Medication Regimen Complexity Index Score at Admission as a Predictor of Inpatient Outcomes: A Machine Learning Approach
Abstract
1. Introduction
2. Materials and Methods
2.1. Study Design
2.2. Data Sources
2.3. Measures
2.3.1. MRCI Score: Key Independent Variable
2.3.2. Outcomes
2.3.3. Covariates
2.3.4. Machine Learning Models
2.4. Model Development and Statistical Analysis
3. Results
3.1. Descriptive Analysis
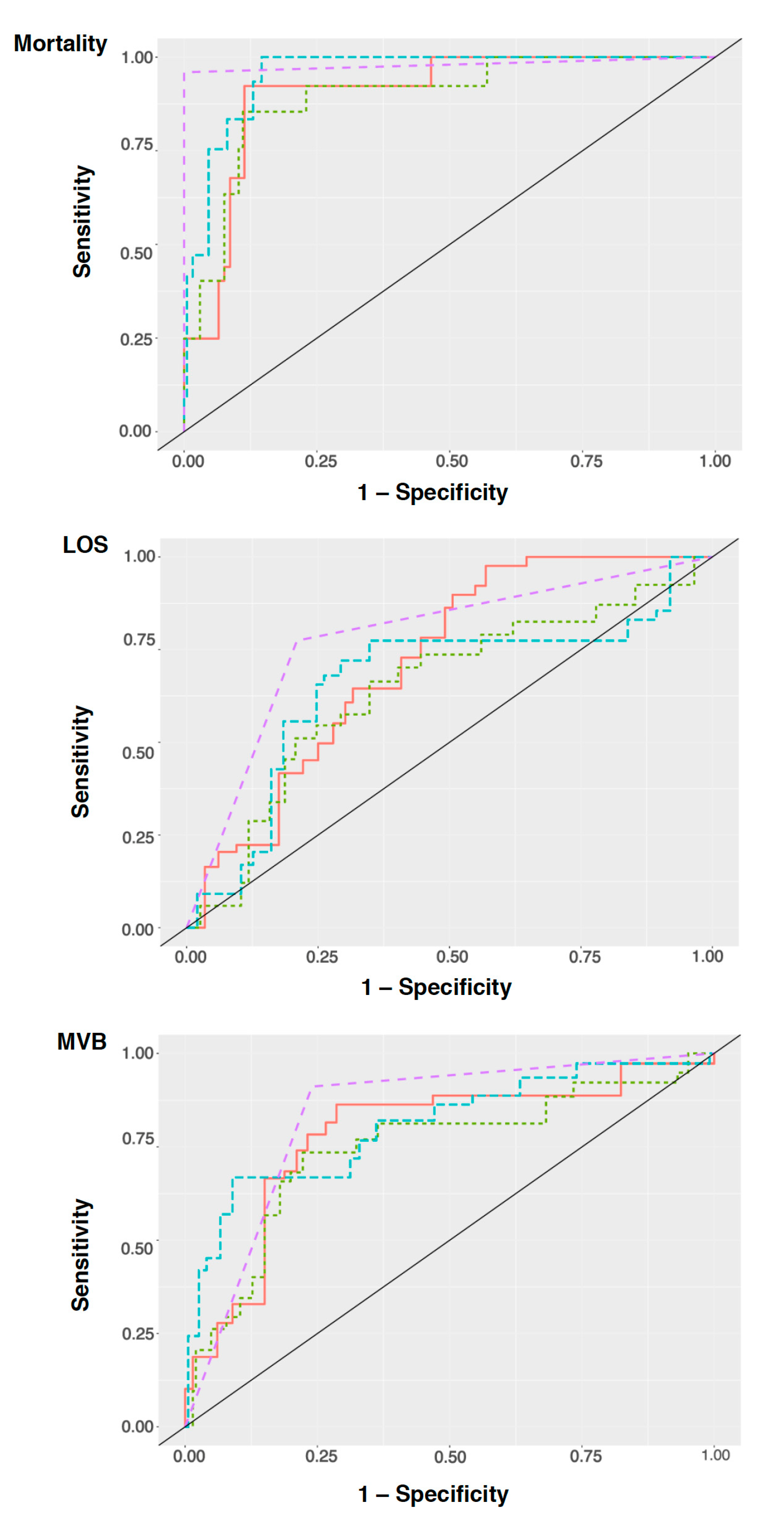
3.2. Model Performance: General Population
3.2.1. ICU Mortality
3.2.2. ICU Length of Stay
3.2.3. ICU Need for Mechanical Ventilation
3.3. Model Performance: Racial Continuum
4. Discussion
4.1. Key Findings
4.2. MRCI at Admission in Different Races
4.3. Role of Critical Care Pharmacist
4.4. Different Biases in Predicting Clinical Outcomes
4.5. Implications of the Study
4.6. Limitations
5. Conclusions
Supplementary Materials
Author Contributions
Funding
Institutional Review Board Statement
Informed Consent Statement
Data Availability Statement
Conflicts of Interest
References
- Kram, B.L.; Trammel, M.A.; Kram, S.J.; Wheeley, S.E.; Mancheril, B.G.; Burgess, L.D.; Schultheis, J.M. Medication Histories in Critically Ill Patients Completed by Pharmacy Personnel. Ann. Pharmacother. 2019, 53, 596–602. [Google Scholar] [CrossRef]
- Al-Mamun, M.A.; Brothers, T.; Newsome, A.S. Development of Machine Learning Models to Validate a Medication Regimen Complexity Scoring Tool for Critically Ill Patients. Ann. Pharmacother. 2020, 55, 421–429. [Google Scholar] [CrossRef]
- García-Gigorro, R.; la Fuente, I.S.-D.; Mateos, H.M.; Andrés-Esteban, E.M.; Sanchez-Izquierdo, J.A.; Montejo-González, J.C. Utility of SOFA and Δ-SOFA scores for predicting outcome in critically ill patients from the emergency department. Eur. J. Emerg. Med. 2018, 25, 387–393. [Google Scholar] [CrossRef]
- Jain, G.; Dosi, R.; Jain, N.; Pawar, K.S.; Sen, J. The predictive ability of SAPS II, APACHE II, SAPS III, and APACHE IV to assess outcome and duration of mechanical ventilation in respiratory intensive care unit. Lung India 2021, 38, 236–240. [Google Scholar] [CrossRef]
- Bowman, C.; McKenna, J.; Schneider, P.; Barnes, B. Comparison of Medication History Accuracy Between Nurses and Pharmacy Personnel. J. Pharm. Pract. 2017, 32, 62–67. [Google Scholar] [CrossRef]
- Hatch, J.; Becker, T.; Fish, J.T. Difference between Pharmacist-Obtained and Physician-Obtained Medication Histories in the Intensive Care Unit. Hosp. Pharm. 2011, 46, 262–268. [Google Scholar] [CrossRef]
- Canning, M.L.; Vale, C.; Wilczynski, H.; Grima, G. Comparison of medication history interview conducted via telephone with interview conducted face-to-face for elective surgical patients. J. Pharm. Pract. Res. 2018, 48, 334–339. [Google Scholar] [CrossRef]
- Bosma, B.E.; Meuwese, E.; Tan, S.S.; van Bommel, J.; Melief, P.H.G.J.; Hunfeld, N.G.M.; Bemt, P.M.L.A.V.D. The effect of the TIM program (Transfer ICU Medication reconciliation) on medication transfer errors in two Dutch intensive care units: Design of a prospective 8-month observational study with a before and after period. BMC Healyj Serv. Res. 2017, 17, 1–10. [Google Scholar] [CrossRef]
