The Rasch Analysis Shows Poor Construct Validity and Low Reliability of the Quebec User Evaluation of Satisfaction with Assistive Technology 2.0 (QUEST 2.0) Questionnaire
Abstract
1. Introduction
2. Materials and Methods
2.1. The QUEST 2.0
2.2. Rasch Analysis: Steps of Analysis
2.2.1. Items Categories and Andrich Thresholds
2.2.2. Fit to the Model of Rasch
2.2.3. Testing Unidimensionality: The Principal Component Analysis of the Model’s Residuals
2.2.4. Differential Item Functioning
2.2.5. The Item Map
2.2.6. Persons’ Reliability
2.3. Rasch Analysis: Which Model of the Rasch Family?
3. Results
Rasch Analysis of the QUEST 2.0–Device: A Combined Study of Patients and Caregivers
4. Discussion
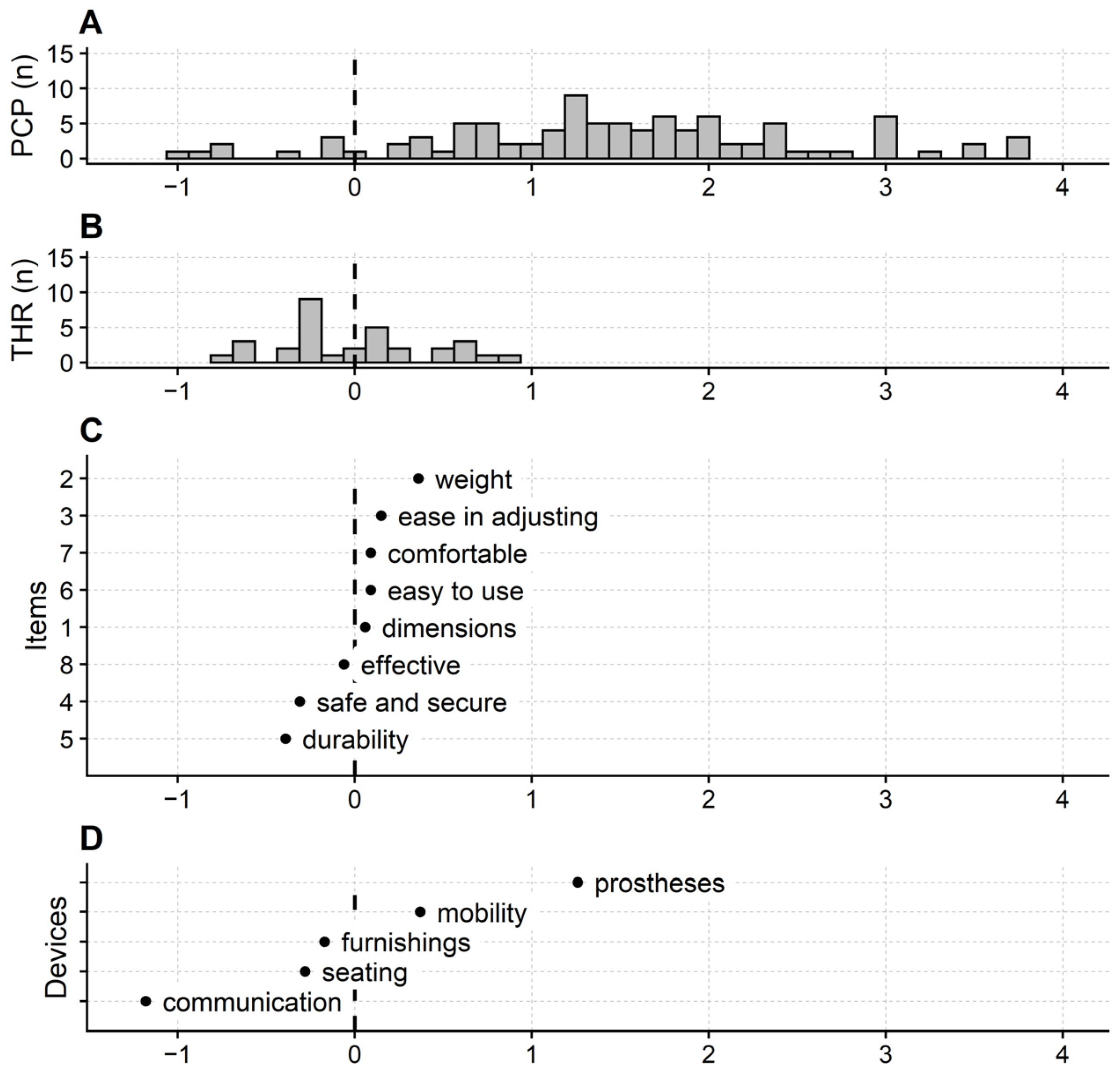
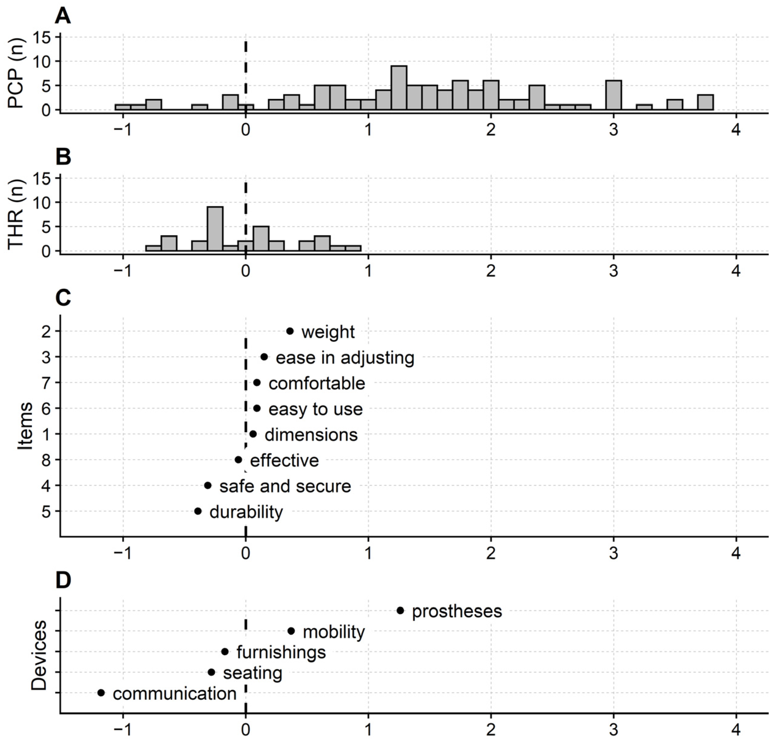
4.1. The Item Map: High Ceiling Effect of the QUEST 2.0–Device
4.2. The Item Map: Poor Targeting of the QUEST 2.0–Device
4.3. Person Reliability of the QUEST 2.0–Device Is Low
4.4. Additional Psychometric Flaws of the QUEST 2.0–Device: Differential Test Functioning and Differential Item Functioning
4.5. Rasch Analysis for Questionnaires’ Refinement and Development
4.6. Previous Works Using the Rasch Analysis to Assess QUEST 2.0
4.7. Rasch Models and Rasch Measures from the Perspective of Statistical Modelling
4.8. Study’s Limitations
5. Conclusions
Supplementary Materials
Author Contributions
Funding
Institutional Review Board Statement
Informed Consent Statement
Data Availability Statement
Acknowledgments
Conflicts of Interest
References
