Effect of Fine Particulate Matter Exposure on Liver Enzymes: A Systematic Review and Meta-Analysis
Abstract
1. Introduction
2. Materials and Methods
2.1. Data Sources and Searches
2.2. Study Selection and Eligibility
2.3. Data Extraction
2.4. Literature Quality Assessment
2.5. Statistical Analyses
3. Results
3.1. Eligible Studies
3.2. Characteristics of Studies Included in the Meta Analysis
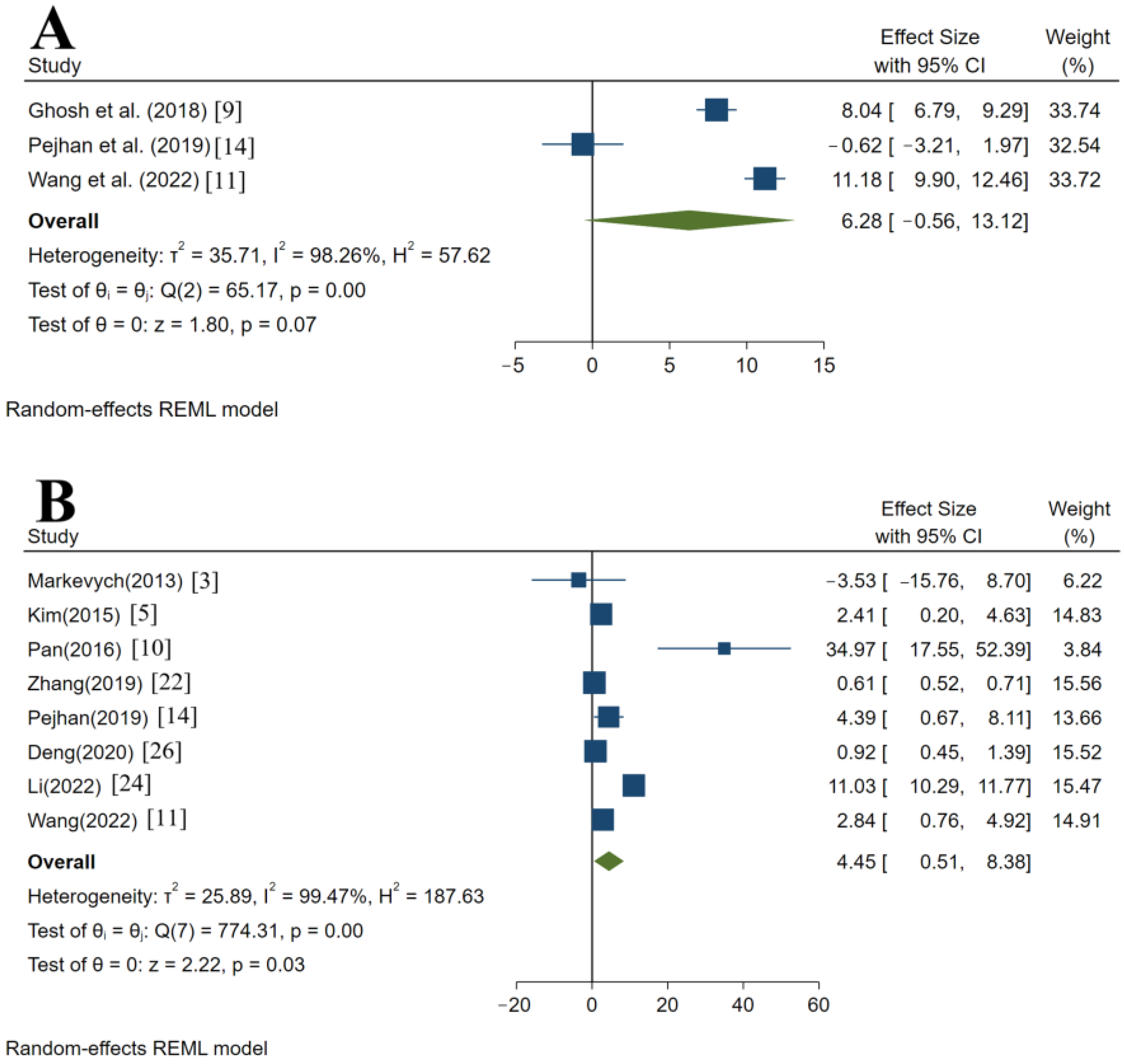
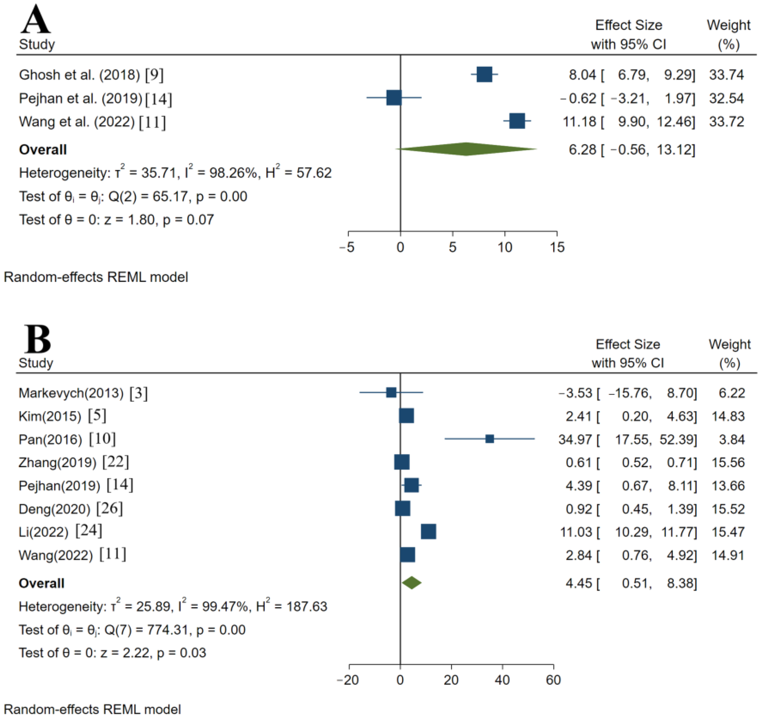
3.3. Overall Meta Estimates and Publication Bias
3.4. Subgroup Analysis of PM2.5 on Changes in Liver Enzyme Levels
4. Discussion
5. Conclusions
Author Contributions
Funding
Institutional Review Board Statement
Informed Consent Statement
Data Availability Statement
Acknowledgments
Conflicts of Interest
References
- Hutchinson, J.A.; Vargo, J.; Milet, M.; French, N.H.F.; Billmire, M.; Johnson, J.; Hoshiko, S. The San Diego 2007 wildfires and Medi-Cal emergency department presentations, inpatient hospitalizations, and outpatient visits: An observational study of smoke exposure periods and a bidirectional case-crossover analysis. PLoS Med. 2018, 15, e1002601. [Google Scholar] [CrossRef] [PubMed]
- Jeong, S.; Park, S.A.; Park, I.; Kim, P.; Cho, N.H.; Hyun, J.W.; Hyun, Y.M. PM2.5 Exposure in the Respiratory System Induces Distinct Inflammatory Signaling in the Lung and the Liver of Mice. J. Immunol. Res. 2019, 2019, 3486841. [Google Scholar] [CrossRef] [PubMed]
- Markevych, I.; Wolf, K.; Hampel, R.; Breitner, S.; Schneider, A.; von Klot, S.; Cyrys, J.; Heinrich, J.; Doring, A.; Beelen, R.; et al. Air pollution and liver enzymes. Epidemiology 2013, 24, 934–935. [Google Scholar] [CrossRef] [PubMed]
- Xie, W.; You, J.; Zhi, C.; Li, L. The toxicity of ambient fine particulate matter (PM2.5) to vascular endothelial cells. J. Appl. Toxicol. 2021, 41, 713–723. [Google Scholar] [CrossRef]
- Kim, K.N.; Lee, H.; Kim, J.H.; Jung, K.; Lim, Y.H.; Hong, Y.C. Physical Activity- and Alcohol-dependent Association Between Air Pollution Exposure and Elevated Liver Enzyme Levels: An Elderly Panel Study. J. Prev. Med. Public Health 2015, 48, 151–169. [Google Scholar] [CrossRef]
- Valavanidis, A.; Vlachogianni, T.; Fiotakis, K.; Loridas, S. Pulmonary oxidative stress, inflammation and cancer: Respirable particulate matter, fibrous dusts and ozone as major causes of lung carcinogenesis through reactive oxygen species mechanisms. Int. J. Environ. Res. Public Health 2013, 10, 3886–3907. [Google Scholar] [CrossRef] [PubMed]
