Distribution, Bioaccumulation, and Risks of Pharmaceutical Metabolites and Their Parents: A Case Study in an Yunliang River, Nanjing City
Abstract
:1. Introduction
2. Materials and Methods
2.1. Chemicals
2.2. Study Sites
2.3. Sample Collection
2.4. Analytical Methods
2.5. Validation Method
2.6. Ecological Risk Assessment
2.7. Statistical Analysis
3. Results
3.1. Occurrence and Distribution in Water
3.2. Occurrence and Distribution in Sediment
3.3. Bioaccumulation in Fish
3.4. Environmental Implication
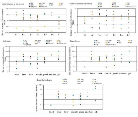
3.5. Proportions of Pharmaceuticals in Different Matrices
4. Conclusions
Supplementary Materials
Author Contributions
Funding
Institutional Review Board Statement
Informed Consent Statement
Data Availability Statement
Conflicts of Interest
References
- Tong, X.; Mohapatra, S.; Zhang, J.; Tran, N.H.; You, L.; He, Y.; Gin, K.Y.-H. Source, Fate, Transport and Modelling of Selected Emerging Contaminants in the Aquatic Environment: Current Status and Future Perspectives. Water Res. 2022, 217, 118418. [Google Scholar] [CrossRef] [PubMed]
- Yang, Y.; Song, W.; Lin, H.; Wang, W.; Du, L.; Xing, W. Antibiotics and Antibiotic Resistance Genes in Global Lakes: A Review and Meta-Analysis. Environ. Int. 2018, 116, 60–73. [Google Scholar] [CrossRef] [PubMed]
- Lopes, D.G.; Duarte, I.A.; Antunes, M.; Fonseca, V.F. Effects of Antidepressants in the Reproduction of Aquatic Organisms: A Meta-Analysis. Aquat. Toxicol. 2020, 227, 105569. [Google Scholar] [CrossRef] [PubMed]
- Maculewicz, J.; Kowalska, D.; Świacka, K.; Toński, M.; Stepnowski, P.; Białk-Bielińska, A.; Dołżonek, J. Transformation Products of Pharmaceuticals in the Environment: Their Fate, (Eco)Toxicity and Bioaccumulation Potential. Sci. Total Environ. 2022, 802, 149916. [Google Scholar] [CrossRef]
- Petrie, B.; Barden, R.; Kasprzyk-Hordern, B. A Review on Emerging Contaminants in Wastewaters and the Environment: Current Knowledge, Understudied Areas and Recommendations for Future Monitoring. Water Res. 2015, 72, 3–27. [Google Scholar] [CrossRef]
- Zhou, S.; Di Paolo, C.; Wu, X.; Shao, Y.; Seiler, T.-B.; Hollert, H. Optimization of Screening-Level Risk Assessment and Priority Selection of Emerging Pollutants—The Case of Pharmaceuticals in European Surface Waters. Environ. Int. 2019, 128, 1–10. [Google Scholar] [CrossRef]
- Alygizakis, N.A.; Gago-Ferrero, P.; Borova, V.L.; Pavlidou, A.; Hatzianestis, I.; Thomaidis, N.S. Occurrence and Spatial Distribution of 158 Pharmaceuticals, Drugs of Abuse and Related Metabolites in Offshore Seawater. Sci. Total Environ. 2016, 541, 1097–1105. [Google Scholar] [CrossRef]
- de Oliveira Klein, M.; Serrano, S.V.; Santos-Neto, Á.; da Cruz, C.; Brunetti, I.A.; Lebre, D.; Gimenez, M.P.; Reis, R.M.; Silveira, H.C. Detection of Anti-Cancer Drugs and Metabolites in the Effluents from a Large Brazilian Cancer Hospital and an Evaluation of Ecotoxicology. Environ. Pollut. 2021, 268, 115857. [Google Scholar] [CrossRef]
- Baumann, M.; Weiss, K.; Maletzki, D.; Schüssler, W.; Schudoma, D.; Kopf, W.; Kühnen, U. Aquatic Toxicity of the Macrolide Antibiotic Clarithromycin and Its Metabolites. Chemosphere 2015, 120, 192–198. [Google Scholar] [CrossRef]
