Association between Maternal Blood Glucose Levels during Pregnancy and Birth Outcomes: A Birth Cohort Study
Abstract
1. Introduction
2. Methods
2.1. Study Design and Population
2.2. Data Collection
2.3. Study Variables
2.4. Blood Glucose Measurement
2.5. Covariates
2.6. Statistical Analysis
3. Results
3.1. Participant Characteristics
3.2. High Blood Glucose and Birth Outcomes
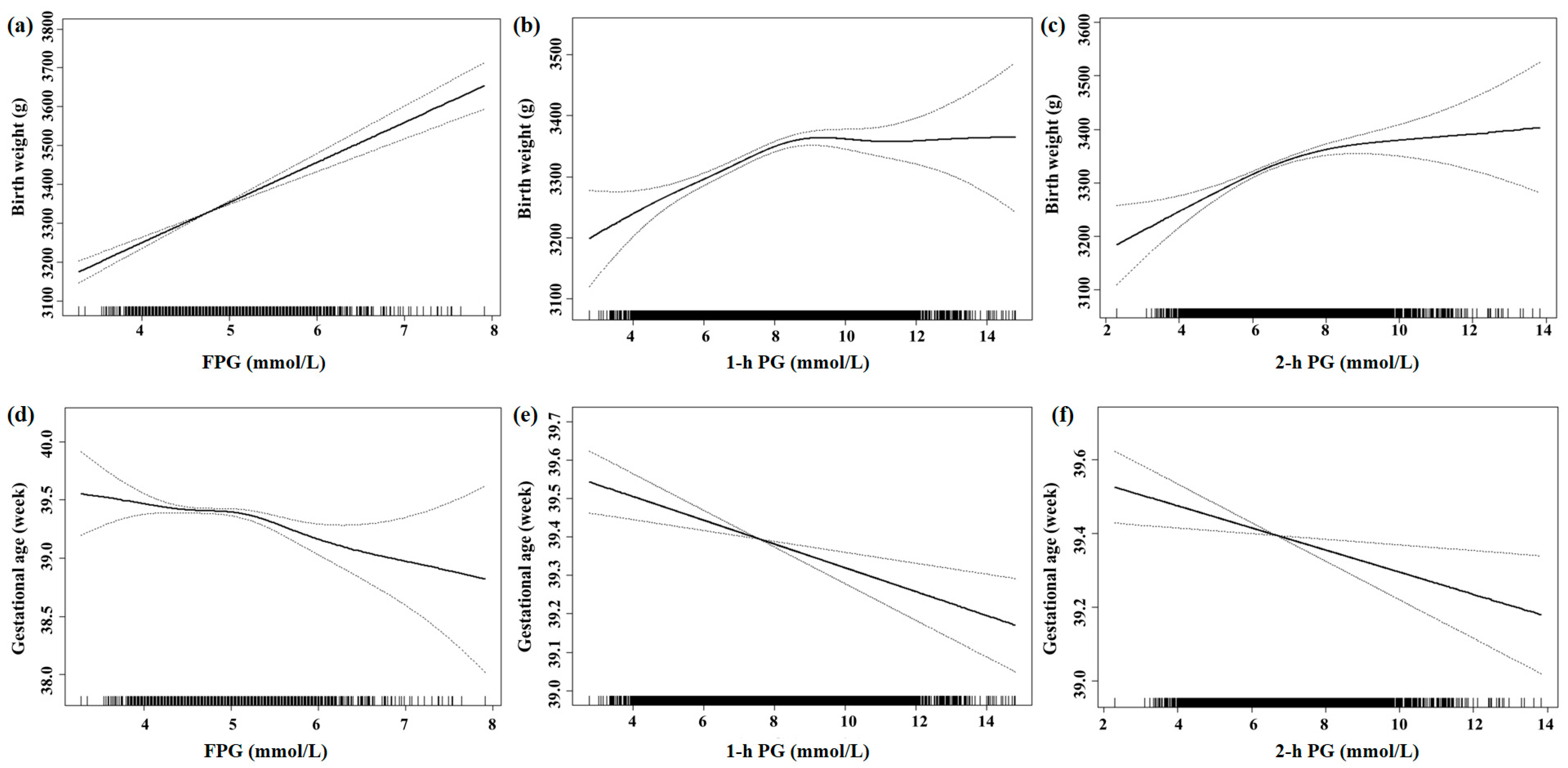
3.3. Blood Glucose Levels and Birth Outcomes
3.4. Blood Glucose Changes and Birth Outcomes
4. Conclusions
Supplementary Materials
Author Contributions
Funding
Informed Consent Statement
Data Availability Statement
Acknowledgments
Conflicts of Interest
References
- Wang, H.; Li, N.; Chivese, T.; Werfalli, M.; Sun, H.; Yuen, L.; Hoegfeldt, C.A.; Powe, C.E.; Immanuel, J.; Karuranga, S.; et al. IDF Diabetes Atlas: Estimation of Global and Regional Gestational Diabetes Mellitus Prevalence for 2021 by International Association of Diabetes in Pregnancy Study Group’s Criteria. Diabetes Res. Clin. Pract. 2022, 183, 109050. [Google Scholar] [CrossRef]
- Johns, E.C.; Denison, F.C.; Norman, J.E.; Reynolds, R.M. Gestational Diabetes Mellitus: Mechanisms, Treatment, and Complications. Trends Endocrinol. Metab. 2018, 29, 743–754. [Google Scholar] [CrossRef]
- Juan, J.; Yang, H. Prevalence, Prevention, and Lifestyle Intervention of Gestational Diabetes Mellitus in China. Int. J. Environ. Res. Public Health 2020, 17, 9517. [Google Scholar] [CrossRef] [PubMed]
- Hilden, K.; Hanson, U.; Persson, M.; Magnuson, A.; Simmons, D.; Fadl, H. Gestational diabetes and adiposity are independent risk factors for perinatal outcomes: A population based cohort study in Sweden. Diabet. Med. 2019, 36, 151–157. [Google Scholar] [CrossRef] [PubMed]
- Gortazar, L.; Flores-Le Roux, J.A.; Benaiges, D.; Sarsanedas, E.; Payà, A.; Mañé, L.; Pedro-Botet, J.; Goday, A. Trends in prevalence of gestational diabetes and perinatal outcomes in Catalonia, Spain, 2006 to 2015: The Diagestcat Study. Diabetes Metab. Res. Rev. 2019, 35, e3151. [Google Scholar] [CrossRef]
- Billionnet, C.; Mitanchez, D.; Weill, A.; Nizard, J.; Alla, F.; Hartemann, A.; Jacqueminet, S. Gestational diabetes and adverse perinatal outcomes from 716,152 births in France in 2012. Diabetologia 2017, 60, 636–644. [Google Scholar] [CrossRef]
- Bianco, M.E.; Kuang, A.; Josefson, J.L.; Catalano, P.M.; Dyer, A.R.; Lowe, L.P.; Metzger, B.E.; Scholtens, D.M.; Jr, W.L.L.; HAPO Follow-Up Study Cooperative Research Group. Hyperglycemia and Adverse Pregnancy Outcome Follow-Up Study: Newborn anthropometrics and childhood glucose metabolism. Diabetologia 2021, 64, 561–570. [Google Scholar] [CrossRef]
- Zhang, Z.J.; Zhao, G.; Yu, C.; Bi, Y.; Zhang, Q.; Song, Y. Diabetic women suffer more years of life lost than diabetic men. Int. J. Endocrinol. 2014, 2014, 208369. [Google Scholar] [CrossRef] [PubMed]