- Wang, H.; Peng, X.; Cao, F.; Wang, Y.; Shi, H.; Lin, S.; Zhong, W.; Sun, J. Cardiotoxicity and Mechanism of Particulate Matter 2.5 (PM2.5) Exposure in Offspring Rats During Pregnancy. Med. Sci. Monit. 2017, 23, 3890–3896. [Google Scholar] [CrossRef]
- Jian, T.; Ding, X.; Wu, Y.; Ren, B.; Li, W.; Lv, H.; Chen, J. Hepatoprotective Effect of Loquat Leaf Flavonoids in PM(2.5)-Induced Non-Alcoholic Fatty Liver Disease via Regulation of IRs-1/Akt and CYP2E1/JNK Pathways. Int. J. Mol. Sci. 2018, 19, 3005. [Google Scholar] [CrossRef] [PubMed]
- Ghosh, R.; Gauderman, W.J.; Minor, H.; Youn, H.A.; Lurmann, F.; Cromar, K.R.; Chatzi, L.; Belcher, B.; Fielding, C.R.; McConnell, R. Air pollution, weight loss and metabolic benefits of bariatric surgery: A potential model for study of metabolic effects of environmental exposures. Pediatr. Obes. 2018, 13, 312–320. [Google Scholar] [CrossRef]
- Pan, W.C.; Wu, C.D.; Chen, M.J.; Huang, Y.T.; Chen, C.J.; Su, H.J.; Yang, H.I. Fine Particle Pollution, Alanine Transaminase, and Liver Cancer: A Taiwanese Prospective Cohort Study (REVEAL-HBV). J. Natl. Cancer Inst. 2016, 108, djv341. [Google Scholar] [CrossRef]
- Wang, X.; Guo, B.; Yang, X.; Li, J.; Baima, Y.; Yin, J.; Yu, J.; Xu, H.; Zeng, C.; Feng, S.; et al. Role of Liver Enzymes in the Relationship Between Particulate Matter Exposure and Diabetes Risk: A Longitudinal Cohort Study. J. Clin. Endocrinol. Metab. 2022, 107, e4086–e4097. [Google Scholar] [CrossRef]
- Smid, V. Liver tests. Cas. Lek. Cesk. 2022, 161, 52–56. [Google Scholar]
- De Silva, N.M.G.; Borges, M.C.; Hingorani, A.D.; Engmann, J.; Shah, T.; Zhang, X.; Luan, J.; Langenberg, C.; Wong, A.; Kuh, D.; et al. Liver Function and Risk of Type 2 Diabetes: Bidirectional Mendelian Randomization Study. Diabetes 2019, 68, 1681–1691. [Google Scholar] [CrossRef] [PubMed]
- Pejhan, A.; Agah, J.; Adli, A.; Mehrabadi, S.; Raoufinia, R.; Mokamel, A.; Abroudi, M.; Ghalenovi, M.; Sadeghi, Z.; Bolghanabadi, Z.; et al. Exposure to air pollution during pregnancy and newborn liver function. Chemosphere 2019, 226, 447–453. [Google Scholar] [CrossRef] [PubMed]
- Pahwa, P.; Chu, L.; Karunanayake, C.; Aich, P.; Hecker, M.; Saxena, A.; Griebel, P.; Niyogi, S. Predictive biomarkers of cardiovascular disease in adult Canadian population. J. Diabetes Metab. Disord. 2021, 20, 1199–1209. [Google Scholar] [CrossRef] [PubMed]
