Relation between VT1, VT2, and VO2max with the Special Wrestling Fitness Test in Youth Wrestlers: A Short Report
Abstract
1. Introduction
2. Materials and Methods
2.1. Participants
2.2. Procedures and Measures
2.3. Incremental Test
2.4. Statistic Analysis
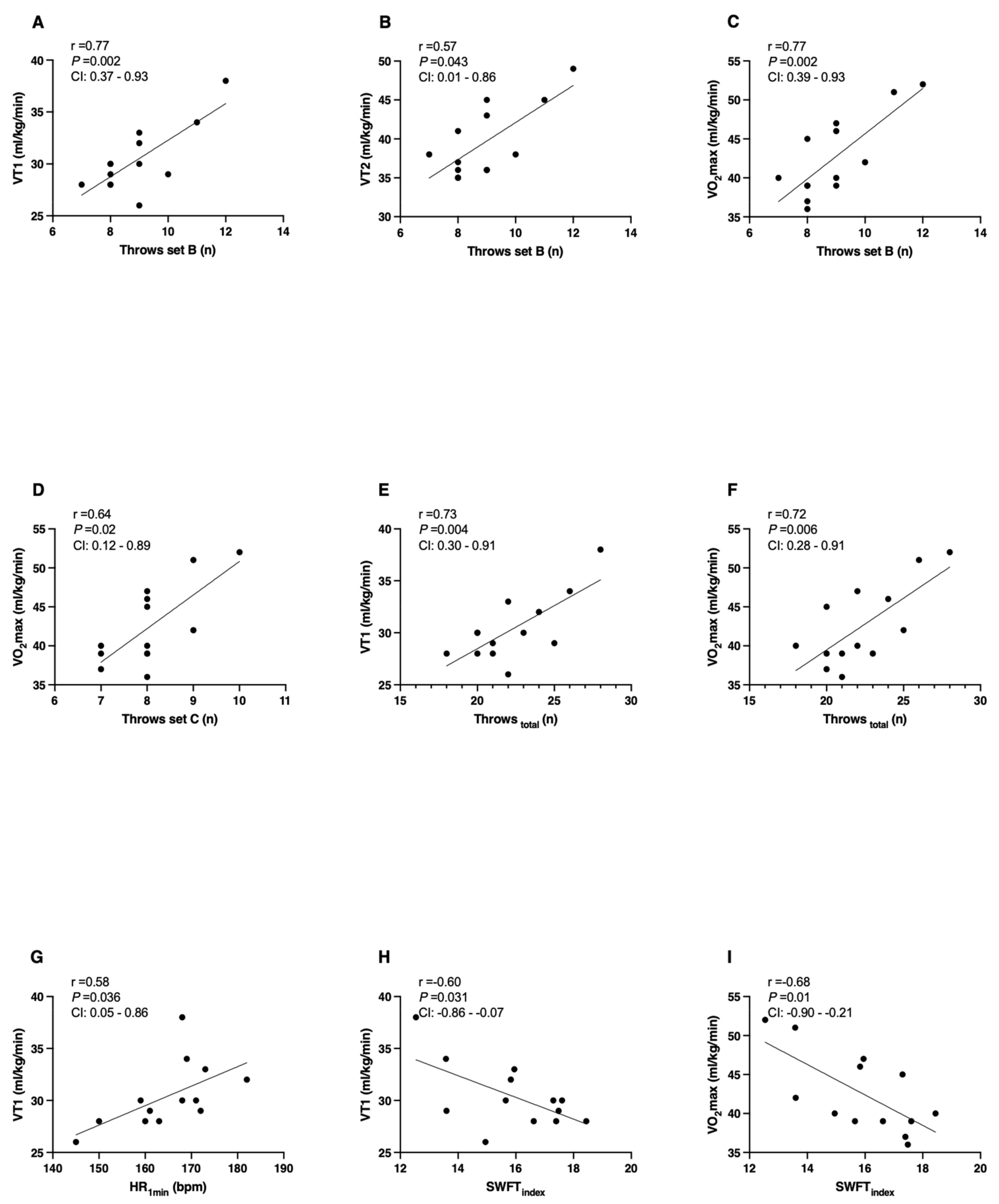
3. Results
4. Discussion
5. Conclusions
Author Contributions
Funding
Institutional Review Board Statement
Informed Consent Statement
Data Availability Statement
Acknowledgments
Conflicts of Interest
References
- Chaabene, H.; Negra, Y.; Bouguezzi, R.; Mkaouer, B.; Franchini, E.; Julio, U.; Hachana, Y. Physical and physiological attributes of wrestlers. J. Strength Cond. Res. 2017, 31, 1411–1442. [Google Scholar] [CrossRef]
- Chaabene, H.; Negra, Y.; Bouguezzi, R.; Capranica, L.; Franchini, E.; Prieske, O.; Hbacha, H.; Granacher, U. Tests for the assessment of sport-specific performance in Olympic combat sports: A systematic review with practical recommendations. Front. Physiol. 2018, 9, 386. [Google Scholar] [CrossRef]
- Herrera-Valenzuela, T.; Cuadra, D.; Valdés-Badilla, P.; Cofre-Bolados, C.; Pardo-Tamayo, C.; Ojeda-Aravena, A.; Franchini, E. Relationship of the Special Wrestling Fitness Test with aerobic performance. Rev. Andaluza Med. Del Deport. 2021, 14, 98–102. [Google Scholar] [CrossRef]
- Martínez-Abellán, A.; de Rabadán Iniesta, J.C. Special Wrestling Fitness Test: Una prueba específica de lucha olímpica aplicada a luchadores jóvenes. Sport TK-Rev. Euroam. Cienc. Del Deport. 2016, 5, 27. [Google Scholar] [CrossRef]
- Venegas-Cárdenas, D.; Caibul-Díaz, R.; Mons, V.; Valdés-Badilla, P.; Pichon, A.; Cuadra, D.; Albuquerque, M.R.; Santos, J.F.S.; Herrera-Valenzuela, T. Physical and physiological profile in youth elite Chilean wrestlers. Arch. Budo 2019, 15, 249–257. [Google Scholar]
- Karimi, M. Validity of Special Judo Fitness Test in Iranian male wrestlers. Int. J. Wrestl. Sci. 2016, 6, 34–38. [Google Scholar] [CrossRef]
- Işık, Ö.; Doğan, İ.; Cicioğlu, H.İ.; Yıldırım, İ. A new approach to Special Judo Fitness Test index: Relative index. J. Hum. Sci. 2017, 14, 4219. [Google Scholar] [CrossRef]
- Lowery, M.R.; Tomkinson, G.R.; Peterson, B.J.; Fitzgerald, J.S. The relationship between ventilatory threshold and repeated-sprint ability in competitive male ice hockey players. J. Exerc. Sci. Fit. 2018, 16, 32–36. [Google Scholar] [CrossRef]
