Impact of an Educational Intervention for Healthy Eating in Older Adults: A Quasi-Experimental Study
Abstract
1. Introduction
2. Materials and Methods
2.1. Participants
2.2. Study Design
- -
- Two-sided confidence level: 95%;
- -
- Power: 80%;
- -
- Ratio (unexposed: exposed): 1;
- -
- Percentage of outcome in unexposed group: 20%;
- -
- Risk ratio: 2;
- -
- Odds ratio: 3;
- -
- Percentage of outcome in exposed group: 45%;
- -
- Sample size: 56 for each group.
2.3. Intervention
2.4. Data Collection
2.5. Statistical Analysis
2.6. Ethical Considerations
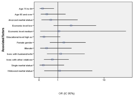
3. Results
4. Discussion
5. Conclusions
Supplementary Materials
Author Contributions
Funding
Institutional Review Board Statement
Informed Consent Statement
Data Availability Statement
Acknowledgments
Conflicts of Interest
Appendix A
| Questions | Evaluation | |||||
|---|---|---|---|---|---|---|
| P1 | How much protein should an elderly person consume daily? | 4 | 3 | 2 | 1 | 0 |
| R1 | ||||||
| P2 | What are the foods that contain protein? | |||||
| R2 | ||||||
| P3 | What are the health consequences of an elderly person who does not consume protein or eats very little? | |||||
| R3 | ||||||
| P4 | How much carbohydrate should an elderly person consume daily? | |||||
| R4 | ||||||
| P5 | What are the foods that contain carbohydrates? | |||||
| R5 | ||||||
| P6 | What are the health consequences for an elderly person who consumes excessive carbohydrates? | |||||
| R6 | ||||||
| P7 | How much fat should an elderly person consume daily? | |||||
| R7 | ||||||
| P8 | What are the foods that contain fat? | |||||
| R8 | ||||||
| P9 | What are the health consequences for an elderly person who consumes excess fat? | |||||
| R9 | ||||||
| P10 | What are the health consequences for an elderly person who consumes very little fat? | |||||
| R10 | ||||||
| P11 | How much vitamins and minerals should an elderly person consume daily? | |||||
| R11 | ||||||
| P12 | What are the foods that contain vitamins and minerals? | |||||
| R12 | ||||||
| P13 | What are the consequences on the health of an elderly person who consumes very few vitamins and minerals? | |||||
| R13 | ||||||
| P14 | How much water should an elderly person consume daily? | |||||
| R14 | ||||||
| P15 | What are the foods that contain water? | |||||
| R15 | ||||||
| P16 | What are the health consequences of an elderly person who consumes very little water? | |||||
| R16 | ||||||
| P17 | How much fiber should an elderly person consume daily? | |||||
| R17 | ||||||
| P18 | What are the foods that contain fiber? | |||||
| R18 | ||||||
| P19 | What are the health consequences for an elderly person who consumes very little fiber? | |||||
| R19 | ||||||
References
- Organización Mundial de la Salud. Envejecimiento y Salud. 2021. Available online: https://www.who.int/es/news-room/fact-sheets/detail/envejecimiento-y-salud (accessed on 13 April 2023).
- Naciones Unidas CE para AL y EC. Naciones Unidas. Comisión Económica para América Latina y El Caribe. Los Efectos y Desafíos de la Transformación Demográfica en América Latina y el Caribe. 2022. Available online: https://www.cepal.org/es/enfoques/efectos-desafios-la-transformacion-demografica-america-latina-caribe (accessed on 23 April 2023).
- Instituo Ecuatoriano de Estadísticas y Censos I. Instituo Ecuatoriano de Estadísticas y Censos. Proyecciones Poblacionales. 2022. Available online: https://www.ecuadorencifras.gob.ec/proyecciones-poblacionales/ (accessed on 23 April 2023).