- Huang, I.J.; Sirotkin, H.I.; McElroy, A.E. Varying the Exposure Period and Duration of Neuroactive Pharmaceuticals and Their Metabolites Modulates Effects on the Visual Motor Response in Zebrafish (Danio Rerio) Larvae. Neurotoxicol. Teratol. 2019, 72, 39–48. [Google Scholar] [CrossRef]
- Arnnok, P.; Singh, R.R.; Burakham, R.; Pérez-Fuentetaja, A.; Aga, D.S. Selective Uptake and Bioaccumulation of Antidepressants in Fish from Effluent-Impacted Niagara River. Environ. Sci. Technol. 2017, 51, 10652–10662. [Google Scholar] [CrossRef] [PubMed]
- Fong, P.P.; Molnar, N. Norfluoxetine Induces Spawning and Parturition in Estuarine and Freshwater Bivalves. Bull. Environ. Contam. Toxicol. 2008, 81, 535–538. [Google Scholar] [CrossRef] [PubMed]
- Li, X.; Zhang, R.; Tian, T.; Shang, X.; Du, X.; He, Y.; Matsuura, N.; Luo, T.; Wang, Y.; Chen, J.; et al. Screening and ecological risk of 1200 organic micropollutants in Yangtze Estuary water. Water Res. 2021, 201, 117341. [Google Scholar] [CrossRef] [PubMed]
- Yan, C.; Yang, Y.; Zhou, J.; Liu, M.; Nie, M.; Shi, H.; Gu, L. Antibiotics in the surface water of the Yangtze Estuary: Occurrence, distribution and risk assessment. Environ. Pollut. 2013, 175, 22–29. [Google Scholar] [CrossRef]
- Yan, Z.; Yang, H.; Dong, H.; Ma, B.; Sun, H.; Pan, T.; Jiang, R.; Zhou, R.; Shen, J.; Liu, J.; et al. Occurrence and Ecological Risk Assessment of Organic Micropollutants in the Lower Reaches of the Yangtze River, China: A Case Study of Water Diversion. Environ. Pollut. 2018, 239, 223–232. [Google Scholar] [CrossRef]
- Yang, H.; Lu, G.; Yan, Z.; Liu, J.; Dong, H.; Jiang, R.; Zhou, R.; Zhang, P.; Sun, Y.; Nkoom, M. Occurrence, Spatial-Temporal Distribution and Ecological Risks of Pharmaceuticals and Personal Care Products Response to Water Diversion across the Rivers in Nanjing, China. Environ. Pollut. 2019, 255, 113132. [Google Scholar] [CrossRef]
- Santos, L.H.M.L.M.; Ramalhosa, M.J.; Ferreira, M.; Delerue-Matos, C. Development of a Modified Acetonitrile-Based Extraction Procedure Followed by Ultra-High Performance Liquid Chromatography–Tandem Mass Spectrometry for the Analysis of Psychiatric Drugs in Sediments. J. Chromatogr. A 2016, 1437, 37–48. [Google Scholar] [CrossRef]
- Ma, B.; Lu, G.; Liu, F.; Nie, Y.; Zhang, Z.; Li, Y. Organic UV Filters in the Surface Water of Nanjing, China: Occurrence, Distribution and Ecological Risk Assessment. Bull. Environ. Contam. Toxicol. 2016, 96, 530–535. [Google Scholar] [CrossRef]
- Munro, K.; Martins, C.P.B.; Loewenthal, M.; Comber, S.; Cowan, D.A.; Pereira, L.; Barron, L.P. Evaluation of Combined Sewer Overflow Impacts on Short-Term Pharmaceutical and Illicit Drug Occurrence in a Heavily Urbanised Tidal River Catchment (London, UK). Sci. Total Environ. 2019, 657, 1099–1111. [Google Scholar] [CrossRef]
- Svendsen, S.B.; El-taliawy, H.; Carvalho, P.N.; Bester, K. Concentration Dependent Degradation of Pharmaceuticals in WWTP Effluent by Biofilm Reactors. Water Res. 2020, 186, 116389. [Google Scholar] [CrossRef]