- Detanico, D.; Dal Pupo, J.; Franchini, E.; Giovana dos Santos, S. Relationship of aerobic and neuromuscular indexes with specific actions in judo. Sci. Sport. 2012, 27, 16–22. [Google Scholar] [CrossRef]
- Lopes-Silva, J.P.; Panissa, V.L.G.; Julio, U.F.; Franchini, E. Influence of physical fitness on Special Judo Fitness Test performance: A multiple linear regression analysis. J. Strength Cond. Res. 2021, 35, 1732–1738. [Google Scholar] [CrossRef] [PubMed]
- Ceylan, B.; Šimenko, J.; Balcı, Ş.S. Which Performance Tests Best Define the Special Judo Fitness Test Classification in Elite Judo Athletes? J. Funct. Morphol. Kinesiol. 2022, 7, 101. [Google Scholar] [CrossRef]
- Currell, K.; Jeukendrup, A. Validity, Reliability and Sensitivity of Measures of Sporting Performance LK. Sport. Med. TA-TT 2008, 38, 297–316. [Google Scholar]
- Wasserman, K.; Hansen, J.E.; Sue, D.Y.; Whipp, B.J.; Froelicher, V.F. Principles of exercise testing and interpretation. J. Cardiopulm. Rehabil. Prev. 1987, 7, 189. [Google Scholar] [CrossRef]
- Franchini, E. High-intensity interval training prescription for combat-sport athletes. Int. J. Sports Physiol. Perform. 2020, 15, 767–776. [Google Scholar] [CrossRef]
- Franchini, E.; Sterkowicz, S.; Szmatlan-Gabrys, U.; Gabrys, T.; Garnys, M. Energy system contributions to the Special Judo Fitness Test. Int. J. Sports Physiol. Perform. 2011, 6, 334–343. [Google Scholar] [CrossRef] [PubMed]
- Antunes, A.; Domingos, C.; Diniz, L.; Monteiro, C.P.; Espada, M.C.; Alves, F.B.; Reis, J.F. The relationship between VO2 and muscle deoxygenation kinetics and upper body repeated sprint performance in trained judokas and healthy individuals. Int. J. Environ. Res. Public Health 2022, 19, 861. [Google Scholar] [CrossRef] [PubMed]
- Jones, A.M.; Carter, H. The effect of endurance training on parameters of aerobic fitness. Sport. Med. 2000, 29, 373–386. [Google Scholar] [CrossRef]
- Nilsson, J.; Csergö, S.; Gullstrand, L.; Tveit, P.; Refsnes, P.E. Work-time profile, blood lactate concentration and rating of perceived exertion in the 1998 Greco-Roman wrestling World Championship. J. Sports Sci. 2002, 20, 939–945. [Google Scholar] [CrossRef]
