Can Expanding Cultural Consumption Improve Urban Air Quality? An Analysis Based on China’s Cultural Consumption Pilot Policy
Abstract
1. Introduction
2. Policy Background and Theoretical Assumptions
2.1. Policy Background
2.2. Theoretical Hypothesis
3. Research Design
3.1. Baseline Regression Model
3.2. Variable Settings
- (1)
- Explained variables. Urban air quality. The visual manifestation of air quality deterioration is the increase in hazy weather phenomenon, and sulphur dioxide and respirable particulate matter are considered to be the “culprits” of hazy weather. Therefore, this paper uses industrial SO2 emissions per capita (lnpso2) and average annual PM2.5 (lnpm) to measure urban air quality.
- (2)
- Explanatory variables. National cultural consumption pilot policy (did). This variable is a dummy variable; i.e., a city takes a value of 1 in the year it becomes a national cultural consumption pilot city and in subsequent years; otherwise, it takes a value of 0.
- (3)
- Control variables. In order to more accurately assess the impact of the national cultural consumption pilot policy on urban air pollution, this paper controls for the following factors that may have an impact on urban air pollution. ① Level of openness to the outside world (open). The export trade may be an important cause of China’s current serious air pollution because of the environmental impact caused by packaging and transportation of export products. Therefore, this paper uses the ratio of the total value of imports and exports to the regional GDP to measure the city’s openness to the outside world. ② Level of transport (road). Harmful gases from road traffic are the main contributors to hazy weather, so this paper uses the natural logarithm of road area per capita to measure urban traffic levels. ③ Level of financial development (bank). Financial development plays an important role in the process of high-quality development of cities; therefore, this paper adopts the proportion of year-end financial institutions’ deposit and loan balances to GDP to measure the level of financial development of cities. ④ Level of internet development (inter). The popularity of the Internet has increased the speed of dissemination of factor resources, improved the productivity of enterprises and raised the possibility for reducing pollution; therefore, this paper uses the natural logarithm of the number of international Internet users to measure the level of urban Internet development.
- (4)
- Moderating variables. Government intervention (gov): This paper measures government intervention in terms of three instruments of government intervention: science and technology expenditure, fiscal decentralization and environmental regulation. Among them, science and technology expenditure (tec) can reflect the strength of government support for scientific research activities, specifically the proportion of government science and technology expenditure to regional GDP. Fiscal decentralization (fin) reflects the degree of fiscal autonomy of local governments and is expressed using average municipal fiscal expenditure per capita/(municipal fiscal expenditure per capita + provincial fiscal expenditure per capita + central fiscal expenditure per capita) (fiscal decentralization of municipalities directly under the central government is inscribed using average municipal fiscal expenditure per capita/(municipal fiscal expenditure per capita + central fiscal expenditure per capita)); Environmental regulation (env) reflects the degree of importance the government places on the environment and is measured using the share of green space in the municipal area as a percentage of the municipal area. In terms ofpublic participation(public), this paper measures public participation in terms of education level, consumer demand and environmental concern. Among them, education level (edu) is closely related to the awareness of rights and responsibilities of local residents, which is expressed in this paper as the ratio of the number of university students to the total population. Consumer demand (con) can reflect the habits and ability of urban and rural residents to participate in social consumption and is expressed using the natural logarithm of real retail sales of social consumer goods per capita. Environmental concern (att) reflects the importance residents attach to the good or bad environment they live in, and drawing on a study by Guo et al. [32], the Baidu Environmental Pollution Search Index was used to portray this.
- (5)
- Intermediate variables. Industrial structure (ind), measured using the ratio of tertiary to secondary industries in the gross regional product. Level of innovation (inn), expressed using the number of patents granted per 10,000 people.