- Chudasama, Y.V.; Khunti, K.; Gillies, C.L.; Dhalwani, N.N.; Davies, M.J.; Yates, T.; Zaccardi, F. Healthy lifestyle and life expectancy in people with multimorbidity in the UK Biobank: A longitudinal cohort study. PLOS Med. 2020, 17, e1003332. [Google Scholar] [CrossRef] [PubMed]
- Espinosa, E.H.; Abril-Ulloa, V.; Encalada, T.L. Prevalencia de malnutrición y factores asociados en adultos mayores del cantón Gualaceo, Ecuador. Rev. Chil. Nutr. 2019, 46, 675–682. [Google Scholar] [CrossRef]
- Romero Viamonte, K.; Sánchez Martínez, B.; Vega Falcón, V.; Salvent Tames, A. Estado nutricional en adultos de población rural en un cantón de la sierra ecuatoriana. Rev. Cienc. Salud. 2020, 18, 52–66. [Google Scholar] [CrossRef][Green Version]
- Ávila, N.J.P.; Sánchez, D.A.R. Factores asociados a la desnutrición en un grupo de adultos mayores en zonas rurales ecuatorianas. Arch. Venez. Farmacol. Ter. 2019, 38, 700–705. [Google Scholar]
- El Salous, A.; Ordoñez-Araque, R.; Ibarra Velásquez, A.; Zúñiga Moreno, L.; Mosquera Araujo, C.; Arizaga Gamboa, R. Evaluación del riesgo y estado ponderal en adultos mayores institucionalizados de la ciudad de Guayaquil-Ecuador. Rev. Esp. Nutr. Comunitaria 2020, 26, 165–170. [Google Scholar]
- Ortiz Segarra, J.I.; Freire Argudo, U.V.; Tenemaza Alvarracín, D.F.; Cobos Torres, Á.I.; Ortiz Mejía, P.F. Parámetros dietéticos y alimentación habitual de adultos mayores. Cuenca 2018–2019. Rev. Fac. Cienc. Médicas Univ. Cuenca 2019, 37, 41–50. [Google Scholar] [CrossRef]
- King, D.E.; Mainous, A.G.; Matheson, E.M.; Everett, C.J. Impact of healthy lifestyle on mortality in people with normal blood pressure, LDL cholesterol, and C-reactive protein. Eur. J. Prev. Cardiol. 2013, 20, 73–79. [Google Scholar] [CrossRef]
- Kiefte-de Jong, J.C.; Mathers, J.C.; Franco, O.H. Nutrition and healthy ageing: The key ingredients. Proc. Nutr. Soc. 2014, 73, 249–259. [Google Scholar] [CrossRef]
- Childs, C.E.; Calder, P.C.; Miles, E.A. Diet and Immune Function. Nutrients 2019, 11, 1933. [Google Scholar] [CrossRef]
- Milte, C.M.; Thorpe, M.G.; Crawford, D.; Ball, K.; McNaughton, S.A. Associations of diet quality with health-related quality of life in older Australian men and women. Exp. Gerontol. 2015, 64, 8–16. [Google Scholar] [CrossRef]
- Leitão, C.; Mignano, A.; Estrela, M.; Fardilha, M.; Figueiras, A.; Roque, F.; Herdeiro, M.T. The Effect of Nutrition on Aging—A Systematic Review Focusing on Aging-Related Biomarkers. Nutrients 2022, 14, 554. [Google Scholar] [CrossRef] [PubMed]
- Ekmekcioglu, C. Nutrition and longevity—From mechanisms to uncertainties. Crit. Rev. Food Sci. Nutr. 2020, 60, 3063–3082. [Google Scholar] [CrossRef] [PubMed]
- Martini, D. Health Benefits of Mediterranean Diet. Nutrients 2019, 11, 1802. [Google Scholar] [CrossRef] [PubMed]
- Galiè, S.; Canudas, S.; Muralidharan, J.; García-Gavilán, J.; Bulló, M.; Salas-Salvadó, J. Impact of Nutrition on Telomere Health: Systematic Review of Observational Cohort Studies and Randomized Clinical Trials. Adv. Nutr. 2020, 11, 576–601. [Google Scholar] [CrossRef] [PubMed]
