The Response of Rocky Desertification to the Development of Road Networks in Karst Ecologically Fragile Areas
Abstract
1. Introduction
2. Materials and Methods
2.1. Study Area
2.2. Data Source
2.3. Calculation Method
2.3.1. Land-Use Classification
2.3.2. The Establishment of Network Buffers
2.3.3. Landscape Pattern Index
2.3.4. Land-Use Intensity
2.3.5. Habitat Quality Model
- (1)
- Calculation of habitat degradation degree Dxj
- (2)
- The establishment of indices
3. Results
3.1. Influence of Road Networks on the Evolution of the Rocky Desertification Landscape
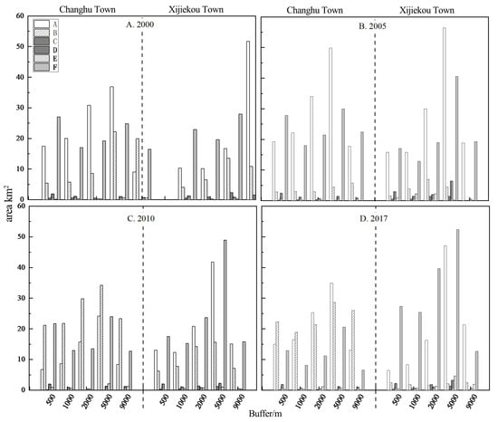
3.1.1. Response of Rocky Desertification Landscape Evolution to Overlapping Impacts of Road Networks in Industrial Areas
3.1.2. Response of Rocky Desertification Landscape Evolution to Overlapping Impacts of Road Networks in Tourist Areas
3.2. Influence of Road Networks on Rocky Desertification Ecosystem
3.2.1. Change of Land-Use Intensity in the Karst Areas under the Development of Road Networks
3.2.2. Analysis of Habitat Quality Evolution in the Karst Areas under the Threat of Road Networks
3.2.3. Analysis of Habitat Quality Changes in the Karst Areas under Different Industrial Structures
4. Discussion
4.1. Response of Rocky Desertification Landscape Pattern to Road Network Development
4.2. Response of Habitat Quality Evolution to Road Network Development
4.3. Differential Influence of Regional Models on Ecological Environment
5. Conclusions
- (1)
- From 2000 to 2017, the landscape pattern of rocky desertification in the study area first showed a development trend of rapid fragmentation and then gradual recovery later owing to the destroyed landscape integrity, significantly decreased ecological value, and the rapidly increasing areas of rocky desertification patches. The development of rocky desertification in different buffers was obviously different, in which the rocky desertification patches in urban expansion areas, new development areas, and transition areas were most affected by the superposition of multiple roads; thus, the landscape patterns were evolving towards having fragmentation, complexity, and heterogeneity.
- (2)
- From 2000 to 2017, the intensity of land use and the degree of rocky desertification in the industrial areas and tourist areas increased to varying degrees, mainly in the form of construction land and farming land enclaves that were expanded in the urban expansion areas and the new development areas. Over the course of the rapid development of the industrial areas, ecological protection areas have been partially occupied by the significant increase in cultivated land. The infrastructure construction of the tourist areas in the early period has led to the increase in land-use intensity in new development areas and transition areas. Later, the implementation of ecological governance measures has increased the area of forested land, and thus, the problem of rocky desertification in the regions has been significantly improved.
- (3)
- Different regional development patterns led to different impacts of road network development on rocky desertification development and habitat quality changes in buffer areas. The landscape pattern of rocky desertification in the industrial areas, of which the fragmentation degree was higher than that of tourist areas, was affected by the change in land use with a significant degree of degradation, resulting in a significantly lower habitat quality than that of tourist areas.
