Spatio-Temporal Evolution and Influencing Factors of Ecological Well-Being Performance from the Perspective of Strong Sustainability: A Case Study of the Three Gorges Reservoir Area, China
Abstract
1. Introduction
2. Literature Review
2.1. Strong Sustainability
2.2. Ecological Well-being Performance
2.3. Research Gaps
3. Materials and Methods
3.1. Materials
3.1.1. Study Area
3.1.2. Framework
3.1.3. Evaluation Index System
3.1.4. Data Source and Processing
3.2. Methods
3.2.1. PCA-DEA Analysis
3.2.2. Network Super-EBM Model and DEA Window Analysis
3.2.3. Geodetector
4. Research Process and Results
4.1. Research Process
4.2. The Overall Efficiency Status of EWP in the TGRA
4.2.1. Temporal Evolutionary Characteristics of the Overall Efficiency of EWP in the TGRA
4.2.2. Spatial Evolution Characteristics of the Overall Efficiency of EWP in the TGRA
4.3. The Substage Efficiency Status of the EWP in the TGRA
4.3.1. Temporal Evolution Characteristics of the Substage Efficiency of EWP in the TGRA
4.3.2. Spatial Evolution Characteristics of the Substage Efficiency of EWP in the TGRA
4.4. Analysis of the Improvement in Input–Output Indicators of EWP in the TGRA
- Although CEAC ranks high in EWP, the growth rate slows, and the insufficient GDP output per capita is an important reason. Therefore, ecological tourism and green industries should be vigorously developed to improve the economy by relying on the advantages of ecological resources.
- There is more room for improvement in resource consumption and environmental pollution in NAC. Optimizing energy structures, developing green and clean energy, accelerating industrial structure upgrading, and enhancing environmental protection are all directions for its improvement.
- The EWP of the CUAC is at the forefront. However, the high population density of the region also imposes a burden on public infrastructure and the relative lack of comprehensive well-being outputs per capita. Therefore, on the one hand, regional planning and management should be strengthened to transform the population advantage into economic development; on the other hand, the construction of public infrastructure should be enhanced to improve well-being.
- The HRA, on the other hand, has put greater pressure on regional finance due to excessive investment in human capital and science and technology capital, which has affected the further enhancement of EWP. Human and science and technology investment should be appropriately reduced in the future to avoid creating a large amount of debt [31]. In addition, there are problems such as high environmental pollution and insufficient GDP output per capita, which also need to strengthen the supervision of the environment further and develop green ecological industries according to local conditions.
4.5. The Influencing Factors in the TGRA
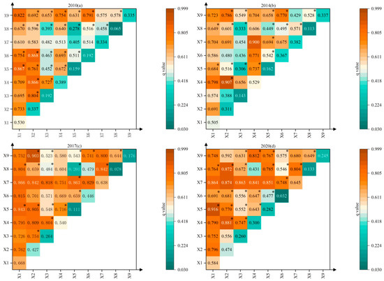
4.5.1. Dominant Factor Identification
4.5.2. Interaction Detector Results
5. Discussion
5.1. Discussion of Findings
5.2. Shortcomings and Prospects
- In data acquisition, the evaluation indicators are all relatively single and relatively single panel data. In the future, multi-source heterogeneous data such as panels, remote sensing, and text can be used to enhance the comprehensiveness of evaluation indicators.
- About the index system, because the academic community has not yet reached a consensus on the index system for evaluating the EWP of artificial reservoir areas, influenced by the accessibility of research data, the selection of evaluation indexes in this study may not be comprehensive enough, and there may be slight errors on the research results. In the future, several case sites of artificial reservoirs at different scales from international and domestic can be selected for comparative analysis to refine a universal evaluation index system and enhance the international applicability of the study. For example, Scandinavian countries, which are considered global leaders in sustainable development [78], could be strengthened in future research with comparative studies of these countries, to provide more insights for regions with lower levels of sustainable development.
- The evolutionary process and driving mechanism of EWP of artificial reservoir areas can be analyzed from different scales, and the evolutionary rules and dominant factors of EWP of artificial reservoir areas at different scales can be explored to achieve mutual justification of research findings. In terms of influencing factors, the mechanisms of economic development level, government support policies, transfer funds, environmental regulations and industrial upgrading on EWP of artificial reservoir areas are not clear, and the studies on influencing factors are mostly conducted from a linear perspective. Future studies can consider using mediated effects models, spatial econometric models, and logarithmic mean divisia index (LMDI) to investigate the influence mechanisms of economic development level, government support policies, transfer funds, environmental regulations, and industrial upgrading on EWP in artificial reservoir areas, to better provide policy recommendations to decision-makers. We can also use panel Tobit models to examine the nonlinear characteristics to enrich related studies.
