Assessment of the Ecological Compensation Standards for Cross-Basin Water Diversion Projects from the Perspective of Main Headwater and Receiver Areas
Abstract
1. Introduction
- Based on the perspective of main headwater areas, the traditional total cost model is modified by introducing the water quantity allocation and water quality correction coefficients from the ecological protection cost and opportunity cost paid by the main headwater areas to provide high-quality water resources.
- Based on the perspective of the receiver areas, a new water resources input-output model is constructed from the generated economic benefits by using the diverted water resources in the receiver areas and combining the regional input-output table and cost analysis method.
- In this paper, the total cost correction model and the water resources input-output model are used to calculate the watershed ecological compensation standard of the world’s largest cross-basin water diversion project and to compare the differences between the two methods.
2. Case Overview
3. Theoretical Background
4. Data and Methods
4.1. Data
4.2. Methods
4.2.1. Total Cost Correction Model
Direct Cost
Opportunity Cost
Introduce Water Quantity and Water Quality Coefficient to Correct Total Cost
4.2.2. Water Resources Input-Output Model
Input-Output Model
Water Resource Shadow Price Model
Cost Analysis Model with the Willingness to Pay
5. Results
5.1. Eco-Compensation Standard Based on the Total Cost Correction Model
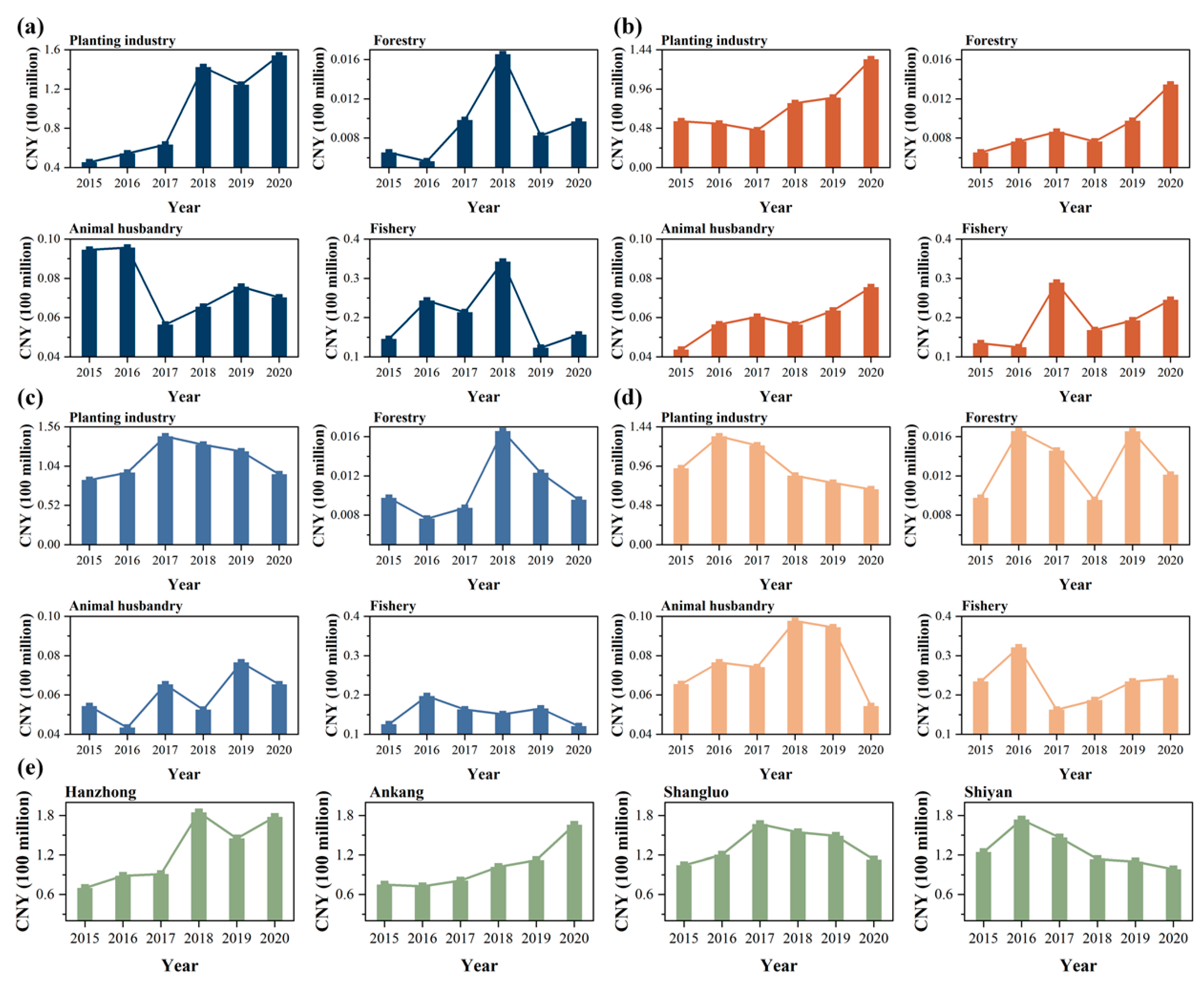
5.1.1. Direct Cost Accounting of Main Headwater Areas
5.1.2. Opportunity Cost Accounting of Main Headwater Areas
Opportunity Cost of Producers in the Secondary Industry
Opportunity Cost of Producers in the Primary Sector
5.1.3. Total Cost Accounting of Introducing Water Quantity and Water Quality Coefficient
Water Quantity Allocation Coefficient
Water Quality Correction Coefficient
The Revised Total Cost
5.2. Eco-Compensation Standard Based on the Water Resources Input-Output Model
5.2.1. Shadow Price of Water Resources
5.2.2. Economic Benefits of Water Diversion
5.2.3. Eco-Compensation Standard with the Cost Analysis Method
6. Discussion
6.1. Comparison of Two Models in the Water Diversion Project
6.2. Theoretical Contributions
6.3. Policy Recommendations
- Expand the funding channels for watershed ecological compensation. While the government strengthens financial vertical transfer compensation, it mobilizes various resources to support watershed ecological compensation as much as possible, actively expands multidimensional and multilevel diversified financing channels, and transforms “blood transfusion” compensation into “blood-making” compensation.