- Kohsari, M.; Moradinazar, M.; Rahimi, Z.; Pasdar, Y.; Shakiba, E. Liver Enzymes and Their Association with Some Cardiometabolic Diseases: Evidence from a Large Kurdish Cohort. Biomed. Res. Int. 2021, 2021, 5584452. [Google Scholar] [CrossRef]
- Kim, H.B.; Shim, J.Y.; Park, B.; Lee, Y.J. Long-Term Exposure to Air Pollutants and Cancer Mortality: A Meta-Analysis of Cohort Studies. Int. J. Environ. Res. Public Health 2018, 15, 2608. [Google Scholar] [CrossRef]
- Kim, H.B.; Shim, J.Y.; Park, B.; Lee, Y.J. Long-term exposure to air pollution and the risk of non-lung cancer: A meta-analysis of observational studies. Perspect Public Health 2020, 140, 222–231. [Google Scholar] [CrossRef]
- Wu, Z.H.; Zhao, M.; Yu, H.; Li, H.D. The impact of particulate matter 2.5 on the risk of hepatocellular carcinoma: A meta-analysis. Int. Arch. Occup. Environ. Health 2022, 95, 677–683. [Google Scholar] [CrossRef]
- Pritchett, N.; Spangler, E.C.; Gray, G.M.; Livinski, A.A.; Sampson, J.N.; Dawsey, S.M.; Jones, R.R. Exposure to Outdoor Particulate Matter Air Pollution and Risk of Gastrointestinal Cancers in Adults: A Systematic Review and Meta-Analysis of Epidemiologic Evidence. Environ. Health Perspect. 2022, 130, 36001. [Google Scholar] [CrossRef]
- Nourouzi, Z.; Chamani, A. Characterization of ambient carbon monoxide and PM 2.5 effects on fetus development, liver enzymes and TSH in Isfahan City, central Iran. Environ. Pollut. 2021, 291, 118238. [Google Scholar] [CrossRef]
- Zhang, Z.; Guo, C.; Chang, L.Y.; Bo, Y.; Lin, C.; Tam, T.; Hoek, G.; Wong, M.C.; Chan, T.C.; Lau, A.K.; et al. Long-term exposure to ambient fine particulate matter and liver enzymes in adults: A cross-sectional study in Taiwan. Occup. Environ. Med. 2019, 76, 488–494. [Google Scholar] [CrossRef]
- Sui, J.; Xia, H.; Zhao, Q.; Sun, G.; Cai, Y. Long-Term Exposure to Fine Particulate Matter and the Risk of Chronic Liver Diseases: A Meta-Analysis of Observational Studies. Int. J. Environ. Res. Public Health 2022, 19, 10305. [Google Scholar] [CrossRef]
- Li, Y.; Yuan, X.; Wei, J.; Sun, Y.; Ni, W.; Zhang, H.; Zhang, Y.; Wang, R.; Xu, R.; Liu, T.; et al. Long-term exposure to ambient air pollution and serum liver enzymes in older adults: A population-based longitudinal study. Ann. Epidemiol. 2022, 74, 1–7. [Google Scholar] [CrossRef] [PubMed]
- Hu, J.; Li, W.; Gao, Y.; Zhao, G.; Jiang, Y.; Wang, W.; Cao, M.; Zhu, Y.; Niu, Y.; Ge, J.; et al. Fine particulate matter air pollution and subclinical cardiovascular outcomes: A longitudinal study in 15 Chinese cities. Environ. Int. 2022, 163, 107218. [Google Scholar] [CrossRef]