6. Conclusions and Policy Recommendations
6.1. Conclusions
- The overall level of EWP in the TGRA from 2010 to 2020 is low and varies widely among districts, failing to achieve effective DEA, but showing a favorable trend of year-on-year improvement. Spatially, the EWP in the TGRA shows a spatial distribution pattern of high in the east and low in the west, while the internal differences are gradually decreasing. The study also finds that the transfer of high pollution and high-energy-consuming industries from economically developed regions has brought adverse effects on the EWP of less economically developed regions.
- By stages, eco-economic efficiency is significantly lower than economic well-being efficiency, and eco-economic efficiency is the main reason that restricts the improvement in EWP. Ecological resource consumption and economic growth in the TGRA have failed to achieve decoupled development, the current economic growth is still at the cost of inefficient ecological inputs, and the ecological well-being situation is not optimistic.
- Based on the concept of strong sustainability, the study finds that there are two unsustainable situations in the TGRA, i.e., economically developed counties (districts) have high economic growth and well-being levels, but their EF exceeds the carrying capacity and fails to achieve decoupling of economic and social development from resources and environment; less economically developed counties (districts) have EFs that do not exceed the ecological carrying capacity but do not have economic growth and well-being levels that meet basic needs. The TGRA in general has the problem of excessive ecological input and insufficient per-capita GDP and well-being output, and targeted improvement measures should be formulated to promote sustainable regional development.
- The level of economic development plays a dominant role in the EWP pattern of the TGRA, social-living conditions, and policy institutions play an important role in the evolution of the EWP spatial pattern of the study area, and the ecological environment has a relatively weak influence on it. However, the interaction of any two factors has a greater impact on the EWP than on individual factors. The level of EWP not only depends on the level of economic development but also has a greater relationship with the policy system, socio-economic conditions, and natural environment.
6.2. Policy Recommendations
Author Contributions
Funding
Institutional Review Board Statement
Informed Consent Statement
Data Availability Statement
Acknowledgments
Conflicts of Interest
References
- WCDE. Our Common Future; Oxford University Press: New York, NY, USA, 1987; p. 14. [Google Scholar]
- Pearce, D.W.; Barbier, E.B. Blueprint: For A Green Economy; Earthscan Ltd.: London, UK, 1989. [Google Scholar]
- Solow, R.M. The Economics of Ressources or the Ressources of Economics. Am. Econ. Rev. 1974, 64, 257–276. [Google Scholar] [CrossRef]
- Moran, D.D.; Wackernagel, M.; Kitzes, J.A.; Goldfinger, S.H.; Boutaud, A. Measuring sustainable development—Nation by nation. Ecol. Econ. 2008, 64, 470–474. [Google Scholar] [CrossRef]
- Neumayer, E. Weak Versus Strong Sustainability: Exploring the Limits of Two Opposing Paradigms; Edward Elgar: Cheltenham, UK, 2010. [Google Scholar]
- Viñuales, J.E. (Ed.) The Rio Declaration on Environment and Development: A Commentary; Oxford University Press: Oxford, UK, 2015. [Google Scholar]
- Sun, X.; Ping, Z.-B.; Dong, Z.-F.; Chen, K.-L.; Zhu, X.-D.; Li, B.L.; Tan, X.-Y.; Zhu, B.-K.; Liu, X.; Zhou, C.-C.; et al. Resources and environmental costs of China’s rapid economic growth: From the latest theoretic SEEA framework to modeling practice. J. Clean. Prod. 2021, 315, 128126. [Google Scholar] [CrossRef]
- Ahmad, M.; Akram, W.; Ikram, M.; Shah, A.A.; Rehman, A.; Chandio, A.A.; Jabeen, G. Estimating dynamic interactive linkages among urban agglomeration, economic performance, carbon emissions, and health expenditures across developmental disparities. Sustain. Prod. Consum. 2021, 26, 239–255. [Google Scholar] [CrossRef]
