Dissolved Organic Phosphorus Removal in Secondary Effluent by Ferrate (VI): Performance and Mechanism
Abstract
1. Introduction
2. Materials and Methods
2.1. Wastewater Samples and Reagents
2.2. Ferrate (VI) Removal of DOP in Secondary Effluent
2.3. Ferrate (VI) Treatment of DOP Model Compounds
2.4. Sample Analyses
3. Results
3.1. Dissolved Organic Phosphorus Removal from Secondary Effluent
3.1.1. Effect of Ferrate (VI) Dose
3.1.2. Effect of pH
3.1.3. Effect of Co-Existing Ions
3.2. Dissolved Organic Phosphorus Removal Mechanism Exploration
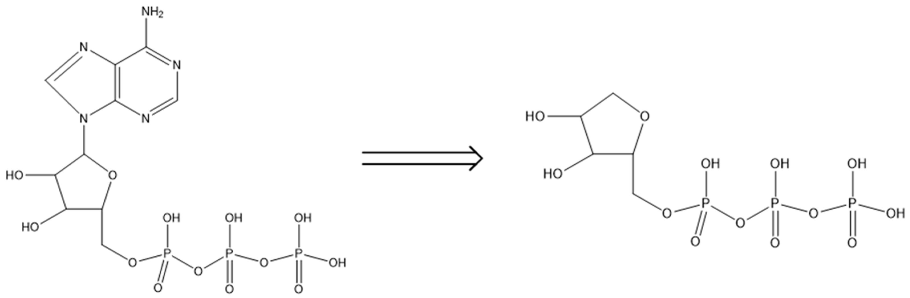
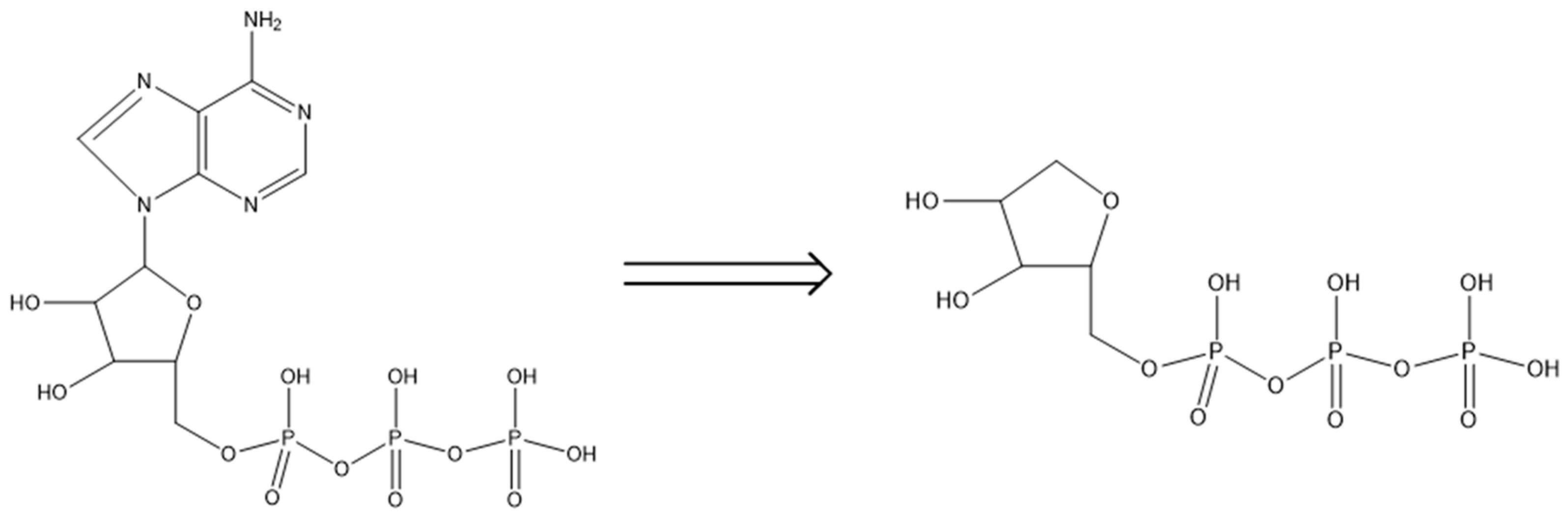
3.2.1. Model Dissolved Organic Phosphorus Removal
3.2.2. Size Fractions of P and Fe after Ferrate (VI) Treatment
3.2.3. Surface Element Analyses of Ferrate (VI) Resultant Particles
3.2.4. Identification of Degradation Products in Treated Water
4. Discussion
4.1. Mechanisms for DOP Removal with Ferrate (VI)
4.2. Operation Factors and Coexisting Wastewater Matrix Constituents
4.3. Implication to the Wastewater Industry
- (1)
- This study finds a new pathway to prevent recalcitrant wastewater-derived DOP from entering natural receiving water bodies. The addition of common coagulants, such as ferric chloride and aluminum sulfate, has been used as a widely accepted method for the elimination of phosphate from biologically treated municipal wastewater due to their effectiveness and low costs. Although coagulation can well remove reactive phosphate, it has proven ineffective for the mitigation of DOP. Encouraging results from this study show that ferrate (VI) is a promising treatment agent for capturing DOP in secondary effluent. This is of significance, particularly for the natural water bodies that are highly environmentally sensitive to nutrient loadings (e.g., the Chesapeake Bay in the United States).
- (2)
- Ferrate (VI) removal of DOP can be significantly influenced by the ferrate (VI) dose, water pH, and the presence of phosphate. The first two are operating factors, while the last one represents a wastewater matrix constituent. For different secondary effluents, the specific optimal ferrate (VI) dose and pH need to be determined. It should be noted that the original secondary effluent pH may not be the optimal level. If an additional pH adjustment is required before and after the treatment, the costs are increased due to the use of acid/base as well as additional pH adjustment equipment and pipelines. Accordingly, the system design, operation, and maintenance would become more complex. If this is the case, what ferrate (VI) dose and pH are realistically adopted depends on the comparison at different operational conditions in terms of treatment efficiencies and treatment expenses.