- Pevnick, J.M.; Shane, R.; Schnipper, J.L. The problem with medication reconciliation. BMJ Qual. Saf. 2016, 25, 726–730. [Google Scholar] [CrossRef]
- Bajis, D.; Chaar, B.; Basheti, I.A.; Moles, R. Pharmacy students’ medication history taking competency: Simulation and feedback learning intervention. Curr. Pharm. Teach. Learn. 2019, 11, 1002–1015. [Google Scholar] [CrossRef]
- Nguyen, M.-N.R.; Mosel, C.; Grzeskowiak, L.E. Interventions to reduce medication errors in neonatal care: A sys-tematic review. Ther. Adv. Drug Saf. 2018, 9, 123–155. [Google Scholar] [CrossRef]
- Rodziewicz, T.L.; Houseman, B.; Hipskind, J.E. Medical Error Reduction and Prevention; StatPearls: Tampa, FL, USA, 2022. [Google Scholar]
- Chen, C.-C.; Hsiao, F.-Y.; Shen, L.-J.; Wu, C.-C. The cost-saving effect and prevention of medication errors by clinical pharmacist intervention in a nephrology unit. Medicine 2017, 96, e7883. [Google Scholar] [CrossRef]
- Pinheiro, L.C.P.; Reshetnyak, E.; Safford, M.M.; Kern, L.M.M. Racial Disparities in Preventable Adverse Events Attributed to Poor Care Coordination Reported in a National Study of Older US Adults. Med. Care 2021, 59, 901–906. [Google Scholar] [CrossRef]
- Baehr, A.; Peña, J.C.; Hu, D.J. Racial and ethnic disparities in adverse drug events: A systematic review of the lit-erature. J. Racial Ethn. Health Disparities 2015, 2, 527–536. [Google Scholar] [CrossRef]
- Phillips, D.P.; Christenfeld, N.; Glynn, L.M. Increase in US medication-error deaths between 1983 and 1993. Lancet 1998, 351, 643–644. [Google Scholar] [CrossRef]
- Al-Mamun, M.A.; Strock, J.; Sharker, Y.; Shawwa, K.; Schmidt, R.; Slain, D.; Sakhuja, A.; Brothers, T.N. Evaluating the Medication Regimen Complexity Score as a Predictor of Clinical Outcomes in the Critically Ill. J. Clin. Med. 2022, 11, 4705. [Google Scholar] [CrossRef]
- Chen, E.Y.; Bell, J.S.; Ilomaki, J.; Keen, C.; Corlis, M.; Hogan, M.; Van Emden, J.; Hilmer, S.N.; Sluggett, J.K. Medication Regimen Complexity In 8 Australian Residential Aged Care Facilities: Impact Of Age, Length Of Stay, Comorbidity, Frailty, And Dependence In Activities Of Daily Living. Clin. Interv. Aging 2019, 14, 1783–1795. [Google Scholar] [CrossRef]
- Conn, V.S.; Taylor, S.G.; Kelley, S. Medication Regimen Complexity and Adherence Among Older Adults. Image J. Nurs. Sch. 1991, 23, 231–236. [Google Scholar] [CrossRef]
- George, J.; Phun, Y.-T.; Bailey, M.J.; Kong, D.C.; Stewart, K. Development and Validation of the Medication Regimen Complexity Index. Ann. Pharmacother. 2004, 38, 1369–1376. [Google Scholar] [CrossRef]
- Ayele, A.A.; Tegegn, H.G.; Ayele, T.A.; Ayalew, M.B. Medication regimen complexity and its impact on medication adherence and glycemic control among patients with type 2 diabetes mellitus in an Ethiopian general hospital. BMJ Open Diabetes Res. Care 2019, 7, e000685. [Google Scholar] [CrossRef]
- Wimmer, B.C.; Bell, J.S.; Fastbom, J.; Wiese, M.; Johnell, K. Medication Regimen Complexity and Polypharmacy as Factors Associated With All-Cause Mortality in Older People. Ann. Pharmacother. 2015, 50, 89–95. [Google Scholar] [CrossRef]