- Lin, W.; Huang, Z.; Gao, S.; Luo, Z.; An, W.; Li, P.; Ping, S.; Ren, Y. Evaluating the stability of prescription drugs in municipal wastewater and sewers based on wastewater-based epidemiology. Sci. Total Environ. 2021, 754, 142414. [Google Scholar] [CrossRef]
- Gros, M.; Petrović, M.; Ginebreda, A.; Barceló, D. Removal of Pharmaceuticals during Wastewater Treatment and Environmental Risk Assessment Using Hazard Indexes. Environ. Int. 2010, 36, 15–26. [Google Scholar] [CrossRef]
- Liu, H.-Q.; Lam, J.C.; Li, W.-W.; Yu, H.-Q.; Lam, P.K. Spatial distribution and removal performance of pharmaceuticals in municipal wastewater treatment plants in China. Sci. Total Environ. 2017, 586, 1162–1169. [Google Scholar] [CrossRef]
- Zheng, C.; Liu, J.; Ren, J.; Shen, J.; Fan, J.; Xi, R.; Chen, W.; Chen, Q. Occurrence, Distribution and Ecological Risk of Bisphenol Analogues in the Surface Water from a Water Diversion Project in Nanjing, China. Int. J. Environ. Res. Public Health 2019, 16, 3296. [Google Scholar] [CrossRef]
- Pérez, S.; Barceló, D. Fate and Occurrence of X-Ray Contrast Media in the Environment. Anal. Bioanal. Chem. 2007, 387, 1235–1246. [Google Scholar] [CrossRef]
- Honti, M.; Bischoff, F.; Moser, A.; Stamm, C.; Baranya, S.; Fenner, K. Relating Degradation of Pharmaceutical Active Ingredients in a Stream Network to Degradation in Water-Sediment Simulation Tests. Water Resour. Res. 2018, 54, 9207–9223. [Google Scholar] [CrossRef]
- Diaz-Camal, N.; Cardoso-Vera, J.D.; Islas-Flores, H.; Gómez-Oliván, L.M.; Mejía-García, A. Consumption and Ocurrence of Antidepressants (SSRIs) in Pre- and Post-COVID-19 Pandemic, Their Environmental Impact and Innovative Removal Methods: A Review. Sci. Total Environ. 2022, 829, 154656. [Google Scholar] [CrossRef]
- Gornik, T.; Kovacic, A.; Heath, E.; Hollender, J.; Kosjek, T. Biotransformation Study of Antidepressant Sertraline and Its Removal during Biological Wastewater Treatment. Water Res. 2020, 181, 115864. [Google Scholar] [CrossRef]
- Yang, S.-F.; Lin, C.-F.; Lin, A.Y.-C.; Hong, P.-K.A. Sorption and Biodegradation of Sulfonamide Antibiotics by Activated Sludge: Experimental Assessment Using Batch Data Obtained under Aerobic Conditions. Water Res. 2011, 45, 3389–3397. [Google Scholar] [CrossRef]
- Yang, H.; Lu, G.; Yan, Z.; Liu, J.; Dong, H.; Bao, X.; Zhang, X.; Sun, Y. Residues, bioaccumulation, and trophic transfer of pharmaceuticals and personal care products in highly urbanized rivers affected by water diversion. J. Hazard. Mater. 2020, 391, 122245. [Google Scholar] [CrossRef]
- Fernandes, C.; Fontaínhas-Fernandes, A.; Peixoto, F.; Salgado, M.A. Bioaccumulation of Heavy Metals in Liza Saliens from the Esmoriz–Paramos Coastal Lagoon, Portugal. Ecotoxicol. Environ. Saf. 2007, 66, 426–431. [Google Scholar] [CrossRef] [PubMed]
- Liu, J.; Lu, G.; Ding, J.; Zhang, Z.; Wang, Y. Tissue Distribution, Bioconcentration, Metabolism, and Effects of Erythromycin in Crucian Carp (Carassius Auratus). Sci. Total Environ. 2014, 490, 914–920. [Google Scholar] [CrossRef] [PubMed]
- Cheng, J.; Mao, L.; Zhao, Z.; Shen, M.; Zhang, S.; Huang, Q.; Gao, S. Bioaccumulation, Depuration and Biotransformation of 4,4′-Dibromodiphenyl Ether in Crucian Carp (Carassius Auratus). Chemosphere 2012, 86, 446–453. [Google Scholar] [CrossRef] [PubMed]