- Dudley, D.J. Diabetic-associated stillbirth: Incidence, pathophysiology, and prevention. Clin. Perinatol. 2007, 34, 611–626. [Google Scholar] [CrossRef]
- Armistead, B.; Johnson, E.; VanderKamp, R.; Kula-Eversole, E.; Kadam, L.; Drewlo, S.; Kohan-Ghadr, H.R. Placental Regulation of Energy Homeostasis During Human Pregnancy. Endocrinology 2020, 161, bqaa076. [Google Scholar] [CrossRef]
- Farrar, D.; Simmonds, M.; Bryant, M.; Sheldon, T.A.; Tuffnell, D.; Golder, S.; Dunne, F.; Lawlor, D.A. Hyperglycaemia and risk of adverse perinatal outcomes: Systematic review and meta-analysis. BMJ 2016, 354, i4694. [Google Scholar] [CrossRef]
- Österroos, A.; Lindström, L.; Wikman, P.; Wikström, A.K.; Poromaa, I.S.; Ahlsson, F. Associations between capillary glucose during pregnancy and childhood growth to the age of five: A cohort study. Sci. Rep. 2022, 12, 1832. [Google Scholar] [CrossRef] [PubMed]
- Saravanan, P. Gestational diabetes: Opportunities for improving maternal and child health. Lancet Diabetes Endocrinol. 2020, 8, 793–800. [Google Scholar] [CrossRef] [PubMed]
- Yue, W.; Zhang, E.; Liu, R.; Zhang, Y.; Wang, C.; Gao, S.; Su, S.; Gao, X.; . Wu, Q.; Yang, X.; et al. The China birth cohort study (CBCS). Eur. J. Epidemiol. 2022, 37, 295–304. [Google Scholar] [CrossRef]
- Villar, J.; Cheikh Ismail, L.; Victora, C.G.; Ohuma, E.O.; Bertino, E.; Altman, D.G.; Lambert, A.; Papageorghiou, A.T.; Carvalho, M.; Jaffer, Y.A.; et al. International standards for newborn weight, length, and head circumference by gestational age and sex: The Newborn Cross-Sectional Study of the INTERGROWTH-21st Project. Lancet 2014, 384, 857–868. [Google Scholar] [CrossRef] [PubMed]
- Tikellis, G.; Ponsonby, A.L.; Wells, J.C.; Pezic, A.; Cochrane, J.; Dwyer, T. Maternal and infant factors associated with neonatal adiposity: Results from the Tasmanian Infant Health Survey (TIHS). Int. J. Obes. 2012, 36, 496–504. [Google Scholar] [CrossRef] [PubMed]
- Han, Z.; Mulla, S.; Beyene, J.; Liao, G.; McDonald, S.D.; Knowledge Synthesis Group. Maternal underweight and the risk of preterm birth and low birth weight: A systematic review and meta-analyses. Int. J. Epidemiol. 2011, 40, 65–101. [Google Scholar] [CrossRef]
- Yang, Y.; Wang, Z.; Mo, M.; Muyiduli, X.; Wang, S.; Li, M.; Jiang, S.; Wu, Y.; Shao, B.; Shen, Y.; et al. The association of gestational diabetes mellitus with fetal birth weight. J. Diabetes Its Complicat. 2018, 32, 635–642. [Google Scholar] [CrossRef]
- Davis, E.M.; Scifres, C.M.; Abebe, K.; Costacou, T.; Comer, D.; Catalano, P.; Simhan, H.; Freiberg, M.; Day, N. Comparison of Birth Outcomes by Gestational Diabetes Screening Criteria. AJP Rep. 2018, 8, e280–e288. [Google Scholar] [CrossRef]
- Bashir, M.; Baagar, K.; Naem, E.; Elkhatib, F.; Alshaybani, N.; Konje, J.C.; Abou-Samra, A.B. Pregnancy outcomes of early detected gestational diabetes: A retrospective comparison cohort study, Qatar. BMJ Open 2019, 9, e023612. [Google Scholar] [CrossRef]
