Concentration Characteristics and Correlations with Other Pollutants of Atmospheric Particulate Matter as Affected by Relevant Policies
Abstract
1. Introduction
2. Methods
3. Results and Discussion
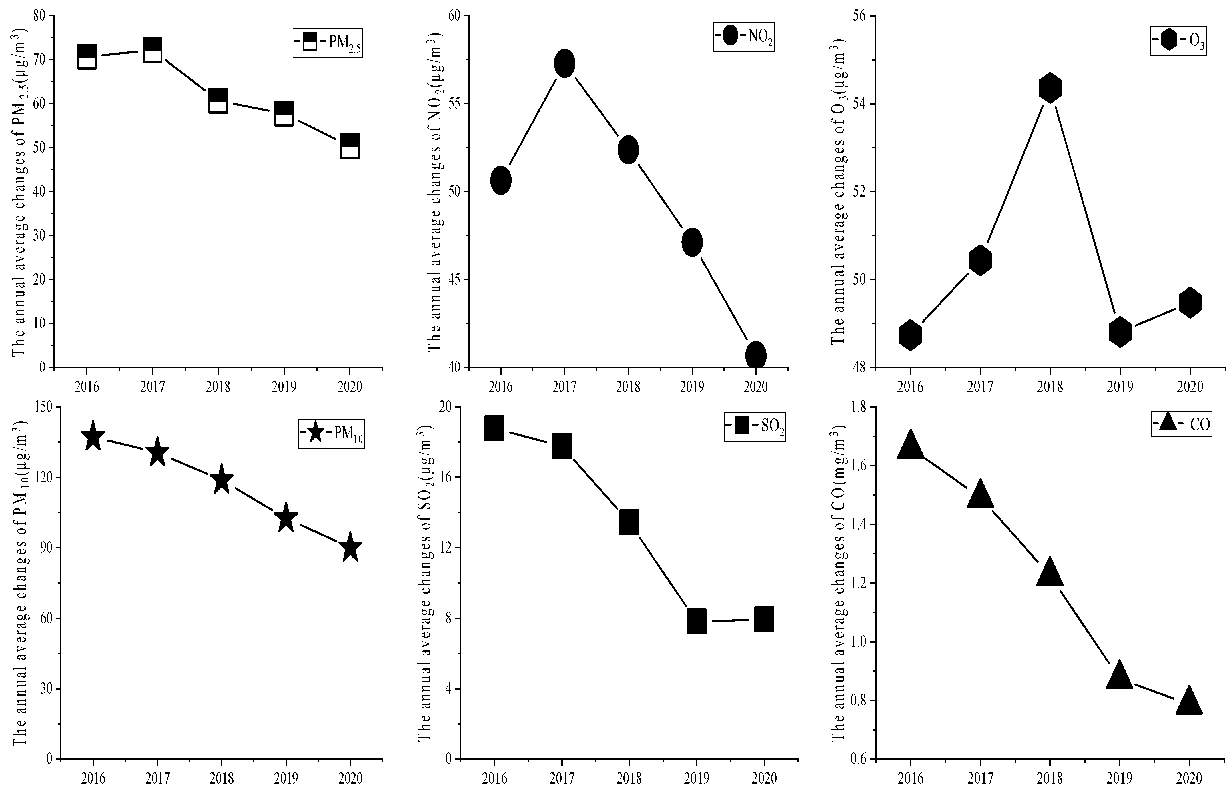
3.1. Annual Concentrations of Particulate Matter
3.2. Seasonal Concentrations of Particulate Matter
3.3. Monthly Concentrations of Particulate Matter
3.4. Daily Concentrations of Particulate Matter
3.5. Quantity Concentrations of Atmospheric Particles
3.6. Correlations between Particulate Matter and Other Major Pollutants
4. Conclusions
- The annual average concentrations of PM10 and PM2.5 decreased year by year from 2016 to 2020. The annual concentrations of PM2.5 decreased by 20.3 μg/m3, and the annual concentrations of PM10 decreased by 47.3 μg/m3. The decrease in PM10 concentrations was greater than that in PM2.5. The days with concentrations of PM10 exceeding the standards decreased by 82 days, with a decrease of 66.7%. The days with concentrations of PM2.5 exceeding the standards decreased by 40 days, with a decrease of 35.4%.
- The concentration values of PM10 and PM2.5 were roughly consistent with the monthly and daily trends. The distribution of PM10 was higher in winter and lower in summer. The distribution of PM2.5 was higher in winter and lower in autumn. The change in monthly concentration was U-shaped, with the lowest being in July and the highest being in December. The changes in daily concentrations showed a double-peak behavior. The highest concentrations of particulate matter appeared at about 8:00~9:00 am and 11:00 pm, and they were greatly affected by human activity.