- (3)
- This study reveals that DOP adsorption to ferrate (VI) resultants plays a vital role in the ferrate (VI) removal of wastewater DOP. The controlling of particle sizes during the treatment operation is essential to selection the of appropriate downstream liquid–solid separation techniques, because different liquid–solid separation methods are effective for different particle size ranges. Generally, larger particles are more readily and less costly separated. Therefore, the size growth of particles during ferrate (VI) treatment through appropriate engineering designs and operation control (e.g., control of pH and chemical mixing gradients) deserves a further investigation in future.
5. Conclusions
- (1)
- Ferrate (VI) treatment is a technically effective method for the mitigation of organic phosphorus in biologically treated municipal wastewater. The treatment efficiency is influenced by the ferrate (VI) dose and pH.
- (2)
- Among different wastewater matrix constituents, alkalinity, nitrate, and ammonia have very limited influence on ferrate (VI) removal of DOP. In contrast, inorganic phosphate can suppress the DOP removal. The inhibiting effect is ascribed to the competitive adsorption of phosphate with OP compounds for active adsorption sites on the ferrate (VI) resultant particles.
- (3)
- Based on the studies with DOP model compounds, ferrate (VI) oxidation and ensuing adsorption with ferrate (VI) resultant particles are the major DOP removal mechanisms. Specifically, ferrate (VI) firstly degrades these parent DOP compounds into daughter P-containing compounds, followed by the adsorption of these daughter compounds by the resultant iron (hdyr)oxide particles. Of note, inorganic phosphate is not observed after ferrate (VI) treatment of DOP model compounds, suggesting that ferrate (VI) insufficiently degrades DOP into inorganic P. However, the conclusions are made only based on the selected model compounds. Given that DOP derives from various EfOM molecules, novel experimental approaches need to be developed for the exploration of the mechanisms for ferrate (VI) removal of aggregate DOP in secondary effluent.