- Díez-Manglano, J.; Muñoz, L.B. Simplified medication regimen and survival in polypathological patients. Med. Clínica 2020, 154, 248–253. [Google Scholar] [CrossRef]
- Sun, K.; Eudy, A.M.; Criscione-Schreiber, L.G.; Sadun, R.E.; Rogers, J.L.; Doss, J.; Corneli, A.L.; Bosworth, H.B.; Clowse, M.E. Racial Differences in Patient-provider Communication, Patient Self-efficacy, and Their Associations With Systemic Lupus Erythematosus–related Damage: A Cross-sectional Survey. J. Rheumatol. 2020, 48, 1022–1028. [Google Scholar] [CrossRef]
- Newsome, A.S.; Smith, S.E.; Jones, T.W.; Taylor, A.; Van Berkel, M.A.; Rabinovich, M. A survey of critical care pharmacists to patient ratios and practice characteristics in intensive care units. Int. Int. J. Avian Wildl. Biol. 2019, 3, 68–74. [Google Scholar] [CrossRef]
- Brysch, E.G.; Cauthon, K.A.B.; Kalich, B.A.; Sarbacker, G.B. Medication Regimen Complexity Index in the Elderly in an Outpatient Setting: A Literature Review. Consult. Pharm. 2018, 33, 484–496. [Google Scholar] [CrossRef]
- Paquin, A.M.; Zimmerman, K.M.; Kostas, T.R.; Pelletier, L.; Hwang, A.; Simone, M.; Skarf, L.M.; Rudolph, J.L. Complexity perplexity: A systematic review to describe the measurement of medication regimen complexity. Expert Opin. Drug Saf. 2013, 12, 829–840. [Google Scholar] [CrossRef]
- Marienne, J.; Laville, S.M.; Caillard, P.; Batteux, B.; Gras-Champel, V.; Masmoudi, K.; Choukroun, G.; Liabeuf, S. Evaluation of Changes Over Time in the Drug Burden and Medication Regimen Complexity in ESRD Patients Before and After Renal Transplantation. Kidney Int. Rep. 2020, 6, 128–137. [Google Scholar] [CrossRef]
- Moitra, V.K.; Guerra, C.; Linde-Zwirble, W.T.; Wunsch, H. Relationship Between ICU Length of Stay and Long-Term Mortality for Elderly ICU Survivors*. Crit. Care Med. 2016, 44, 655–662. [Google Scholar] [CrossRef]
- Huang, J.; Ling, C. Using AUC and accuracy in evaluating learning algorithms. IEEE Trans. Knowl. Data Eng. 2005, 17, 299–310. [Google Scholar] [CrossRef]
- Hosner, D.W.; Lemeshow, S. Applied Logistic Regression; Jhon Wiley & Son: New York, NY, USA, 1989; p. 581. [Google Scholar]
- Berrar, D. Bayes’ theorem and naive Bayes classifier. Encycl. Bioinform. Comput. Biol. ABC Bioinform. 2018, 403, 412. [Google Scholar]
- Liu, Y.; Wang, Y.; Zhang, J. New machine learning algorithm: Random forest. In International Conference on Information Computing and Applications; Springer: Berlin/Heidelberg, Germany, 2012; pp. 246–252. [Google Scholar]
- Chen, T.; He, T.; Benesty, M.; Khotilovich, V.; Tang, Y.; Cho, H.; Chen, K. Xgboost: Extreme gradient boosting. R Package Version 2015, 1, 1–4. [Google Scholar]
- Kuhn, M.; Johnson, K. Applied Predictive Modeling; Springer: Berlin/Heidelberg, Germany, 2013; Volume 26. [Google Scholar]
- Gareth, J.; Daniela, W.; Trevor, H.; Robert, T. An Introduction to Statistical Learning: With Applications in R.; Springer: Berlin/Heidelberg, Germany, 2013. [Google Scholar]
- Chawla, N.V.; Bowyer, K.W.; Hall, L.O.; Kegelmeyer, W.P. SMOTE: Synthetic Minority Over-sampling Technique. J. Artif. Intell. Res. 2002, 16, 321–357. [Google Scholar] [CrossRef]
- Goodman, L.A.; Kruskal, W.H. Measures of association for cross classifications. In Measures of Association for Cross Classifications; Springer: Berlin/Heidelberg, Germany, 1979; pp. 2–34. [Google Scholar]