- Orozco-Hernández, J.M.; Gómez-Oliván, L.M.; Elizalde-Velázquez, G.A.; Rosales-Pérez, K.E.; Cardoso-Vera, J.D.; Heredia-García, G.; Islas-Flores, H.; García-Medina, S.; Galar-Martínez, M. Fluoxetine-Induced Neurotoxicity at Environmentally Relevant Concentrations in Adult Zebrafish Danio Rerio. NeuroToxicology 2022, 90, 121–129. [Google Scholar] [CrossRef] [PubMed]
- Zhou, R.; Lu, G.; Yan, Z.; Jiang, R.; Sun, Y.; Zhang, P. Effects of Polystyrene Nanoplastics on the Bioaccumulation, Distribution and Parental Transfer of Ethylhexyl Salicylate. Environ. Sci. Nano 2022, 9, 1025–1036. [Google Scholar] [CrossRef]
- Belfroid, A.; van Velzen, M.; van der Horst, B.; Vethaak, D. Occurrence of Bisphenol A in Surface Water and Uptake in Fish: Evaluation of Field Measurements. Chemosphere 2002, 49, 97–103. [Google Scholar] [CrossRef]
- Brooks, B.W.; Chambliss, C.K.; Stanley, J.K.; Ramirez, A.; Banks, K.E.; Johnson, R.D.; Lewis, R.J. Determination of select antidepressants in fish from an effluent-dominated stream. Environ. Toxicol. Chem. 2005, 24, 464. [Google Scholar] [CrossRef]
- Mutiyar, P.K.; Mittal, A.K. Risk Assessment of Antibiotic Residues in Different Water Matrices in India: Key Issues and Challenges. Environ. Sci. Pollut. Res. 2014, 21, 7723–7736. [Google Scholar] [CrossRef]
- Lu, S.; Lin, C.; Lei, K.; Xin, M.; Gu, X.; Lian, M.; Wang, B.; Liu, X.; Ouyang, W.; He, M. Profiling of the Spatiotemporal Distribution, Risks, and Prioritization of Antibiotics in the Waters of Laizhou Bay, Northern China. J. Hazard. Mater. 2022, 424, 127487. [Google Scholar] [CrossRef]
- Ajibola, A.S.; Fawole, S.T.; Ajibola, F.O.; Adewuyi, G.O. Diclofenac and Ibuprofen Determination in Sewage Sludge Using a QuEChERS Approach: Occurrence and Ecological Risk Assessment in Three Nigerian Wastewater Treatment Plants. Bull. Environ. Contam. Toxicol. 2021, 106, 690–699. [Google Scholar] [CrossRef]
- Backhaus, T.; Faust, M. Predictive Environmental Risk Assessment of Chemical Mixtures: A Conceptual Framework. Environ. Sci. Technol. 2012, 46, 2564–2573. [Google Scholar] [CrossRef]
- Ferrari, B.; Mons, R.; Vollat, B.; Fraysse, B.; Paxēaus, N.; Giudice, R.L.; Pollio, A.; Garric, J. Environmental risk assessment of six human pharmaceuticals: Are the current environmental risk assessment procedures sufficient for the protection of the aquatic environment? Environ. Toxicol. Chem. 2004, 23, 1344–1354. [Google Scholar] [CrossRef]
- Isidori, M.; Lavorgna, M.; Nardelli, A.; Pascarella, L.; Parrella, A. Toxic and genotoxic evaluation of six antibiotics on non-target organisms. Sci. Total Environ. 2005, 346, 87–98. [Google Scholar] [CrossRef]
- Kim, Y.; Choi, K.; Jung, J.; Park, S.; Kim, P.G.; Park, J. Aquatic toxicity of acetaminophen, carbamazepine, cimetidine, diltiazem and six major sulfonamides, and their potential ecological risks in Korea. Environ. Int. 2007, 33, 370–375. [Google Scholar] [CrossRef]
- Brain, R.A.; Johnson, D.J.; Richards, S.M.; Sanderson, H.; Sibley, P.K.; Solomon, K.R. Effects of 25 pharmaceutical compounds to Lemna gibba using a seven-day static-renewal test. Environ. Toxicol. Chem. 2004, 23, 371–382. [Google Scholar] [CrossRef]