Supplementary Materials
Author Contributions
Funding
Institutional Review Board Statement
Informed Consent Statement
Data Availability Statement
Conflicts of Interest
References
- Darch, T.; Blackwell, M.; Hawkins, J.; Haygarth, P.; Chadwick, D. A meta-analysis of organic and inorganic phosphorus in organic fertilizers, soils, and water: Implications for water quality. Crit. Rev. Environ. Sci. Technol. 2014, 44, 2172–2202. [Google Scholar] [CrossRef]
- Ni, Z.; Li, Y.; Wang, S. Cognizing and characterizing the organic phosphorus in lake sediments: Advances and challenges. Water Res. 2022, 220, 118663. [Google Scholar] [CrossRef]
- Duhamel, S.; Diaz, J.; Adams, J.; Djaoudi, K.; Steck, V.; Waggoner, E. Phosphorus as an integral component of global marine biogeochemistry. Nat. Geosci. 2021, 14, 359–368. [Google Scholar] [CrossRef]
- Wetzel, R. Limnology: Lake and River Ecosystems, 3rd ed.; Gulf Professional Publishing: San Diego, CA, USA, 2001. [Google Scholar]
- Ni, Z.; Huang, D.; Li, Y.; Liu, X.; Wang, S. Novel insights into molecular composition of organic phosphorus in lake sediments. Water Res. 2022, 214, 118197. [Google Scholar] [CrossRef]
- Feng, W.; Wu, F.; He, Z.; Song, F.; Zhu, Y.; Giesy, J.; Wang, Y.; Qin, N.; Zhang, C.; Chen, H.; et al. Simulated bioavailability of phosphorus from aquatic macrophytes and phytoplankton by aqueous suspension and incubation with alkaline phosphatase. Sci. Total Environ. 2018, 616–617, 1431–1439. [Google Scholar] [CrossRef]
- Zhang, W.; Zhu, X.; Jin, X.; Meng, X.; Tang, W.; Shan, B. Evidence for organic phosphorus activation and transformation at the sediment–water interface during plant debris decomposition. Sci. Total Environ. 2017, 583, 458–465. [Google Scholar] [CrossRef]
- Björkman, K.; Karl, D. Bioavailability of dissolved organic phosphorus in the euphotic zone at Station ALOHA, North Pacific Subtropical Gyre. Limnol. Oceanogr. 2003, 48, 1049–1057. [Google Scholar] [CrossRef]
- Ruttenberg, K.; Dyhrman, S. Temporal and spatial variability of dissolved organic and inorganic phosphorus, and metrics of phosphorus bioavailability in an upwelling-dominated coastal system. J. Geophys. Res. Ocean. 2005, 110, C10S13. [Google Scholar] [CrossRef]
- Dueñas, J.; Alonso, J.; Rey, À.; Ferrer, A. Characterisation of phosphorous forms in wastewater treatment plants. J. Hazard. Mater. 2003, 97, 193–205. [Google Scholar] [CrossRef]
- Gray, H.; Powell, T.; Choi, S.; Smith, D.; Parker, W. Organic phosphorus removal using an integrated advanced oxidation-ultrafiltration process. Water Res. 2020, 182, 115968. [Google Scholar] [CrossRef]
- Qin, C.; Liu, H.; Liu, L.; Smith, S.; Sedlak, D.; Gu, A. Bioavailability and characterization of dissolved organic nitrogen and dissolved organic phosphorus in wastewater effluents. Sci. Total Environ. 2015, 511, 47–53. [Google Scholar] [CrossRef]
- Vadstein, O.; Andersen, T.; Reinertsen, H.; Olsen, Y. Carbon, nitrogen and phosphorus resource supply and utilisation for coastal planktonic heterotrophic bacteria in a gradient of nutrient loading. Mar. Ecol. Prog. Ser. 2012, 447, 55–75. [Google Scholar] [CrossRef]