- Pirjatullah; Kartini, D.; Nugrahadi, D.T.; Muliadi; Farmadi, A. Hyperparameter Tuning using GridsearchCV on The Comparison of The Activation Function of The ELM Method to The Classification of Pneumonia in Toddlers. In Proceedings of the 2021 4th International Conference of Computer and Informatics Engineering (IC2IE), Jakarta, Indonesia, 13–14 September 2022; pp. 390–395. [Google Scholar] [CrossRef]
- Meng, Y.; Yang, N.; Qian, Z.; Zhang, G. What Makes an Online Review More Helpful: An Interpretation Framework Using XGBoost and SHAP Values. J. Theor. Appl. Electron. Commer. Res. 2020, 16, 466–490. [Google Scholar] [CrossRef]
- Lepelley, M.; Genty, C.; Lecoanet, A.; Allenet, B.; Bedouch, P.; Mallaret, M.-R.; Gillois, P.; Bosson, J.-L. Electronic Medication Regimen Complexity Index at admission and complications during hospitalization in medical wards: A tool to improve quality of care? Int. J. Qual. Health Care 2017, 30, 32–38. [Google Scholar] [CrossRef]
- Alves-Conceição, V.; Rocha, K.S.S.; Silva, F.V.N.; de Silva, R.O.S.; Cerqueira-Santos, S.; Nunes, M.A.P.; de Lyra, D.P., Jr. Are clinical outcomes associated with medication regimen complexity? A systematic review and meta-analysis. Ann. Pharmacother. 2020, 54, 301–313. [Google Scholar] [CrossRef]
- Bazargan, M.; Smith, J.; Yazdanshenas, H.; Movassaghi, M.; Martins, D.; Orum, G. Non-adherence to medication regimens among older African-American adults. BMC Geriatr. 2017, 17, 1–12. [Google Scholar] [CrossRef]
- Qato, D.M.; Daviglus, M.L.; Wilder, J.; Lee, T.; Qato, D.; Lambert, B. ‘Pharmacy deserts’ are prevalent in Chicago’s predominantly minority communities, raising medication access concerns. Health Aff. 2014, 33, 1958–1965. [Google Scholar] [CrossRef]
- Guadamuz, J.S.; Wilder, J.R.; Mouslim, M.C.; Zenk, S.N.; Alexander, G.C.; Qato, D.M. Fewer Pharmacies In Black And Hispanic/Latino Neighborhoods Compared With White Or Diverse Neighborhoods, 2007–2015: Study examines pharmacy “deserts” in Black and Hispanic/Latino neighborhoods compared with white or diverse neighborhoods. Health Aff. 2021, 40, 802–811. [Google Scholar] [CrossRef]
- Kuo, S.Z.; Haftek, M.; Lai, J.C. Factors Associated with Medication Non-adherence in Patients with End-Stage Liver Disease. Dig. Dis. Sci. 2016, 62, 543–549. [Google Scholar] [CrossRef]
- Bjornson, D.C.; Hiner, W.O., Jr.; Potyk, R.P.; Nelson, B.A.; Lombardo, F.A.; Morton, T.A.; Cammarata, F.A. Effect of pharmacists on health care outcomes in hospitalized patients. Am. J. Hosp. Pharm. 1993, 5, 1875–1884. [Google Scholar] [CrossRef]
- Scarsi, K.K.; Fotis, M.A.; Noskin, G.A. Pharmacist participation in medical rounds reduces medication errors. Am. J. Health Pharm. 2002, 59, 2089–2092. [Google Scholar] [CrossRef] [PubMed]
- Lee, H.; Ryu, K.; Sohn, Y.; Kim, J.; Suh, G.Y.; Kim, E. Impact on patient outcomes of pharmacist participation in multidisciplinary critical care teams: A systematic review and meta-analysis. Crit. Care Med. 2019, 47, 1243–1250. [Google Scholar] [CrossRef] [PubMed]