- Actively develop a more flexible ecological compensation method. Based on the principle of “who benefits, who compensates” to establish direct counterpart compensation between the receiver areas and the main headwater areas, the receiver areas directly decide the compensation standard of the reservoir area according to the annual water quality and quantity of the main headwater areas.
- Gradually establish a market for ecological services in main headwater areas, explore market compensation mechanisms for main headwater areas, and promote the conversion of government compensation to market compensation, thereby transferring a larger share of ecological values and economical construction costs to the market and reducing government financial pressure.
6.4. Limitations and Future Work
7. Conclusions
Author Contributions
Funding
Institutional Review Board Statement
Informed Consent Statement
Data Availability Statement
Conflicts of Interest
References
- Haddeland, I.; Heinke, J.; Biemans, H.; Eisner, S.; Floerke, M.; Hanasaki, N.; Konzmann, M.; Ludwig, F.; Masaki, Y.; Schewe, J.; et al. Global Water Resources Affected by Human Interventions and Climate Change. Proc. Natl. Acad. Sci. USA 2014, 111, 3251–3256. [Google Scholar] [CrossRef] [PubMed]
- Saqr, A.M.; Ibrahim, M.G.; Fujii, M.; Nasr, M. Sustainable Development Goals (SDGs) Associated with Groundwater Over-Exploitation Vulnerability: Geographic Information System-Based Multi-Criteria Decision Analysis. Nat. Resour. Res. 2021, 30, 4255–4276. [Google Scholar] [CrossRef]
- Fang, Z.; Chen, J.; Liu, G.; Wang, H.; Alatalo, J.M.; Yang, Z.; Mu, E.; Bai, Y. Framework of Basin Eco-Compensation Standard Valuation for Cross-Regional Water Supply—A Case Study in Northern China. J. Clean. Prod. 2021, 279, 123630. [Google Scholar] [CrossRef]
- Li, X.; Wang, Y.; Yang, R.; Zhang, L.; Zhang, Y.; Liu, Q.; Song, Z. From “Blood Transfusion” to “Hematopoiesis”: Watershed Eco-Compensation in China. Environ. Sci. Pollut. Res. 2022, 29, 49583–49597. [Google Scholar] [CrossRef] [PubMed]
- Zhu, K.; Liu, Q.; Xiong, X.; Zhang, Y.; Wang, M.; Liu, H. Carbon Footprint and Embodied Carbon Emission Transfer Network Obtained Using the Multi–Regional Input–Output Model and Social Network Analysis Method: A Case of the Hanjiang River Basin, China. Front. Ecol. Evol. 2022, 10, 941520. [Google Scholar] [CrossRef]
- Cao, H.; Li, M.; Qin, F.; Xu, Y.; Zhang, L.; Zhang, Z. Economic Development, Fiscal Ecological Compensation, and Ecological Environment Quality. Int. J. Environ. Res. Public Health 2022, 19, 4725. [Google Scholar] [CrossRef]
- Feng, D.; Wu, W.; Liang, L.; Li, L.; Zhao, G. Payments for Watershed Ecosystem Services: Mechanism, Progress and Challenges. Ecosyst. Health Sustain. 2018, 4, 13–28. [Google Scholar] [CrossRef]
- Yan, L.; Jianhua, X.; Fen, Q.; Jiayao, W. Payments for Watershed Services and Practices in China: Achievements and Challenges. Chin. Geogr. Sci. 2018, 28, 873–893. [Google Scholar] [CrossRef]
- Grima, N.; Singh, S.J.; Smetschka, B.; Ringhofer, L. Payment for Ecosystem Services (PES) in Latin America: Analysing the Performance of 40 Case Studies. Ecosyst. Serv. 2016, 17, 24–32. [Google Scholar] [CrossRef]
- Zhao, Y.; Wu, F.; Li, F.; Chen, X.; Xu, X.; Shao, Z. Ecological Compensation Standard of Trans-Boundary River Basin Based on Ecological Spillover Value: A Case Study for the Lancang-Mekong River Basin. Int. J. Environ. Res. Public Health 2021, 18, 1251. [Google Scholar] [CrossRef]
- Yu, H.; Xie, W.; Yang, L.; Du, A.; Almeida, C.M.V.B.; Wang, Y. From Payments for Ecosystem Services to Eco-Compensation: Conceptual Change or Paradigm Shift? Sci. Total Environ. 2020, 700, 134627. [Google Scholar] [CrossRef] [PubMed]
- Lu, S.; Lu, W.; Shao, W.; Xue, Y.; Taghizadeh-Hesary, F. The Transboundary Ecological Compensation Construction Based on Pollution Rights: Ways to Keep the Natural Resources Sustained. Resour. Policy 2021, 74, 102401. [Google Scholar] [CrossRef]