- Gao, S.-X.; Zhang, X.; Fan, W.-Y.; Sheng, G.-P. Molecular insight into the variation of dissolved organic phosphorus in a wastewater treatment plant. Water Res. 2021, 203, 117529. [Google Scholar] [CrossRef]
- Gu, A.; Liu, L.; Neethling, J.; Stensel, H.; Murthy, S. Treatability and fate of various phosphorus fractions in different wastewater treatment processes. Water Sci. Technol. 2011, 63, 804–810. [Google Scholar] [CrossRef] [PubMed]
- Ghernaout, D.; Ghernaout, B.; Naceur, M. Embodying the chemical water treatment in the green chemistry—A review. Desalination 2011, 271, 1–10. [Google Scholar] [CrossRef]
- Jiang, J.; Wang, S.; Panagoulopoulos, A. The role of potassium ferrate(VI) in the inactivation of Escherichia coli and in the reduction of COD for water remediation. Desalination 2007, 210, 266–273. [Google Scholar] [CrossRef]
- Lee, Y.; Yeon, K.; Yoon, J. Chemistry of ferrate (Fe(VI)) in aqueous solution and its applications as a green chemical. J. Ind. Eng. Chem. 2004, 10, 161–171. [Google Scholar]
- Sharma, V.; Burnett, C.; O’Connor, D.; Cabelli, D. Iron(VI) and iron(V) oxidation of thiocyanate. Environ. Sci. Technol. 2002, 36, 4182–4186. [Google Scholar] [CrossRef]
- Song, Y.; Deng, Y.; Jung, C. Mitigation and degradation of natural organic matters (NOMs) during ferrate(VI) application for drinking water treatment. Chemosphere 2016, 146, 145–153. [Google Scholar] [CrossRef]
- Lee, Y.; von Gunten, U. Oxidative transformation of micropollutants during municipal wastewater treatment: Comparison of kinetic aspects of selective (chlorine, chlorine dioxide, ferrate(VI), and ozone) and non-selective oxidants (hydroxyl radical). Water Res. 2010, 44, 555–566. [Google Scholar] [CrossRef]
- Lim, M.; Kim, M. Effectiveness of potassium ferrate (K2FeO4) for simultaneous removal of heavy metals and natural organic matters from river water. Water Air Soil Pollut. 2010, 211, 313–322. [Google Scholar] [CrossRef]
- Prucek, R.; Tucek, J.; Kolarik, J.; Filip, J.; Marusak, Z.; Sharma, V.; Zboril, R. Ferrate(VI)-induced arsenite and arsenate removal by in situ structural incorporation into magnetic iron(III) oxide nanoparticles. Environ. Sci. Technol. 2013, 47, 3283–3292. [Google Scholar] [CrossRef]
- Anquandah, G.; Sharma, V.; Knight, D.; Batchu, S.; Gardinali, P. Oxidation of trimethoprim by ferrate(VI): Kinetics, products, and antibacterial activity. Environ. Sci. Technol. 2011, 45, 10575–10581. [Google Scholar] [CrossRef]
- Anquandah, G.; Sharma, V.; Panditi, V.; Gardinali, P.; Kim, H.; Oturan, M. Ferrate(VI) oxidation of propranolol: Kinetics and products. Chemosphere 2013, 91, 105–109. [Google Scholar] [CrossRef]
- Hu, L.; Page, M.; Sigstam, T.; Kohn, T.; Marinas, B.; Strathmann, T. Inactivation of bacteriophage MS2 with potassium ferrate(VI). Environ. Sci. Technol. 2012, 46, 12079–12087. [Google Scholar] [CrossRef]
- Jessen, A.; Randall, A.; Reinhart, D.; Daly, L. Effectiveness and kinetics of ferrate as a disinfectant for ballast water. Water Environ. Res. 2008, 80, 561–569. [Google Scholar] [CrossRef]