- Salminen, A.-L.; Brandt, A.; Samuelsson, K.; Töytäri, O.; Malmivaara, A. Mobility Devices to Promote Activity and Participation: A Systematic Review. J. Rehabil. Med. 2009, 41, 697–706. [Google Scholar] [CrossRef] [PubMed]
- Federici, S.; Meloni, F.; Borsci, S. The Abandonment of Assistive Technology in Italy: A Survey of National Health Service Users. Eur. J. Phys. Rehabil. Med. 2016, 52, 516–526. [Google Scholar] [PubMed]
- Lenker, J.A.; Paquet, V.L. A New Conceptual Model for Assistive Technology Outcomes Research and Practice. Assist. Technol. 2004, 16, 1–10. [Google Scholar] [CrossRef]
- Ng, J.H.-Y.; Loke, A.Y. Determinants of Hearing-Aid Adoption and Use among the Elderly: A Systematic Review. Int. J. Audiol. 2015, 54, 291–300. [Google Scholar] [CrossRef] [PubMed]
- Yang, B.-S.; Chen, Y.-W.; Tong, J.-R. User Experience of Lower-Limb Orthosis. Assist. Technol. 2018, 30, 267–273. [Google Scholar] [CrossRef]
- Moret, L.; Nguyen, J.-M.; Pillet, N.; Falissard, B.; Lombrail, P.; Gasquet, I. Improvement of Psychometric Properties of a Scale Measuring Inpatient Satisfaction with Care: A Better Response Rate and a Reduction of the Ceiling Effect. BMC Health Serv. Res. 2007, 7, 197. [Google Scholar] [CrossRef]
- Demers, L.; Weiss-Lambrou, R.; Ska, B. Development of the Quebec User Evaluation of Satisfaction with Assistive Technology (QUEST). Assist. Technol. 1996, 8, 3–13. [Google Scholar] [CrossRef] [PubMed]
- Demers, L.; Weiss-Lambrou, R.; Ska, B. The Quebec User Evaluation of Satisfaction with Assistive Technology (QUEST 2.0): An Overview and Recent Progress. Technol. Disabil. 2002, 14, 101–105. [Google Scholar] [CrossRef]