- Feng, F.; Feng, X.; Hou, J.; Huo, D.; Tang, R. Effectiveness of regional environmental regulation, economic growth and environmental pollution: An emprical study of the Beijing-Tianjin-Hebei region. Resour. Sci. 2020, 42, 2341–2353. [Google Scholar] [CrossRef]
- Almetwally, A.A.; Bin-Jumah, M.; Allam, A.A. Ambient air pollution and its influence on human health and welfare: An overview. Environ. Sci. Pollut. Res. 2020, 27, 24815–24830. [Google Scholar] [CrossRef]
- Boehringer, C.; Jochem, P.E.P. Measuring the immeasurable—A survey of sustainability indices. Ecol. Econ. 2007, 63, 1–8. [Google Scholar] [CrossRef]
- Daly, H.E. Economics in a full world. Sci. Am. 2005, 293, 100–107. [Google Scholar] [CrossRef]
- Wang, H.; Bao, C. Scenario modeling of ecological security index using system dynamics in Beijing-Tianjin-Hebei urban agglomeration. Ecol. Indic. 2021, 125, 107613. [Google Scholar] [CrossRef]
- Daly, H.E. The economics of the steady state. Am. Econ. Rev. 1974, 64, 15–21. [Google Scholar]
- Hu, J.; Wen, C.; Lan, X. Analysis and Prediction on Ecological Pressure of Economic Sustainable Development in Three Gorges Reservoir Area: Based on Grey Prediction mode. Technol. Econ. 2015, 34, 55–60. [Google Scholar]
- Tu, J.; Luo, S.; Yang, Y.; Qin, P.; Qi, P.; Li, Q. Spatiotemporal Evolution and the Influencing Factors of Tourism-Based Social-Ecological System Vulnerability in the Three Gorges Reservoir Area, China. Sustainability 2021, 13, 4008. [Google Scholar] [CrossRef]
- Chen, Y.; Xiao, W. Research progress on land use and ecological environment change in the Three Gorges Reservoir Area. Ecol. Sci. 2017, 36, 213–221. [Google Scholar]
- Li, Z. Weak or Strong sustainab-exploring The Eco-Limits of Devel Opment. China Popul. Resour. Environ. 2003, 13, 1–4. [Google Scholar]
- Pelenc, J.; Ballet, J. Strong sustainability, critical natural capital and the capability approach. Ecol. Econ. 2015, 112, 36–44. [Google Scholar] [CrossRef]
- Pinto, L.F.R.; Venturini, G.d.F.P.; Digiesi, S.; Facchini, F.; Oliveira Neto, G.C.d. Sustainability Assessment in Manufacturing under a Strong Sustainability Perspective—An Ecological Neutrality Initiative. Sustainability 2020, 12, 9232. [Google Scholar] [CrossRef]
- Ekins, P.; Simon, S.; Deutsch, L.; Folke, C.; De Groot, R. A framework for the practical application of the concepts of critical natural capital and strong sustainability. Ecol. Econ. 2003, 44, 165–185. [Google Scholar] [CrossRef]
- Dietz, S.; Neumayer, E. Weak and strong sustainability in the SEEA: Concepts and measurement. Ecol. Econ. 2007, 61, 617–626. [Google Scholar] [CrossRef]
- Lorek, S.; Fuchs, D. Strong sustainable consumption governance—Precondition for a degrowth path? J. Clean. Prod. 2013, 38, 36–43. [Google Scholar] [CrossRef]
- De Groot, R.; Van der Perk, J.; Chiesura, A.; van Vliet, A. Importance and threat as determining factors for criticality of natural capital. Ecol. Econ. 2003, 44, 187–204. [Google Scholar] [CrossRef]
- Noël, J.F.; O’Connor, M. Strong sustainability and critical natural capital. In Valuation for Sustainable Development: Methods and Policy Indicators; Edward Elgar: Cheltenham, UK, 1998; pp. 75–97. [Google Scholar]
- Brand, F. Critical natural capital revisited: Ecological resilience and sustainable development. Ecol. Econ. 2009, 68, 605–612. [Google Scholar] [CrossRef]
- Xiao, L.; Zhang, X. Spatio-temporal characteristics of coupling coordination between green innovation efficiency and ecological welfare performance under the concept of strong sustainability. J. Nat. Resour. 2019, 34, 312–324. [Google Scholar] [CrossRef]
- Huang, L. Exploring the Strengths and Limits of Strong and Weak Sustainability Indicators: A Case Study of the Assessment of China’s Megacities with EF and GPI. Sustainability 2018, 10, 349. [Google Scholar] [CrossRef]
- Huang, L.; Wu, J.; Yan, L. Defining and measuring urban sustainability: A review of indicators. Landsc. Ecol. 2015, 30, 1175–1193. [Google Scholar] [CrossRef]