- Pellegrin, K.L.; Krenk, L.; Oakes, S.J.; Ciarleglio, A.; Lynn, J.; McInnis, T.; Bairos, A.W.; Gomez, L.; McCrary, M.B.; Hanlon, A.L.; et al. Reductions in Medication-Related Hospitalizations in Older Adults with Medication Management by Hospital and Community Pharmacists: A Quasi-Experimental Study. J. Am. Geriatr. Soc. 2016, 65, 212–219. [Google Scholar] [CrossRef] [PubMed]
- Obermeyer, Z.; Powers, B.; Vogeli, C.; Mullainathan, S. Dissecting racial bias in an algorithm used to manage the health of populations. Science 2019, 366, 447–453. [Google Scholar] [CrossRef]
- Mullainathan, S.; Obermeyer, Z. Does Machine Learning Automate Moral Hazard and Error? Am. Econ. Rev. 2017, 107, 476–480. [Google Scholar] [CrossRef]
- Kitchen, C.A.; Chang, H.-Y.; Bishop, M.A.; Shermock, K.M.; Kharrazi, H.; Weiner, J.P. Comparing and validating medication complexity from insurance claims against electronic health records. J. Manag. Care Speéc. Pharm. 2022, 28, 473–484. [Google Scholar] [CrossRef]
- Arnett, M.J.; Thorpe, R.J., Jr.; Gaskin, D.J.; Bowie, J.V.; LaVeist, T.A. Race, Medical Mistrust, and Segregation in Primary Care as Usual Source of Care: Findings from the Exploring Health Disparities in Integrated Communities Study. J. Urban Health 2016, 93, 456–467. [Google Scholar] [CrossRef]
- Kostick-Quenet, K.M.; Cohen, I.G.; Gerke, S.; Lo, B.; Antaki, J.; Movahedi, F.; Njah, H.; Schoen, L.; Estep, J.E.; Blumenthal-Barby, J. Mitigating Racial Bias in Machine Learning. J. Law, Med. Ethic 2022, 50, 92–100. [Google Scholar] [CrossRef]
- Nguyen, T.C.; Gathecha, E.; Kauffman, R.; Wright, S.; Harris, C.M. Healthcare distrust among hospitalised black patients during the COVID-19 pandemic. Heart 2021, 98, 539–543. [Google Scholar] [CrossRef]
- Bailey, Z.; Krieger, N.; Agénor, M.; Graves, J.; Linos, N.; Bassett, M.T. Structural racism and health inequities in the USA: Evidence and interventions. Lancet 2017, 389, 1453–1463. [Google Scholar] [CrossRef]
- Parast, L.; Mathews, M.; Martino, S.; Lehrman, W.G.; Stark, D.; Elliott, M.N. Racial/Ethnic Differences in Emergency Department Utilization and Experience. J. Gen. Intern. Med. 2021, 37, 49–56. [Google Scholar] [CrossRef] [PubMed]
- Haines, K.J.; Sevin, C.M.; Hibbert, E.; Boehm, L.M.; Aparanji, K.; Bakhru, R.N.; Bastin, A.J.; Beesley, S.J.; Butcher, B.W.; Drumright, K.; et al. Key mechanisms by which post-ICU activities can improve in-ICU care: Results of the international THRIVE collaboratives. Intensiv. Care Med. 2019, 45, 939–947. [Google Scholar] [CrossRef] [PubMed]
- Brown, S.M.; Bose, S.; Banner-Goodspeed, V.; Beesley, S.J.; Dinglas, V.D.; Hopkins, R.O.; Sevin, C.M. Approaches to addressing post–intensive care syndrome among intensive care unit survivors. A narrative review. Ann. Am. Thorac. Soc. 2019, 16, 947–956. [Google Scholar] [CrossRef] [PubMed]
- González-Nóvoa, J.A.; Busto, L.; Rodríguez-Andina, J.J.; Fariña, J.; Segura, M.; Gómez, V.; Veiga, C. Using explainable machine learning to improve intensive care unit alarm systems. Sensors 2021, 21, 7125. [Google Scholar] [CrossRef]
- Das, R.; Biswas, S.K.; Devi, D.; Sarma, B. An Oversampling Technique by Integrating Reverse Nearest Neighbor in SMOTE: Reverse-SMOTE. In Proceedings of the 2020 International Conference on Smart Electronics and Communication (ICOSEC), Tamilnadu, India, 10–12 September 2020; pp. 1239–1244. [Google Scholar] [CrossRef]

