; Hegarty, J. Testicular Cancer Awareness and Screening Practices: A Systematic Review. Oncol. Nurs. Forum 2016, 43, E8–E23. [Google Scholar] [CrossRef] [PubMed]
- Pietrzyk, Ł.; Denisow-Pietrzyk, M.; Czeczelewski, M.; Ślizień-Kuczapski, K.; Torres, K. Cancer Education Matters: A Report on Testicular Cancer Knowledge, Awareness, and Self-Examination Practice among Young Polish Men. Sci. Rep. 2020, 10, 20684. [Google Scholar] [CrossRef] [PubMed]
- Milecki, T.; Majchrzak, N.; Balcerek, A.; Rembisz, M.; Kasperczak, M.; Antczak, A. Attitudes about Testicular Self-Examination among Polish Males. Biology 2021, 10, 239. [Google Scholar] [CrossRef] [PubMed]
- Aksoy, C.; Ihrig, A.; Reimold, P.; Tosev, G.; Himmelsbach, R.; Jesser, J.; Babayigit, G.; Huber, J. Better Knowledge about Testicular Cancer Might Improve the Rate of Testicular (Self-)Examination: A Survey among 1025 Medical Students in Germany. Urol. Int. 2022, 106, 1056–1060. [Google Scholar] [CrossRef]
- Rovito, M.J.; Adams, W.B.; Craycraft, M.; Gooljar, C.; Maresca, M.; Guelmes, J.; Gallelli, A. The Association Between Testicular Self-Examination and Stages of Testicular Cancer Diagnosis: A Cross-Sectional Analysis. J. Adolesc. Young Adult. Oncol. 2022, 11, 41–47. [Google Scholar] [CrossRef] [PubMed]
- Ryszawy, J.; Kowalik, M.; Wojnarowicz, J.; Rempega, G.; Kępiński, M.; Burzyński, B.; Rajwa, P.; Paradysz, A.; Bryniarski, P. Awareness of Testicular Cancer among Adult Polish Men and Their Tendency for Prophylactic Self-Examination: Conclusions from Movember 2020 Event. BMC Urol. 2022, 22, 149. [Google Scholar] [CrossRef] [PubMed]
- Vadaparampil, S.T.; Moser, R.P.; Loud, J.; Peters, J.A.; Greene, M.H.; Korde, L. Factors Associated with Testicular Self-Examination among Unaffected Men from Multiple-Case Testicular Cancer Families. Hered. Cancer Clin. Pract. 2009, 7, 11. [Google Scholar] [CrossRef] [PubMed]
- Küronya, Z.; Fröhlich, G.; Ladányi, A.; Martin, T.; Géczi, L.; Gyergyai, F.; Horváth, O.; Kiszner, G.; Kovács, Á.; Dienes, T.; et al. Low Socioeconomic Position Is a Risk Factor for Delay to Treatment and Mortality of Testicular Cancer Patients in Hungary, a Prospective Study. BMC Public Health 2021, 21, 1707. [Google Scholar] [CrossRef]
- EAU Guidelines on Testicular Cancer. Available online: https://d56bochluxqnz.cloudfront.net/documents/full-guideline/EAU-Guidelines-on-Testicular-Cancer-2023.pdf (accessed on 30 January 2023).
- Neal, R.D.; Allgar, V.L. Sociodemographic factors and delays in the diagnosis of six cancers: Analysis of data from the “National Survey of NHS Patients: Cancer”. Br. J. Cancer 2005, 92, 1971–1975. [Google Scholar] [CrossRef]
- Thornton, J. Cancer Screening Must Be Made More Convenient to Suit Busy Lifestyles, Says NHS Report. BMJ 2019, 365, l2344. [Google Scholar] [CrossRef] [PubMed]
- Iacobucci, G. Cancer Screening: More Convenient Access Will Boost Early Diagnosis, Says Review. BMJ 2019, 367, l6059. [Google Scholar] [CrossRef]
- Ravid, M. Carcinophobia in Clinical Research. Pol. Arch. Med. Wewn 2012, 122 (Suppl. 1), 65–67. [Google Scholar] [CrossRef] [PubMed]
- Saleem, D.; Muneer, S.; Younus Khan, R.F.; Ochani, R.K.; Ahmed, S.S.; Begg, M.; Siddiqi, T.J.; Abbas, S.R.; Naseeb, M.W.; Farooqui, M.O.; et al. Knowledge, Attitude and Practices Regarding Benign Testicular Disorders in the Educated Young Men of Pakistan. Cureus 2017, 9, e1563. [Google Scholar] [CrossRef] [PubMed]
- Williams, F.; Thompson, E. Disparity in Breast Cancer Late Stage at Diagnosis in Missouri: Does Rural Versus Urban Residence Matter? J. Racial Ethn. Health Disparities 2016, 3, 233–239. [Google Scholar] [CrossRef] [PubMed]