- The atmospheric particles in Xi’an were mainly fine particles. The proportion of particles of 0~1.0 μm decreased by 1.94%, and the proportion of particles of 0~2.5 μm decreased by 2.00% from 2016 to 2020. This study shows that the atmospheric environment in Xi’an demonstrated great improvements after relevant measures were implemented. A multivariate linear regression model to calculate the concentrations of pollutants was also established in this paper. This study provides a reference for the comprehensive analysis and control of air pollutants in Xi’an and even worldwide.
Author Contributions
Funding
Institutional Review Board Statement
Informed Consent Statement
Data Availability Statement
Conflicts of Interest
References
- Tian, Y.L.; Li, X.Y.; Sun, H.T.; Xue, W.H.; Song, J.X. Characteristics of atmospheric pollution and the impacts of environmental management over a megacity, northwestern China. Urban Clim. 2022, 42, 101114. [Google Scholar] [CrossRef]
- Chen, Q.; Luo, X.S.; Chen, Y.; Zhao, Z.; Hong, Y.W.; Pang, Y.T.; Huang, W.J.; Wang, Y.; Jin, L. Seasonally varied cytotoxicity of organic components in PM2.5 from urban and industrial areas of a Chinese megacity. Chemosphere 2019, 230, 424–431. [Google Scholar] [CrossRef] [PubMed]
- Pozzer, A.; Bacer, S.; De Zolt Sappadina, S.; Predicatori, F.; Caleffi, A. Long-term concentrations of fine particulate matter and impact on human health in Verona, Italy. Atmos. Pollut. Res. 2019, 10, 731–738. [Google Scholar] [CrossRef]
- Fan, X.Y.; Gao, J.F.; Pan, K.L.; Li, D.C.; Dai, H.H.; Li, X. More obvious air pollution impacts on variations in bacteria than fungi and their co-occurrences with ammonia-oxidizing microorganisms in PM2.5. Environ Pollut. 2019, 251, 668–680. [Google Scholar] [CrossRef] [PubMed]
- Hu, Y.J. Environmental Behavior and Human Inhalation Exposure of Particles and Typical Organic Contaminants in Indoor and Outdoor Air. Ph.D. Thesis, University of Chinese Academy of Sciences, Guangzhou, China, 2018. (In Chinese). [Google Scholar]
- Awada, M.; Becerik-Gerber, B.; White, E.; Hoque, S.; O’Neill, Z.; Pedrielli, G.; Wen, J.; Wu, T. Occupant health in buildings: Impact of the COVID-19 pandemic on the opinions of building professionals and implications on research. Built Environ. 2022, 207, 108440. [Google Scholar] [CrossRef] [PubMed]
- Zoran, M.A.; Savastru, R.S.; Savastru, D.M.; Tautan, M.N. Assessing the relationship between surface levels of PM2.5 and PM10 particulate matter impact on COVID-19 in Milan, Italy. Sci. Total Environ. 2020, 738, 139825. [Google Scholar] [CrossRef] [PubMed]
- IARC. Outdoor Air Pollution a Leading Environmental Cause of Cancer Deaths; Technical Report; International Agency for Research on Cancer: Lyon, France, 2013. [Google Scholar]
- Kuklinska, K.; Wolska, L.; Namiesnik, J. Air quality policy in the U.S. and the EU—A review. Atmos Pollut Res. 2015, 6, 129–137. [Google Scholar] [CrossRef]
- Xie, H.; Zhao, S.; Cao, G.Q. Comparison on PM2.5 Control Standards at Home and Abroad. Build. Sci. 2014, 30, 37–43. (In Chinese) [Google Scholar]
- Ahn, H.; Lee, J.; Hong, A. Urban form and air pollution: Clustering patterns of urban form factors related to particulate matter in Seoul, Korea. Sustain. Cities Soc. 2022, 81, 103859. [Google Scholar] [CrossRef]
- Zaib, S.; Lu, J.J.; Bilal, M. Spatio-Temporal Characteristics of Air Quality Index (AQI) over Northwest China. Atmosphere 2022, 13, 375. [Google Scholar] [CrossRef]