- Blackburn, E.H.; Epel, E.S.; Lin, J. Human telomere biology: A contributory and interactive factor in aging, disease risks, and protection. Science 2015, 350, 1193–1198. [Google Scholar] [CrossRef] [PubMed]
- Schwingshackl, L.; Hoffmann, G. Diet Quality as Assessed by the Healthy Eating Index, the Alternate Healthy Eating Index, the Dietary Approaches to Stop Hypertension Score, and Health Outcomes: A Systematic Review and Meta-Analysis of Cohort Studies. J. Acad. Nutr. Diet. 2015, 115, 780–800.e5. [Google Scholar] [CrossRef]
- Jeruszka-Bielak, M.; Kollajtis-Dolowy, A.; Santoro, A.; Ostan, R.; Berendsen, A.A.M.; Jennings, A.; Menuer, N.; Marseglis, A.; Caumon, E.; Gillings, R.; et al. Are Nutrition-Related Knowledge and Attitudes Reflected in Lifestyle and Health Among Elderly People? A Study Across Five European Countries. Front. Physiol. 2018, 9, 994. Available online: https://pubmed.ncbi.nlm.nih.gov/30108512/ (accessed on 30 August 2023). [CrossRef]
- Shlisky, J.; Bloom, D.E.; Beaudreault, A.R.; Tucker, K.L.; Keller, H.H.; Freund-Levi, Y.; Fielding, R.A.; Cheong, F.W.; Gordon, J.; Wu, D.; et al. Nutritional Considerations for Healthy Aging and Reduction in Age-Related Chronic Disease. Adv. Nutr. 2017, 8, 17–26. Available online: https://pubmed.ncbi.nlm.nih.gov/28096124/ (accessed on 30 August 2023). [CrossRef]
- Shatenstein, B.; Gauvin, L.; Keller, H.; Richard, L.; Gaudreau, P.; Giroux, F.; Gray-Donald, M.; Jabbour, J.; Morais, A.; Payette, H. Baseline determinants of global diet quality in older men and women from the NuAge cohort. J. Nutr. Health Aging 2013, 17, 419–425. Available online: https://pubmed.ncbi.nlm.nih.gov/23636542/ (accessed on 30 August 2023). [CrossRef]
- De Vriendt, T.; Matthys, C.; Verbeke, W.; Pynaert, I.; De Henauw, S. Determinants of nutrition knowledge in young and middle-aged Belgian women and the association with their dietary behaviour. Appetite 2009, 52, 788–792. Available online: https://pubmed.ncbi.nlm.nih.gov/19501783/ (accessed on 30 August 2023). [CrossRef]
- Li, C.P. Gender differences in nutrition knowledge, attitude, and practice among elderly people. Int. J. Manag. Econ. Soc. Sci. 2017, 6, 199–211. Available online: https://www.econstor.eu/handle/10419/173237 (accessed on 30 August 2023).
- Liu, A.G.; Ford, N.A.; Hu, F.B.; Zelman, K.M.; Mozaffarian, D.; Kris-Etherton, P.M. A healthy approach to dietary fats: Understanding the science and taking action to reduce consumer confusion. Nutr. J. 2017, 16, 53. [Google Scholar] [CrossRef] [PubMed]
- Yeung, S.S.Y.; Kwan, M.; Woo, J. Healthy Diet for Healthy Aging. Nutrients 2021, 13, 4310. [Google Scholar] [CrossRef] [PubMed]
- Cena, H.; Calder, P.C. Defining a Healthy Diet: Evidence for the Role of Contemporary Dietary Patterns in Health and Disease. Nutrients 2020, 12, 334. [Google Scholar] [CrossRef]
- World Health Organization. Integrated Care for Older People: Guidelines on Community-Level Interventions to Manage Declines in Intrinsic Capacity; World Health Organization: Geneva, Switzerland, 2017; Volume ix, 46p. Available online: https://apps.who.int/iris/handle/10665/258981 (accessed on 31 August 2023).