- Deng, Z.; Tan, C.; Xiang, Y.; Pan, J.; Shi, G.; Huang, Y.; Xiong, Y.; Xu, K. Association between fine particle exposure and common test items in clinical laboratory: A time-series analysis in Changsha, China. Sci. Total Environ. 2020, 723, 137955. [Google Scholar] [CrossRef] [PubMed]
- Cohen, A.J.; Brauer, M.; Burnett, R.; Anderson, H.R.; Frostad, J.; Estep, K.; Balakrishnan, K.; Brunekreef, B.; Dandona, L.; Dandona, R.; et al. Estimates and 25-year trends of the global burden of disease attributable to ambient air pollution: An analysis of data from the Global Burden of Diseases Study 2015. Lancet 2017, 389, 1907–1918. [Google Scholar] [CrossRef]
- Zhang, Z.; Hu, S.; Fan, P.; Li, L.; Feng, S.; Xiao, H.; Zhu, L. The Roles of Liver Inflammation and the Insulin Signaling Pathway in PM2.5 Instillation-Induced Insulin Resistance in Wistar Rats. Dis. Markers 2021, 2021, 2821673. [Google Scholar] [CrossRef]
- Tavera Busso, I.; Mateos, A.C.; González Peroni, A.; Graziani, N.S.; Carreras, H.A. Hepatic alterations associated with fine particulate matter exposure. Toxicol. Res. 2020, 36, 139–148. [Google Scholar] [CrossRef] [PubMed]
- Grzywa-Celinska, A.; Krusinski, A.; Milanowski, J. ‘Smoging kills’—Effects of air pollution on human respiratory system. Ann. Agric. Environ. Med. 2020, 27, 1–5. [Google Scholar] [CrossRef] [PubMed]
- Gu, J.; Shi, Y.; Zhu, Y.; Chen, N.; Wang, H.; Zhang, Z.; Chen, T. Ambient air pollution and cause-specific risk of hospital admission in China: A nationwide time-series study. PLoS Med. 2020, 17, e1003188. [Google Scholar] [CrossRef] [PubMed]
- Elsayed, M.M.A.; Okda, T.M.; Atwa, G.M.K.; Omran, G.A.; Abd Elbaky, A.E.; Ramadan, A.E.H. Design and Optimization of Orally Administered Luteolin Nanoethosomes to Enhance Its Anti-Tumor Activity against Hepatocellular Carcinoma. Pharmaceutics 2021, 13, 648. [Google Scholar] [CrossRef]
- Ding, S.; Yuan, C.; Si, B.; Wang, M.; Da, S.; Bai, L.; Wu, W. Combined effects of ambient particulate matter exposure and a high-fat diet on oxidative stress and steatohepatitis in mice. PLoS ONE 2019, 14, e0214680. [Google Scholar] [CrossRef] [PubMed]
- Jiang, Z.B.; Gao, J.; Chai, Y.H.; Li, W.; Luo, Y.F.; Chen, Y.Z. Astragaloside alleviates alcoholic fatty liver disease by suppressing oxidative stress. Kaohsiung J. Med. Sci. 2021, 37, 718–729. [Google Scholar] [CrossRef] [PubMed]