- Uehara, T.; Mineo, K. Regional sustainability assessment framework for integrated coastal zone management: Satoumi, ecosystem services approach, and inclusive wealth. Ecol. Indic. 2017, 73, 716–725. [Google Scholar] [CrossRef]
- Shang, C.; Wu, T.; Huang, G.; Wu, J. Weak sustainability is not sustainable: Socioeconomic and environmental assessment of Inner Mongolia for the past three decades. Resour. Conserv. Recycl. 2019, 141, 243–252. [Google Scholar] [CrossRef]
- Shmelev, S.E.; Rodríguez-Labajos, B. Dynamic multidimensional assessment of sustainability at the macro level: The case of Austria. Ecol. Econ. 2009, 68, 2560–2573. [Google Scholar] [CrossRef]
- Jain, P.; Jain, P. Sustainability assessment index: A strong sustainability approach to measure sustainable human development. Int. J. Sustain. Dev. World Ecol. 2013, 20, 116–122. [Google Scholar] [CrossRef]
- Rees, W.E. Ecological footprints and appropriated carrying capacity: What urban economics leaves out. Environ. Urban. 1992, 4, 121–130. [Google Scholar] [CrossRef]
- Zhu, D.; Zhang, S.; Sutton, D.B. Linking Daly’s Proposition to policymaking for sustainable development: Indicators and pathways. J. Clean. Prod. 2015, 102, 333–341. [Google Scholar] [CrossRef]
- Frugoli, P.A.; Almeida, C.M.; Agostinho, F.; Giannetti, B.F.; Huisingh, D. Can measures of well-being and progress help societies to achieve sustainable development? J. Clean. Prod. 2015, 90, 370–380. [Google Scholar] [CrossRef]
- Long, X.; Yu, H.; Sun, M.; Wang, X.C.; Klemes, J.J.; Xie, W.; Wang, C.; Li, W.; Wang, Y. Sustainability evaluation based on the Three-dimensional Ecological Footprint and Human Development Index: A case study on the four island regions in China. J. Environ. Manage 2020, 265, 110509. [Google Scholar] [CrossRef] [PubMed]
- Chaaban, J.; Irani, A.; Khoury, A. The Composite Global Well-Being Index (CGWBI): A New Multi-Dimensional Measure of Human Development. Soc. Indic. Res. 2015, 129, 465–487. [Google Scholar] [CrossRef]
- Hou, X.; Liu, J.; Zhang, D. Regional sustainable development: The relationship between natural capital utilization and economic development. Sustain. Dev. 2019, 27, 183–195. [Google Scholar] [CrossRef]
- Zhang, D.; Guo, Z.; Niu, X.; Gao, Y.; Wang, C.; Xu, H. Comprehensive evaluation on sustainable development based on planetary pressures and ecological well-being performance: A case study on the belt and road regions. J. Clean. Prod. 2022, 376, 134211. [Google Scholar] [CrossRef]
- He, S.; Fang, B.; Xie, X. Temporal and Spatial Evolution and Driving Mechanism of Urban Ecological Welfare Performance from the Perspective of High-Quality Development: A Case Study of Jiangsu Province, China. Land 2022, 11, 1607. [Google Scholar] [CrossRef]
- Wang, S.; Duan, L.; Zhu, Q.; Zhang, Y. Spatial Differences of Ecological Well-Being Performance in the Poyang Lake Area at the Local Level. Int. J. Environ. Res. Public Health 2022, 19, 11439. [Google Scholar] [CrossRef]
- Bian, J.; Lan, F.; Zhou, Y.; Peng, Z.; Dong, M. Spatial and Temporal Evolution and Driving Factors of Urban Ecological Well-Being Performance in China. Int. J. Environ. Res. Public Health 2022, 19, 9996. [Google Scholar] [CrossRef]
- Xia, M.; Li, J. Assessment of ecological well-being performance and its spatial correlation analysis in the Beijing-Tianjin-Hebei urban agglomeration. J. Clean. Prod. 2022, 362, 132621. [Google Scholar] [CrossRef]
- Dietz, T.; Rosa, E.A.; York, R. Environmentally efficient well-being: Is there a Kuznets curve? Appl. Geogr. 2012, 32, 21–28. [Google Scholar] [CrossRef]
- Hu, M.; Sarwar, S.; Li, Z.; Zhou, N. Spatio-temporal evolution and driving effects of the ecological intensity of urban well-being in the Yangtze River Delta. Energy Environ. 2022, 33, 1181–1202. [Google Scholar] [CrossRef]
- Behjat, A.; Tarazkar, M.H. Investigating the factors affecting the ecological well-being performance in Iran from 1994 to 2014. Environ. Dev. Sustain. 2021, 23, 13871–13889. [Google Scholar] [CrossRef]