- Kumari, R.; Dalal, V.; Kachhawa, G.; Sahoo, I.; Khadgawat, R.; Mahey, R.; Kulshrestha, V.; Vanamail, P.; Sharma, J.B.; Bhatla, N.; et al. Maternal and Perinatal Outcome in Gestational Diabetes Mellitus in a Tertiary Care Hospital in Delhi. Indian J. Endocrinol. Metab. 2018, 22, 116–120. [Google Scholar] [PubMed]
- Soliman, A.; Salama, H.; Al Rifai, H.; Sanctis, V.D.; Al-Obaidly, S.; Qubasi, M.A.; Olukade, T. The effect of different forms of dysglycemia during pregnancy on maternal and fetal outcomes in treated women and comparison with large cohort studies. Acta Biomed. 2018, 89, 11–21. [Google Scholar] [PubMed]
- Shen, S.Y.; Žurauskienė, J.; Wei, D.M.; Chen, N.N.; Lu, J.H.; Kuang, Y.S.; Liu, H.H.; Cazier, J.B.; Qiu, X. Identification of maternal continuous glucose monitoring metrics related to newborn birth weight in pregnant women with gestational diabetes. Endocrine 2021, 74, 290–299. [Google Scholar] [CrossRef] [PubMed]
- Huang, Y.; Yin, B.; Liang, X.; Mei, H.; Lu, H.; Xie, S.; Bei, W.; Mei, W.; Zhang, J. Effect of maternal glycemia and weight status on offspring birth measures and BMI-z among Chinese population in the first year. Sci. Rep. 2017, 7, 16030. [Google Scholar] [CrossRef] [PubMed]
- Tennant, P.; Doxford-Hook, E.; Flynn, L.; Kershaw, K.; Goddard, J.; Stacey, T. Fasting plasma glucose, diagnosis of gestational diabetes and the risk of large for gestational age: A regression discontinuity analysis of routine data. BJOG 2022, 129, 82–89. [Google Scholar] [CrossRef] [PubMed]
- Abbasalizad Farhangi, M. Gestational weight gain and its related social and demographic factors in health care settings of rural and urban areas in northwest Iran. Ecol. Food Nutr. 2016, 55, 258–265. [Google Scholar] [CrossRef]
- Chivese, T.; Haynes, M.C.; Van Zyl, H.; Kyriacos, U.; Levitt, N.S.; Norris, S.A. The influence of maternal blood glucose during pregnancy on weight outcomes at birth and preschool age in offspring exposed to hyperglycemia first detected during pregnancy, in a South African cohort. PLoS ONE 2021, 16, e0258894. [Google Scholar] [CrossRef]
- Ding, T.T.; Xiang, J.; Luo, B.R.; Hu, J. Relationship between the IADPSG-criteria-defined abnormal glucose values and adverse pregnancy outcomes among women having gestational diabetes mellitus: A retrospective cohort study. Medicine 2018, 97, e12920. [Google Scholar] [CrossRef]
- Saleh, J.; Machado, L.; Razvi, Z. 2-Hour postload serum glucose levels and maternal blood pressure as independent predictors of birth weight in “appropriate for gestational age” neonates in healthy nondiabetic pregnancies. BioMed Res. Int. 2013, 2013, 757459. [Google Scholar] [CrossRef]
- Shen, S.; Lu, J.; Zhang, L.; He, J.; Li, W.; Chen, N.; Wen, X.; Xiao, W.; Yuan, M.; Qiu, L.; et al. Single Fasting Plasma Glucose Versus 75-g Oral Glucose-Tolerance Test in Prediction of Adverse Perinatal Outcomes: A Cohort Study. EBioMedicine 2017, 16, 284–291. [Google Scholar] [CrossRef]