- Lakey, P.S.; Berkemeier, T.; Tong, H.; Arangio, A.M.; Lucas, K.; Poschl, U.; Shiraiwa, M. Chemical exposure-response relationship between air pollutants and reactive oxygen species in the human respiratory tract. Sci. Rep. 2016, 6, 32916. [Google Scholar] [CrossRef] [PubMed]
- Li, S.; Tan, H.Y.; Wang, N.; Zhang, Z.J.; Lao, L.; Wong, C.W.; Feng, Y. The Role of Oxidative Stress and Antioxidants in Liver Diseases. Int. J. Mol. Sci. 2015, 16, 26087–26124. [Google Scholar] [CrossRef]
- Paradies, G.; Paradies, V.; Ruggiero, F.M.; Petrosillo, G. Oxidative stress, cardiolipin and mitochondrial dysfunction in nonalcoholic fatty liver disease. World J. Gastroenterol. 2014, 20, 14205–14218. [Google Scholar] [CrossRef]
- Prasanna, P.L.; Renu, K.; Valsala Gopalakrishnan, A. New molecular and biochemical insights of doxorubicin-induced hepatotoxicity. Life Sci. 2020, 250, 117599. [Google Scholar] [CrossRef]
- Xu, J.; Zhang, W.; Lu, Z.; Zhang, F.; Ding, W. Airborne PM(2.5)-Induced Hepatic Insulin Resistance by Nrf2/JNK-Mediated Signaling Pathway. Int. J. Environ. Res. Public Health 2017, 14, 787. [Google Scholar] [CrossRef] [PubMed]
- Xu, M.X.; Ge, C.X.; Qin, Y.T.; Gu, T.T.; Lou, D.S.; Li, Q.; Hu, L.F.; Feng, J.; Huang, P.; Tan, J. Prolonged PM2.5 exposure elevates risk of oxidative stress-driven nonalcoholic fatty liver disease by triggering increase of dyslipidemia. Free Radic. Biol. Med. 2019, 130, 542–556. [Google Scholar] [CrossRef]
- Guo, H.; Sun, J.; Li, D.; Hu, Y.; Yu, X.; Hua, H.; Jing, X.; Chen, F.; Jia, Z.; Xu, J. Shikonin attenuates acetaminophen-induced acute liver injury via inhibition of oxidative stress and inflammation. Biomed. Pharm. 2019, 112, 108704. [Google Scholar] [CrossRef] [PubMed]
- Kim, R.E.; Shin, C.Y.; Han, S.H.; Kwon, K.J. Astaxanthin Suppresses PM2.5-Induced Neuroinflammation by Regulating Akt Phosphorylation in BV-2 Microglial Cells. Int. J. Mol. Sci. 2020, 21, 7227. [Google Scholar] [CrossRef] [PubMed]
- Chenxu, G.; Minxuan, X.; Yuting, Q.; Tingting, G.; Jinxiao, L.; Mingxing, W.; Sujun, W.; Yongjie, M.; Deshuai, L.; Qiang, L.; et al. iRhom2 loss alleviates renal injury in long-term PM2.5-exposed mice by suppression of inflammation and oxidative stress. Redox. Biol. 2018, 19, 147–157. [Google Scholar] [CrossRef] [PubMed]
- Wei, C.T.; Wang, Y.W.; Wu, Y.C.; Lin, L.W.; Chen, C.C.; Chen, C.Y.; Kuo, S.M. Reparative Efficacy of Liposome-Encapsulated Oleanolic Acid against Liver Inflammation Induced by Fine Ambient Particulate Matter and Alcohol in Mice. Pharmaceutics 2022, 14, 1108. [Google Scholar] [CrossRef] [PubMed]