- Demers, L.; Monette, M.; Lapierre, Y.; Arnold, D.L.; Wolfson, C. Reliability, Validity, and Applicability of the Quebec User Evaluation of Satisfaction with Assistive Technology (QUEST 2.0) for Adults with Multiple Sclerosis. Disabil. Rehabil. 2002, 24, 21–30. [Google Scholar] [CrossRef]
- Kirby, R.L.; MacDonald, B.; Smith, C.; MacLeod, D.A.; Webber, A. Comparison between a Tilt-in-Space Wheelchair and a Manual Wheelchair Equipped with a New Rear Anti-Tip Device from the Perspective of the Caregiver. Arch. Phys. Med. Rehabil. 2008, 89, 1811–1815. [Google Scholar] [CrossRef]
- Zulauf-Czaja, A.; Al-Taleb, M.K.H.; Purcell, M.; Petric-Gray, N.; Cloughley, J.; Vuckovic, A. On the Way Home: A BCI-FES Hand Therapy Self-Managed by Sub-Acute SCI Participants and Their Caregivers: A Usability Study. J. Neuroeng. Rehabil. 2021, 18, 44. [Google Scholar] [CrossRef] [PubMed]
- Colucci, M.; Tofani, M.; Trioschi, D.; Guarino, D.; Berardi, A.; Galeoto, G. Reliability and Validity of the Italian Version of Quebec User Evaluation of Satisfaction with Assistive Technology 2.0 (QUEST-IT 2.0) with Users of Mobility Assistive Device. Disabil. Rehabil. Assist. Technol. 2021, 16, 251–254. [Google Scholar] [CrossRef] [PubMed]
- Tesio, L.; Scarano, S.; Hassan, S.; Kumbhare, D.; Caronni, A. Why Questionnaire Scores are Not Measures: A Question-Raising Article. Am. J. Phys. Med. Rehabil. 2022, 102, 75–82. [Google Scholar] [CrossRef] [PubMed]
- The Differences Between Scores and Measures. Available online: https://www.rasch.org/rmt/rmt33a.htm (accessed on 10 March 2022).