- Abern, M.R.; Dude, A.M.; Coogan, C.L. Marital Status Independently Predicts Testis Cancer Survival--an Analysis of the SEER Database. Urol. Oncol. 2012, 30, 487–493. [Google Scholar] [CrossRef]
- El-Haddad, B.; Dong, F.; Kallail, K.J.; Hines, R.B.; Ablah, E. Association of Marital Status and Colorectal Cancer Screening Participation in the USA. Color. Dis. 2015, 17, O108–O114. [Google Scholar] [CrossRef]
- Hanske, J.; Meyer, C.P.; Sammon, J.D.; Choueiri, T.K.; Menon, M.; Lipsitz, S.R.; Noldus, J.; Nguyen, P.L.; Sun, M.; Trinh, Q.-D. The Influence of Marital Status on the Use of Breast, Cervical, and Colorectal Cancer Screening. Prev. Med. 2016, 89, 140–145. [Google Scholar] [CrossRef]
- Buja, A.; Lago, L.; Lago, S.; Vinelli, A.; Zanardo, C.; Baldo, V. Marital Status and Stage of Cancer at Diagnosis: A Systematic Review. Eur. J. Cancer Care 2018, 27, e12755. [Google Scholar] [CrossRef]
- Gram, M.A.; Therkildsen, C.; Clarke, R.B.; Andersen, K.K.; Mørch, L.S.; Tybjerg, A.J. The Influence of Marital Status and Partner Concordance on Participation in Colorectal Cancer Screening. Eur. J. Public Health 2021, 31, 340–346. [Google Scholar] [CrossRef]
- Yuan, R.; Zhang, C.; Li, Q.; Ji, M.; He, N. The Impact of Marital Status on Stage at Diagnosis and Survival of Female Patients with Breast and Gynecologic Cancers: A Meta-Analysis. Gynecol. Oncol. 2021, 162, 778–787. [Google Scholar] [CrossRef] [PubMed]
- Öztürk, Ç.; Fleer, J.; Hoekstra, H.J.; Hoekstra-Weebers, J.E.H.M. Delay in Diagnosis of Testicular Cancer; A Need for Awareness Programs. PLoS ONE 2015, 10, e0141244. [Google Scholar] [CrossRef]
- Patel, M.S.; Halpern, J.A.; Desai, A.S.; Keeter, M.K.; Bennett, N.E.; Brannigan, R.E. Success of Prostate and Testicular Cancer Awareness Campaigns Compared to Breast Cancer Awareness Month According to Internet Search Volumes: A Google Trends Analysis. Urology 2020, 139, 64–70. [Google Scholar] [CrossRef] [PubMed]
- Khan, J.S.; Papa, N.P.; Davis, N.F.; Wrafter, P.F.; Kelly, J.C.; Dowling, C.M.; D’Arcy, F.T. Is Movember Synonymous with Moustaches or Men’s Health? An Examination of Internet Search Activity for Prostate and Testicular Cancer during the Campaign. Ir. J. Med. Sci. 2020, 189, 811–815. [Google Scholar] [CrossRef]
- Khani Jeihooni, A.; Jormand, H.; Ansari, M.; Afzali Harsini, P.; Rakhshani, T. The Effect of Educational Intervention Based on Health Belief Model and Social Support on Testicular Self-Examination in Sample of Iranian Men. BMC Cancer 2021, 21, 685. [Google Scholar] [CrossRef] [PubMed]
- Neal, R.D.; Tharmanathan, P.; France, B.; Din, N.U.; Cotton, S.; Fallon-Ferguson, J.; Hamilton, W.; Hendry, A.; Hendry, M.; Lewis, R.; et al. Is Increased Time to Diagnosis and Treatment in Symptomatic Cancer Associated with Poorer Outcomes? Systematic Review. Br. J. Cancer 2015, 112 (Suppl. 1), S92–S107. [Google Scholar] [CrossRef] [PubMed]
- Wallis, C.J.D.; Novara, G.; Marandino, L.; Bex, A.; Kamat, A.M.; Karnes, R.J.; Morgan, T.M.; Mottet, N.; Gillessen, S.; Bossi, A.; et al. Risks from Deferring Treatment for Genitourinary Cancers: A Collaborative Review to Aid Triage and Management During the COVID-19 Pandemic. Eur. Urol. 2020, 78, 29–42. [Google Scholar] [CrossRef]

| Variable | Delayed Diagnosis (>10 Weeks, n = 32) | Timely Diagnosis (≤10 Weeks, n = 40) | p-Value |
|---|---|---|---|
| Age in years (mean ± SD) | 34.4 ± 11.7 | 33.4 ± 9.4 | 0.966 |
| Education, n (%) | |||
| -elementary | 20 (62%) | 7 (17%) | <0.001 |
| -secondary | 12 (37%) | 14 (35%) | |
| -higher | 0 (0%) | 19 (47%) | |
| Place of residence, n (%) | |||
| -big city | 8 (25%) | 18 (45%) | 0.003 |
| -larger/mid-sized town | 5 (16%) | 14 (35%) | |
| -countryside | 19 (59%) | 8 (20%) | |
| Regular intimate partner, n (%) | 11 (34%) | 30 (75%) | 0.001 |