| Studies | Study Design | Location | Years Enrolled | Age Range (Years) | Gender | Sample Size | Liver Enzyme Types | Adjustment Variables | NOS |
|---|---|---|---|---|---|---|---|---|---|
| Markevych et al. [3] (2013) | Prospective Cohort Study | Europe | 2004–2009 | 31–85 | Male/female | 5892 | GGT, AST, and ALT | Socioeconomic, lifestyle, and clinical covariates. | 9 |
| Kim et al. [5] (2015) | Prospective Cohort Study | Korea | 2008–2010 | ≥60 | Male/female | 545 | GGT, AST, and ALT | Age, sex, smoking status, mean temperature, dew point, season, body mass index, alcohol consumption, and amount of exercise. | 9 |
| Pan et al. [10] (2016) | Prospective Cohort Study | Taiwan | 1991–2009 | 30–65 | Male/female | 22,062 | ALT | Age, sex, alcohol consumption, smoking, HBsAg serostatus, anti-HCV serostatus, and county at study entry. | 8 |
| Ghosh et al. [9] (2018) | Prospective Cohort Study | USA | 2005–2014 | <18 | Male/female | 75 | ALP | Sex, age, race/ethnicity and weight at the time of surgery. | 6 |
| Pejhan et al. [14] (2019) | A Cross-Sectional Study | Iran | 2018 | average 27.7 ± 5.4 | Female | 150 | AST, ALT, ALP, and GGT | Age of mother, BMI of mother before pregnancy, number of pregnancies, gestational age, percent of illiterate per census tract, percent of unemployment per census tract, paternal education, maternal education, income, tobacco exposure at home, newborn sex, newborn’s BMI, paternal education, exposure to environmental tobacco smoke, car ownership, home ownership, use the hood during cooking, time of cooking in each day during pregnancy, and time of exposure to cigarette smoke at home during pregnancy. | 8 |
| Zhang et al. [22] (2019) | Cross-Sectional Study | Taiwan | 2001–2014 | average 40.1 ± 13.1 | Male/female | 351,582 | AST, ALT, and GGT | Age, sex, educational level, smoking, alcohol drinking, leisure-time physical activity, occupational exposure to dust and organic solvent, season, body mass index, hypertension, diabetes, hyperlipidaemia, self-reported cardiovascular disease or stroke, self-reported cancer and self-reported liver disease (hepatitis and cirrhosis). | 9 |
| Deng et al. [26] (2020) | Time-Series Analysis | China | 2014–2016 | all ages | Male/female | 13,045,629 | AST and ALT | Time trends, weather conditions (temperature and humidity), days of the week, and the effects of other air pollutants. | 8 |