Author Contributions
Funding
Institutional Review Board Statement
Informed Consent Statement
Data Availability Statement
Acknowledgments
Conflicts of Interest
References
- Chen, Q. Models and Technologies for Ecological Management of Rocky Desertification in Yunnan Karst Regions; Yunnan Science and Technology Press: Kunming, China, 2010; pp. 16–22. [Google Scholar]
- Goldscheider, N.; Chen, Z.; Auler, A.; Bakalowicz, M.; Broda, S.; Drew, D.; Hartmann, J.; Jiang, G.; Moosdorf, N.; Stevanovic, Z.; et al. Global Distribution of Carbonate Rocks and Karst Water Resources. Hydrogeol. J. 2020, 28, 1661–1677. [Google Scholar] [CrossRef]
- Sweeting, M.M. Reflections on the Development of Karst Geomorphology in Europe and a Comparison with its Development in China. Z. Geomorph. 1993, 37, 127–138. [Google Scholar]
- Tong, X.; Brandt, M.; Yue, Y.; Horion, S.; Wang, K.; De Keersmaecker, W.; Tian, F.; Schurgers, G.; Xiao, X.; Luo, Y.; et al. Increased Vegetation Growth and Carbon Stock in China Karst Via Ecological Engineering. Nat. Sustain. 2018, 1, 44–50. [Google Scholar] [CrossRef]
- Yang, Q.-Q.; Wang, K.-L.; Zhang, C.; Yue, Y.-M.; Tian, R.-C.; Fan, F.-D. Spatio-temporal Evolution of Rocky Desertification and its Driving Forces in Karst Areas of Northwestern Guangxi, China. Environ. Earth Sci. 2011, 64, 383–393. [Google Scholar] [CrossRef]
- Zuo, T.A.; Zhang, F.T.; Yu, S.J.; Li, J.; Fan, H.; Ye, D.; Rocky Desertification Poverty in Karst Areas of China. Carsologica Sin.: 1–13. Available online: http://kns.cnki.net/kcms/detail/45.1157.P.20211130.0926.002.html (accessed on 4 October 2022).
- He, X.J.; Wang, L.; Ke, B.; Yue, Y.M.; Wang, K.L.; Cao, J.H.; Xiong, K.N. Process on Ecological Conservation and Restoration for China Karst. Acta Ecol. Sin. 2019, 39, 6577–6585. [Google Scholar]
- Yuan, D.X. On the Environmental and Geologic Problems of Karst Mountains and Rocks in the South–West China. World Sci-Tech R D 1997, 19, 41–43. [Google Scholar]
- Tu, Y.L. Ecological Environment Problems and Countermeasures in Karst Area of Guizhou Province. Environ. Prot. Technol. 2000, 6, 1–6. [Google Scholar]
- Zhou, Z.X.; Mao, Z.Z.; Yu, L.F.; Ding, G.J.; Xie, S.X.; Nie, C.J.; Chen, Z.Q. The Study on Degraded Land and its Vegetation Restoration Models of Desertification in Guizhou. Guizhou Sci. 2002, 20, 1–6. [Google Scholar]
- Zhang, D.F.; Wang, S.J.; Zhou, D.Q.; Li, R.L. Intrinsic Driving Mechanism of Land Rocky Desertification in Karst Regions of Guizhou Province. Bull. Soil Water Conserv. 2001, 21, 1–5. [Google Scholar]
- Wang, S.J. Concept Deduction and its Connotation of Karst Rocky Desertification. Carsolog. Sin. 2002, 21, 31–35. [Google Scholar]
- Wang, M.M.; Wang, S.J.; Bai, X.Y.; Li, S.J.; Li, H.W.; Cao, Y.; Xi, H.P. Evolution Characteristics of Karst Rocky Desertification in Typical Small Watershed and the Key Characterization Factor and Driving Factor. Acta Ecol. Sin. 2019, 39, 6083–6097. [Google Scholar]
- Guo, B.; Yang, F.; Fan, J.; Lu, Y. The Changes of Spatiotemporal Pattern of Rocky Desertification and Its Dominant Driving Factors in Typical Karst Mountainous Areas under the Background of Global Change. Remote Sens. 2022, 14, 2351. [Google Scholar] [CrossRef]
- Deng, J.S.; Wang, K.; Hong, Y.; Qi, J.G. Spatio-temporal Dynamics and Evolution of Land Use Change and Landscape Pattern in Response to Rapid Urbanization. Landsc. Urban Plan. 2009, 92, 187–198. [Google Scholar] [CrossRef]
- Li, K.X.; Qi, G.Q. Transport Connectivity and Regional Development in China. J. Int. Logist. Trade 2016, 14, 142–155. [Google Scholar] [CrossRef]
- Wang, L.; Huang, Y.X. Changing Network Accessibility and Connectivity from High-speed Rail Development in Metropolitan China. Transport 2018, 174, 1–25. [Google Scholar]