| Initial manifestation, n (%) | |||
| -painless enlargement | 22 (69%) | 9 (22%) | <0.001 |
| -pain | 4 (12%) | 15 (37%) | 0.015 |
| -palpable nodule | 6 (19%) | 17 (42%) | 0.028 |
| Source of information, n (%) | |||
| -intimate partner | 0 (0%) | 1 (2%) | 0.556 |
| -Internet | 21 (66%) | 12 (30%) | 0.003 |
| -family physician | 10 (31%) | 15 (37%) | 0.382 |
| -urologist | 2 (6%) | 18 (45%) | <0.001 |
| Reason for delayed referral, n (%) | |||
| -negligence of symptoms | 18 (56%) | 34 (85%) | 0.007 |
| -shame | 10 (31%) | 2 (5%) | 0.004 |
| -limited access to healthcare | 3 (9%) | 2 (5%) | 0.394 |
| -wrong initial diagnosis | 2 (6%) | 2 (5%) | 0.604 |
| Explanatory Variable | Univariate Analysis | Multivariate Analysis | ||
|---|---|---|---|---|
| OR (95% CI) | p-Value | OR (95% CI) | p-Value | |
| Age > 33 years | 1.19 (0.47–3.04) | 0.711 | 6.65 (1.34–32.98) | 0.020 |
| Elementary education | 7.86 (2.65–23.25) | <0.001 | 2.53 (0.54–11.85) | 0.239 |
| Countryside residence | 5.85 (2.05–16.67) | 0.001 | 7.21 (1.54–33.72) | 0.012 |
| Lack of regular partner | 5.73 (2.06–15.91) | 0.001 | 3.32 (0.80–13.72) | 0.098 |
| Information from Internet | 4.45 (1.65–12.04) | 0.003 | 1.32 (0.34–5.12) | 0.687 |
| Shame | 8.64 (1.73–43.05) | 0.009 | 8.13 (0.95–69.59) | 0.056 |
| Place of Residence | |||
|---|---|---|---|
| Reason for delayed referral: | Countryside (n = 27) | Other (n = 45) | p-value |
| -negligence of symptoms | 14 (52%) | 38 (84%) | 0.004 |
| -shame | 8 (30%) | 4 (9%) | 0.026 |
| -limited access to healthcare | 2 (7%) | 3 (7%) | 0.625 |
| -wrong initial diagnosis | 3 (11%) | 1 (2%) | 0.145 |
| Age | |||
| Reason for delayed referral: | >33 years (n = 32) | ≤33 years (n = 40) | p-value |
| -negligence of symptoms | 28 (87%) | 24 (60%) | 0.009 |
| -shame | 1 (3%) | 11 (27%) | 0.005 |
| -limited access to healthcare | 3 (9%) | 2 (5%) | 0.394 |
| -wrong initial diagnosis | 0 (0%) | 4 (10%) | 0.089 |
Disclaimer/Publisher’s Note: The statements, opinions and data contained in all publications are solely those of the individual author(s) and contributor(s) and not of MDPI and/or the editor(s). MDPI and/or the editor(s) disclaim responsibility for any injury to people or property resulting from any ideas, methods, instructions or products referred to in the content. |
© 2023 by the authors. Licensee MDPI, Basel, Switzerland. This article is an open access article distributed under the terms and conditions of the Creative Commons Attribution (CC BY) license (https://creativecommons.org/licenses/by/4.0/).
Share and Cite
Cieślikowski, W.A.; Kasperczak, M.; Milecki, T.; Antczak, A. Reasons behind the Delayed Diagnosis of Testicular Cancer: A Retrospective Analysis. Int. J. Environ. Res. Public Health 2023, 20, 4752. https://doi.org/10.3390/ijerph20064752
Cieślikowski WA, Kasperczak M, Milecki T, Antczak A. Reasons behind the Delayed Diagnosis of Testicular Cancer: A Retrospective Analysis. International Journal of Environmental Research and Public Health. 2023; 20(6):4752. https://doi.org/10.3390/ijerph20064752
Chicago/Turabian StyleCieślikowski, Wojciech A., Michał Kasperczak, Tomasz Milecki, and Andrzej Antczak. 2023. "Reasons behind the Delayed Diagnosis of Testicular Cancer: A Retrospective Analysis" International Journal of Environmental Research and Public Health 20, no. 6: 4752. https://doi.org/10.3390/ijerph20064752
APA StyleCieślikowski, W. A., Kasperczak, M., Milecki, T., & Antczak, A. (2023). Reasons behind the Delayed Diagnosis of Testicular Cancer: A Retrospective Analysis. International Journal of Environmental Research and Public Health, 20(6), 4752. https://doi.org/10.3390/ijerph20064752