| Measure | Low MRCI | High MRCI | All | p-Value | |
|---|---|---|---|---|---|
| Total | Total (%) | 239 (74.9) | 80 (25.1) | 319 | 0.023 * |
| Demographics | Age, Median (IQR) | 62 (50–76) | 62.2 (53.8–70.2) | 62 (51–75.8) | 0.44 |
| BMI, Median (IQR) | 28.8 (23–32) | 29.3 (23–34) | 28.9 (23–32) | 0.21 | |
| Male, N (%) | 133 (56) | 43 (54) | 176 (55) | 0.84 | |
| White, N (%) | 162 (68) | 44 (55) | 206 (65) | 0.048 * | |
| Non-White, N (%) | 77 (32) | 36 (45) | 113 (35) | 0.041 * | |
| Hispanic, N (%) | 20 (8) | 17 (21) | 37 (12) | 0.004 ** | |
| Predisposing factors | Hypertension, N (%) | 77 (32.2) | 30 (37.5) | 107 (33.5) | 0.47 |
| Acute renal failure, N (%) | 72 (30.1) | 25 (31.3) | 97 (30.4) | 0.96 | |
| Myocardial infarction, N(%) | 54 (22.6) | 24 (30) | 79 (24.8) | 0.24 | |
| Metabolic encephalopathy, N (%) | 41 (17.2) | 16 (20) | 59 (18.5) | 0.68 | |
| Long term insulin use | 40 (16.7) | 21 (26.3) | 62 (19.4) | 0.088 | |
| Traditional scoring systems | APACHE II, Median (IQR) | 18.6 (13–22.8) | 21.6 (16–26) | 19.4 (14–23.8) | 0.912 |
| GSC, Median (IQR) | 12 (9–15) | 11.1 (8–15) | 11.7 (9–15) | 0.39 | |
| SAPS II, Median (IQR) | 16 (6.2–24) | 15.8 (9–21.5) | 15.9 (7–23.8) | 0.524 | |
| Outcomes | Mortality (%) | 53 (22) | 21 (26) | 74 (23) | 0.565 |
| LOS, Median (IQR) | 113.2 (21–109) | 106.5 (22–130.2) | 111.5 (21–111.8) | 0.084 | |
| MV, Median (IQR) | 65 (0–25.5) | 47.9 (0–28) | 60.7 (0–25.5) | 0.179 |
| Model and Outcome | AUC | Sensitivity | Specificity | PPV | NPV |
|---|---|---|---|---|---|
| Outcome: Mortality | |||||
| Home Medication Model (MRCI) | 0.69 (0.66–0.73) | 0.73 (0.68–0.78) | 0.67 (0.63–0.72) | 0.59 (0.54–0.64) | 0.80 (0.75–0.84) |
| Admission Model (APACHE II)) | 0.91 (0.89–0.93) | 0.88 (0.84–0.91) | 0.94 (0.91–0.96) | 0.94 (0.91–0.96) | 0.87 (0.83–0.91) |
| MRCI and APACHE II Model | 0.91 (0.89–0.93) | 0.93 (0.90–0.96) | 0.89 (0.85–0.92) | 0.88 (0.84–0.91) | 0.94 (0.91–0.96) |
| SOFA Model | 0.97 (0.96–0.98) | 0.94 (0.91–0.96) | 1.00 (0.99–1.00) | 1.00 (0.99–1.00) | 0.94 (0.91–0.96) |
| MRCI and SOFA Model | 0.98 (0.97–0.99) | 0.96 (0.93–0.98) | 1.00 (0.99–1.00) | 1.00 (0.99–1.00) | 0.96 (0.93–0.98) |
| Outcome: Length of stay | |||||
| Home Medication Model (MRCI) | 0.68 (0.64–0.71) | 0.64 (0.59–0.68) | 0.72 (0.67–0.77) | 0.76 (0.71–0.80) | 0.60 (0.55–0.65) |
| Admission Model (APACHE II)) | 0.79 (0.76–0.82) | 0.80 (0.75–0.84) | 0.78 (0.73–0.82) | 0.75 (0.70–0.79) | 0.82 (0.78–0.86) |
| MRCI and APACHE II Model | 0.77 (0.74–0.80) | 0.68 (0.63–0.73) | 0.70 (0.65–0.75) | 0.68 (0.63–0.73) | 0.70 (0.65–0.75) |
| SOFA Model | 0.80 (0.77–0.83) | 0.82 (0.77–0.86) | 0.79 (0.74–0.83) | 0.76 (0.71–0.80) | 0.84 (0.80–0.88) |
| MRCI and SOFA Model | 0.79 (0.76–0.82) | 0.79 (0.74–0.83) | 0.80 (0.76–0.84) | 0.79 (0.74–0.83) | 0.80 (0.75–0.84) |
| Outcome: Need for mechanical ventilation | |||||
| Home Medication Model (MRCI) | 0.75 (0.72–0.78) | 0.78 (0.73–0.82) | 0.72 (0.67–0.77) | 0.72 (0.67–0.77) | 0.78 (0.73–0.82) |