- Alfadhli, E.M.; Osman, E.N.; Basri, T.H.; Mansuri, N.S.; Youssef, M.H.; Assaaedi, S.A.; Aljohani, B.A. Gestational diabetes among Saudi women: Prevalence, risk factors and pregnancy outcomes. Ann. Saudi Med. 2015, 35, 222–230. [Google Scholar] [CrossRef] [PubMed]
- Fadl, H.E.; Ostlund, I.K.; Magnuson, A.F.; Hanson, U.S. Maternal and neonatal outcomes and time trends of gestational diabetes mellitus in Sweden from 1991 to 2003. Diabet. Med. 2010, 27, 436–441. [Google Scholar] [CrossRef] [PubMed]
- Feng, R.; Liu, L.; Zhang, Y.Y.; Yuan, Z.S.; Gao, L.; Zuo, C.T. Unsatisfactory Glucose Management and Adverse Pregnancy Outcomes of Gestational Diabetes Mellitus in the Real World of Clinical Practice: A Retrospective Study. Chin. Med. J. 2018, 131, 1079–1085. [Google Scholar] [CrossRef] [PubMed]
- Hedderson, M.M.; Ferrara, A.; Sacks, D.A. Gestational diabetes mellitus and lesser degrees of pregnancy hyperglycemia: Association with increased risk of spontaneous preterm birth. Obstet. Gynecol. 2003, 102, 850–856. [Google Scholar] [CrossRef]
- Loo, E.X.L.; Zhang, Y.; Yap, Q.V.; Yu, G.; Soh, S.E.; Loy, S.L.; Lau, H.X.; Chan, S.Y.; Shek, L.P.; Luo, Z.C.; et al. Comparative epidemiology of gestational diabetes in ethnic Chinese from Shanghai birth cohort and growing up in Singapore towards healthy outcomes cohort. BMC Pregnancy Childbirth 2021, 21, 566. [Google Scholar] [CrossRef]
- Gagné-Ouellet, V.; Breton, E.; Thibeault, K.; Fortin, C.A.; Cardenas, A.; Guérin, R.; Perron, P.; Hivert, M.F.; Bouchard, L. Mediation Analysis Supports a Causal Relationship between Maternal Hyperglycemia and Placental DNA Methylation Variations at the Leptin Gene Locus and Cord Blood Leptin Levels. Int. J. Mol. Sci. 2020, 21, 329. [Google Scholar] [CrossRef]
- Desgagné, V.; Hivert, M.F.; St-Pierre, J.; Guay, S.P.; Baillargeon, J.P.; Perron, P.; Gaudet, D.; Brisson, D.; Bouchard, L. Epigenetic dysregulation of the IGF system in placenta of newborns exposed to maternal impaired glucose tolerance. Epigenomics 2014, 6, 193–207. [Google Scholar] [CrossRef]
- Moreli, J.B.; Santos, J.H.; Lorenzon-Ojea, A.R.; Corrêa-Silva, S.; Fortunato, R.S.; Rocha, C.R.; Rudge, M.V.; Damasceno, D.C.; Bevilacqua, E.; Calderon, I.M. Hyperglycemia Differentially Affects Maternal and Fetal DNA Integrity and DNA Damage Response. Int. J. Biol. Sci. 2016, 12, 466–477. [Google Scholar] [CrossRef]
- Corrêa-Silva, S.; Alencar, A.P.; Moreli, J.B.; Borbely, A.U.; de S Lima, L.; Scavone, C.; Damasceno, D.C.; Rudge, M.V.C.; Bevilacqua, E.; Calderon, I.M.P. Hyperglycemia induces inflammatory mediators in the human chorionic villous. Cytokine 2018, 111, 41–48. [Google Scholar] [CrossRef]
- Tozour, J.N.; Delahaye, F.; Suzuki, M.; Praiss, A.; Zhao, Y.; Cai, L.; Heo, H.J.; Greally, J.M.; Hughes, F. Intrauterine Hyperglycemia Is Associated with an Impaired Postnatal Response to Oxidative Damage. Stem Cells Dev. 2018, 27, 683–691. [Google Scholar] [CrossRef]