- Caronni, A.; Donzelli, S.; Zaina, F.; Negrini, S. The Italian Spine Youth Quality of Life Questionnaire Measures Health-Related Quality of Life of Adolescents with Spinal Deformities Better than the Reference Standard, the Scoliosis Research Society 22 Questionnaire. Clin. Rehabil. 2019, 33, 1404–1415. [Google Scholar] [CrossRef] [PubMed]
- Hobart, J.C.; Cano, S.J.; Zajicek, J.P.; Thompson, A.J. Rating Scales as Outcome Measures for Clinical Trials in Neurology: Problems, Solutions, and Recommendations. Lancet Neurol. 2007, 6, 1094–1105. [Google Scholar] [CrossRef] [PubMed]
- Bakhsh, H.; Franchignoni, F.; Ferriero, G.; Giordano, A.; Demers, L. Translation into Arabic of the Quebec User Evaluation of Satisfaction with Assistive Technology 2.0 and Validation in Orthosis Users. Int. J. Rehabil. Res. 2014, 37, 361–367. [Google Scholar] [CrossRef]
- Kablan, N.; Bakhsh, H.R.; Alammar, W.; Tatar, Y.; Ferriero, G. Psychometric Evaluation of the Arabic Version of the Quebec User Evaluation of Satisfaction with Assistive Technology (A-QUEST 2.0) in Prosthesis Users. Eur. J. Phys. Rehabil. Med. 2021, 58, 118–126. [Google Scholar] [CrossRef]
- Andrich, R.; Gower, V.; Pigini, L.; Caracciolo, A.; Agnoletto, A. Portale SIVA: The Italian National Portal on Assistive Technology. Everyday Technol. Indep. Care 2011, 29, 177–184. [Google Scholar] [CrossRef]
- Wessels, R.D.; De Witte, L.P. Reliability and Validity of the Dutch Version of QUEST 2.0 with Users of Various Types of Assistive Devices. Disabil. Rehabil. 2003, 25, 267–272. [Google Scholar] [CrossRef]
- Weiss-Lambrou, R.; Tremblay, C.; LeBlanc, R.; Lacoste, M.; Dansereau, J. Wheelchair Seating Aids: How Satisfied Are Consumers? Assist. Technol. 1999, 11, 43–53. [Google Scholar] [CrossRef]
- Caronni, A.; Picardi, M.; Redaelli, V.; Antoniotti, P.; Pintavalle, G.; Aristidou, E.; Gilardone, G.; Carpinella, I.; Lencioni, T.; Arcuri, P.; et al. The Falls Efficacy Scale International Is a Valid Measure to Assess the Concern about Falling and Its Changes Induced by Treatments. Clin. Rehabil. 2021, 36, 558–570. [Google Scholar] [CrossRef] [PubMed]
- Andrich, D. An Expanded Derivation of the Threshold Structure of the Polytomous Rasch Model That Dispels Any “Threshold Disorder Controversy”. Educ. Psychol. Meas. 2013, 73, 78–124. [Google Scholar] [CrossRef]
- Linacre, J. Structure in Rasch Residuals: Why Principal Components Analysis. Rasch Meas. Trans. 1998, 12, 636. [Google Scholar]
- Schutte, L.; Negri, L.; Delle Fave, A.; Wissing, M.P. Rasch Analysis of the Satisfaction with Life Scale across Countries: Findings from South Africa and Italy. Curr. Psychol. 2021, 40, 4908–4917. [Google Scholar] [CrossRef]
- Cimas, M.; Ayala, A.; García-Pérez, S.; Sarria-Santamera, A.; Forjaz, M.J. The Patient Satisfaction Questionnaire of EUprimecare Project: Measurement Properties. Int. J. Qual. Health Care 2016, 28, 275–280. [Google Scholar] [CrossRef]
- Teresi, J.A.; Ocepek-Welikson, K.; Ramirez, M.; Kleinman, M.; Ornstein, K.; Siu, A. Evaluation of Measurement Equivalence of the Family Satisfaction with the End-of-Life Care in an Ethnically Diverse Cohort: Tests of Differential Item Functioning. Palliat. Med. 2015, 29, 83–96. [Google Scholar] [CrossRef]
- Linacre, J.M. DIF—DPF—Bias—Interactions Concepts. Available online: https://www.winsteps.com/winman/difconcepts.htm (accessed on 2 January 2023).