- Hu, M.; Pang, Y.; Jin, T.; Li, Z. Spatio-Temporal Evolution of EIWB and Influencing Factors: An Empirical Study from the Yangtze River Delta. Appl. Spat. Anal. Policy 2021, 14, 999–1024. [Google Scholar] [CrossRef]
- Li, J.; Gong, Y.; Jiang, C. Spatio-temporal differentiation and policy optimization of ecological well-being in the Yellow River Delta high-efficiency eco-economic zone. J. Clean. Prod. 2022, 339, 130717. [Google Scholar] [CrossRef]
- Cooperw, W.; Seifordl, M.T.K. Data Envelopment Analysis: A Comprehensive Text with Models, Applications, References and DEA-Solver Software; Kluwer Academic Publisher: New York, NY, USA, 2007. [Google Scholar]
- Dyson, R.G.; Allen, R.; Camanho, A.S.; Podinovski, V.V.; Sarrico, C.S.; Shale, E.A. Pitfalls and protocols in DEA. Eur. J. Oper. Res. 2001, 132, 245–259. [Google Scholar] [CrossRef]
- Long, L. Evaluation of urban ecological well-being performance of Chinese major cities based on two-stage super-efficiency network SBM Model. China Popul. Resour. Environ. 2019, 29, 1–10. [Google Scholar]
- Long, L.; Wang, X. A study on Shanghai’s ecological well-being performance. China Popul. Resour. Environ. 2017, 27, 84–92. [Google Scholar]
- Zhu, Y.; Zhang, R.; Cui, J. Spatial Differentiation and Influencing Factors in the Ecological Well-Being Performance of Urban Agglomerations in the Middle Reaches of the Yangtze River: A Hierarchical Perspective. Int. J. Environ. Res. Public Health 2022, 19, 12867. [Google Scholar] [CrossRef]
- Wang, S.; Duan, L.; Jiang, S. Research on Spatial Differences and Driving Effects of Ecological Well-Being Performance in China. Int. J. Environ. Res. Public Health 2022, 19, 9310. [Google Scholar] [CrossRef]
- Bian, J.; Ren, H.; Liu, P. Evaluation of urban ecological well-being performance in China: A case study of 30 provincial capital cities. J. Clean. Prod. 2020, 254, 120109. [Google Scholar] [CrossRef]
- Silva, T.C.; Tabak, B.M.; Cajueiro, D.O.; Boas Dias, M.V. A comparison of DEA and SFA using micro- and macro-level perspectives: Efficiency of Chinese local banks. Phys. A Stat. Mech. Its Appl. 2017, 469, 216–223. [Google Scholar] [CrossRef]
- Charnes, A.; Cooper, W.W.; Rhodes, E. Measuring the efficiency of decision making units. Eur. J. Oper. Res. 1978, 2, 429–444. [Google Scholar] [CrossRef]
- Banker, R.D.; Charnes, A.; Cooper, W.W. Some Models for Estimating Technical and Scale Inefficiencies in Data Envelopment Analysis. Manag. Sci. 1984, 30, 1078–1092. [Google Scholar] [CrossRef]
- Tone, K.; Tsutsui, M. Network DEA: A slacks-based measure approach. Eur. J. Oper. Res. 2009, 197, 243–252. [Google Scholar] [CrossRef]
- Tone, K.; Tsutsui, M. Dynamic DEA: A slacks-based measure approach. Omega-Int. J. Manag. Sci. 2010, 38, 145–156. [Google Scholar] [CrossRef]
- Tone, K.; Tsutsui, M. An epsilon-based measure of efficiency in DEA—A third pole of technical efficiency. Eur. J. Oper. Res. 2010, 207, 1554–1563. [Google Scholar] [CrossRef]
- Tavana, M.; Mirzagoltabar, H.; Mirhedayatian, S.M.; Saen, R.F.; Azadi, M. A new network epsilon-based DEA model for supply chain performance evaluation. Comput. Ind. Eng. 2013, 66, 501–513. [Google Scholar] [CrossRef]
- Andersen, P.; Petersen, N. A Procedure for Ranking Units in Data Envelopment Analysis. Manag. Sci. 1993, 39, 1261–1264. [Google Scholar] [CrossRef]
- Long, L. Evaluation of ecological civilization construction performance and its international comparison from the perspective of overall well-being. J. Nat. Resour. 2019, 34, 1259–1272. [Google Scholar] [CrossRef]
- Cullinane, K.; Song, D.-W.; Ji, P.; Wang, T.-F. An Application of DEA Windows Analysis to Container Port Production Efficiency. Rev. Netw. Econ. 2004, 3. [Google Scholar] [CrossRef]
- Wang, J.; Xu, C. Geodetector: Principle and prospective. Acta Geogr. Sin. 2017, 72, 116–134. [Google Scholar]
- Wang, J.-F.; Li, X.-H.; Christakos, G.; Liao, Y.-L.; Zhang, T.; Gu, X.; Zheng, X.-Y. Geographical Detectors-Based Health Risk Assessment and its Application in the Neural Tube Defects Study of the Heshun Region, China. Int. J. Geogr. Inf. Sci. 2010, 24, 107–127. [Google Scholar] [CrossRef]