- Scholtens, D.M.; Bain, J.R.; Reisetter, A.C.; Muehlbauer, M.J.; Nodzenski, M.; Stevens, R.D.; Ilkayeva, O.; Lowe, L.P.; Metzger, B.E.; Newgard, C.B.; et al. Metabolic Networks and Metabolites Underlie Associations Between Maternal Glucose During Pregnancy and Newborn Size at Birth. Diabetes 2016, 65, 2039–2050. [Google Scholar] [CrossRef] [PubMed]
- Zaugg, J.; Melhem, H.; Huang, X.; Wegner, M.; Baumann, M.; Surbek, D.; Körner, M.; Albrecht, C. Gestational diabetes mellitus affects placental iron homeostasis: Mechanism and clinical implications. FASEB J. 2020, 34, 7311–7329. [Google Scholar] [CrossRef] [PubMed]
- Sarina; Li, D.F.; Feng, Z.Q.; Du, J.; Zhao, W.H.; Huang, N.; Jia, J.C.; Wu, Z.Y.; Alamusi; Wang, Y.Y.; et al. Mechanism of Placenta Damage in Gestational Diabetes Mellitus by Investigating TXNIP of Patient Samples and Gene Functional Research in Cell Line. Diabetes Ther. 2019, 10, 2265–2288. [Google Scholar] [CrossRef] [PubMed]
- Kc, K.; Shakya, S.; Zhang, H. Gestational diabetes mellitus and macrosomia: A literature review. Ann. Nutr. Metab. 2015, 66, 14–20. [Google Scholar] [CrossRef]
- Michelsen, T.M.; Holme, A.M.; Holm, M.B.; Roland, M.C.; Haugen, G.; Powell, T.L.; Jansson, T.; Henriksen, T. Uteroplacental Glucose Uptake and Fetal Glucose Consumption: A Quantitative Study in Human Pregnancies. J. Clin. Endocrinol. Metab. 2019, 104, 873–882. [Google Scholar] [CrossRef]
- Zarkos, J.; Addai, D.; Tolekova, A. Low Protein Diets for Pregnant Women and Its Association with Insulin Secretion and Resistance. Open Access Maced. J. Med. Sci. 2019, 7, 686–689. [Google Scholar] [CrossRef]
- Rasmussen, L.; Poulsen, C.W.; Kampmann, U.; Smedegaard, S.B.; Ovesen, P.G.; Fuglsang, J. Diet and Healthy Lifestyle in the Management of Gestational Diabetes Mellitus. Nutrients 2020, 12, 3050. [Google Scholar] [CrossRef]
- Han, S.; Middleton, P.; Shepherd, E.; Ryswyk, E.V.; Crowther, C.A. Different types of dietary advice for women with gestational diabetes mellitus. Cochrane Database Syst. Rev. 2017, 2, cd009275. [Google Scholar] [CrossRef]
- Ruchat, S.M.; Mottola, M.F. The important role of physical activity in the prevention and management of gestational diabetes mellitus. Diabetes Metab. Res. Rev. 2013, 29, 334–346. [Google Scholar] [CrossRef]
- Cao, Y.L.; Jia, Y.J.; Xing, B.H.; Shi, D.D.; Dong, X.J. Plasma microRNA-16-5p, -17-5p and -20a-5p: Novel diagnostic biomarkers for gestational diabetes mellitus. J. Obstet. Gynaecol. Res. 2017, 43, 974–981. [Google Scholar] [CrossRef]
- McIntyre, H.D.; Catalano, P.; Zhang, C.; Desoye, G.; Mathiesen, E.R.; Damm, P. Gestational diabetes mellitus. Nat. Rev. Dis. Prim. 2019, 5, 47. [Google Scholar] [CrossRef] [PubMed]


| Characteristics | High Blood Glucose a n (%) (n = 2464) | Normal Blood Glucose n (%) (n = 7546) | χ2/t | p Value |
|---|---|---|---|---|
| Age | ||||
| <35 | 2147 (23.45) | 7008 (76.55) | 77.223 | <0.001 |