- Sun, J.; Dang, Z.; Zheng, S. Development of Payment Standards for Ecosystem Services in the Largest Interbasin Water Transfer Projects in the World. Agric. Water Manag. 2017, 182, 158–164. [Google Scholar] [CrossRef]
- Sun, S.; Zhou, X.; Liu, H.; Jiang, Y.; Zhou, H.; Zhang, C.; Fu, G. Unraveling the Effect of Inter-Basin Water Transfer on Reducing Water Scarcity and Its Inequality in China. Water Res. 2021, 194, 116931. [Google Scholar] [CrossRef]
- Zhu, K.; Zhang, Y.; Wang, M.; Liu, H. The Ecological Compensation Mechanism in a Cross-Regional Water Diversion Project Using Evolutionary Game Theory: The Case of the Hanjiang River Basin, China. Water 2022, 14, 1151. [Google Scholar] [CrossRef]
- Gao, X.; Shen, J.; He, W.; Sun, F.; Zhang, Z.; Guo, W.; Zhang, X.; Kong, Y. An Evolutionary Game Analysis of Governments’ Decision-Making Behaviors and Factors Influencing Watershed Ecological Compensation in China. J. Environ. Manag. 2019, 251, 109592. [Google Scholar] [CrossRef]
- Gao, X.; Shen, J.; He, W.; Sun, F.; Zhang, Z.; Zhang, X.; Yuan, L.; An, M. Multilevel Governments’ Decision-Making Process and Its Influencing Factors in Watershed Ecological Compensation. Sustainability 2019, 11, 1990. [Google Scholar] [CrossRef]
- Duran-Sanchez, A.; Alvarez-Garcia, J.; de la Cruz del Rio-Rama, M. Sustainable Water Resources Management: A Bibliometric Overview. Water 2018, 10, 1191. [Google Scholar] [CrossRef]
- Makanda, K.; Nzama, S.; Kanyerere, T. Assessing the Role of Water Resources Protection Practice for Sustainable Water Resources Management: A Review. Water 2022, 14, 3153. [Google Scholar] [CrossRef]
- Chen, J.; Wang, Q.; Li, Q. A Quantitative Assessment on Ecological Compensation Based on Water Resources Value Accounting: A Case Study of Water Source Area of the Middle Route of South-To-North Water Transfer Project in China. Front. Environ. Sci. 2022, 10, 854150. [Google Scholar] [CrossRef]
- Guan, D.; Wu, L.; Cheng, L.; Zhang, Y.; Zhou, L. How to Measure the Ecological Compensation Threshold in the Upper Yangtze River Basin, China? An Approach for Coupling InVEST and Grey Water Footprint. Front. Earth Sci. 2022, 10, 988291. [Google Scholar] [CrossRef]
- Shang, W.; Gong, Y.; Wang, Z.; Stewardson, M.J. Eco-Compensation in China: Theory, Practices and Suggestions for the Future. J. Environ. Manag. 2018, 210, 162–170. [Google Scholar] [CrossRef] [PubMed]
- Guan, X.; Liu, W.; Chen, M. Study on the Ecological Compensation Standard for River Basin Water Environment Based on Total Pollutants Control. Ecol. Indic. 2016, 69, 446–452. [Google Scholar] [CrossRef]
- Gao, X.; Shen, J.; He, W.; Sun, F.; Zhang, Z.; Zhang, X.; Zhang, C.; Kong, Y.; An, M.; Yuan, L.; et al. Changes in Ecosystem Services Value and Establishment of Watershed Ecological Compensation Standards. Int. J. Environ. Res. Public Health 2019, 16, 2951. [Google Scholar] [CrossRef]
- Lu, S.; Li, J.; Xiao, B.; Guo, M. Analysis of Standard Accounting Method of Economic Compensation for Ecological Pollution in Watershed. Sci. Total Environ. 2020, 737, 138157. [Google Scholar] [CrossRef]
- Gao, X.; Shen, J.; He, W.; Zhao, X.; Li, Z.; Hu, W.; Wang, J.; Ren, Y.; Zhang, X. Spatial-Temporal Analysis of Ecosystem Services Value and Research on Ecological Compensation in Taihu Lake Basin of Jiangsu Province in China from 2005 to 2018. J. Clean. Prod. 2021, 317, 128241. [Google Scholar] [CrossRef]
- Hu, H.; Jun-Yi, N. Compensative Operating Feasibility Analysis of the West Route of South-to-North Water Transfer Project Dased on M-Copula Function. Water Resour. Manag. 2015, 29, 3919–3927. [Google Scholar] [CrossRef]
- Yang, Z.; Huang, X.; Fang, G.; Ye, J.; Lu, C. Benefit Evaluation of East Route Project of South to North Water Transfer Based on Trapezoid Cloud Model. Agric. Water Manag. 2021, 254, 106960. [Google Scholar] [CrossRef]