- World Health Organization. Global Strategy and Action Plan on Ageing and Health; World Health Organization: Geneva, Switzerland, 2017; Volume v, 46p. Available online: https://apps.who.int/iris/handle/10665/329960 (accessed on 31 August 2023).
- Deossa Restrepo, G.C.; Restrepo Betancur, L.F.; Velásquez Vargas, J.E.; Varela Álvarez, D. Evaluación nutricional de adultos mayores con el Mini Nutritional Assessment: MNA. Univ. Salud. 2016, 18, 494. [Google Scholar] [CrossRef]
- Abarca-Gómez, L.; Abdeen, Z.A.; Hamid, Z.A.; Abu-Rmeileh, N.M.; Acosta-Cazares, B.; Acuin, C. Worldwide trends in body-mass index, underweight, overweight, and obesity from 1975 to 2016: A pooled analysis of 2416 population-based measurement studies in 128·9 million children, adolescents, and adults. Lancet 2017, 390, 2627–2642. [Google Scholar] [CrossRef]
- Egg, S.; Wakolbinger, M.; Reisser, A.; Schätzer, M.; Wild, B.; Rust, P. Relationship between nutrition knowledge, education and other determinants of food intake and lifestyle habits among adolescents from urban and rural secondary schools in Tyrol, Western Austria. Public Health Nutr. 2020, 23, 3136–3147. [Google Scholar] [CrossRef]
- Winkley, K.; Upsher, R.; Stahl, D.; Pollard, D.; Kasera, A.; Brennan, A.; Heller, S.; Ismail, K. Psychological interventions to improve self-management of type 1 and type 2 diabetes: A systematic review. Health Technol. Assess 2020, 24, 1–232. [Google Scholar] [CrossRef]
- International Diabetes Federation. Global Guideline for Type 2 Diabetes. Diabetes Res. Clin. Pract. 2014, 104, 1–52. [Google Scholar] [CrossRef]
- National Institute for Health and Care Excellence (Non-Departmental Public Body). Annual Report and Accounts 2018/19 Presented to Parliament pursuant to Schedule 16, paragraph 12(2)(a) of the Health and Social Care Act 2012. Ordered by the House of Commons to be Printed 11 July 2019. APS Group. National Institute for Health and Care Excellence. 2019; 116p. Available online: www.gov.uk/official-documents (accessed on 8 July 2023).
- American Diabetes Association. Standards of Medical Care in Diabetes—2016 Abridged for Primary Care Providers. Clin. Diabetes 2016, 34, 3–21. [Google Scholar] [CrossRef]
- Pati, S.; Swain, S.; Knottnerus, J.A.; Metsemakers, J.F.M.; Van Den Akker, M. Health related quality of life in multimorbidity: A primary-care based study from Odisha, India. Health Qual. Life Outcomes 2019, 17, 116. [Google Scholar] [CrossRef]
- Kanamori, Y.; Ide-Okochi, A.; Samiso, T. Factors Related to Physical Activity among Older Adults Who Relocated to a New Community after the Kumamoto Earthquake: A Study from the Viewpoint of Social Capital. Int. J. Environ. Res. Public Health 2023, 20, 3995. [Google Scholar] [CrossRef]
- Park, Y.H.; Song, M.; Cho, B.L.; Lim, J.Y.; Song, W.; Kim, S. The effects of an integrated health education and exercise program in community-dwelling older adults with hypertension: A randomized controlled trial. Patient Educ. Couns. 2011, 82, 133–137. [Google Scholar] [CrossRef] [PubMed]