- De Liguoro, M.; Fioretto, B.; Poltronieri, C.; Gallina, G. The toxicity of sulfamethazine to Daphnia magna and its additivity to other veterinary sulfonamides and trimethoprim. Chemosphere 2009, 75, 1519–1524. [Google Scholar] [CrossRef]
- Kuzmanović, M.; Ginebreda, A.; Petrović, M.; Barceló, D. Risk assessment based prioritization of 200 organic micropollutants in 4 Iberian rivers. Sci. Total Environ. 2015, 503, 289–299. [Google Scholar] [CrossRef]
- De Orte, M.R.; Carballeira, C.; Viana, I.G.; Carballeira, A. Assessing the toxicity of chemical compounds associated with marine land-based fish farms: The use of mini-scale microalgal toxicity tests. Chem. Ecol. 2013, 29, 554–563. [Google Scholar] [CrossRef]
- Li, N.; Zhang, X.; Wu, W.; Zhao, X. Occurrence, seasonal variation and risk assessment of antibiotics in the reservoirs in North China. Chemosphere 2014, 111, 327–335. [Google Scholar] [CrossRef]
- Brun, G.L.; Bernier, M.; Losier, R.; Doe, K.; Jackman, P.; Lee, H.B. Pharmaceutically active compounds in atlantic canadian sewage treatment plant effluents and receiving waters, and potential for environmental effects as measured by acute and chronic aquatic toxicity. Environ. Toxicol. Chem. 2006, 25, 2163–2176. [Google Scholar] [CrossRef]
- Pounds, N.; Maclean, S.; Webley, M.; Pascoe, D.; Hutchinson, T. Acute and chronic effects of ibuprofen in the mollusc Planorbis carinatus (Gastropoda: Planorbidae). Ecotoxicol. Environ. Saf. 2008, 70, 47–52. [Google Scholar] [CrossRef] [PubMed]
- Han, S.; Choi, K.; Kim, J.; Ji, K.; Kim, S.; Ahn, B.; Yun, J.; Choi, K.; Khim, J.S.; Zhang, X.; et al. Endocrine disruption and consequences of chronic Expo. to ibuprofen in Japanese medaka (Oryzias latipes) and freshwater cladocerans Daphnia magna and Moina macrocopa. Aquat. Toxicol. 2010, 98, 256–264. [Google Scholar] [CrossRef] [PubMed]
- Isidori, M.; Nardelli, A.; Pascarella, L.; Rubino, M.; Parrella, A. Toxic and genotoxic impact of fibrates and their photoproducts on non-target organisms. Environ. Int. 2007, 33, 635–641. [Google Scholar] [CrossRef] [PubMed]
- Quinn, B.; Gagné, F.; Blaise, C. The effects of pharmaceuticals on the regeneration of the cnidarian, Hydra attenuata. Sci. Total Environ. 2008, 402, 62–69. [Google Scholar] [CrossRef]
- Kim, J.W.; Ishibashi, H.; Yamauchi, R.; Ichikawa, N.; Takao, Y.; Hirano, M.; Koga, M.; Arizono, K. Acute toxicity of pharmaceutical and personal care products on freshwater crustacean (Thamnocephalus platyurus) and fish (Oryzias latipes). J. Toxicol. Sci. 2009, 34, 227. [Google Scholar] [CrossRef]
- Silva, L.J.; Pereira, A.M.; Meisel, L.M.; Lino, C.M.; Pena, A. Reviewing the serotonin reuptake inhibitors (SSRIs) footprint in the aquatic biota: Uptake, bioaccumulation and ecotoxicology. Environ. Pollut. 2015, 197, 127–143. [Google Scholar] [CrossRef]










| Categories | Pharmaceutical Metabolites/Parents | Abbreviation | CAS | Molecular Weight | Structure Formula |
|---|---|---|---|---|---|
| Sulfonamide drug | Sulfamethoxazole | SMX | 723-46-6 | 253.28 | ![]() |
| N4-Acetyl sulfamethoxazole * | Ac-SMX | 21312-10-7 | 295.32 | ![]() | |