- Gu, W.; Shao, D.; Jiang, Y. Risk Evaluation of Water Shortage in Source Area of Middle Route Project for South-to-North Water Transfer in China. Water Resour. Manag. 2012, 26, 3479–3493. [Google Scholar] [CrossRef]
- Zhao, Z.-Y.; Zuo, J.; Zillante, G. Transformation of Water Resource Management: A Case Study of the South-to-North Water Diversion Project. J. Clean. Prod. 2017, 163, 136–145. [Google Scholar] [CrossRef]
- Zang, N.; Zhu, J.; Wang, X.; Liao, Y.; Cao, G.; Li, C.; Liu, Q.; Yang, Z. Eutrophication Risk Assessment Considering Joint Effects of Water Quality and Water Quantity for a Receiving Reservoir in the South-to-North Water Transfer Project, China. J. Clean. Prod. 2022, 331, 129966. [Google Scholar] [CrossRef]
- Zhang, L.; Li, S.; Loaiciga, H.A.; Zhuang, Y.; Du, Y. Opportunities and Challenges of Interbasin Water Transfers: A Literature Review with Bibliometric Analysis. Scientometrics 2015, 105, 279–294. [Google Scholar] [CrossRef]
- Dong, Z.; Yan, Y.; Duan, J.; Fu, X.; Zhou, Q.; Huang, X.; Zhu, X.; Zhao, J. Computing Payment for Ecosystem Services in Watersheds: An Analysis of the Middle Route Project of South-to-North Water Diversion in China. J. Environ. Sci. 2011, 23, 2005–2012. [Google Scholar] [CrossRef] [PubMed]
- People’s Daily Middle Routes of South-to-North Water Diversion Transferred More Than 50 Billion Cubic Meters of Water, Benefiting More Than 85 Million People. Available online: http://www.gov.cn/xinwen/2022-07/26/content_5702827.htm (accessed on 24 December 2022).
- He, J.; Li, Y.; Zhang, L.; Tan, J.; Wen, C. A County-Scale Spillover Ecological Value Compensation Standard of Ecological Barrier Area in China: Based on an Extended Emergy Analysis. Agriculture 2021, 11, 1185. [Google Scholar] [CrossRef]
- Shao, P.; Shi, W.; Liu, Z.; Dong, T. Unsupervised Change Detection Using Fuzzy Topology-Based Majority Voting. Remote Sens. 2021, 13, 3171. [Google Scholar] [CrossRef]
- Fu, W.; Shao, P.; Dong, T.; Liu, Z. Novel Higher-Order Clique Conditional Random Field to Unsupervised Change Detection for Remote Sensing Images. Remote Sens. 2022, 14, 3651. [Google Scholar] [CrossRef]
- Sheng, J.; Webber, M. Incentive-Compatible Payments for Watershed Services along the Eastern Route of China’s South-North Water Transfer Project. Ecosyst. Serv. 2017, 25, 213–226. [Google Scholar] [CrossRef]
- Gastineau, P.; Mossay, P.; Taugourdeau, E. Ecological Compensation: How Much and Where? Ecol. Econ. 2021, 190, 107191. [Google Scholar] [CrossRef]
- Bienabe, E.; Hearne, R.R. Public Preferences for Biodiversity Conservation and Scenic Beauty within a Framework of Environmental Services Payments. For. Policy Econ. 2006, 9, 335–348. [Google Scholar] [CrossRef]
- Branca, G.; Lipper, L.; Neves, B.; Lopa, D.; Mwanyoka, I. Payments for Watershed Services Supporting Sustainable Agricultural Development in Tanzania. J. Environ. Dev. 2011, 20, 278–302. [Google Scholar] [CrossRef]
- Gao, X.; Huang, B.; Hou, Y.; Xu, W.; Zheng, H.; Ma, D.; Ouyang, Z. Using Ecosystem Service Flows to Inform Ecological Compensation: Theory & Application. Int. J. Environ. Res. Public Health 2020, 17, 3340. [Google Scholar] [CrossRef] [PubMed]
- Guan, X.; Hou, S.; Meng, Y.; Liu, W. Study on the Quantification of Ecological Compensation in a River Basin Considering Different Industries Based on Water Pollution Loss Value. Environ. Sci. Pollut. Res. 2019, 26, 30954–30966. [Google Scholar] [CrossRef] [PubMed]
- Wang, Y.; Yang, R.; Li, X.; Zhang, L.; Liu, W.; Zhang, Y.; Liu, Y.; Liu, Q. Study on Trans-Boundary Water Quality and Quantity Ecological Compensation Standard: A Case of the Bahao Bridge Section in Yongding River, China. Water 2021, 13, 1488. [Google Scholar] [CrossRef]
- Rao, Q.; Lin, X.; Chen, F.; Chen, W.; Lin, Y.; Zeng, Y. Research into an Ecological Compensation Standard in the Minjiang River Basin under the Combined Scenario of “Clear Property Rights, Water Quality and Quantity, and Opportunity Cost”. Water Supply 2022, 22, 7873–7883. [Google Scholar] [CrossRef]