- Zhou, H.; Wang, S.; Zhao, C.; He, H. Effect of exercise on vascular function in hypertension patients: A meta-analysis of randomized controlled trials. Front. Cardiovasc. Med. 2022, 9, 1013490. [Google Scholar] [CrossRef] [PubMed]
- Morgan, A.E.; Mooney, K.M.; Wilkinson, S.J.; Pickles, N.A.; Mc Auley, M.T. Investigating cholesterol metabolism and ageing using a systems biology approach. Proc. Nutr. Soc. 2017, 76, 378–391. [Google Scholar] [CrossRef] [PubMed]
- Pilis, K.; Stec, K.; Pilis, A.; Mroczek, A.; Michalski, C.; Pilis, W. Body composition and nutrition of female athletes. Rocz. Panstw. Zakl. Hig. 2019, 70, 243–251. [Google Scholar] [CrossRef] [PubMed]
- Hammouh, F.; Abdullah, M.; Al-Bakheit, A.; Al-Awwad, N.J.; Dabbour, I.; Al-Jawaldeh, A. Nutrition Knowledge, Attitudes, and Practices (KAPs) among Jordanian Elderly—A Cross-Sectional Study. Nutrients 2023, 15, 2220. [Google Scholar] [CrossRef]
- Besora-Moreno, M.; Llauradó, E.; Tarro, L.; Solà, R. Social and Economic Factors and Malnutrition or the Risk of Malnutrition in the Elderly: A Systematic Review and Meta-Analysis of Observational Studies. Nutrients 2020, 12, 737. [Google Scholar] [CrossRef]
- Corish, C.A.; Bardon, L.A. Malnutrition in older adults: Screening and determinants. Proc. Nutr. Soc. 2019, 78, 372–379. [Google Scholar] [CrossRef]
- Streicher, M.; Zwienen-Pot, J.; Bardon, L.; Nagel, G.; Teh, R.; Meisinger, C.; Colombo, M.; Torbahn, G.; Kiesswetter, E.; Fletchtner-Mors, M.; et al. Determinants of Incident Malnutrition in Community-Dwelling Older Adults: A MaNuEL Multicohort Meta-Analysis. J. Am. Geriatr. Soc. 2018, 66, 2335–2343. [Google Scholar] [CrossRef]
- Axelson, M.L.; Federline, T.L.; Brinberg, D. A meta-analysis of food- and nutrition-related research. J. Nutr. Educ. 1985, 17, 51–54. [Google Scholar] [CrossRef]
- Spronk, I.; Kullen, C.; Burdon, C.; O’Connor, H. Relationship between nutrition knowledge and dietary intake. Br. J. Nutr. 2014, 111, 1713–1726. [Google Scholar] [CrossRef]
- Ausubel, D.P. Psicología Educativa: Un Punto de Vista Cognoscitivo, 1st ed.; Trillas: Mexico City, Mexico, 1982. [Google Scholar]
- Mahn, H.; John-Steiner, V. Vygotsky and Sociocultural Approaches to Teaching and Learning. In Handbook of Psychology, 2nd ed.; Weiner, I., Ed.; John Wiley & Sons, Inc.: Hoboken, NJ, USA, 2012; p. hop207006. Available online: https://onlinelibrary.wiley.com/doi/10.1002/9781118133880.hop207006 (accessed on 8 July 2023).
- Ausubel, D.P. The Acquisition and Retention of Knowledge: A Cognitive View; Springer: Dordrecht, The Netherlands, 2011. [Google Scholar]
- Novak, J.D.; Ausubel, D.P.; Hanesian, H. Psicologia Educativa: Un Punto de Vista Cognoscitivo; Trillas: Medellín, Mexico, 1991. [Google Scholar]
- Vigotsky, L.S. Pensamiento y Lenguaje. Teoría del Desarrollo Cultural de las Funciones Psíquicas. Ediciones Fausto. 1995. 124p. Available online: https://abacoenred.com/wp-content/uploads/2015/10/Pensamiento-y-Lenguaje-Vigotsky-Lev.pdf (accessed on 3 August 2023).