3.3. Data Sources
4. Analysis of Study Results
4.1. Return to Baseline
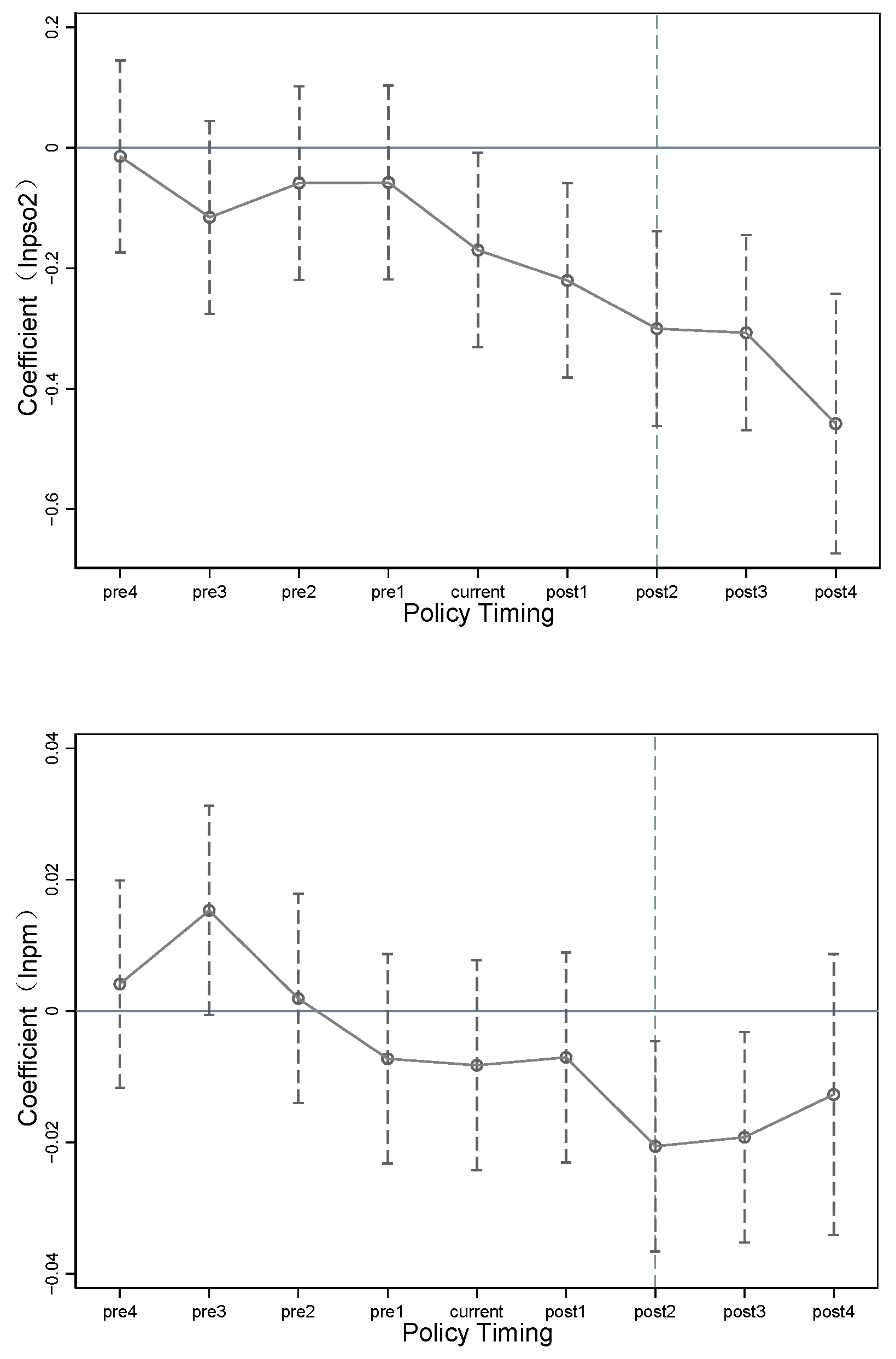
4.2. Parallel Trends and Dynamic Tests
4.3. Robustness Tests
4.3.1. PSM-DID
4.3.2. Placebo Test
4.3.3. Removal of Policy Effects
4.3.4. Instrumental Variables Approach
4.3.5. Breakpoint Inspection
4.3.6. Other Robustness Tests
- (1)
- Substitution of explained variables. The Air Quality Index provides a comprehensive picture of the level of air pollution in an area. For this reason, the explained variable is replaced with the air quality index (lnaqi) in this paper. The data are obtained from the China Air Quality Online Inspection and Analysis Platform, which has been publishing monthly air quality data for each city since December 2013. Given that this paper studies an annual indicator, we take the monthly data for each city as the annual average value and use it as the annual air quality index for each city. The regression results are presented in column (1) of Table 6, and the results show that the regression coefficient of DID is negative at the 1% significance level, which is consistent with the findings obtained from the baseline regression and proves the robustness of the empirical results.