- Yang, J.W.; Quan, J.Q.; Yan, B.; He, C.F. Urban Rail Investment and Transit-oriented Development in Beijing: Can it Reach a Higher Potential? Transp. Res. Part A 2016, 89, 140–150. [Google Scholar] [CrossRef]
- Ewers, R.M.; Thorpe, S.; Didham, R.K. Synergistic Interactions between Edge and Area Effects in a Heavily Fragmented Landscape. Ecology 2007, 88, 96–106. [Google Scholar] [CrossRef]
- Keser, H.Y. Importance of Transport Corridors in Regional Development: The Case of TRACECA. Sosyoekonomi 2015, 23, 163–182. [Google Scholar]
- Zhang, S.; Wang, Y.; Wang, X.; Wu, Y.; Li, C.; Zhang, C.; Yin, Y. Ecological Quality Evolution and its Driving Factors in Yunnan Karst Rocky Desertification Areas. Int. J. Environ. Res. Public Health 2022, 19, 16904. [Google Scholar] [CrossRef]
- Ji, W.; Wang, Y.; Zhuang, D.; Song, D.; Shen, X.; Wang, W.; Li, G. Spatial and Temporal Distribution of Expressway and its Relationships to Land Cover and Population: A Case Study of Beijing, China. Transp. Res. Part D Transp. Environ. 2014, 32, 86–96. [Google Scholar] [CrossRef]
- Jia, Y.; Tang, L.; Xu, M.; Yang, X. Landscape Pattern Indices for Evaluating Urban Spatial Morphology—A Case Study of Chinese Cities. Ecol. Indic. 2019, 99, 27–37. [Google Scholar] [CrossRef]
- Zhou, Z.X.; Li, J. The Correlation Analysis on the Landscape Pattern Index and Hydrological Processes in the Yanhe Watershed, China. J. Hydrol. 2015, 524, 417–426. [Google Scholar] [CrossRef]
- Corry, R.C.; Nassauer, J.I. Limitations of Using Landscape Pattern Indices to Evaluate the Ecological Consequences of Alternative Plans and Designs. Landsc. Urban Plan. 2005, 72, 265–280. [Google Scholar] [CrossRef]
- Erb, K.-H.; Haberl, H.; Jepsen, M.R.; Kuemmerle, T.; Lindner, M.; Müller, D.; Verburg, P.H.; Reenberg, A. A Conceptual Framework for Analysing and Measuring Land-use Intensity. Curr. Opin. Environ. Sustain. 2013, 5, 464–470. [Google Scholar] [CrossRef]
- Zhuang, D.F.; Liu, J.Y. Study on the Model of Regional Differentiation of Land Use Degree in China. J. Nat. Resour. 1997, 12, 10–16. [Google Scholar]
- Tang, H.; Qiao, X.N.; Yang, D.G.; Huang, F. Characteristics of Temporal and Spatial Dynamic Changes of Land Use and their Relationship with Regional Development: A Case Study in the Weigan River Basin. Agric. Res. Arid Areas 2012, 30, 205–213. [Google Scholar]
- Johnson, M.D. Measuring Habitat Quality: A Review. Condor 2007, 109, 489–504. [Google Scholar] [CrossRef]
- Sun, X.Q.; Yu, Y.H.; Wang, J.L.; Liu, W.D. Analysis of the Spatiotemporal Variation in Habitat Quality based on the InVEST Model: A Case Study of Shangri-La City, Northwest Yunnan, China. J. Phys. Conf. Ser. 2021, 1961, 012016. [Google Scholar] [CrossRef]
- Chen, Y.Q.; Zhao, L.; Tao, J.Y.; Zhang, P.T. Habitat Quality Evaluation before and after Unused Land Development based on InVEST Model: A Case Study of Tang County. Chin. J. Eco-Agric. 2020, 28, 1093–1102. [Google Scholar]
- Zhu, J.; Gong, J.; Li, J.Y. Spatiotemporal Change of Habitat Quality in Ecologically Sensitive Areas of Eastern Qinghai-Tibet Plateau: A Case Study of the Hehuang Valley, Qinghai Province. Resour. Sci. 2020, 42, 991–1003. [Google Scholar] [CrossRef]
- Ran, C.; Bai, X.Y.; Tan, Q.; Luo, X.L.; Chen, H.; Xi, H.P. Response of Landscape Pattern of Karst Rocky Desertification to Land-use Change in a Typical Karst Areas. Acta Ecol. Sin. 2018, 38, 8901–8910. [Google Scholar]
- Guo, B.; Yang, F.; Fan, Y.; Zang, W. The Dominant Driving Factors of Rocky Desertification and their Variations in Typical Mountainous Karst Areas of Southwest China in the Context of Global Change. Catena 2023, 220, 106674. [Google Scholar] [CrossRef]