- Baghaei, P. The Rasch Model as a Construct Validation Tool. Rasch Meas. Trans. 2008, 22, 1145–1146. [Google Scholar]
- Wright, B. Which Standard Error. Rasch Meas. Trans. 1995, 9, 436. [Google Scholar]
- Wright, B. Number of Person or Item Strata (4G+ 1)/3. Rasch Meas. Trans. 2002, 16, 888. [Google Scholar]
- Fisher, W.P. Reliability, Separation, Strata Statistics. Rasch Meas. Trans. 1992, 6, 238. [Google Scholar]
- van Nes, S.I.; Vanhoutte, E.; Van Doorn, P.; Hermans, M.; Bakkers, M.; Kuitwaard, K.; Faber, C.; Merkies, I.S. Rasch-Built Overall Disability Scale (R-ODS) for Immune-Mediated Peripheral Neuropathies. Neurology 2011, 76, 337–345. [Google Scholar] [CrossRef] [PubMed]
- Rasch, G. Probabilistic Models for Some Intelligence and Attainment Tests; Danish Institute for Educational Research: Copenhagen, Denmark, 1960. [Google Scholar]
- Andrich, D. A Rating Formulation for Ordered Response Categories. Psychometrika 1978, 43, 561–573. [Google Scholar] [CrossRef]
- Masters, G.N. A Rasch Model for Partial Credit Scoring. Psychometrika 1982, 47, 149–174. [Google Scholar] [CrossRef]
- Linacre, J.M. Many-Facet Rasch Measurement, 2nd ed.; MESA Press: Chicago, IL, USA, 1989; ISBN 0-941938-02-6. [Google Scholar]
- Linacre, J. Facets: Many-Facet Rasch Measurement, version 3.83.1, computer software; Winsteps.com: Beaverton, OR, USA, 2020. [Google Scholar]
- R Core Team. R: A Language and Environment for Statistical Computing; R Foundation for Statistical Computing: Vienna, Austria, 2019. [Google Scholar]
- Salatino, C.; Andrich, R.; Converti, R.M.; Saruggia, M. An Observational Study of Powered Wheelchair Provision in Italy. Assist. Technol. 2016, 28, 41–52. [Google Scholar] [CrossRef]
- Badejo, M.A.; Ramtin, S.; Rossano, A.; Ring, D.; Koenig, K.; Crijns, T.J. Does Adjusting for Social Desirability Reduce Ceiling Effects and Increase Variation of Patient-Reported Experience Measures? J. Patient. Exp. 2022, 9, 23743735221079144. [Google Scholar] [CrossRef]
- Caronni, A.; Picardi, M.; Aristidou, E.; Antoniotti, P.; Pintavalle, G.; Redaelli, V.; Sterpi, I.; Corbo, M. How Do Patients Improve Their Timed up and Go Test? Responsiveness to Rehabilitation of the TUG Test in Elderly Neurological Patients. Gait Posture 2019, 70, 33–38. [Google Scholar] [CrossRef]
- Caronni, A.; Picardi, M.; Pintavalle, G.; Aristidou, E.; Redaelli, V.; Antoniotti, P.; Sterpi, I.; Tropea, P.; Corbo, M. Responsiveness to Rehabilitation of Balance and Gait Impairment in Elderly with Peripheral Neuropathy. J. Biomech. 2019, 94, 31–38. [Google Scholar] [CrossRef]
- Picardi, M.; Redaelli, V.; Antoniotti, P.; Pintavalle, G.; Aristidou, E.; Sterpi, I.; Meloni, M.; Corbo, M.; Caronni, A. Turning and Sit-to-Walk Measures from the Instrumented Timed Up and Go Test Return Valid and Responsive Measures of Dynamic Balance in Parkinson’s Disease. Clin. Biomech. 2020, 80, 105177. [Google Scholar] [CrossRef]
- Stucki, G.; Stucki, S.; Brühlmann, P.; Michel, B.A. Ceiling Effects of the Health Assessment Questionnaire and Its Modified Version in Some Ambulatory Rheumatoid Arthritis Patients. Ann. Rheum. Dis. 1995, 54, 461–465. [Google Scholar] [CrossRef]
- Stevens, S.; Valderas, J.M.; Doran, T.; Perera, R.; Kontopantelis, E. Analysing Indicators of Performance, Satisfaction, or Safety Using Empirical Logit Transformation. BMJ 2016, 352, i1114. [Google Scholar] [CrossRef]