- Hao, C.; Yan, D.; Gedefaw, M.; Qin, T.; Wang, H.; Yu, Z. Accounting of Transboundary Ecocompensation Standards Based on Water Quantity Allocation and Water Quality Control Targets. Water Resour. Manag. 2021, 35, 1731–1756. [Google Scholar] [CrossRef]
- Peng, Z.; Pu, H.; Huang, X.; Zheng, R.; Xu, L. Study on Public Willingness and Incentive Mechanism of Ecological Compensation for Inter-Basin Water Transfer in China in the Carbon Neutral Perspective. Ecol. Indic. 2022, 143, 109397. [Google Scholar] [CrossRef]
- Ren, Y.; Lu, L.; Zhang, H.; Chen, H.; Zhu, D. Residents’ Willingness to Pay for Ecosystem Services and Its Influencing Factors: A Study of the Xin’an River Basin. J. Clean. Prod. 2020, 268, 122301. [Google Scholar] [CrossRef]
- Sun, L.; Lu, W.; Yang, Q.; Martín, J.D.; Li, D. Ecological Compensation Estimation of Soil and Water Conservation Based on Cost-Benefit Analysis. Water Resour. Manag. 2013, 27, 2709–2727. [Google Scholar] [CrossRef]
- Wei, Y.; Song, B.; Wang, Y. Designing Cross-Region Ecological Compensation Scheme by Integrating Habitat Maintenance Services Production and Consumption-A Case Study of Jing-Jin-Ji Region. J. Environ. Manag. 2022, 311, 114820. [Google Scholar] [CrossRef]
- Xu, J.; Xiao, Y.; Xie, G.; Liu, J.; Qin, K.; Wang, Y.; Zhang, C.; Lei, G. How to Coordinate Cross-Regional Water Resource Relationship by Integrating Water Supply Services Flow and Interregional Ecological Compensation. Ecol. Indic. 2021, 126, 107595. [Google Scholar] [CrossRef]
- Adams, V.M.; Pressey, R.L.; Naidoo, R. Opportunity Costs: Who Really Pays for Conservation? Biol. Conserv. 2010, 143, 439–448. [Google Scholar] [CrossRef]
- Chen, W.Y. Environmental Externalities of Urban River Pollution and Restoration: A Hedonic Analysis in Guangzhou (China). Landsc. Urban Plan. 2017, 157, 170–179. [Google Scholar] [CrossRef]
- Zhang, M.; Hu, P.; Wang, J.; Lall, U. Four-Level Compensation Standards and Calculation Techniques for Water Ecological Protection in the River Source Regions in China. Ecohydrology 2022, 15, e2366. [Google Scholar] [CrossRef]
- Lu, Z.; Wu, X.; Zhang, S.; Li, J.; Cai, F.; Xu, R. A Study of Ecological Compensation in Watersheds Based on the Three-Way Decisions Theory. J. Clean. Prod. 2022, 368, 133166. [Google Scholar] [CrossRef]
- Hu, Y. Watershed Ecological Compensation Model, Accounting Criteria and Distribution Model, 1st ed.; People’s Publishing House: Beijing, China, 2016. [Google Scholar]
- Wu, Z.; Guo, X.; Lv, C.; Wang, H.; Di, D. Study on the Quantification Method of Water Pollution Ecological Compensation Standard Based on Emergy Theory. Ecol. Indic. 2018, 92, 189–194. [Google Scholar] [CrossRef]
- Liu, Y.; Mao, D. Integrated Assessment of Water Quality Characteristics and Ecological Compensation in the Xiangjiang River, South-Central China. Ecol. Indic. 2020, 110, 105922. [Google Scholar] [CrossRef]
- Wan, W.; Zheng, H.; Liu, Y.; Zhao, J.; Fan, Y.; Fan, H. Ecological Compensation Mechanism in a Trans-Provincial River Basin: A Hydrological/Water-Quality Modeling-Based Analysis. Water 2022, 14, 2542. [Google Scholar] [CrossRef]
- He, S.; Hipel, K.W.; Kilgour, D.M. Water Diversion Conflicts in China: A Hierarchical Perspective. Water Resour. Manag. 2014, 28, 1823–1837. [Google Scholar] [CrossRef]
- Ziolkowska, J.R. Shadow Price of Water for Irrigation—A Case of the High Plains. Agric. Water Manag. 2015, 153, 20–31. [Google Scholar] [CrossRef]
- Shen, X.; Lin, B. The Shadow Prices and Demand Elasticities of Agricultural Water in China: A StoNED-Based Analysis. Resour. Conserv. Recycl. 2017, 127, 21–28. [Google Scholar] [CrossRef]
- Zheng, H.; Többen, J.; Dietzenbacher, E.; Moran, D.; Meng, J.; Wang, D.; Guan, D. Entropy-Based Chinese City-Level MRIO Table Framework. Econ. Syst. Res. 2021, 34, 519–544. [Google Scholar] [CrossRef]