- Vigotsky, L.S. Pensamiento y Lenguaje; 1a edición en esta presentación marzo de 2020; Paidós: Barcelona, Spain, 2020. [Google Scholar]
- Jiménez-León, A.S.; Pérez-Escobar, I.; Matías-Pérez, D.; García-Montalvo, I.A. Intervención nutricional en un Grupo de Ayuda Mutua del municipio de “El Rosario”, Oaxaca de Juárez, México. Nutr. Hosp. 2016, 33, 310–313. Available online: http://revista.nutricionhospitalaria.net/index.php/nh/article/view/109 (accessed on 21 May 2023). [CrossRef] [PubMed]
- Sainz de Murieta, E.B.; Berrotaran, G.; Bes-Rastrollo, M. Evaluación de una intervención nutricional en personas mayores: El proyecto Edumay. Nutr. Hosp. 2014, 30, 132–139. [Google Scholar]
- Zabalegui, A.; Escobar, M.A.; Cabrera, E.; Gual, M.P.; Fortuny, M.; Mach, G.; Ginesti, M.; Narbana, P. Análisis del programa educativo PECA para mejorar la calidad de vida de las personas mayores. Atención Primaria 2006, 37, 260–265. [Google Scholar] [CrossRef]
- Delgado Olave, R.R. Efectividad del programa Reforma de Vida en los estilos de vida miembros de círculos de salud de dos distritos de Arequipa. Rev. Peru Med. Integr. 2017, 2, 92. [Google Scholar] [CrossRef][Green Version]
- Méndez Montes, S.M. Efectividad de una intervención en nutrición en pacientes con hipertensión arterial sistémica que reciben atención primaria de salud: Resultados de un estudio piloto en la Ciudad de México. Nutr. Clínica Dietética Hosp. 2015, 35, 51–58. [Google Scholar]
- Organizacion Mundial de la Salud OP de la Salud. Organización Panamericana de la Salud. Organizacion Mundial de la Salud. Envejecimiento Saludable. 2022. Available online: https://www.paho.org/es/envejecimiento-saludable (accessed on 22 May 2023).



Disclaimer/Publisher’s Note: The statements, opinions and data contained in all publications are solely those of the individual author(s) and contributor(s) and not of MDPI and/or the editor(s). MDPI and/or the editor(s) disclaim responsibility for any injury to people or property resulting from any ideas, methods, instructions or products referred to in the content. |
© 2023 by the authors. Licensee MDPI, Basel, Switzerland. This article is an open access article distributed under the terms and conditions of the Creative Commons Attribution (CC BY) license (https://creativecommons.org/licenses/by/4.0/).
Share and Cite
Ortiz Segarra, J.; Freire Argudo, U.; Delgado López, D.; Ortiz Mejía, S. Impact of an Educational Intervention for Healthy Eating in Older Adults: A Quasi-Experimental Study. Int. J. Environ. Res. Public Health 2023, 20, 6820. https://doi.org/10.3390/ijerph20196820
Ortiz Segarra J, Freire Argudo U, Delgado López D, Ortiz Mejía S. Impact of an Educational Intervention for Healthy Eating in Older Adults: A Quasi-Experimental Study. International Journal of Environmental Research and Public Health. 2023; 20(19):6820. https://doi.org/10.3390/ijerph20196820
Chicago/Turabian StyleOrtiz Segarra, José, Ulises Freire Argudo, Dayanara Delgado López, and Stalin Ortiz Mejía. 2023. "Impact of an Educational Intervention for Healthy Eating in Older Adults: A Quasi-Experimental Study" International Journal of Environmental Research and Public Health 20, no. 19: 6820. https://doi.org/10.3390/ijerph20196820
APA StyleOrtiz Segarra, J., Freire Argudo, U., Delgado López, D., & Ortiz Mejía, S. (2023). Impact of an Educational Intervention for Healthy Eating in Older Adults: A Quasi-Experimental Study. International Journal of Environmental Research and Public Health, 20(19), 6820. https://doi.org/10.3390/ijerph20196820