- Masino, C.; Lam, T.C.M. Choice of Rating Scale Labels: Implication for Minimizing Patient Satisfaction Response Ceiling Effect in Telemedicine Surveys. Telemed. J. E-Health 2014, 20, 1150–1155. [Google Scholar] [CrossRef]
- Salman, A.A.; Kopp, B.J.; Thomas, J.E.; Ring, D.; Fatehi, A. What Are the Priming and Ceiling Effects of One Experience Measure on Another? J. Patient. Exp. 2020, 7, 1755–1759. [Google Scholar] [CrossRef]
- Carreon, L.Y.; Sanders, J.O.; Diab, M.; Sturm, P.F.; Sucato, D.J. Spinal Deformity Study Group Patient Satisfaction after Surgical Correction of Adolescent Idiopathic Scoliosis. Spine 2011, 36, 965–968. [Google Scholar] [CrossRef] [PubMed]
- Franchignoni, F.; Ottonello, M.; Benevolo, E.; Tesio, L. Satisfaction with Hospital Rehabilitation: Is It Related to Life Satisfaction, Functional Status, Age or Education? J. Rehabil. Med. 2002, 34, 105–108. [Google Scholar] [CrossRef] [PubMed]
- Wright, B.D.; Linacre, J.M. Observations Are Always Ordinal; Measurements, However, Must Be Interval. Arch. Phys. Med. Rehabil. 1989, 70, 857–860. [Google Scholar] [PubMed]
- Altman, D.G.; Royston, P. The Cost of Dichotomising Continuous Variables. BMJ 2006, 332, 1080. [Google Scholar] [CrossRef]
- Wright, B.D.; Stone, M.H. Best Test Design; MESA Press: Chicago, IL, USA, 1979. [Google Scholar]
- Badia, X.; Prieto, L. Linacre, John Michael Differential Item Functioning and Differential Test Functioning (DIF & DTF). Rasch Meas. Trans. 2002, 16, 889. [Google Scholar]
- El Masri, Y.H.; Andrich, D. The Trade-Off between Model Fit, Invariance, and Validity: The Case of PISA Science Assessments. Appl. Meas. Educ. 2020, 33, 174–188. [Google Scholar] [CrossRef]
- Fisher, A.G. The Assessment of IADL Motor Skills: An Application of Many-Faceted Rasch Analysis. Am. J. Occup. Ther. 1993, 47, 319–329. [Google Scholar] [CrossRef]
- Winkler, S.L.; Kairalla, J.A.; Feng, H. Association of Admission Functional Status and Assistive Device Provision for Veterans Poststroke: A Retrospective Study. Am. J. Phys. Med. Rehabil. 2018, 97, 897–903. [Google Scholar] [CrossRef]
- Voutilainen, A.; Pitkäaho, T.; Kvist, T.; Vehviläinen-Julkunen, K. How to Ask about Patient Satisfaction? The Visual Analogue Scale Is Less Vulnerable to Confounding Factors and Ceiling Effect than a Symmetric Likert Scale. J. Adv. Nurs. 2016, 72, 946–957. [Google Scholar] [CrossRef]
- Ware, J.E.; Hays, R.D. Methods for Measuring Patient Satisfaction with Specific Medical Encounters. Med. Care 1988, 26, 393–402. [Google Scholar] [CrossRef]
- Urden, L.D. Patient Satisfaction Measurement: Current Issues and Implications. Lippincotts Case Manag. 2002, 7, 194–200. [Google Scholar] [CrossRef]
- Wright, B.D.; Mok, M.M. An Overview of the Family of Rasch Measurement Models. In Introduction to Rasch measurement; Smith, E.V., Smith, R.M., Eds.; JAM Press: London, UK, 2004; pp. 1–24. [Google Scholar]
- Faraway, J.J. Extending the Linear Model with R: Generalized Linear, Mixed Effects and Nonparametric Regression Models, Second Edition; Chapman and Hall/CRC: Boca Raton, FL, USA, 2016; ISBN 978-1-4987-2096-0. [Google Scholar]
- De Boeck, P. Random Item IRT Models. Psychometrika 2008, 73, 533. [Google Scholar] [CrossRef]
- Boeck, P.D.; Bakker, M.; Zwitser, R.; Nivard, M.; Hofman, A.; Tuerlinckx, F.; Partchev, I. The Estimation of Item Response Models with the Lmer Function from the Lme4 Package in R. J. Stat. Softw. 2011, 39, 1–28. [Google Scholar] [CrossRef]
- Frederickx, S.; Tuerlinckx, F.; De Boeck, P.; Magis, D. RIM: A Random Item Mixture Model to Detect Differential Item Functioning. J. Educ. Meas. 2010, 47, 432–457. [Google Scholar] [CrossRef]