- Wan, J.; Zhang, L.; Yan, J.; Wang, X.; Wang, T. Spatial–Temporal Characteristics and Influencing Factors of Coupled Coordination between Urbanization and Eco-Environment: A Case Study of 13 Urban Agglomerations in China. Sustainability 2020, 12, 8821. [Google Scholar] [CrossRef]
- Wang, J.-F.; Hu, Y. Environmental health risk detection with GeogDetector. Environ. Model. Softw. 2012, 33, 114–115. [Google Scholar] [CrossRef]
- Wang, J.-F.; Zhang, T.-L.; Fu, B.-J. A measure of spatial stratified heterogeneity. Ecol. Indic. 2016, 67, 250–256. [Google Scholar] [CrossRef]
- Dziuban, C.D.; Shirkey, E.C. When is a correlation matrix appropriate for factor analysis? Some decision rules. Psychol. Bull. 1974, 81, 358–361. [Google Scholar] [CrossRef]
- Hu, M.; Sarwar, S.; Li, Z. Spatio-Temporal Differentiation Mode and Threshold Effect of Yangtze River Delta Urban Ecological Well-Being Performance Based on Network DEA. Sustainability 2021, 13, 4550. [Google Scholar] [CrossRef]
- Deng, Y.; Ma, Y.; Yang, X. Provincial ecological well-being performance level measurement and its spatial-temporal evolution analysis in China. Front. Environ. Sci. 2022, 10, 1627. [Google Scholar] [CrossRef]
- Long, R.; Zhang, Q.; Chen, H.; Wu, M.; Li, Q. Measurement of the Energy Intensity of Human Well-Being and Spatial Econometric Analysis of Its Influencing Factors. Int. J. Environ. Res. Public Health 2020, 17, 357. [Google Scholar] [CrossRef]
- Wang, S.; Zhang, Y.; Yao, X. Research on Spatial Unbalance and Influencing Factors of Ecological Well-Being Performance in China. Int. J. Environ. Res. Public Health 2021, 18, 9299. [Google Scholar] [CrossRef]
- Zhu, D.J.; Zhang, S. Research on ecological wellbeing performance and its relationship with economic growth. China Popul. Resour. Environ. 2014, 24, 59–67. [Google Scholar] [CrossRef]
- Strand, R.; Freeman, R.E.; Hockerts, K. Corporate Social Responsibility and Sustainability in Scandinavia: An Overview. J. Bus. Ethics 2014, 127, 1–15. [Google Scholar] [CrossRef]
- Pallesen, T. Scandinavian Corporatism in a Trans-Atlantic Comparative Perspective. Scand. Political Stud. 2006, 29, 131–145. [Google Scholar] [CrossRef]








| Stage | Category | Level One Indicator | Level Two Indicator | Level Three Indicator | References |
|---|---|---|---|---|---|
| Stage 1 (Eco-economic efficiency) | Input indicators | Capital input | Human capital | Education expenditure per capita | [27,42] |
| Science and Technology capital | Science and technology expenditure per capita | [27,42] | |||
| Resource consumption | Energy consumption | Per-capita industrial energy consumption above the scale | [46,48,54] | ||
| Land resource consumption | Built-up area per capita | [42,46] | |||
| Water consumption | Water consumption per capita | [48,55] | |||
| Undesired output | Environmental pollution | water pollution | Industrial wastewater emissions per capita | [27,56] | |
| Air pollution | Industrial waste gas emissions per capita, per-capita carbon emission | [46,56] | |||
| Land pollution | Industrial solid waste generation per capita | [24,56] | |||
| Intermediate variable | Desired output | Economic benefits | GDP | GDP per capita | [42,52] |
| Stage 2 (Economic well-being efficiency) | Output indicators | Comprehensive well-being output | Economic growth | Per-capita disposable income of urban residents, per-capita disposable income of rural residents | [42,52] |
| Social inclusion | Years of education per capita, health technicians per 1000 population, health expenditure per capita, social security, and employment expenditure per capita | [42,48,54] | |||
| Environmental friendliness | Energy saving and environmental protection expenditure per capita, forest coverage rate, park green space per capita, excellent-air-quality rate, urban domestic sewage treatment rate | [41,48] |
| Graphical Representation | Description | Interaction |
|---|---|---|