| Wang et al. [11] (2022) | Prospective Cohort Study | China | 2018–2021 | 30–79 | Male/female | 7963 | ALT, AST, ALP, and GGT | Demographic characteristics, including age, sex, annual household income, ethnic group, residential type, lifestyle behaviors (smoking status, secondhand smoke status, alcohol consumption, indoor pollution, physical activity, and Mediterranean diet score), and environmental factors (season and nitrogen dioxide). | 9 |
| Li et al. [24] (2022) | Longitudinal Study | China | 2018–2020 | 65.0–120.4 | Male/female | 318,911 | AST and ALT | Sex, age, race, educational attainment, cigarette smoking, alcohol consumption, physical activity, BMI categories, abdominal obesity, hypertension, diabetes, dyslipidemia, year, and season. | 8 |
| Hu et al. [25] (2022) | Longitudinal Study | China | 2013–2020 | 18–99 | Male/female | 247,640 | AST | Age, gender, body mass index, smoke status, cardiometabolic diseases, yearly trends, region and the gaseous pollutants, meteorological factors, public holidays, intra-week variation, average temperature, and relative humidity. | 7 |
| ALP | ALT | AST | GGT | |||||||||
|---|---|---|---|---|---|---|---|---|---|---|---|---|
| No. of Study | % (95% CI) | I2(%) | No. of Study | % (95% CI) | I2(%) | No. of Study | % (95% CI) | I2(%) | No. of Study | % (95% CI) | I2(%) | |
| Region | ||||||||||||
| Asia | 2 | 5.34 (−6.23, 16.90) | 98.44 | 7 | 5.07 (0.81, 9.33) | 99.59 | 7 | 4.11 (0.74, 7.48) | 99.98 | 4 | 2.74 (1.09, 4.38) | 52.20 |
| Europe | 0 | NA | NA | 1 | −3.53 (−15.76, 8.70) | NA | 1 | 2.52 (−5.85, 10.88) | NA | 1 | 19.44 (−1.57, 40.45) | NA |
| USA | 1 | 8.04 (6.79, 9.29) | NA | 0 | NA | NA | 0 | NA | NA | 0 | NA | NA |
| Sample size | ||||||||||||
| <1000 | 2 | 3.79 (−4.70, 12.27) | 97.14 | 2 | 2.93 (1.03, 4.83) | 2 | 5.84 (−1.56, 13.25) | 92.39 | 2 | 2.25 (0.30, 4.20) | 59.79 | |
| ≥1000 | 1 | 11.18 (9.90, 12.46) | NA | 6 | 5.94 (−1.84, 13.72) | 6 | 3.40 (−0.28, 7.09) | 99.98 | 3 | 4.73 (0.85, 8.61) | 29.50 | |
| Age (years old) | ||||||||||||
| ≥60 | 0 | NA | NA | 2 | 6.79 (−1.66, 15.23) | 98.09 | 2 | 6.68 (−1.92, 15.27) | 99.03 | 1 | 3.77 (1.07, 6.46) | NA |
| <60 | 2 | 3.79 (−4.70, 12.27) | 97.14 | 2 | 2.02 (−1.56, 5.61) | 74.77 | 2 | 4.47 (−4.87, 14.34) | 96.14 | 2 | 3.33 (−1.43, 8.10) | 67.47 |
| Multiple ages | 1 | 11.18 (9.90, 12.46) | NA | 4 | 7.31 (−7.54, 22.16) | 99.17 | 4 | 2.13 (−0.54, 4.79) | 98.00 | 2 | 7.80 (−6.77, 22.37) | 56.52 |