- Liu, H.; Pan, X.; Chen, J.; Qi, Y.; Qu, R.; Wang, Z. Kinetics and mechanism of the oxidative degradation of parathion by Ferrate(VI). Chem. Eng. J. 2019, 365, 142–152. [Google Scholar] [CrossRef]
- Jiang, J. Research progress in the use of ferrate(VI) for the environmental remediation. J. Hazard. Mater. 2007, 146, 617–623. [Google Scholar] [CrossRef]
- Kooti, M.; Tarassoli, A.; Javadi, H.; Jorfi, M. A facile conversion of alcohols to esters mediated by potassium ferrate. E-J. Chem. 2008, 5, 718–722. [Google Scholar] [CrossRef]
- Lee, Y.; Kissner, R.; von Gunten, U. Reaction of ferrate(VI) with ABTS and self-decay of ferrate(VI): Kinetics and mechanisms. Environ. Sci. Technol. 2014, 48, 5154–5162. [Google Scholar] [CrossRef]
- Talaiekhozani, A.; Talaei, M.; Rezania, S. An overview on production and application of ferrate (VI) for chemical oxidation, coagulation and disinfection of water and wastewater. J. Environ. Chem. Eng. 2017, 5, 1828–1842. [Google Scholar] [CrossRef]
- Kralchevska, R.; Prucek, R.; Kolarik, J.; Tucek, J.; Machala, L.; Filip, J.; Sharma, V.; Zboril, R. Remarkable efficiency of phosphate removal: Ferrate(VI)-induced in situ sorption on core-shell nanoparticles. Water Res. 2016, 103, 83–91. [Google Scholar] [CrossRef]
- Lü, C.; Yan, D.; He, J.; Zhou, B.; Li, L.; Zheng, Q. Environmental geochemistry significance of organic phosphorus: An insight from its adsorption on iron oxides. Appl. Geochem. 2017, 84, 52–60. [Google Scholar] [CrossRef]
- Gandhi, R.; Ray, A.; Sharma, V.; Nakhla, G. Treatment of combined sewer overflows using ferrate (VI). Water Environ. Res. 2014, 86, 2202–2211. [Google Scholar] [CrossRef]
- Gombos, E.; Barkacs, K.; Felfoldi, T.; Vertes, C.; Mako, M.; Palko, G.; Zaray, G. Removal of organic matters in wastewater treatment by ferrate (VI)-technology. Microchem. J. 2013, 107, 115–120. [Google Scholar] [CrossRef]
- Lee, Y.; Zimmermann, S.; Kieu, A.; von Gunten, U. Ferrate (Fe(VI)) application for municipal wastewater treatment: A novel process for simultaneous micropollutant oxidation and phosphate removal. Environ. Sci. Technol. 2009, 43, 3831–3838. [Google Scholar] [CrossRef]
- Lee, Y.; Yoon, J.; von Gunten, U. Spectrophotometric determination of ferrate (Fe(Vl)) in water by ABTS. Water Res. 2005, 39, 1946–1953. [Google Scholar] [CrossRef]
- Goodwill, J.; Jiang, Y.; Reckhow, D.; Gikonyo, J.; Tobiason, J. Characterization of particles from ferrate peroxidation. Environ. Sci. Technol. 2015, 49, 4955–4962. [Google Scholar] [CrossRef]
- Lv, D.; Zheng, L.; Zhang, H.; Deng, Y. Coagulation of colloidal particles with ferrate(vi). Environ. Sci. Water Res. Technol. 2018, 4, 701–710. [Google Scholar] [CrossRef]
- Cui, J.; Zheng, L.; Deng, Y. Emergency water treatment with ferrate(VI) in response to natural disasters. Environ. Sci. Water Res. Technol. 2018, 4, 359–368. [Google Scholar] [CrossRef]
- Sharma, V. Oxidation of nitrogen-containing pollutants by novel ferrate(VI) technology: A review. J. Environ. Sci. Health Part A 2010, 45, 645–667. [Google Scholar] [CrossRef] [PubMed]