- Filonchyk, M.; Yan, H.W.; Li, X.J. Temporal and spatial variation of particulate matter and its correlation with other criteria of air pollutants in Lanzhou, China, in spring-summer periods. Atmos. Pollut. Res. 2018, 9, 1100–1110. [Google Scholar] [CrossRef]
- Mi, K.; Zhuang, R.L.; Zhang, Z.H.; Gao, J.; Pei, Q. Spatiotemporal characteristics of PM2.5 and its associated gas pollutants, a case in China. Sustain. Cities Soc. 2019, 45, 287–295. [Google Scholar] [CrossRef]
- Wang, J.; Li, T.N.; Li, Z.Q.; Fang, C.S. Study on the Spatial and Temporal Distribution Characteristics and Influencing Factors of Particulate Matter Pollution in Coal Production Cities in China. Int. J. Environ. Res. Public Health 2022, 19, 3228. [Google Scholar] [CrossRef] [PubMed]
- Karagulian, F.; Barbiere, M.; Kotsev, A.; Spinelle, L.; Gerboles, M.; Lagler, F.; Redon, N.; Crunaire, S.; Borowiak, A. Review of the performance of low-cost sensors for air quality monitoring. Atmosphere 2019, 10, 506. [Google Scholar] [CrossRef]
- Baldelli, A. Evaluation of a low-cost multi-channel monitor for indoor air quality through a novel, low-cost, and reproducible platform. Meas. Sens. 2021, 17, 100059. [Google Scholar] [CrossRef]
- Liu, J.H.; Chen, Y.F.; Lin, T.S.; Lai, D.W.; Wen, T.H.; Sun, C.H.; Juang, J.Y.; Jiang, J.A. Developed Urban Air Quality Monitoring System Based on Wireless Sensor Networks. In Proceedings of the 2011 Fifth International Conference on Sensing Technology, Palmerston North, New Zealand, 28 November–1 December 2011. [Google Scholar]
- Li, Z.Y.; Wang, Y.; Xu, Z.L.; Cao, Y. Characteristics and sources of atmospheric pollutants in typical inland cities in arid regions of central Asia: A case study of Urumqi city. PLoS ONE 2021, 16, e0249563. [Google Scholar] [CrossRef]
- Zhou, F.R.; Yang, J.R.; Wen, G.; Ma, Y.; Pan, H.; Geng, H.; Cao, J.; Zhao, M.; Xu, C. Estimating spatio-temporal variability of aerosol pollution in Yunnan Province, China. Atmos. Pollut. Res. 2022, 13, 101450. [Google Scholar] [CrossRef]
- Zhang, L.C.; An, J.; Liu, M.Y.; Li, Z.W.; Liu, Y.; Tiao, L.X.; Liu, X.T.; Zhang, F.; Zheng, D.Q.; Gao, Q.; et al. Spatiotemporal variations and influencing factors of PM2.5 concentrations in Beijing, China. Environ. Pollut. 2020, 262, 114276. [Google Scholar] [CrossRef]
- Zhang, X.; Fan, Y.S.; Yu, W.Q.; Wang, H.; Zhang, X.L. Variation of Particulate Matter and Its Correlation with Other Air Pollutants in Xi`an, China. Pol. J. Environ. Stud. 2021, 30, 3357–3364. [Google Scholar] [CrossRef]
- Zhang, X.; Fan, Y.S.; Wei, S.X.; Wang, H.; Zhang, J.X. Spatiotemporal Distribution of PM2.5 and Its Correlation with Other Air Pollutants in Winter During 2016~2018 in Xi’an, China. Pol. J. Environ. Stud. 2021, 30, 1457–1464. [Google Scholar] [CrossRef]
- Zhang, H.L.; Hao, Q.L.; Li, G.L. Analysis of Pollution Concentration of Particulate Matter after Adjusting Heating Measures in Xi’an. Build. Energy Environ. 2020, 39, 54–57. (In Chinese) [Google Scholar]
- GB 3095-2012; Ambient Air Quality Standards. China Environmental Science Press: Beijing, China, 2012.
- HJ633-2012; Technical Regulation on Ambient Air Quality Index (on Trial). China Environmental Science Press: Beijing, China, 2012.
- HJ633-2013; Technical Regulation for Ambient Air Quality assessment (on Trial). China Environmental Science Press: Beijing, China, 2013.