- Wang, K.; Wang, J.; Wei, Y.-M.; Zhang, C. A Novel Dataset of Emission Abatement Sector Extended Input-Output Table for Environmental Policy Analysis. Appl. Energy 2018, 231, 1259–1267. [Google Scholar] [CrossRef]
- Wang, W.; Xie, H.; Zhang, N.; Xiang, D. Sustainable Water Use and Water Shadow Price in China’s Urban Industry. Resour. Conserv. Recycl. 2018, 128, 489–498. [Google Scholar] [CrossRef]
- Wang, X.; Adamowski, J.F.; Wang, G.; Cao, J.; Zhu, G.; Zhou, J.; Liu, C.; Dong, X. Farmers’ Willingness to Accept Compensation to Maintain the Benefits of Urban Forests. Forests 2019, 10, 691. [Google Scholar] [CrossRef]
- Qiao, C.; Ning, Z.; Wang, Y.; Sun, J.; Lin, Q.; Wang, G. Impact of Climate Change on Water Availability in Water Source Areas of the South-to-North Water Diversion Project in China. Front. Earth Sci. 2021, 9, 747429. [Google Scholar] [CrossRef]
- Lin, X.; Li, X.; Li, J.; Rao, Q. Research on Ecological Compensation Standard in Minjiang River Basin Based on Opportunity Cost and Ecosystem Service Values. Res. Soil Water Conserv. 2017, 24, 314–319. [Google Scholar] [CrossRef]
- Dai, J.; Hu, S.; Zhang, B.; Yang, Q. Study on ecological compensation standard based on opportunity cost and ecosystem service value accounting:A case study of Xin’an river basin. Hubei Agric. Sci. 2021, 60, 152–157. [Google Scholar] [CrossRef]
- Wang, Y.; Li, X.; Liu, S.; Han, Z.; Song, L.; Ke, Z.; Chen, K. Climate Services for Water Resource Management in China: The Case Study of Danjiangkou Reservoir. J. Meteorol. Res. 2021, 35, 87–100. [Google Scholar] [CrossRef]
- Meng, F.; Guo, J.; Guo, Z.; Lee, J.C.K.; Liu, G.; Wang, N. Urban Ecological Transition: The Practice of Ecological Civilization Construction in China. Sci. Total Environ. 2021, 755, 142633. [Google Scholar] [CrossRef]
- Liu, J.; Liu, Q.; Yang, H. Assessing Water Scarcity by Simultaneously Considering Environmental Flow Requirements, Water Quantity, and Water Quality. Ecol. Indic. 2016, 60, 434–441. [Google Scholar] [CrossRef]
- Cao, X.; Cyuzuzo, C.M.; Saiken, A.; Song, B. A Linear Additivity Water Resources Assessment Indicator by Combining Water Quantity and Water Quality. Ecol. Indic. 2021, 121, 106990. [Google Scholar] [CrossRef]
- Liu, M.; Guo, J. Comparisons and Improvements of Eco-Compensation Standards for Water Resource Protection in the Middle Route of the South-to-North Water Diversion Project. Water Supply 2020, 20, 2988–2999. [Google Scholar] [CrossRef]
- Yuan, Q.; Yang, D.; Yang, F.; Luken, R.; Saieed, A.; Wang, K. Green Industry Development in China: An Index Based Assessment from Perspectives of Both Current Performance and Historical Effort. J. Clean. Prod. 2020, 250, 119457. [Google Scholar] [CrossRef]
- Li, W.; Chen, J.; Zhang, Z. Forest Quality-Based Assessment of the Returning Farmland to Forest Program at the Community Level in SW China. For. Ecol. Manag. 2020, 461, 117938. [Google Scholar] [CrossRef]
- Zhang, F.; Wu, Z.; Di, D.; Jiang, M.; Wang, H.; Chen, X. Social Values of Water Resources: Analyzing Its Spatial Distribution Characteristics and Influencing Factors Using an ESSR Model. Ecol. Indic. 2022, 142, 109200. [Google Scholar] [CrossRef]
- Jia, Y.; Shen, J.; Wang, H. Calculation of Water Resource Value in Nanjing Based on a Fuzzy Mathematical Model. Water 2018, 10, 920. [Google Scholar] [CrossRef]
- Liu, Y.; Lu, F.; Xian, C.; Ouyang, Z. Urban Development and Resource Endowments Shape Natural Resource Utilization Efficiency in Chinese Cities. J. Environ. Sci. 2023, 26, 806–816. [Google Scholar] [CrossRef]
- Xu, X.-Z.; Song, G.-D.; Dang, T.-M.; Liu, J.-W.; Zhang, H.-W.; Gao, H.; Liu, Y.-K. Environment and Sustainability of the Middle Route, South-to-North Water Transfer Project in China: A Close Look. Environ. Dev. Sustain. 2018, 20, 2415–2426. [Google Scholar] [CrossRef]