| ≥35 | 317 (37.08) | 538 (62.92) | ||
| Ethnicity | ||||
| Han | 2430 (24.66) | 7424 (75.34) | 0.679 | 0.410 |
| Other | 34 (21.79) | 122 (78.21) | ||
| Education | ||||
| Senior high school or lower | 346 (28.11) | 885 (71.89) | 10.701 | 0.005 |
| Junior or regular college | 1763 (24.38) | 5467 (75.62) | ||
| Graduate or above | 355 (22.92) | 1194 (77.08) | ||
| BMI before pregnancy (kg/m2) | ||||
| Underweight (<18.5) | 236 (14.97) | 1341 (85.03) | 287.968 | <0.001 |
| Normal (18.5~23.9) | 1577 (23.21) | 5217 (76.79) | ||
| Overweight (24.0~27.9) | 532 (39.55) | 813 (60.45) | ||
| Obesity (≥28.0) | 119 (40.48) | 175 (59.52) | ||
| Household income | ||||
| Low | 324 (27.76) | 843 (72.24) | 9.167 | 0.010 |
| Medium | 1644 (24.58) | 5045 (75.42) | ||
| High | 496 (23.03) | 1658 (76.97) | ||
| Fetal sex | ||||
| Male | 1279 (24.84) | 3869 (75.16) | 0.300 | 0.584 |
| Female | 1185 (24.37) | 3677 (75.63) | ||
| Gestational weight gain/kg | ||||
| Appropriate | 1021 (21.90) | 3642 (78.10) | 124.775 | <0.001 |
| Insufficient | 755 (33.54) | 1496 (66.46) | ||
| Excessive | 688 (22.22) | 2408 (77.78) | ||
| First pregnancy | ||||
| No | 1201 (27.23) | 3210 (72.77) | 28.995 | <0.001 |
| Yes | 1263 (22.56) | 4336 (77.44) | ||
| Complications from previous pregnancy | ||||
| No | 2288 (23.97) | 7256 (76.03) | 45.566 | <0.001 |
| Yes | 176 (37.77) | 290 (62.23) | ||
| Smoke or passive smoke | ||||
| No | 2057 (24.29) | 6412 (75.71) | 3.166 | 0.075 |
| Yes | 407 (26.41) | 1134 (73.59) | ||
| Folic acid or multidimensional nutrients supplement | ||||
| No | 42 (26.75) | 115 (73.25) | 0.392 | 0.531 |
| Yes | 2422 (24.58) | 7431 (75.42) | ||
| Fever or cold | ||||
| No | 1938 (24.63) | 5931 (75.37) | 0.003 | 0.954 |
| Yes | 526 (24.57) | 1615 (75.43) | ||
| FPG (mmol/L) | 5.26 ± 0.52 | 4.61 ± 0.27 | 59.082 | <0.001 |
| 1-h PG (mmol/L) | 9.07 ± 1.88 | 7.08 ± 1.33 | 48.790 | <0.001 |
| 2-h PG (mmol/L) | 7.76 ± 1.57 | 6.32 ± 0.95 | 42.992 | <0.001 |
| High Blood Glucose n (%) (n = 2464) | Normal Blood Glucose n (%) (n = 7546) | Univariate Analysis | Multivariate Analysis c | |
|---|---|---|---|---|
| β/OR (95%CI), p | Adjusted β/OR (95%CI), p | |||
| Birth weight | ||||
| Birth weight/g (Mean ± SD) | 3349.54 ± 459.20 | 3322.27 ± 457.55 | 27.27 (6.45, 48.09), 0.010 | 59.21 (40.86, 77.56), <0.001 a |
| Birth weight Z score (Mean ± SD) | 0.33 ± 0.92 | 0.19 ± 0.91 | 0.14 (0.10, 0.18), <0.001 | 0.12 (0.08, 0.17), <0.001 b |
| Birth weight Z centile (Mean ± SD) | 59.57 ± 26.87 | 55.45 ± 26.45 | 4.12 (2.92, 5.33), <0.001 | 3.83 (2.62, 5.05), <0.001 b |
| LBW | 67 (2.72) | 192 (2.54) | 1.07 (0.81, 1.42), 0.635 | 0.90 (0.62, 1.30), 0.580 a |
| Macrosomia | 170 (6.90) | 414 (5.49) | 1.28 (1.06, 1.54), 0.010 | 1.55 (1.27, 1.90), <0.001 a |
| Gestational age | ||||
| Gestational age/week (Mean ± SD) | 39.22 ± 1.32 | 39.45 ± 1.44 | −0.23 (−0.30, −0.17), <0.001 | −0.09 (−0.15, −0.02), 0.008 b |