| Sulfamerazine | SM1 | 127-79-7 | 264.3 | ![]() | |
| Acetyl sulfamerazine * | Ac-SM1 | 127-73-1 | 306.34 | ![]() | |
| Sulfadimidine | SM2 | 57-68-1 | 278.32 | ![]() | |
| Acetyl sulfadimidine * | Ac-SM2 | 100-90-3 | 320.37 | ![]() | |
| Sulfadiazine | SD | 68-35-9 | 250.28 | ![]() | |
| Acetyl sulfadiazine * | Ac-SD | 127-74-2 | 292.31 | ![]() | |
| Nonsteroidal anti-inflammatory drug | Ibuprofen | IPF | 15687-27-1 | 206.28 | ![]() |
| 2-Hydroxy ibuprofen * | 2-OHIPF | 51146-55-5 | 222.28 | ![]() | |
| Antipyrine | ATP | 60-80-0 | 188.23 | ![]() | |
| 4-Hydroxyantipyrine * | 4-OHATP | 1672-63-5 | 204.23 | ![]() | |
| Fibrate drug | Bezafibrate | BZB | 41859-67-0 | 361.82 | ![]() |
| 4-Chlorobenzoic acid * | 4-CBA | 74-11-3 | 156.57 | ![]() | |
| Psychoactive drug | Carbamazepine | CBZ | 298-46-4 | 236.27 | ![]() |
| Carbamazepine-10,11-epoxide * | CBZE | 36507-30-9 | 252.27 | ![]() | |
| Fluoxetine | FLX | 56296-78-7 | 345.79 | ![]() | |
| Norfluoxetine * | NFLX | 83891-03-6 | 331.76 | ![]() | |
| Sertraline | SER | 79617-96-2 | 342.69 | ![]() | |
| Norsetraline * | NDS | 91797-57-8 | 328.66 | ![]() | |
| Venlafaxine | VFS | 99300-78-4 | 313.86 | ![]() | |
| O-Desmethylvenlafaxine * | OVM-VFS | 93413-62-8 | 263.38 | ![]() |
Disclaimer/Publisher’s Note: The statements, opinions and data contained in all publications are solely those of the individual author(s) and contributor(s) and not of MDPI and/or the editor(s). MDPI and/or the editor(s) disclaim responsibility for any injury to people or property resulting from any ideas, methods, instructions or products referred to in the content. |
© 2023 by the authors. Licensee MDPI, Basel, Switzerland. This article is an open access article distributed under the terms and conditions of the Creative Commons Attribution (CC BY) license (https://creativecommons.org/licenses/by/4.0/).
Share and Cite
Yan, Z.; Zhou, Y.; Zhang, Y.; Zhang, X. Distribution, Bioaccumulation, and Risks of Pharmaceutical Metabolites and Their Parents: A Case Study in an Yunliang River, Nanjing City. Int. J. Environ. Res. Public Health 2023, 20, 2967. https://doi.org/10.3390/ijerph20042967
Yan Z, Zhou Y, Zhang Y, Zhang X. Distribution, Bioaccumulation, and Risks of Pharmaceutical Metabolites and Their Parents: A Case Study in an Yunliang River, Nanjing City. International Journal of Environmental Research and Public Health. 2023; 20(4):2967. https://doi.org/10.3390/ijerph20042967
Chicago/Turabian StyleYan, Zhenhua, Yixin Zhou, Yan Zhang, and Xiadong Zhang. 2023. "Distribution, Bioaccumulation, and Risks of Pharmaceutical Metabolites and Their Parents: A Case Study in an Yunliang River, Nanjing City" International Journal of Environmental Research and Public Health 20, no. 4: 2967. https://doi.org/10.3390/ijerph20042967
APA StyleYan, Z., Zhou, Y., Zhang, Y., & Zhang, X. (2023). Distribution, Bioaccumulation, and Risks of Pharmaceutical Metabolites and Their Parents: A Case Study in an Yunliang River, Nanjing City. International Journal of Environmental Research and Public Health, 20(4), 2967. https://doi.org/10.3390/ijerph20042967






