- Yang, B.; Ying, G.-G.; Zhao, J.-L.; Liu, S.; Zhou, L.-J.; Chen, F. Removal of selected endocrine disrupting chemicals (EDCs) and pharmaceuticals and personal care products (PPCPs) during ferrate(VI) treatment of secondary wastewater effluents. Water Res. 2012, 46, 2194–2204. [Google Scholar] [CrossRef] [PubMed]
- Deng, J.; Wu, H.; Wang, S.; Liu, Y.; Wang, H. Removal of sulfapyridine by ferrate(VI): Efficiency, influencing factors and oxidation pathway. Environ. Technol. 2019, 40, 1585–1591. [Google Scholar] [CrossRef] [PubMed]
- Sun, S.; Jiang, J.; Pang, S.; Ma, J.; Xue, M.; Li, J.; Liu, Y.; Yuan, Y. Oxidation of theophylline by Ferrate (VI) and formation of disinfection byproducts during subsequent chlorination. Sep. Purif. Technol. 2018, 201, 283–290. [Google Scholar] [CrossRef]
- Ruttenberg, K.; Sulak, D. Sorption and desorption of dissolved organic phosphorus onto iron (oxyhydr)oxides in seawater. Geochim. Cosmochim. Acta 2011, 75, 4095–4112. [Google Scholar] [CrossRef]
- Yan, J.; Jiang, T.; Yao, Y.; Lu, S.; Wang, Q.; Wei, S. Preliminary investigation of phosphorus adsorption onto two types of iron oxide-organic matter complexes. J. Environ. Sci. 2016, 42, 152–162. [Google Scholar] [CrossRef]







Disclaimer/Publisher’s Note: The statements, opinions and data contained in all publications are solely those of the individual author(s) and contributor(s) and not of MDPI and/or the editor(s). MDPI and/or the editor(s) disclaim responsibility for any injury to people or property resulting from any ideas, methods, instructions or products referred to in the content. |
© 2023 by the authors. Licensee MDPI, Basel, Switzerland. This article is an open access article distributed under the terms and conditions of the Creative Commons Attribution (CC BY) license (https://creativecommons.org/licenses/by/4.0/).
Share and Cite
Zheng, L.; Gao, P.; Song, Y.; Wang, H.; Deng, Y. Dissolved Organic Phosphorus Removal in Secondary Effluent by Ferrate (VI): Performance and Mechanism. Int. J. Environ. Res. Public Health 2023, 20, 2849. https://doi.org/10.3390/ijerph20042849
Zheng L, Gao P, Song Y, Wang H, Deng Y. Dissolved Organic Phosphorus Removal in Secondary Effluent by Ferrate (VI): Performance and Mechanism. International Journal of Environmental Research and Public Health. 2023; 20(4):2849. https://doi.org/10.3390/ijerph20042849
Chicago/Turabian StyleZheng, Lei, Panpan Gao, Yali Song, Hua Wang, and Yang Deng. 2023. "Dissolved Organic Phosphorus Removal in Secondary Effluent by Ferrate (VI): Performance and Mechanism" International Journal of Environmental Research and Public Health 20, no. 4: 2849. https://doi.org/10.3390/ijerph20042849
APA StyleZheng, L., Gao, P., Song, Y., Wang, H., & Deng, Y. (2023). Dissolved Organic Phosphorus Removal in Secondary Effluent by Ferrate (VI): Performance and Mechanism. International Journal of Environmental Research and Public Health, 20(4), 2849. https://doi.org/10.3390/ijerph20042849