- (2)
- Time trend term controlling the administrative level of the city. We added a dummy variable for the administrative level of the city (municipality directly under the central government, provincial capital city) to the baseline model with an interaction term for the time trend term to exclude the effect of fixed characteristics associated with the administrative level of the city on urban air pollution levels. The regression results are presented in columns (2) and (3) of Table 6, which show that the regression coefficient of DID remains significantly negative after controlling for the administrative level of the city, demonstrating the robustness of the empirical results.
- (3)
- With neighbouring cities in the province as the control group. In this paper, cities that are geographically bordering the provinces where the national cultural consumption pilot cities are located are selected as the control group and then re-tested to ensure that the sample characteristics of the experimental and control groups are as similar as possible. The regression results are presented in columns (4) and (5) of Table 6 and show that the regression coefficient for DID remains significantly negative after re-screening the control group, demonstrating the robustness of the empirical results.
- (4)
- Select issue to handle. Identification of a national cultural consumption pilot may be related to the air quality of the city before the policy took place; to rule out this possibility, we used data from before the pilot policy took place (2015) as a sample, with industrial sulphur dioxide emissions per capita (lnpso2) and PM2.5 (lnpm) as explanatory variables and whether or not it was a national cultural consumption pilot (treat) as the explained variable, respectively, and conducted regression analysis. The regression results in columns (6) and (7) of Table 6 show that the cities that later became national cultural consumption pilots were not related to their air quality levels prior to the pilots.
| Variables | Lnaqi | Lnpso2 | Lnpm | Lnpso2 | Lnpm | Treat | Treat |
|---|---|---|---|---|---|---|---|
| (1) | (2) | (3) | (4) | (5) | (6) | (7) | |
| did | −0.0205 *** | −0.1134 ** | −0.0168 *** | −0.2730 *** | −0.0120 *** | ||
| (0.008) | (0.050) | (0.005) | (0.045) | (0.004) | |||
| lnpso2 | 0.0133 | ||||||
| (0.028) | |||||||
| lnpm | −0.0123 | ||||||
| (0.111) | |||||||
| _cons | 4.2628 *** | 5.8299 *** | 3.8400 *** | 5.8841 *** | 3.9930 *** | −1.4997 *** | −1.3648 ** |
| (0.106) | (0.650) | (0.065) | (0.633) | (0.059) | (0.444) | (0.546) | |
| Control | Yes | Yes | Yes | Yes | Yes | Yes | Yes |
| Year | Yes | Yes | Yes | Yes | Yes | No | No |
| City | Yes | Yes | Yes | Yes | Yes | No | No |
| Province | Yes | Yes | Yes | Yes | Yes | Yes | Yes |
| N | 1960 | 4200 | 4200 | 2205 | 2205 | 280 | 280 |
4.4. Heterogeneity Analysis
4.4.1. Urban Location Heterogeneity Test