- Zhu, C.L.; Li, X.Q.; Li, F.Y. Analysis on variation trends and related features of concentration of main air pollution in Xi’an. Environ. Eng. 2017, 35, 104–109. (In Chinese) [Google Scholar]
- Dai, H.B.; Huang, G.Q.; Wang, J.J.; Zeng, H.B.; Zhou, F.Y. Spatio-Temporal Characteristics of PM2.5 Concentrations in China Based on Multiple Sources of Data and LUR-GBM during 2016–2021. Int. J. Environ. Res. Public Health 2022, 19, 6292. [Google Scholar] [CrossRef] [PubMed]
- Zhang, X.; Fan, Y.S.; Tian, G.J.; Wang, H.; Zhang, H.L.; Xie, W. Influence of Fiber Diameter on Filtration Performance of Polyester Fibers. Therm Sci. 2019, 23, 2291–2296. [Google Scholar] [CrossRef]
- Azimi, P.; Zhao, D.; Stephens, B. Estimates of HVAC filtration efficiency for fine and ultrafine particles of outdoor origin. Atmos. Environ. 2014, 98, 337–346. [Google Scholar] [CrossRef]
- Liu, L.; Liu, Y.S.; Wen, W.; Liang, L.L.; Ma, X.; Jiao, J.; Guo, K. Source Identification of Trace Elements in PM2.5 at a Rural Site in the North China Plain. Atmosphere 2020, 11, 179. [Google Scholar] [CrossRef]
- Adams, S.; Acheampong, A.O. Reducing carbon emissions: The role of renewable energy and democracy. J. Clean. Prod. 2019, 240, 118245. [Google Scholar] [CrossRef]
- Bujang, M.A.; Baharum, N. A simplified guide to determination of sample size requirements for estimating the value of intraclass correlation coefficient: A review. Arch. Orofac. Sci. 2017, 12, 1–11. [Google Scholar]
- Fontes, T.; Li, P.; Barros, N.; Zhao, P. Trends of PM2.5 concentrations in China: A long term approach. J. Environ. Manag. 2017, 196, 719–732. [Google Scholar] [CrossRef]








| Content | Year | Average (μg/m3) | Max (μg/m3) | Min (μg/m3) | Number of Samples (Days) | Days with Concentrations Exceeding the Standards (Days) | Average Exceeding Concentration (μg/m3) | Percentage of Days with Concentrations Exceeding the Standards (%) |
|---|---|---|---|---|---|---|---|---|
| PM10 (μg/m3) | 2016 | 137.3 | 501 | 24 | 366 | 123 | 238.8 | 33.6 |
| 2017 | 130.5 | 591 | 17 | 365 | 92 | 255.4 | 25.2 | |
| 2018 | 118.9 | 568 | 20 | 363 | 92 | 229.5 | 25.3 | |
| 2019 | 102.5 | 576 | 10 | 363 | 72 | 212.5 | 19.8 | |
| 2020 | 90.0 | 297 | 16 | 366 | 41 | 190.0 | 11.2 | |
| PM2.5 (μg/m3) | 2016 | 70.6 | 434 | 11 | 366 | 113 | 139.3 | 30.9 |
| 2017 | 72.1 | 490 | 8 | 365 | 109 | 147.4 | 29.9 | |
| 2018 | 60.7 | 292 | 9 | 363 | 94 | 129.1 | 25.9 | |
| 2019 | 57.7 | 292 | 5 | 363 | 79 | 141.2 | 21.8 | |
| 2020 | 50.3 | 225 | 6 | 366 | 73 | 118.1 | 19.9 |
| Content | Date | Quality Level | Daily Concentration (μg/m3) | Concentration Range (μg/m3) | Weather | Wind Direction | Wind Level |
|---|---|---|---|---|---|---|---|
| PM2.5 (μg/m3) | 20 December 2016 | Heavily polluted | 434 | 415–455 | Hazy | Northeasterly | 1–2 |
| 5 January 2017 | Heavily polluted | 490 | 398–558 | Drizzly | East wind | 1–2 | |
| 15 January 2018 | Heavily polluted | 292 | 245–345 | Foggy | Southwesterly | 2 | |
| 6 January 2019 | Heavily polluted | 292 | 271–320 | Hazy | North wind | 1–2 | |
| 25 January 2020 | Heavily polluted | 225 | 188–253 | Drizzly | East wind | 3–4 | |
| PM10 (μg/m3) | 20 December 2016 | Heavily polluted | 501 | 470–528 | Hazy | Northeasterly | 1–2 |
| 5 January 2017 | Heavily polluted | 591 | 483–663 | Drizzly | East wind | 1–2 | |
| 3 December 2018 | Heavily polluted | 568 | 386–864 | Hazy | Southwesterly | 1–2 | |