![]() | Nonlinear weakening | |
![]() | Single-factor nonlinear weaking | |
![]() | Two-factor enhancement | |
![]() | Independent | |
![]() | Nonlinear enhancement |
| Category | KMO | Bartlett Test of Sphericity | PCA | |||||
|---|---|---|---|---|---|---|---|---|
| Approx. Chi-Square | df | p Value | Component | Total | % | Cumulative % | ||
| Capital input | 0.484 | 73.096 | 3 | 0.000 | - | - | - | - |
| Resource consumption | 0.531 | 145.41 | 3 | 0.000 | 1 | 1.696 | 56.524 | 56.524 |
| Environmental pollution | 0.604 | 507.02 | 6 | 0.000 | 1 | 2.462 | 61.543 | 61.543 |
| Comprehensive well-being outputs | 0.694 | 2227.286 | 55 | 0.000 | 1 | 3.605 | 32.769 | 32.769 |
| 2 | 2.927 | 26.608 | 59.378 | |||||
| 3 | 1.253 | 11.394 | 70.772 | |||||
| DMU | 2010 | 2014 | 2017 | 2020 | Average | |||||
|---|---|---|---|---|---|---|---|---|---|---|
| Stage 1 | Stage 2 | Stage 1 | Stage 2 | Stage 1 | Stage 2 | Stage 1 | Stage 2 | Stage 1 | Stage 2 | |
| Kaizhou District | 0.752 | 0.233 | 0.626 | 0.738 | 0.854 | 0.821 | 0.871 | 0.886 | 0.756 | 0.743 |
| Wulong District | 0.497 | 0.768 | 0.456 | 0.891 | 0.463 | 0.956 | 0.528 | 0.957 | 0.487 | 0.898 |
| Fengdu County | 1.000 | 0.679 | 0.588 | 0.802 | 0.488 | 0.819 | 0.626 | 0.880 | 0.660 | 0.814 |
| Zhong County | 1.000 | 0.528 | 0.798 | 0.786 | 0.843 | 0.790 | 0.814 | 0.879 | 0.803 | 0.817 |
| Yunyang County | 1.000 | 0.930 | 1.000 | 0.745 | 1.000 | 0.779 | 0.896 | 0.895 | 0.991 | 0.844 |
| Fengjie County | 1.000 | 0.689 | 0.916 | 0.674 | 0.758 | 0.813 | 0.696 | 0.872 | 0.853 | 0.749 |
| Wushan County | 1.000 | 0.948 | 1.228 | 1.026 | 1.000 | 0.911 | 0.966 | 0.951 | 1.037 | 0.962 |
| Wuxi County | 1.000 | 1.000 | 0.888 | 0.911 | 1.000 | 0.950 | 1.000 | 0.965 | 0.942 | 0.945 |
| Fuling District | 0.663 | 0.583 | 0.401 | 0.811 | 0.423 | 0.967 | 0.429 | 0.927 | 0.453 | 0.882 |
| Wanzhou District | 1.000 | 0.728 | 0.720 | 0.701 | 0.584 | 0.768 | 0.598 | 0.905 | 0.639 | 0.754 |
| Shizhu County | 0.447 | 0.657 | 0.465 | 0.799 | 0.435 | 0.921 | 0.499 | 1.000 | 0.467 | 0.839 |
| Changshou District | 0.335 | 0.837 | 0.497 | 0.870 | 0.367 | 0.945 | 0.318 | 1.000 | 0.387 | 0.913 |
| Yubei District | 1.000 | 0.591 | 1.000 | 0.621 | 1.000 | 0.640 | 0.889 | 0.758 | 0.930 | 0.659 |
| BaNan District | 0.522 | 0.645 | 0.632 | 0.800 | 0.673 | 0.766 | 0.734 | 0.861 | 0.615 | 0.784 |
| Jiangjing District | 0.595 | 0.767 | 0.511 | 0.746 | 0.536 | 0.776 | 0.518 | 0.840 | 0.585 | 0.810 |
| Yuzhong District | 1.000 | 0.797 | 1.000 | 0.898 | 1.000 | 0.967 | 1.000 | 1.000 | 1.000 | 0.921 |
| Beibei District | 0.527 | 0.716 | 0.913 | 0.829 | 0.597 | 0.809 | 0.714 | 0.903 | 0.683 | 0.828 |
| Shapingba District | 0.833 | 0.626 | 0.876 | 0.674 | 0.794 | 0.713 | 1.000 | 0.778 | 0.758 | 0.715 |
| NanAn District | 0.442 | 0.696 | 0.451 | 0.807 | 0.553 | 0.763 | 0.933 | 0.819 | 0.513 | 0.789 |
| Jiulongpo District | 0.749 | 0.624 | 0.521 | 0.689 | 0.567 | 0.697 | 0.853 | 0.791 | 0.588 | 0.721 |
| Dadukou District | 0.636 | 0.504 | 0.419 | 0.876 | 0.448 | 0.802 | 0.651 | 0.865 | 0.490 | 0.824 |
| Jiangbei District | 0.429 | 0.683 | 0.477 | 0.765 | 0.526 | 0.738 | 0.708 | 0.838 | 0.512 | 0.795 |
| Xinshan County | 0.508 | 0.777 | 0.422 | 0.777 | 0.305 | 0.863 | 0.379 | 0.989 | 0.399 | 0.814 |
| Zigui County | 1.000 | 0.805 | 0.554 | 0.734 | 0.903 | 0.815 | 0.739 | 0.887 | 0.775 | 0.801 |
| Yiling District | 1.000 | 0.642 | 0.566 | 0.821 | 0.433 | 0.757 | 0.384 | 0.930 | 0.582 | 0.810 |
| Badong County | 0.958 | 0.913 | 0.910 | 0.742 | 1.000 | 0.835 | 0.873 | 1.000 | 0.920 | 0.850 |
| HRA | 0.867 | 0.785 | 0.613 | 0.768 | 0.660 | 0.818 | 0.594 | 0.951 | 0.669 | 0.819 |
| CEAC | 0.911 | 0.710 | 0.803 | 0.798 | 0.774 | 0.841 | 0.774 | 0.915 | 0.794 | 0.830 |
| NAC | 0.522 | 0.739 | 0.466 | 0.830 | 0.447 | 0.911 | 0.449 | 0.931 | 0.478 | 0.876 |
| CUAC | 0.682 | 0.654 | 0.699 | 0.773 | 0.684 | 0.766 | 0.831 | 0.846 | 0.677 | 0.782 |
| TGRA | 0.765 | 0.706 | 0.686 | 0.790 | 0.675 | 0.822 | 0.716 | 0.899 | 0.686 | 0.818 |
| DMU | N1 | N2 | U1 | U2 | Y1 | Z1 |