- Wright, B.D. Sample-Free Test Calibration and Person Measurement; Educational Testing Service: Princeton, NJ, USA, 1967; pp. 84–101. [Google Scholar]
- Resse, T.W. The Application of the Theory of Physical Measurement to the Measurement of Psychological Magnitudes, with Three Experimental Examples. Psychol. Monogr. 1943, 55, i–89. [Google Scholar] [CrossRef]
- Wells, P.S.; Anderson, D.R.; Rodger, M.; Forgie, M.; Kearon, C.; Dreyer, J.; Kovacs, G.; Mitchell, M.; Lewandowski, B.; Kovacs, M.J. Evaluation of D-Dimer in the Diagnosis of Suspected Deep-Vein Thrombosis. N. Engl. J. Med. 2003, 349, 1227–1235. [Google Scholar] [CrossRef]
- Altman, D.G.; Bland, J.M. Parametric v Non-Parametric Methods for Data Analysis. BMJ 2009, 338, a3167. [Google Scholar] [CrossRef]
- Myers, N.D.; Wolfe, E.W.; Feltz, D.L.; Penfield, R.D. Identifying Differential Item Functioning of Rating Scale Items With the Rasch Model: An Introduction and an Application. Meas. Phys. Educ. Exerc. Sci. 2006, 10, 215–240. [Google Scholar] [CrossRef]
- Zwick, R. A Review of Ets Differential Item Functioning Assessment Procedures: Flagging Rules, Minimum Sample Size Requirements, and Criterion Refinement. ETS Res. Rep. Ser. 2012, 2012, i–30. [Google Scholar] [CrossRef]
- Van de Winckel, A.; Kozlowski, A.J.; Johnston, M.V.; Weaver, J.; Grampurohit, N.; Terhorst, L.; Juengst, S.; Ehrlich-Jones, L.; Heinemann, A.W.; Melvin, J.; et al. Reporting Guideline for RULER: Rasch Reporting Guideline for Rehabilitation Research: Explanation and Elaboration. Arch. Phys. Med. Rehabil. 2022, 103, 1487–1498. [Google Scholar] [CrossRef]
- Caronni, A.; Sciumè, L.; Donzelli, S.; Zaina, F.; Negrini, S. ISYQOL: A Rasch-Consistent Questionnaire for Measuring Health-Related Quality of Life in Adolescents with Spinal Deformities. Spine J. 2017, 17, 1364–1372. [Google Scholar] [CrossRef]
- Linacre, J.M. Optimizing Rating Scale Category Effectiveness. J. Appl. Meas. 2002, 3, 85–106. [Google Scholar]
- Linacre, J. When Does a Gap between Measures Matter. Rasch Meas. Trans. 2004, 18, 993. [Google Scholar]
- Linacre, J.M. Sample Size and Item Calibration (or Person Measure) Stability. Rasch Meas. Trans. 1994, 7, 328. [Google Scholar]
- Mallinson, T.; Kozlowski, A.J.; Johnston, M.V.; Weaver, J.; Terhorst, L.; Grampurohit, N.; Juengst, S.; Ehrlich-Jones, L.; Heinemann, A.W.; Melvin, J.; et al. Rasch Reporting Guideline for Rehabilitation Research (RULER): The RULER Statement. Arch. Phys. Med. Rehabil. 2022, 103, 1477–1486. [Google Scholar] [CrossRef]
- O’Connell, B.; Young, J.; Twigg, D. Patient satisfaction with nursing care: A measurement conundrum. Int. J. Nurs. Pract. 1999, 5, 72–77. [Google Scholar] [CrossRef]

| Patients | Caregivers | Whole Sample | |||||||
|---|---|---|---|---|---|---|---|---|---|
| Resp | QRE | Resp | QRE | Resp | QRE | ||||
| n | n | % | n | n | % | n | n | % | |
| Mobility | 72 | 111 | 60.3 | 30 | 51 | 77.3 | 102 | 162 | 64.8 |
| Seating | 28 | 34 | 18.5 | 6 | 8 | 12.1 | 34 | 42 | 16.8 |
| Furnishings | 11 | 20 | 10.9 | 3 | 4 | 6.1 | 14 | 24 | 9.6 |
| Communication | 8 | 13 | 7.1 | 3 | 3 | 4.5 | 11 | 16 | 6.4 |
| Prostheses | 5 | 6 | 3.3 | 0 | 0 | 0.0 | 5 | 6 | 2.4 |
| 184 | 100.0 | 66 | 100.0 | 250 | 100.0 | ||||
| Categories | Count | % | Average Measures | Andrich Thresholds | |
|---|---|---|---|---|---|
| Calibration | S.E. | ||||
| 1. not satisfied at all | 49 | 3 | 0.13 | - | - |