- Lin, C.; Suh, S.; Pfister, S. Does South-to-North Water Transfer Reduce the Environmental Impact of Water Consumption in China? J. Ind. Ecol. 2012, 16, 647–654. [Google Scholar] [CrossRef]
- Sheng, J.; Webber, M. Incentive Coordination for Transboundary Water Pollution Control: The Case of the Middle Route of China’s South-North Water Transfer Project. J. Hydrol. 2021, 598, 125705. [Google Scholar] [CrossRef]
- Wei, X.Y.; Xia, J.X. Ecological Compensation for Large Water Projects Based on Ecological Footprint Theory: A Case Study in China. Procedia Environ. Sci. 2012, 13, 1338–1345. [Google Scholar] [CrossRef]








| Method | Advantages | Disadvantages |
|---|---|---|
| Willingness-to-pay method | It is more frequently used internationally, taking into account the beneficiary’s willingness to pay and the service provider’s willingness to be reimbursed. | Highly subjective, incomplete representation of the functional value of the ecosystem. |
| Total cost accounting method | The results of the compensation standard are easy to accept and take full account of the cost paid by the service provider. | Its results usually take into account only the costs and have no incentive for the service providers. |
| Ecosystem service value method | The value of the entire ecosystem of the watershed is fully reflected. | Different calculation metrics lead to highly differentiated results, usually greater than the beneficiary’s willingness to pay. |
| Water resources value method | The calculation process is simplified to focus on water quantity and quality. | The calculation method is immature and does not consider other values of water ecology. |
| Water quality and quantity protection target accounting method | The basis for compensation standard accounting is adequate and is used in practice by many regions. | Large differences in the economic development of beneficiaries and service providers lead to a flawed compensation process. |
| Type | Indicators | Indicator Explanation |
|---|---|---|
| Ecological environmental protection and construction | Forestry construction (FC) | Mountain reforestation project, the project of returning farmland to forest, public welfare forest construction, the subsidies of returning farmland to forest, forestry resources protection, and forest pest control. |
| Soil and water conservation (SWC) | Soil erosion control and key soil erosion demonstration areas project construction and operation. | |
| Watershed ecological construction (WEC) | Nature reserve construction, ecological restoration projects, watershed environmental protection science and technology costs, and comprehensive environmental improvement. | |
| Integrated pollutant management | Hydrological monitoring (HM) | Water quality and water quantity monitoring station construction, monitoring instrument acquisition, maintenance, and operation costs. |
| Water pollution control (WPC) | Wastewater treatment facility construction, rural biogas facility construction, and change in agricultural farming methods costs. |
| 2015 | 2016 | 2017 | 2018 | 2019 | 2020 | Total | |
|---|---|---|---|---|---|---|---|
| Hanzhong | 3.97 | 3.82 | 4.04 | 3.92 | 4.13 | 4.18 | 24.07 |
| Ankang | 3.24 | 3.58 | 3.72 | 3.63 | 3.79 | 3.76 | 21.71 |
| Shangluo | 2.54 | 2.69 | 2.96 | 3.35 | 3.42 | 3.46 | 18.43 |
| Shiyan | 4.04 | 4.23 | 4.36 | 4.52 | 4.69 | 4.63 | 26.47 |
| Total | 13.78 | 14.32 | 15.09 | 15.42 | 16.04 | 16.02 | 90.67 |
| Year | Water Transfer Quantity of Middle Route Project (108 m3) | Total Water Supply of the HJRB (108 m3) | Water Quantity Allocation Coefficient |
|---|---|---|---|
| 2015 | 20.2 | 560 | 1.036 |
| 2016 | 38.3 | 557 | 1.069 |
| 2017 | 44.92 | 572 | 1.079 |
| 2018 | 57.84 | 580 | 1.100 |
| 2019 | 69.16 | 575 | 1.120 |
| 2020 | 86.22 | 572 | 1.151 |
| Index | Class I | Class II | Class III | Class IV | Class V |
|---|---|---|---|---|---|