4.4.2. Heterogeneity Analysis of Urban Resource Endowments
5. Mechanism Testing
5.1. Testing the Moderating Effect of Government Intervention and Public Participation
5.2. Intermediary Effects Test
6. Conclusions and Discussion
6.1. Conclusions
6.2. Discussion
Author Contributions
Funding
Informed Consent Statement
Data Availability Statement
Conflicts of Interest
References
- McDonald, A.J.; Srivastava, A.K.; Gérard, B. Tradeoffs between groundwater conservation and air pollution from agricultural fires in northwest India. Nat. Sustain. 2019, 2, 580–583. [Google Scholar]
- Furie, G.L.; Balbus, J. Global environmental health and sustainable development: The role at Rio+20. Cien Saude Colet 2012, 17, 1427–1432. [Google Scholar] [CrossRef][Green Version]
- Wu, J.; Pu, Y.; Li, J. Air pollution, demographic structure, and the current account: An extended life-cycle model. Environ. Sci. Pollut. Res. 2020, 27, 26350–26366. [Google Scholar] [CrossRef]
- Huang, C.L.; Yan, F.M.; Liu, R.; Sun, D.Z. On the Marxist philosophical basis of Xi Jinping’s thought on ecological civilization. China Popul. Resour. Environ. 2021, 31, 1–9. (In Chinese) [Google Scholar]
- Grossman, G.; Krueger, A. Economic growth and the environment. Q. J. Econ. 1995, 110, 353–377. [Google Scholar] [CrossRef]
- Walter, I.; Ugelow, J.L. Environmental Policies in Developing Countries. Technol. Dev. Environ. Lmpact 1979, 8, 102–109. [Google Scholar]
- Birdsall, N.; Wheeler, D. Trade Policy and Industrial Pollution in Latin America: Where Are the Pollution Havens? J. Environ. Dev. 1993, 2, 137–149. [Google Scholar] [CrossRef]
- Antweiler, W.; Copeland, B.R.; Taylor, M.S. Is Free Trade Good for the Environment? Am. Econ. Rev. 2001, 91, 877–908. [Google Scholar] [CrossRef]
- He, C.; Huang, Z.; Ye, X. Spatial heterogeneity of economic development and industrial pollution in urban China. Stoch Environ. Res. Risk Assess. 2014, 28, 767–781. [Google Scholar] [CrossRef]
- Wang, Z. Does biomass energy consumption help to control environmental pollution? Evidence from BRICS countries. Sci. Total Environ. 2019, 670, 1075–1083. [Google Scholar]
- Wang, S.; Zhou, C.; Wang, Z.; Feng, K.; Hubacek, K. The characteristics and drivers of fine particulate matter (PM2.5) distribution in China. J. Clean. Prod. 2017, 142, 1800–1809. [Google Scholar] [CrossRef]
- Liu, X.; Sun, T.; Feng, Q. Dynamic spatial spillover effect of urbanization on environmental pollution in China considering the inertia characteristics of environmental pollution. Sustain. Cities Soc. 2020, 53, 101903. [Google Scholar] [CrossRef]
- Mahmood, H.; Alkhateeb, T.T.; Furqan, M. Industrialization, urbanization and CO2 emissions in Saudi Arabia: Asymmetry analysis. Energy Rep. 2020, 6, 1553–1560. [Google Scholar] [CrossRef]
- He, Q. Fiscal decentralization and environmental pollution: Evidence from Chinese panel data. China Econ. Rev. 2015, 36, 86–100. [Google Scholar] [CrossRef]