| Premature birth | 127 (5.15) | 276 (3.66) | 1.43 (1.15, 1.78), 0.001 | 1.10 (0.88, 1.38), 0.398 b |
| SGA and LGA | ||||
| SGA | 107 (4.34) | 353 (4.68) | 0.93 (0.74, 1.15), 0.490 | 0.97 (0.77, 1.22), 0.799 b |
| LGA | 338 (13.72) | 768 (10.18) | 1.40 (1.22, 1.61), <0.001 | 1.36 (1.19, 1.59), <0.001 b |
| Blood Glucose During Pregnancy (Continuous Variable) | FPG c | 1-h PG c | 2-h PG c | |||
|---|---|---|---|---|---|---|
| Adjusted β/OR (95%CI) | p | Adjusted β/OR (95%CI) | p | Adjusted β/OR (95%CI) | p | |
| Birth weight | ||||||
| Birth weight/g a | 100.22 (81.91, 118.52) | <0.001 | 17.51 (12.82, 22.20) | <0.001 | 22.66 (16.46, 28.86) | <0.001 |
| Birth weight Z score b | 0.23 (0.19, 0.27) | <0.001 | 0.04 (0.03, 0.05) | <0.001 | 0.05 (0.04, 0.06) | <0.001 |
| Birth weight Z centile b | 6.72 (5.51, 7.94) | <0.001 | 1.12 (0.81, 1.43) | <0.001 | 1.48 (1.07, 1.90) | <0.001 |
| LBW a | 0.77 (0.53, 1.12) | 0.168 | 0.99 (0.90, 1.09) | 0.829 | 0.95 (0.84, 1.08) | 0.421 |
| Macrosomia a | 2.01 (1.67, 2.43) | <0.001 | 1.13 (1.07, 1.19) | <0.001 | 1.21 (1.13, 1.29) | <0.001 |
| Gestational age | ||||||
| Gestational age/week b | −0.12 (−0.19, −0.06) | <0.001 | −0.03 (−0.05, −0.02) | <0.001 | −0.03 (−0.05, −0.01) | 0.004 |
| Premature birth b | 1.35 (1.09, 1.66) | 0.005 | 1.05 (0.99, 1.12) | 0.077 | 1.01 (0.93, 1.09) | 0.869 |
| SGA and LGA | ||||||
| SGA b | 0.70 (0.55, 0.89) | 0.004 | 0.98 (0.92, 1.04) | 0.458 | 0.94 (0.87, 1.02) | 0.145 |
| LGA b | 1.80 (1.57, 2.07) | <0.001 | 1.12 (1.07, 1.16) | <0.001 | 1.16 (1.11, 1.22) | <0.001 |
| 1-h PG-FPG c | 2-h PG-1-h PG c | 2-h PG-FPG c | ||||
|---|---|---|---|---|---|---|
| Adjusted β/OR (95%CI) | p | Adjusted β/OR (95%CI) | p | Adjusted β/OR (95%CI) | p | |
| Birth weight | ||||||
| Birth weight/g a | 12.71 (7.66, 17.77) | <0.001 | 6.19 (0.71, 11.67) | 0.027 | 13.01 (6.32, 19.70) | <0.001 |
| Birth weight Z score b | 0.03 (0.02, 0.04) | <0.001 | 0.01 (−0.01, 0.02) | 0.050 | 0.03 (0.01, 0.04) | <0.001 |
| Birth weight Z centile b | 0.79 (0.45, 1.12) | <0.001 | 0.37 (0.01, 0.73) | 0.047 | 0.83 (0.39, 1.27) | <0.001 |
| LBW a | 1.01 (0.91, 1.12) | 0.865 | 1.03 (0.92, 1.14) | 0.649 | 0.98 (0.85, 1.12) | 0.734 |
| Macrosomia a | 1.09 (1.02, 1.15) | 0.006 | 1.02 (0.95, 1.08) | 0.621 | 1.13 (1.05, 1.22) | 0.002 |
| Gestational age | ||||||
| Gestational age/week b | −0.03 (−0.05, −0.01) | 0.002 | −0.02 (−0.04, 0.01) | 0.059 | −0.02 (−0.04, 0.01) | 0.078 |
| Premature birth b | 1.04 (0.97, 1.11) | 0.253 | 1.07 (1.01, 1.15) | 0.048 | 0.96 (0.89, 1.05) | 0.396 |
| SGA and LGA | ||||||
| SGA b | 1.00 (0.94, 1.06) | 0.973 | 1.01 (0.95, 1.08) | 0.680 | 0.98 (0.90, 1.06) | 0.584 |
| LGA b | 1.08 (1.04, 1.13) | <0.001 | 1.03 (0.98, 1.08) | 0.206 | 1.10 (1.04, 1.16) | 0.001 |
| (1-h PG-FPG)/FPG c | (2-h PG-1-h PG)/1-h PG c | (2-h PG-FPG)/FPG c | ||||
|---|---|---|---|---|---|---|
| Adjusted β/OR (95%CI) | p | Adjusted β/OR (95%CI) | p | Adjusted β/OR (95%CI) | p | |