| pH | - | - | 6–9 | - | - |
| DO | ≥7.5 | 7.5–6 | 6–5 | 5–3 | 3–2 |
| CODMn | ≤2 | 2–4 | 4–6 | 6–10 | 10–15 |
| NH3-N | ≤0.15 | 0.15–0.5 | 0.5–1.0 | 1.0–1.5 | 1.5–2.0 |
| Year | pH | DO (mg/L) | CODMn (mg/L) | NH3-N (mg/L) | Water Quality Correction Coefficient |
|---|---|---|---|---|---|
| Class III | 9.00 | 5.00 | 6.00 | 1.00 | - |
| 2015 | 8.02 | 8.13 | 1.28 | 0.12 | 1.012 |
| 2016 | 7.71 | 8.03 | 1.87 | 0.07 | 1.028 |
| 2017 | 7.73 | 7.91 | 1.52 | 0.04 | 1.254 |
| 2018 | 7.70 | 7.89 | 1.43 | 0.09 | 1.123 |
| 2019 | 8.07 | 8.35 | 1.19 | 0.05 | 1.362 |
| 2020 | 7.81 | 8.58 | 1.33 | 0.03 | 1.521 |
| Province | City | Total Output (100 Million) | Total Water Consumption (108 m3) | Unit Water Resources Output (CNY) | Differential Value (CNY) | Shadow Price (CNY) | ||
|---|---|---|---|---|---|---|---|---|
| Original | Corrected | Original | Corrected | |||||
| Henan | Nanyang | 2522.32 | 2578.64 | 16.2300 | 155.41 | 158.88 | 3.47 | 4.73 |
| Pingdingshan | 1335.40 | 1393.80 | 9.4132 | 141.86 | 148.07 | 6.20 | ||
| Xuchang | 2170.60 | 2264.70 | 8.0700 | 268.97 | 280.63 | 11.66 | ||
| Zhengzhou | 7345.40 | 7402.70 | 16.7325 | 438.99 | 442.41 | 3.42 | ||
| Jiaozuo | 1960.42 | 2019.81 | 27.8341 | 70.43 | 72.57 | 2.13 | ||
| Xinxiang | 2007.14 | 2069.89 | 15.6418 | 128.32 | 132.33 | 4.01 | ||
| Hebi | 717.25 | 736.17 | 4.5700 | 156.95 | 161.09 | 4.14 | ||
| Anyang | 1657.94 | 1729.02 | 11.1025 | 149.33 | 155.73 | 6.40 | ||
| Hebei | Handan | 3145.43 | 3213.24 | 14.1200 | 222.76 | 227.57 | 4.80 | 3.81 |
| Xingtai | 1764.73 | 1852.21 | 16.8502 | 104.73 | 109.92 | 5.19 | ||
| Shijiazhuang | 5440.60 | 5531.53 | 29.4686 | 184.62 | 187.71 | 3.09 | ||
| Baoding | 3000.34 | 3091.28 | 27.8000 | 107.93 | 111.20 | 3.27 | ||
| Beijing | 24,779.10 | 24,902.35 | 38.2000 | 648.67 | 651.89 | 3.23 | 3.23 | |
| Tianjin | 10,879.51 | 10,961.24 | 26.7720 | 406.38 | 409.43 | 3.05 | 3.05 | |
Disclaimer/Publisher’s Note: The statements, opinions and data contained in all publications are solely those of the individual author(s) and contributor(s) and not of MDPI and/or the editor(s). MDPI and/or the editor(s) disclaim responsibility for any injury to people or property resulting from any ideas, methods, instructions or products referred to in the content. |
© 2022 by the authors. Licensee MDPI, Basel, Switzerland. This article is an open access article distributed under the terms and conditions of the Creative Commons Attribution (CC BY) license (https://creativecommons.org/licenses/by/4.0/).
Share and Cite
Wang, Y.; Zhu, K.; Xiong, X.; Yin, J.; Yan, H.; Zhang, Y.; Liu, H. Assessment of the Ecological Compensation Standards for Cross-Basin Water Diversion Projects from the Perspective of Main Headwater and Receiver Areas. Int. J. Environ. Res. Public Health 2023, 20, 717. https://doi.org/10.3390/ijerph20010717
Wang Y, Zhu K, Xiong X, Yin J, Yan H, Zhang Y, Liu H. Assessment of the Ecological Compensation Standards for Cross-Basin Water Diversion Projects from the Perspective of Main Headwater and Receiver Areas. International Journal of Environmental Research and Public Health. 2023; 20(1):717. https://doi.org/10.3390/ijerph20010717
Chicago/Turabian StyleWang, Yubing, Kai Zhu, Xiao Xiong, Jianuo Yin, Haoran Yan, Yuan Zhang, and Hai Liu. 2023. "Assessment of the Ecological Compensation Standards for Cross-Basin Water Diversion Projects from the Perspective of Main Headwater and Receiver Areas" International Journal of Environmental Research and Public Health 20, no. 1: 717. https://doi.org/10.3390/ijerph20010717
APA StyleWang, Y., Zhu, K., Xiong, X., Yin, J., Yan, H., Zhang, Y., & Liu, H. (2023). Assessment of the Ecological Compensation Standards for Cross-Basin Water Diversion Projects from the Perspective of Main Headwater and Receiver Areas. International Journal of Environmental Research and Public Health, 20(1), 717. https://doi.org/10.3390/ijerph20010717