- Kuai, P.; Yang, S.; Tao, A.; Zhang, S.; Khan, Z.D. Environmental effects of Chinese-style fiscal decentralization and the sustainability implications. J. Clean. Prod. 2019, 239, 118089. [Google Scholar] [CrossRef]
- Zeng, D.; Zhao, L. Pollution havens and industrial agglomeration. J. Environ. Econ. Manag. 2009, 58, 141–153. [Google Scholar] [CrossRef]
- Matias, B.; Gregory, J.; Kline, P. Assessing the Incidence and Efficiency of a Prominent Place Based Policy. Am. Econ. Rev. 2013, 103, 897–947. [Google Scholar]
- Wu, J.; Xu, H.; Tang, K. Industrial agglomeration, CO2 emissions and regional development programs: A decomposition analysis based on 286 Chinese cities. Energy 2021, 225, 120239. [Google Scholar] [CrossRef]
- Lu, J.J.; Sui, H.G.; Zhou, J. Cultural consumption and quality improvement of economic growth. Nankai Econ. Stud. 2021, 158–175. (In Chinese) [Google Scholar] [CrossRef]
- Fan, X.L. Cultural consumption, regional infrastructure and urban-rural income gap: A theoretical analysis and empirical test based on a new economic geography perspective. J. Southwest Minzu Univ. (Humanit. Soc. Sci.) 2020, 41, 96–103. (In Chinese) [Google Scholar]
- Feng, T.; Du, H.; Lin, Z.; Zuo, J. Spatial spillover effects of environmental regulations on air pollution: Evidence from urban agglomerations in China. J. Environ. Manag. 2020, 272, 110998. [Google Scholar] [CrossRef] [PubMed]
- Wang, X.F.; Liao, Z.F. Research on market mechanism, government intervention and carbon market emission reduction effect. J. Arid. Land Resour. Environ. 2022, 36, 9–17. (In Chinese) [Google Scholar]
- Shen, C.E.; Shi, H.X.; Zhang, B.Y. Monetary policy, government intervention and liquidity creation in urban commercial banks. Financ. Forum 2021, 26, 70–80. (In Chinese) [Google Scholar]
- Li, G.; Sun, F.; Fu, B.; Deng, L.; Yang, K.; Liu, Y.; Che, Y. How to promote the public participation in eco-compensation in transboundary river basins: A case from Planned Behavior perspective. J. Clean. Prod. 2021, 313, 127911. [Google Scholar] [CrossRef]
- Chen, L.Y.; Zhao, X.; Zhu, Y.C. The effect of public participation in river chief system on the effect of river management—An empirical study based on Jiangsu and Hubei. Resour. Sci. 2021, 43, 1077–1087. (In Chinese) [Google Scholar]
- Xu, X.X.; Li, W.L. Confucian traditions and corporate innovation: The power of culture. J. Financ. Res. 2019, 9, 112–130. [Google Scholar]
- Dowlatabadi, H.; Oravetz, M.A. US long-term energy intensity: Backcast and projection. Energy Policy 2006, 34, 3245–3256. [Google Scholar] [CrossRef]
- Kemfert, C. Induced technological change in a multi-regional, multi-sectoral, integrated assessment model (WIAGEM). Ecol. Econ. 2004, 54, 293–305. [Google Scholar] [CrossRef]
- Chiou, T.; Chan, H.K.; Lettice, F.; Chung, S.H. The influence of greening the suppliers and green innovation on environmental performance and competitive advantage in Taiwan. Transp. Res. Part E-Logist. Transp. Rev. 2011, 47, 822–836. [Google Scholar] [CrossRef]