| Admission Model (APACHE II)) | 0.77 (0.74–0.80) | 0.75 (0.71–0.80) | 0.79 (0.74–0.83) | 0.78 (0.73–0.82) | 0.76 (0.72–0.81) |
| MRCI and APACHE II Model | 0.77 (0.73–0.80) | 0.76 (0.72–0.80) | 0.77 (0.72–0.82) | 0.80 (0.76–0.84) | 0.73 (0.68–0.77) |
| SOFA Model | 0.85 (0.83–0.88) | 0.88 (0.83–0.91) | 0.84 (0.80–0.87) | 0.81 (0.77–0.85) | 0.89 (0.86–0.92) |
| MRCI and SOFA Model | 0.87 (0.85–0.90) | 0.90 (0.86–0.93) | 0.86 (0.82–0.89) | 0.84 (0.79–0.87) | 0.91 (0.88–0.94) |
| Model and Outcome | AUC | Sensitivity | Specificity | PPV | NPV |
|---|---|---|---|---|---|
| Outcome: Mortality | |||||
| Home Medication Model (MRCI) | 0.81 (0.78–0.84) | 0.83 (0.79–0.87) | 0.79 (0.75–0.83) | 0.78 (0.74–0.82) | 0.84 (0.79–0.87) |
| Admission Model (APACHE II) † | 0.80 (0.77–0.84) | 0.86 (0.81–0.90) | 0.73 (0.68–0.77) | 0.66 (0.61–0.71) | 0.89 (0.86–0.92) |
| MRCI and APACHE II Model | 0.81 (0.78–0.84) | 0.80 (0.76–0.84) | 0.82 (0.78–0.86) | 0.83 (0.79–0.87) | 0.79 (0.74–0.83) |
| SOFA Model | 0.76 (0.72–0.80) | 0.67 (0.63–0.72) | 0.88 (0.83–0.91) | 0.90 (0.86–0.93) | 0.62 (0.57–0.67) |
| MRCI and SOFA Model | 0.88 (0.85–0.90) | 0.86 (0.82–0.93) | 0.90 (0.86–0.93) | 0.91 (0.87–0.93) | 0.85 (0.80–0.88) |
| Outcome: Length of stay | |||||
| Home Medication Model (MRCI) * | 0.77 (0.73, 0.81) | 0.72 (0.68, 0.77) | 0.78 (0.73, 0.82) | 0.82 (0.77, 0.85) | 0.67 (0.62, 0.72) |
| Admission Model (APACHE II) | 0.78 (0.75–0.81) | 0.82 (0.77–0.86) | 0.74 (0.70–0.79) | 0.73 (0.68–0.77) | 0.83 (0.78–0.87) |
| MRCI and APACHE II Model | 0.82 (0.79–0.85) | 0.82 (0.77–0.85) | 0.83 (0.78–0.86) | 0.84 (0.80–0.88) | 0.80 (0.75–0.84) |
| SOFA Model | 0.83 (0.81–0.86) | 0.81 (0.77–0.85) | 0.87 (0.82–0.90) | 0.88 (0.85–0.91) | 0.78 (0.74–0.83) |
| MRCI and SOFA Model | 0.81 (0.78–0.84) | 0.77 (0.73–0.81) | 0.88 (0.83–0.91) | 0.90 (0.87–0.93) | 0.72 (0.67–0.77) |
| Outcome: Need for mechanical ventilation | |||||
| Home Medication Model (MRCI) | 0.79 (0.76, 0.82) | 0.78 (0.73, 0.82) | 0.80 (0.75, 0.84) | 0.82 (0.78, 0.86) | 0.75 (0.70, 0.80) |
| Admission Model (APACHE II) | 0.88 (0.86–0.90) | 0.94 (0.91–0.96) | 0.83 (0.79–0.86) | 0.82 (0.77–0.85) | 0.94 (0.91–0.96) |
| MRCI and APACHE II Model | 0.91 (0.89–0.93) | 0.89 (0.86–0.92) | 0.94 (0.90–0.96) | 0.94 (0.91–0.96) | 0.88 (0.84–0.91) |
| SOFA Model | 0.72 (0.69–0.76) | 0.71 (0.66–0.76) | 0.74 (0.69–0.79) | 0.77 (0.73–0.81) | 0.67 (0.62–0.72) |
| MRCI and SOFA Model | 0.80 (0.77–0.83) | 0.76 (0.72–0.80) | 0.84 (0.80–0.88) | 0.87 (0.83–0.90) | 0.72 (0.67–0.77) |
| Model and Outcome | AUC | Sensitivity | Specificity | PPV | NPV |
|---|---|---|---|---|---|
| Outcome: Mortality | |||||
| Home Medication Model (MRCI) | 0.73 (0.70–0.75) | 1.00 (0.98–1.00) | 0.61 (0.57–0.65) | 0.45 (0.40–0.50) | 1.00 (0.99–1.00) |
| Admission Model (APACHE II) * | 0.80 (0.77–0.83) | 0.70 (0.65–0.75) | 0.83 (0.78–0.87) | 0.84 (0.79–0.88) | 0.69 (0.64–0.73) |
| MRCI and APACHE II Model * | 0.78 (0.75–0.82) | 0.76 (0.72–0.81) | 0.85 (0.80–0.88) | 0.84 (0.79–0.88) | 0.77 (0.73–0.81) |
| SOFA Model * | 0.84 (0.80–0.87) | 0.76 (0.71–0.80) | 0.90 (0.86–0.93) | 0.90 (0.86–0.93) | 0.75 (0.70–0.79) |
| MRCI and SOFA Model * | 0.85 (0.81–0.88) | 0.67 (0.63–0.72) | 0.88 (0.83–0.91) | 0.90 (0.86–0.93) | 0.62 (0.57–0.67) |