- Chen, H.; Bai, X.Y.; Li, Y.B.; Luo, G.J.; Xi, H.P.; Ran, C.; Luo, X.L. The Evolution of Rocky Desertification and its response to Land Use Changes in Wanshan Karst Area, Tongren City, Guizhou Province, China. J. Agric. Resour. Environ. 2020, 37, 24–35. [Google Scholar]
- Wang, H.; Xu, Y.Q.; Liu, C.; Huang, A.; Lu, L.H.; Zhen, W.R. Response of Habitat Quality to Land Use Change based on Geographical Weighted Regression. Acta Sci. Nat. Univ. Pekin. 2019, 55, 509–518. [Google Scholar]
- Zhao, Y.; Hu, Y.M.; Zhang, X.C.; Wang, L.; Chen, F.X.; Zhao, Z.Z. Spatial Pattern of Farming Distance in Rural Area Using ESDA. Sci. Geogr. Sin. 2016, 36, 760–765. [Google Scholar]
- Jin, F.J. Essential Classification and its Effects of Spatial Profiting of Human Activity. Geogr. Res. 2014, 33, 191–198. [Google Scholar]
- Zhang, X.S.; Xu, Z.J. Functional Coupling Degree and Human Activity Intensity of Production-Living-Ecological Space in Underdeveloped Regions in China: Case Study of Guizhou Province. Land 2021, 10, 56. [Google Scholar] [CrossRef]
- Xu, Y.; Xu, X.; Tang, Q. Human Activity Intensity of Land Surface: Concept, Methods and Application in China. J. Geogr. Sci. 2016, 26, 1349–1361. [Google Scholar] [CrossRef]
- Yang, X.Y.; Zhou, Z.F.; Zou, C.H. Spatial Pattern Analysis of Karst Rocky Desertification based on Landscape Level Index. J. Guizhou Norm. Univ. Nat. Sci. 2010, 28, 23–27. [Google Scholar]
- Li, X.Y.; Deng, Y.; Cao, J.H.; Jiang, Z.C.; Xu, Y.; Liang, J.T. Evolution of Ecological Carrying Capacity in Typical Karst Counties: A Case Study of Luxi Country, Yunnan Province. Carsolog. Sin. 2020, 39, 359–367. [Google Scholar]
- Yang, S.F.; Sun, Q.Z.; Xiao, C.W. Evaluation of the Natural Quality of Cultivated Land in Different Types of Karst Land-forms: A Case Study of a Small Watershed in the Integrated Control Project of Rocky Desertification. Soil Water Conserv. China 2019, 31–33, 47. [Google Scholar] [CrossRef]
- Xu, E.; Zhang, H. A Stratified Environmental Reference System for Better Understanding of the Relationship between Remote Sensing Observations and Ground Monitoring of Karst Rocky Desertification. Land Degrad. Dev. 2022, 33, 1366–1382. [Google Scholar] [CrossRef]
- Qian, C.; Qiang, H.; Qin, C.; Wang, Z.; Li, M. Spatiotemporal Evolution Analysis and Future Scenario Prediction of Rocky Desertification in a Subtropical Karst Region. Remote Sens. 2022, 14, 292. [Google Scholar] [CrossRef]
- Chen, Y.L.; Sun, Y.G.; Xie, B.G.; Kang, J.; Li, X.Q. Comparative Study of Wetland Ecosystem Quality in Different Landscape Pattern of Mangroves: A Case of Beibuwan Region in Guangxi Province. Ecol. Environ. Sci. 2015, 24, 965–971. [Google Scholar]
- Xu, E.; Zhang, H.; Li, M. Mining Spatial Information to Investigate the Evolution of Karst Rocky Desertification and its Human Driving Forces in Changshun, China. Sci. Total Environ. 2013, 458–460, 419–426. [Google Scholar] [CrossRef] [PubMed]










| Altitude/m | Classification | Actual Investigation | Satellite Comparison |
|---|---|---|---|
| 1957 | Non-/potential rocky desertification (Fr ≤ 0.3) | ![]() | ![]() |
| 2165 | Light rocky desertification (0.3 < Fr ≤ 0.5) | ![]() | ![]() |
| 2155 | Medium rocky desertification (0.5 < Fr ≤ 0.7) | ![]() | ![]() |
| 1907 | Severe rocky desertification (0.7 < Fr ≤ 0.9) | ![]() | ![]() |
| 1800 | Extremely severe rocky desertification (Fr > 0.9) | ![]() | ![]() |
| Type | Index | Computing Method | Ecological Significance |
|---|---|---|---|
| Landscape Level | Landscape Shape Index | The complexity of patch shape is determined by calculating the deviation between a patch shape and a circle or square with the same area. | |
| Patch Density | The fragmentation degree of landscape type is reflected by the number of patches per unit area. | ||