| Exposure time | ||||||||||||
| Short-term | 0 | NA | NA | 1 | 2.41 (0.20, 4.63) | NA | 2 | 1.08 (−0.91, 3.06) | 84.52 | 1 | 3.77 (1.07, 6.46) | NA |
| Long-term | 3 | 6.28 (−0.56, 13.12) | 98.26 | 7 | 5.17 (−0.19, 10.53) | 99.72 | 6 | 5.02 (1.10, 8.94) | 99.49 | 4 | 2.86 (0.62, 5.09) | 50.30 |
| Study design | ||||||||||||
| Prospective cohort study | 2 | 9.61 (6.53, 12.68) | 91.55 | 5 | 6.28 (−3.34, 15.90) | 96.94 | 3 | 3.68 (1.15, 6.22) | 74.25 | 2 | 8.00 (−5.63, 21.63) | 52.43 |
| Others | 1 | −0.62 (−3.21, 1.97) | NA | 3 | 4.18 (−2.52, 10.88) | 99.88 | 5 | 4.30 (−0.50, 9.11) | 99.99 | 3 | 2.49 (0.58, 4.40) | 49.41 |
Disclaimer/Publisher’s Note: The statements, opinions and data contained in all publications are solely those of the individual author(s) and contributor(s) and not of MDPI and/or the editor(s). MDPI and/or the editor(s) disclaim responsibility for any injury to people or property resulting from any ideas, methods, instructions or products referred to in the content. |
© 2023 by the authors. Licensee MDPI, Basel, Switzerland. This article is an open access article distributed under the terms and conditions of the Creative Commons Attribution (CC BY) license (https://creativecommons.org/licenses/by/4.0/).
Share and Cite
Pan, L.; Sui, J.; Xu, Y.; Zhao, Q.; Cai, Y.; Sun, G.; Xia, H. Effect of Fine Particulate Matter Exposure on Liver Enzymes: A Systematic Review and Meta-Analysis. Int. J. Environ. Res. Public Health 2023, 20, 2803. https://doi.org/10.3390/ijerph20042803
Pan L, Sui J, Xu Y, Zhao Q, Cai Y, Sun G, Xia H. Effect of Fine Particulate Matter Exposure on Liver Enzymes: A Systematic Review and Meta-Analysis. International Journal of Environmental Research and Public Health. 2023; 20(4):2803. https://doi.org/10.3390/ijerph20042803
Chicago/Turabian StylePan, Ling, Jing Sui, Ying Xu, Qun Zhao, Yinyin Cai, Guiju Sun, and Hui Xia. 2023. "Effect of Fine Particulate Matter Exposure on Liver Enzymes: A Systematic Review and Meta-Analysis" International Journal of Environmental Research and Public Health 20, no. 4: 2803. https://doi.org/10.3390/ijerph20042803
APA StylePan, L., Sui, J., Xu, Y., Zhao, Q., Cai, Y., Sun, G., & Xia, H. (2023). Effect of Fine Particulate Matter Exposure on Liver Enzymes: A Systematic Review and Meta-Analysis. International Journal of Environmental Research and Public Health, 20(4), 2803. https://doi.org/10.3390/ijerph20042803