- Hao, Y.; Zheng, S.; Zhao, M.; Wu, H.; Guo, Y.; Li, Y. Reexamining the relationships among urbanization, industrial structure, and environmental pollution in China—New evidence using the dynamic threshold panel model. Energy Rep. 2020, 6, 28–39. [Google Scholar] [CrossRef]
- Lv, K.J.; Peng, Y.C.; Wu, T. Research of Relationship between Shanghai Industrial Structure and Environmental Pollution. Int. J. Adv. Manag. Sci. 2013, 2, 127–132. [Google Scholar]
- Guo, M.; Kuai, Y.; Liu, X. Stock market response to environmental policies: Evidence from heavily polluting firms in China. Econ. Model. 2020, 86, 306–316. [Google Scholar] [CrossRef]
- Baron, R.M.; Kenny, D.A. The moderator-mediator variable distinction in social psychological research: Conceptual, strategic, and statistical considerations. J. Personal. Soc. Psychol. 1986, 51, 1173–1182. [Google Scholar] [CrossRef] [PubMed]
- Vicente-Molina, M.; Fernández-Sainz, A.; Izagirre-Olaizola, J. Environmental knowledge and other variables affecting pro-environmental behaviour: Comparison of university students from emerging and advanced countries. J. Clean. Prod. 2013, 61, 130–138. [Google Scholar] [CrossRef]
- Agovino, M.; Cerciello, M.; Musella, G. The effects of neighbour influence and cultural consumption on separate waste collection. Theoretical framework and empirical investigation. Ecol. Econ. 2019, 166, 106440. [Google Scholar] [CrossRef]



| Variables | Obs. | Mean | Std. Dev. | Min | Max |
|---|---|---|---|---|---|
| lnpso2 | 4200 | 4.2508 | 1.3110 | −5.0345 | 7.8382 |
| lnpm | 4200 | 3.7317 | 0.3476 | 2.4522 | 4.6870 |
| open | 4200 | 0.1924 | 0.3349 | 0.0000 | 3.4988 |
| road | 4200 | 1.1009 | 0.8289 | −5.5662 | 3.9870 |
| bank | 4200 | 2.2799 | 1.1618 | 0.5600 | 21.3015 |
| inter | 4200 | 6.0696 | 1.1446 | −1.4271 | 9.5639 |
| Variables | Lnpso2 | Lnpm | ||
|---|---|---|---|---|
| (1) | (2) | (3) | (4) | |
| did | −0.3152 *** | −0.2456 *** | −0.0157 *** | −0.0149 *** |
| (0.045) | (0.045) | (0.004) | (0.004) | |
| open | 0.4888 *** | 0.0196 *** | ||
| (0.069) | (0.007) | |||
| road | 0.1612 *** | 0.0004 | ||
| (0.029) | (0.003) | |||
| bank | −0.0324 * | −0.0022 | ||
| (0.018) | (0.002) | |||
| inter | 0.0521 * | −0.0032 | ||
| (0.029) | (0.003) | |||
| _cons | 6.9348 *** | 6.0100 *** | 3.8349 *** | 3.8374 *** |
| (0.637) | (0.653) | (0.062) | (0.065) | |
| Year | Yes | Yes | Yes | Yes |
| City | Yes | Yes | Yes | Yes |
| Province | Yes | Yes | Yes | Yes |
| N | 4200 | 4200 | 4200 | 4200 |
| Variables | Mixed Matching | Period-by-Period Matching | ||
|---|---|---|---|---|
| Lnpso2 | Lnpm | Lnpso2 | Lnpm | |
| did | −0.2424 *** | −0.0145 *** | −0.1459 ** | −0.0110 * |
| (0.045) | (0.004) | (0.060) | (0.006) | |
| _cons | 6.0260 *** | 3.8364 *** | 3.2762 *** | 3.4555 *** |