| Outcome: Length of stay | |||||
| Home Medication Model (MRCI) † | 0.60 (0.55, 0.64) | 0.59 (0.54, 0.63) | 0.60 (0.54, 0.66) | 0.69 (0.64, 0.73) | 0.50 (0.44, 0.55) |
| Admission Model (APACHE II) | 0.82 (0.80–0.85) | 0.73 (0.69–0.77) | 1.00 (0.98–1.00) | 0.83 (0.78–0.87) | 0.64 (0.59–0.69) |
| MRCI and APACHE II Model | 0.76 (0.73–0.79) | 0.70 (0.66–0.75) | 0.83 (0.78–0.87) | 0.80 (0.75–0.84) | 0.64 (0.59–0.69) |
| SOFA Model | 0.91 (0.89–0.93) | 1.00 (0.99–1.00) | 0.84 (0.80–0.87) | 0.82 (0.77–0.86) | 1.00 (0.99–1.00) |
| MRCI and SOFA Model | 0.86 (0.83–0.88) | 0.86 (0.82–0.89) | 0.85 (0.81–0.89) | 0.86 (0.82–0.89) | 0.85 (0.81–0.89) |
| Outcome: Need for mechanical ventilation | |||||
| Home Medication Model (MRCI) | 0.74 (0.71, 0.77) | 0.74 (0.70, 0.79) | 0.74 (0.69, 0.78) | 0.76 (0.71, 0.80) | 0.72 (0.67, 0.77) |
| Admission Model (APACHE II) | 0.72 (0.68–0.75) | 0.78 (0.72–0.82) | 0.68 (0.63–0.72) | 0.60 (0.54–0.65) | 0.83 (0.79–0.87) |
| MRCI and APACHE II Model | 0.76 (0.74–0.79) | 0.67 (0.63–0.71) | 1.00 (0.98–1.00) | 1.00 (0.99–1.00) | 0.52 (0.47–0.58) |
| SOFA Model | 0.96 (0.94–0.97) | 0.92 (0.89–0.92) | 1.00 (0.99–1.00) | 1.00 (0.99–1.00) | 0.91 (0.88–0.94) |
| MRCI and SOFA Model | 0.93 (0.91–0.95) | 0.89 (0.85–0.92) | 1.00 (0.99–1.00) | 1.00 (0.99–1.00) | 0.86 (0.82–0.90) |
Disclaimer/Publisher’s Note: The statements, opinions and data contained in all publications are solely those of the individual author(s) and contributor(s) and not of MDPI and/or the editor(s). MDPI and/or the editor(s) disclaim responsibility for any injury to people or property resulting from any ideas, methods, instructions or products referred to in the content. |
© 2023 by the authors. Licensee MDPI, Basel, Switzerland. This article is an open access article distributed under the terms and conditions of the Creative Commons Attribution (CC BY) license (https://creativecommons.org/licenses/by/4.0/).
Share and Cite
Mbous, Y.P.V.; Brothers, T.; Al-Mamun, M.A. Medication Regimen Complexity Index Score at Admission as a Predictor of Inpatient Outcomes: A Machine Learning Approach. Int. J. Environ. Res. Public Health 2023, 20, 3760. https://doi.org/10.3390/ijerph20043760
Mbous YPV, Brothers T, Al-Mamun MA. Medication Regimen Complexity Index Score at Admission as a Predictor of Inpatient Outcomes: A Machine Learning Approach. International Journal of Environmental Research and Public Health. 2023; 20(4):3760. https://doi.org/10.3390/ijerph20043760
Chicago/Turabian StyleMbous, Yves Paul Vincent, Todd Brothers, and Mohammad A. Al-Mamun. 2023. "Medication Regimen Complexity Index Score at Admission as a Predictor of Inpatient Outcomes: A Machine Learning Approach" International Journal of Environmental Research and Public Health 20, no. 4: 3760. https://doi.org/10.3390/ijerph20043760
APA StyleMbous, Y. P. V., Brothers, T., & Al-Mamun, M. A. (2023). Medication Regimen Complexity Index Score at Admission as a Predictor of Inpatient Outcomes: A Machine Learning Approach. International Journal of Environmental Research and Public Health, 20(4), 3760. https://doi.org/10.3390/ijerph20043760