| Large Patch Index: % | The proportion of the largest patch area aij in the landscape to determine the dominant patch type. | ||
| Shannon’s Diversity Index | As the measure of landscape heterogeneity and diversity, the richer the patch type is, the higher the uncertainty and the higher the degree of fragmentation is. | ||
| Landscape Contagion Index: % | It reflects the degree of aggregation or extension trend of different patch types. With the increase in the index, the better the connectivity between the dominant patches is, and the higher the fragmentation is. | ||
| Landscape Aggregation Index: % | It reflects the aggregation degree of landscape types in space. With the increase in indicators, the aggregation degree of patches increases. | ||
| Class Level | Landscape Shape Index | The complexity of patch shape is determined by calculating the deviation between a patch shape and a circle or square with the same area. | |
| Percent of Patches: % | It represents the relative proportion of a patch type in the whole landscape area to identify the dominant patch. |
| Stressors | Maximum Impacting Distance | Relative Weight Value | Spatial Recession Type |
|---|---|---|---|
| Highway | 8 | 0.6 | linear |
| Railway | 2 | 0.8 | linear |
| No. of Land-Use Types | Name of Land-Use Type | Habitat Suitability | Highway | Railway | |
|---|---|---|---|---|---|
| 1 | Cultivated land | 0.4 | 0.4 | 0.3 | |
| 2 | Construction land | 0 | 0.8 | 0.75 | |
| 3 | Forested land | 1 | 0.8 | 0.75 | |
| 4 | Barren land | Potential rocky desertification | 0.1 | 0.8 | 0.6 |
| 5 | Water | 0.9 | 0.2 | 0.15 | |
| 6 | Grassland | 6-1 Light rocky desertification | 0.8 | 0.8 | 0.75 |
| 6-2 Medium rocky desertification | 0.5 | ||||
| 6-3 Severe rocky desertification | 0.3 | ||||
| 6-4 Extremely severe rocky desertification | 0.1 | ||||
Disclaimer/Publisher’s Note: The statements, opinions and data contained in all publications are solely those of the individual author(s) and contributor(s) and not of MDPI and/or the editor(s). MDPI and/or the editor(s) disclaim responsibility for any injury to people or property resulting from any ideas, methods, instructions or products referred to in the content. |
© 2023 by the authors. Licensee MDPI, Basel, Switzerland. This article is an open access article distributed under the terms and conditions of the Creative Commons Attribution (CC BY) license (https://creativecommons.org/licenses/by/4.0/).
Share and Cite
Zhang, S.; Wang, Y.; Li, C.; Wu, Y.; Yin, Y.; Zhang, C. The Response of Rocky Desertification to the Development of Road Networks in Karst Ecologically Fragile Areas. Int. J. Environ. Res. Public Health 2023, 20, 3130. https://doi.org/10.3390/ijerph20043130
Zhang S, Wang Y, Li C, Wu Y, Yin Y, Zhang C. The Response of Rocky Desertification to the Development of Road Networks in Karst Ecologically Fragile Areas. International Journal of Environmental Research and Public Health. 2023; 20(4):3130. https://doi.org/10.3390/ijerph20043130
Chicago/Turabian StyleZhang, Shiwen, Yan Wang, Chengrong Li, Yang Wu, Yuhang Yin, and Chao Zhang. 2023. "The Response of Rocky Desertification to the Development of Road Networks in Karst Ecologically Fragile Areas" International Journal of Environmental Research and Public Health 20, no. 4: 3130. https://doi.org/10.3390/ijerph20043130
APA StyleZhang, S., Wang, Y., Li, C., Wu, Y., Yin, Y., & Zhang, C. (2023). The Response of Rocky Desertification to the Development of Road Networks in Karst Ecologically Fragile Areas. International Journal of Environmental Research and Public Health, 20(4), 3130. https://doi.org/10.3390/ijerph20043130