- Sciranka, J.; Augustovicova, D.; Stefanovsky, M. Time-motion analysis in freestyle wrestling: Weight category as a factor in different time-motion structures. Ido Mov. Cult. 2022, 22, 1–8. [Google Scholar] [CrossRef]
- Da Silva, J.; Guglielmo, L.; Bishop, D. Relationship between different measures of aerobic fitness and Repeated-Sprint Ability in elite soccer players. J. Strength Cond. Res. 2010, 24, 2115–2121. [Google Scholar] [CrossRef]
- Mirzaei, B.; Ghahremani Moghaddam, M.; Alizaee Yousef Abadi, H. Analysis of Energy Systems in Greco-Roman and Freestyle Wrestlers Who Participated in the 2015 and 2016 World Championships. Int. J. Wrestl. Sci. 2017, 7, 35–40. [Google Scholar] [CrossRef]
- Mirzaei, B.; Faryabi, I.; Yousefabadi, H.A. Time-motion analysis of the 2017 wrestling world championships. Pedagog. Phys. Cult. Sport. 2021, 25, 24–30. [Google Scholar] [CrossRef]
- Doria, C.; Veicsteinas, A.; Limonta, E.; Maggioni, M.A.; Aschieri, P.; Eusebi, F.; Fanò, G.; Pietrangelo, T. Energetics of karate (kata and kumite techniques) in top-level athletes. Eur. J. Appl. Physiol. 2009, 107, 603–610. [Google Scholar] [CrossRef] [PubMed]
- Davis, P.; Leithäuser, R.M.; Beneke, R. The energetics of semicontact 3 × 2-min amateur boxing. Int. J. Sports Physiol. Perform. 2014, 9, 233–239. [Google Scholar] [CrossRef]
- Julio, U.F.; Panissa, V.L.G.; Esteves, J.V.; Cury, R.L.; Agostinho, M.F.; Franchini, E. Energy-System Contributions to Simulated Judo Matches. Int. J. Sports Physiol. Perform. 2017, 12, 676–683. [Google Scholar] [CrossRef]
- Campos, F.A.D.; Bertuzzi, R.; Dourado, A.C.; Santos, V.G.F.; Franchini, E. Energy demands in taekwondo athletes during combat simulation. Eur. J. Appl. Physiol. 2012, 112, 1221–1228. [Google Scholar] [CrossRef]


| Variable | Mean ± SD | CI 95% |
|---|---|---|
| Special Wrestling Fitness Test | ||
| HRfinal (bpm) | 186 ± 6 | 183–189 |
| HR1min (bpm) | 165 ± 10 | 159–171 |
| HRsum (bpm) | 351 ± 14 | 343–359 |
| Throws in set A (n) | 5 ± 1 | 5–6 |
| Throws in set B (n) | 9 ± 1 | 8–10 |
| Throws in set C (n) | 8 ± 1 | 8–9 |
| Throwstotal (n) | 22 ± 3 | 21–24 |
| SWFTindex (A.U.) | 15.92 ± 1.81 | 14.82–17.01 |
| Incremental Test | ||
| VT1 (mL/kg/min) | 30.38 ± 3.18 | 28.47–32.30 |
| VT2 (mL/kg/min) | 39.54 ± 4.59 | 36.76–42.31 |