| 12 May 2019 | Heavily polluted | 576 | 57–1624 | Gloomy | Northwesterly | 3–4 | |
| 26 March 2020 | Moderately polluted | 297 | 29–1221 | Cloudy | Northwesterly | 3–4 |
| Year | Pollutant | Pollutant | |||||
|---|---|---|---|---|---|---|---|
| PM2.5 | PM10 | SO2 | NO2 | CO | O3 | ||
| 2016 | PM2.5 | 1 | |||||
| PM10 | 0.799 | 1 | |||||
| SO2 | 0.509 | 0.547 | 1 | ||||
| NO2 | 0.562 | 0.552 | 0.461 | 1 | |||
| CO | 0.709 | 0.677 | 0.746 | 0.54 | 1 | ||
| O3 | 0.39 | 0.327 | 0.414 | 0.308 | 0.504 | 1 | |
| 2017 | PM2.5 | 1 | |||||
| PM10 | 0.811 | 1 | |||||
| SO2 | 0.622 | 0.51 | 1 | ||||
| NO2 | 0.578 | 0.437 | 0.615 | 1 | |||
| CO | 0.903 | 0.646 | 0.692 | 0.556 | 1 | ||
| O3 | 0.261 | 0.2 | 0.32 | 0.326 | 0.37 | 1 | |
| 2018 | PM2.5 | 1 | |||||
| PM10 | 0.694 | 1 | |||||
| SO2 | 0.664 | 0.433 | 1 | ||||
| NO2 | 0.574 | 0.394 | 0.57 | 1 | |||
| CO | 0.854 | 0.432 | 0.702 | 0.57 | 1 | ||
| O3 | 0.268 | 0.167 | 0.221 | 0.342 | 0.271 | 1 | |
| 2019 | PM2.5 | 1 | |||||
| PM10 | 0.774 | 1 | |||||
| SO2 | 0.42 | 0.346 | 1 | ||||
| NO2 | 0.425 | 0.386 | 0.523 | 1 | |||
| CO | 0.842 | 0.481 | 0.459 | 0.399 | 1 | ||
| O3 | 0.311 | 0.196 | 0.404 | 0.373 | 0.337 | 1 | |
| 2020 | PM2.5 | 1 | |||||
| PM10 | 0.622 | 1 | |||||
| SO2 | 0.509 | 0.486 | 1 | ||||
| NO2 | 0.265 | 0.47 | 0.395 | 1 | |||
| CO | 0.847 | 0.396 | 0.401 | 0.215 | 1 | ||
| O3 | 0.210 | 0.129 | 0.168 | 0.235 | 0.274 | 1 | |
Disclaimer/Publisher’s Note: The statements, opinions and data contained in all publications are solely those of the individual author(s) and contributor(s) and not of MDPI and/or the editor(s). MDPI and/or the editor(s) disclaim responsibility for any injury to people or property resulting from any ideas, methods, instructions or products referred to in the content. |
© 2023 by the authors. Licensee MDPI, Basel, Switzerland. This article is an open access article distributed under the terms and conditions of the Creative Commons Attribution (CC BY) license (https://creativecommons.org/licenses/by/4.0/).
Share and Cite
Song, H.; Dong, Y.; Yang, J.; Zhang, X.; Nie, X.; Fan, Y. Concentration Characteristics and Correlations with Other Pollutants of Atmospheric Particulate Matter as Affected by Relevant Policies. Int. J. Environ. Res. Public Health 2023, 20, 1051. https://doi.org/10.3390/ijerph20021051
Song H, Dong Y, Yang J, Zhang X, Nie X, Fan Y. Concentration Characteristics and Correlations with Other Pollutants of Atmospheric Particulate Matter as Affected by Relevant Policies. International Journal of Environmental Research and Public Health. 2023; 20(2):1051. https://doi.org/10.3390/ijerph20021051
Chicago/Turabian StyleSong, Hong, Yuhang Dong, Jiayu Yang, Xin Zhang, Xingxin Nie, and Yuesheng Fan. 2023. "Concentration Characteristics and Correlations with Other Pollutants of Atmospheric Particulate Matter as Affected by Relevant Policies" International Journal of Environmental Research and Public Health 20, no. 2: 1051. https://doi.org/10.3390/ijerph20021051
APA StyleSong, H., Dong, Y., Yang, J., Zhang, X., Nie, X., & Fan, Y. (2023). Concentration Characteristics and Correlations with Other Pollutants of Atmospheric Particulate Matter as Affected by Relevant Policies. International Journal of Environmental Research and Public Health, 20(2), 1051. https://doi.org/10.3390/ijerph20021051