| Birth weight | ||||||
| Birth weight/g a | 39.95 (15.67, 64.23) | 0.001 | 34.97 (−6.44, 76.37) | 0.098 | 37.50 (5.77, 69.22) | 0.021 |
| Birth weight Z score b | 0.08 (0.03, 0.14) | 0.004 | 0.07 (−0.02, 0.16) | 0.143 | 0.08 (0.01, 0.15) | 0.030 |
| Birth weight Z centile b | 2.39 (0.78, 4.00) | 0.004 | 1.96 (−0.79, 4.71) | 0.162 | 2.35 (0.24, 4.45) | 0.029 |
| LBW a | 1.04 (0.63, 1.71) | 0.873 | 1.04 (0.44, 2.45) | 0.930 | 0.92 (0.48, 1.78) | 0.814 |
| Macrosomia a | 1.24 (0.94, 1.64) | 0.128 | 1.07 (0.67, 1.71) | 0.765 | 1.41 (0.98, 2.04) | 0.066 |
| Gestational age | ||||||
| Gestational age/week b | −0.10 (−0.19, −0.02) | 0.018 | −0.09 (−0.24, 0.05) | 0.221 | −0.07 (−0.19, 0.04) | 0.190 |
| Premature birth b | 1.11 (0.81, 1.52) | 0.500 | 1.73 (0.98, 3.07) | 0.060 | 0.78 (0.52, 1.18) | 0.240 |
| SGA and LGA | ||||||
| SGA b | 1.04 (0.77, 1.39) | 0.814 | 1.12 (0.67, 1.86) | 0.665 | 0.95 (0.64, 1.40) | 0.787 |
| LGA b | 1.26 (1.03, 1.55) | 0.025 | 1.24 (0.87, 1.75) | 0.234 | 1.31 (1.01, 1.71) | 0.049 |
Disclaimer/Publisher’s Note: The statements, opinions and data contained in all publications are solely those of the individual author(s) and contributor(s) and not of MDPI and/or the editor(s). MDPI and/or the editor(s) disclaim responsibility for any injury to people or property resulting from any ideas, methods, instructions or products referred to in the content. |
© 2023 by the authors. Licensee MDPI, Basel, Switzerland. This article is an open access article distributed under the terms and conditions of the Creative Commons Attribution (CC BY) license (https://creativecommons.org/licenses/by/4.0/).
Share and Cite
Zhao, D.; Liu, D.; Shi, W.; Shan, L.; Yue, W.; Qu, P.; Yin, C.; Mi, Y. Association between Maternal Blood Glucose Levels during Pregnancy and Birth Outcomes: A Birth Cohort Study. Int. J. Environ. Res. Public Health 2023, 20, 2102. https://doi.org/10.3390/ijerph20032102
Zhao D, Liu D, Shi W, Shan L, Yue W, Qu P, Yin C, Mi Y. Association between Maternal Blood Glucose Levels during Pregnancy and Birth Outcomes: A Birth Cohort Study. International Journal of Environmental Research and Public Health. 2023; 20(3):2102. https://doi.org/10.3390/ijerph20032102
Chicago/Turabian StyleZhao, Doudou, Danmeng Liu, Wenhao Shi, Li Shan, Wentao Yue, Pengfei Qu, Chenghong Yin, and Yang Mi. 2023. "Association between Maternal Blood Glucose Levels during Pregnancy and Birth Outcomes: A Birth Cohort Study" International Journal of Environmental Research and Public Health 20, no. 3: 2102. https://doi.org/10.3390/ijerph20032102
APA StyleZhao, D., Liu, D., Shi, W., Shan, L., Yue, W., Qu, P., Yin, C., & Mi, Y. (2023). Association between Maternal Blood Glucose Levels during Pregnancy and Birth Outcomes: A Birth Cohort Study. International Journal of Environmental Research and Public Health, 20(3), 2102. https://doi.org/10.3390/ijerph20032102