| VO2max (mL/kg/min) | 42.54 ± 5.19 | 39.40–45.67 |
Disclaimer/Publisher’s Note: The statements, opinions and data contained in all publications are solely those of the individual author(s) and contributor(s) and not of MDPI and/or the editor(s). MDPI and/or the editor(s) disclaim responsibility for any injury to people or property resulting from any ideas, methods, instructions or products referred to in the content. |
© 2023 by the authors. Licensee MDPI, Basel, Switzerland. This article is an open access article distributed under the terms and conditions of the Creative Commons Attribution (CC BY) license (https://creativecommons.org/licenses/by/4.0/).
Share and Cite
Herrera-Valenzuela, T.; Franchini, E.; Valdés-Badilla, P.; Ojeda-Aravena, A.; Pardo-Tamayo, C.; Zapata-Huenullán, C.; Cofre-Bolados, C.; Sanchez-Ramirez, C. Relation between VT1, VT2, and VO2max with the Special Wrestling Fitness Test in Youth Wrestlers: A Short Report. Int. J. Environ. Res. Public Health 2023, 20, 2570. https://doi.org/10.3390/ijerph20032570
Herrera-Valenzuela T, Franchini E, Valdés-Badilla P, Ojeda-Aravena A, Pardo-Tamayo C, Zapata-Huenullán C, Cofre-Bolados C, Sanchez-Ramirez C. Relation between VT1, VT2, and VO2max with the Special Wrestling Fitness Test in Youth Wrestlers: A Short Report. International Journal of Environmental Research and Public Health. 2023; 20(3):2570. https://doi.org/10.3390/ijerph20032570
Chicago/Turabian StyleHerrera-Valenzuela, Tomás, Emerson Franchini, Pablo Valdés-Badilla, Alex Ojeda-Aravena, Carolina Pardo-Tamayo, Carolina Zapata-Huenullán, Cristián Cofre-Bolados, and Celso Sanchez-Ramirez. 2023. "Relation between VT1, VT2, and VO2max with the Special Wrestling Fitness Test in Youth Wrestlers: A Short Report" International Journal of Environmental Research and Public Health 20, no. 3: 2570. https://doi.org/10.3390/ijerph20032570
APA StyleHerrera-Valenzuela, T., Franchini, E., Valdés-Badilla, P., Ojeda-Aravena, A., Pardo-Tamayo, C., Zapata-Huenullán, C., Cofre-Bolados, C., & Sanchez-Ramirez, C. (2023). Relation between VT1, VT2, and VO2max with the Special Wrestling Fitness Test in Youth Wrestlers: A Short Report. International Journal of Environmental Research and Public Health, 20(3), 2570. https://doi.org/10.3390/ijerph20032570