| 2. not very satisfied | 81 | 5 | 0.28 | −0.34 | 0.16 |
| 3. more or less satisfied | 177 | 10 | 0.70 | −0.28 | 0.1 |
| 4. quite satisfied | 401 | 24 | 1.09 | 0.09 | 0.07 |
| 5. very satisfied | 982 | 58 | 1.77 | 0.54 | 0.06 |
| Calibration | S.E. | Infit | Outfit | ||||
|---|---|---|---|---|---|---|---|
| MNSQ | ZSTD | MNSQ | ZSTD | ||||
| Items | 1. dimensions | 0.06 | 0.08 | 0.94 | −0.45 | 0.92 | −0.47 |
| 2. weight | 0.36 | 0.08 | 1.04 | 0.42 | 1.17 | 1.17 | |
| 3. ease in adjusting | 0.15 | 0.08 | 1.04 | 0.41 | 1.28 | 1.72 | |
| 4. safe and secure | −0.31 | 0.10 | 0.97 | −0.19 | 0.84 | −0.89 | |
| 5. durability | −0.39 | 0.10 | 0.88 | −0.83 | 0.94 | −0.26 | |
| 6. easy to use | 0.09 | 0.08 | 1.08 | 0.74 | 0.98 | −0.10 | |
| 7. comfortable | 0.09 | 0.08 | 1.05 | 0.43 | 0.99 | 0.00 | |
| 8. effective | −0.06 | 0.09 | 1.10 | 0.80 | 0.91 | −0.53 | |
| Devices | Mobility | 0.37 | 0.04 | 0.96 | −0.76 | 0.91 | −1.29 |
| Seating | −0.28 | 0.10 | 1.19 | 1.36 | 0.99 | −0.02 | |
| Furnishings (*) | −0.17 | 0.12 | 1.43 | 2.33 | 1.59 | 2.45 | |
| Communication | −1.18 | 0.10 | 1.21 | 1.40 | 1.32 | 1.75 | |
| Prostheses | 1.26 | 0.14 | 0.60 | −2.14 | 0.59 | −2.04 | |
Disclaimer/Publisher’s Note: The statements, opinions and data contained in all publications are solely those of the individual author(s) and contributor(s) and not of MDPI and/or the editor(s). MDPI and/or the editor(s) disclaim responsibility for any injury to people or property resulting from any ideas, methods, instructions or products referred to in the content. |
© 2023 by the authors. Licensee MDPI, Basel, Switzerland. This article is an open access article distributed under the terms and conditions of the Creative Commons Attribution (CC BY) license (https://creativecommons.org/licenses/by/4.0/).
Share and Cite
Caronni, A.; Ramella, M.; Arcuri, P.; Salatino, C.; Pigini, L.; Saruggia, M.; Folini, C.; Scarano, S.; Converti, R.M. The Rasch Analysis Shows Poor Construct Validity and Low Reliability of the Quebec User Evaluation of Satisfaction with Assistive Technology 2.0 (QUEST 2.0) Questionnaire. Int. J. Environ. Res. Public Health 2023, 20, 1036. https://doi.org/10.3390/ijerph20021036
Caronni A, Ramella M, Arcuri P, Salatino C, Pigini L, Saruggia M, Folini C, Scarano S, Converti RM. The Rasch Analysis Shows Poor Construct Validity and Low Reliability of the Quebec User Evaluation of Satisfaction with Assistive Technology 2.0 (QUEST 2.0) Questionnaire. International Journal of Environmental Research and Public Health. 2023; 20(2):1036. https://doi.org/10.3390/ijerph20021036
Chicago/Turabian StyleCaronni, Antonio, Marina Ramella, Pietro Arcuri, Claudia Salatino, Lucia Pigini, Maurizio Saruggia, Chiara Folini, Stefano Scarano, and Rosa Maria Converti. 2023. "The Rasch Analysis Shows Poor Construct Validity and Low Reliability of the Quebec User Evaluation of Satisfaction with Assistive Technology 2.0 (QUEST 2.0) Questionnaire" International Journal of Environmental Research and Public Health 20, no. 2: 1036. https://doi.org/10.3390/ijerph20021036
APA StyleCaronni, A., Ramella, M., Arcuri, P., Salatino, C., Pigini, L., Saruggia, M., Folini, C., Scarano, S., & Converti, R. M. (2023). The Rasch Analysis Shows Poor Construct Validity and Low Reliability of the Quebec User Evaluation of Satisfaction with Assistive Technology 2.0 (QUEST 2.0) Questionnaire. International Journal of Environmental Research and Public Health, 20(2), 1036. https://doi.org/10.3390/ijerph20021036