|---|---|---|---|---|---|---|
| HRA | −0.163 | −0.139 | −0.137 | −0.255 | 0.046 | 0.041 |
| CEAC | −0.085 | −0.076 | −0.038 | −0.034 | 0.077 | 0.114 |
| NAC | −0.217 | −0.159 | −0.338 | −0.325 | 0.067 | −0.057 |
| CUAC | −0.028 | −0.123 | −0.041 | −0.034 | 0.167 | −0.041 |
| TGRA | −0.098 | −0.115 | −0.103 | −0.116 | 0.099 | 0.025 |
| Category | Independent Variable | Variable Explanation | Data Type | References |
|---|---|---|---|---|
| Economic development level | X1 GDP per capita (CNY) | Regional Economic Strength Status | Statistics | [41,47,73] |
| X2 Industrial value-added/GDP (%) | Industrial Structure | Statistics | [47,73] | |
| X3 Total import and export/GDP (%) | Openness Level | Statistics | [74] | |
| Policy system | X4 Per-capita expenditure on science and technology (CNY) | Science and Technology Level | Statistics | [43] |
| X5 Fiscal expenditure per capita (CNY) | Government Capability | Statistics | [41,73] | |
| Social-living condition | X6 Number of health technicians per 1000 people (person) | Medical Level | Statistics | [75] |
| X7 Urban population/total population (%) | Urbanization | Statistics | [41] | |
| Natural environment | X8 NDVI | Vegetation Cover Level | Raster Data | [16] |
| X9 Percentage of good days (%) | Air Quality Statistics | Statistics | [73] |
| Independent Variable | p Value | Significance | 2010 | 2014 | 2017 | 2020 |
|---|---|---|---|---|---|---|
| X1 | 0.000 | 0.01 | 0.530 | 0.505 | 0.668 | 0.584 |
| X2 | 0.000 | 0.01 | 0.337 | 0.311 | 0.427 | 0.474 |
| X3 | 0.000 | 0.01 | 0.192 | 0.143 | 0.264 | 0.260 |
| X4 | 0.000 | 0.01 | 0.389 | 0.529 | 0.540 | 0.300 |
| X5 | 0.000 | 0.01 | 0.159 | 0.162 | 0.111 | 0.282 |
| X6 | 0.000 | 0.01 | 0.192 | 0.367 | 0.446 | 0.032 |
| X7 | 0.000 | 0.01 | 0.334 | 0.382 | 0.638 | 0.645 |
| X8 | 0.000 | 0.01 | 0.065 | 0.113 | 0.078 | 0.133 |
| X9 | 0.000 | 0.01 | 0.335 | 0.337 | 0.176 | 0.245 |
Disclaimer/Publisher’s Note: The statements, opinions and data contained in all publications are solely those of the individual author(s) and contributor(s) and not of MDPI and/or the editor(s). MDPI and/or the editor(s) disclaim responsibility for any injury to people or property resulting from any ideas, methods, instructions or products referred to in the content. |
© 2023 by the authors. Licensee MDPI, Basel, Switzerland. This article is an open access article distributed under the terms and conditions of the Creative Commons Attribution (CC BY) license (https://creativecommons.org/licenses/by/4.0/).
Share and Cite
Lai, Z.; Li, L.; Tao, Z.; Li, T.; Shi, X.; Li, J.; Li, X. Spatio-Temporal Evolution and Influencing Factors of Ecological Well-Being Performance from the Perspective of Strong Sustainability: A Case Study of the Three Gorges Reservoir Area, China. Int. J. Environ. Res. Public Health 2023, 20, 1810. https://doi.org/10.3390/ijerph20031810
Lai Z, Li L, Tao Z, Li T, Shi X, Li J, Li X. Spatio-Temporal Evolution and Influencing Factors of Ecological Well-Being Performance from the Perspective of Strong Sustainability: A Case Study of the Three Gorges Reservoir Area, China. International Journal of Environmental Research and Public Health. 2023; 20(3):1810. https://doi.org/10.3390/ijerph20031810
Chicago/Turabian StyleLai, Zhicheng, Lei Li, Zhuomin Tao, Tao Li, Xiaoting Shi, Jialing Li, and Xin Li. 2023. "Spatio-Temporal Evolution and Influencing Factors of Ecological Well-Being Performance from the Perspective of Strong Sustainability: A Case Study of the Three Gorges Reservoir Area, China" International Journal of Environmental Research and Public Health 20, no. 3: 1810. https://doi.org/10.3390/ijerph20031810
APA StyleLai, Z., Li, L., Tao, Z., Li, T., Shi, X., Li, J., & Li, X. (2023). Spatio-Temporal Evolution and Influencing Factors of Ecological Well-Being Performance from the Perspective of Strong Sustainability: A Case Study of the Three Gorges Reservoir Area, China. International Journal of Environmental Research and Public Health, 20(3), 1810. https://doi.org/10.3390/ijerph20031810