| (0.659) | (0.066) | (0.517) | (0.053) | |
| Control | Yes | Yes | Yes | Yes |
| Year | Yes | Yes | Yes | Yes |
| City | Yes | Yes | Yes | Yes |
| Province | Yes | Yes | Yes | Yes |
| N | 4114 | 4114 | 1490 | 1490 |
| Variables | Lnpso2 | Lnpm | Lnpso2 | Lnpm | Lnpso2 | Lnpm |
|---|---|---|---|---|---|---|
| (1) | (2) | (3) | (4) | (5) | (6) | |
| did2015 | −0.1052 | −0.0119 | ||||
| (0.071) | (0.008) | |||||
| did | −0.2807 *** | −0.0091 * | −0.2302 *** | −0.0137 *** | ||
| (0.053) | (0.005) | (0.049) | (0.005) | |||
| _cons | 5.6096 *** | 3.6766 *** | 6.0845 *** | 3.8576 *** | 6.0297 *** | 3.7748 *** |
| (0.569) | (0.063) | (0.633) | (0.063) | (0.654) | (0.066) | |
| Control | Yes | Yes | Yes | Yes | Yes | Yes |
| Year | Yes | Yes | Yes | Yes | Yes | Yes |
| City | Yes | Yes | Yes | Yes | Yes | Yes |
| Province | Yes | Yes | Yes | Yes | Yes | Yes |
| N | 2800 | 2800 | 3435 | 3435 | 3630 | 3630 |
| Variables | First Stage Regressions | Second Stage Regressions | |
|---|---|---|---|
| Did | Lnpso2 | Lnpm | |
| IV1984WH | 0.0108 *** | ||
| (0.001) | |||
| IVcapital | 0.0233 *** | ||
| (0.004) | |||
| did | −1.6776 *** | −0.0666 *** | |
| (0.184) | (0.025) | ||
| Control | Yes | Yes | Yes |
| Year | Yes | Yes | Yes |
| City | Yes | Yes | Yes |
| Kleibergen–Paap LM | 173.866 *** | ||
| Kleibergen–Paap Wald F | 127.006 [19.93] | ||
| Hansen J Test | 0.4602 | 0.1087 | |
| N | 3300 | 3300 | 3300 |
| Variables | Northern Cities | Southern Cities | Non-Resource-Based Cities | Resource-Based Cities | ||||
|---|---|---|---|---|---|---|---|---|
| Lnpso2 | Lnpm | Lnpso2 | Lnpm | Lnpso2 | Lnpm | Lnpso2 | Lnpm | |
| did | −0.3226 *** | −0.0157 ** | −0.1525 ** | −0.0125 ** | −0.3083 *** | −0.0184 *** | −0.0015 | −0.0022 |
| (0.062) | (0.007) | (0.064) | (0.006) | (0.057) | (0.005) | (0.085) | (0.009) | |
| _cons | 4.3636 *** | 3.9291 *** | 5.7309 *** | 3.7361 *** | 5.3882 *** | 3.8453 *** | 4.3356 *** | 3.6647 *** |
| (0.317) | (0.035) | (0.685) | (0.059) | (0.685) | (0.061) | (0.365) | (0.040) | |
| Control | Yes | Yes | Yes | Yes | Yes | Yes | Yes | Yes |
| Year | Yes | Yes | Yes | Yes | Yes | Yes | Yes | Yes |
| City | Yes | Yes | Yes | Yes | Yes | Yes | Yes | Yes |
| Province | Yes | Yes | Yes | Yes | Yes | Yes | Yes | Yes |
| N | 1905 | 1905 | 2295 | 2295 | 2505 | 2505 | 1695 | 1695 |
| Variables | Lnpso2 | Lnpm | ||||
|---|---|---|---|---|---|---|
| (1) | (2) | (3) | (4) | (5) | (6) | |
| did | −0.1518 ** | 0.5744 ** | −0.1042 * | −0.0116 * | −0.0061 | −0.0117 ** |
| (0.067) | (0.234) | (0.057) | (0.007) | (0.023) | (0.006) | |
| did × tec | −17.2753 * | −0.4594 | ||||
| (10.383) | (1.030) | |||||
| did × fin | −2.3887 *** | −0.0257 | ||||
| (0. 680) | (0.068) | |||||
| did × env | −1.9518 *** | −0.0453 | ||||
| (0.493) | (0.049) | |||||
| _cons | 5.9210 *** | 4.7252 *** | 5.7150 *** | 3.8334*** | 3.8240 *** | 3.8283 *** |
| (0.654) | (0.692) | (0.658) | (0.065) | (0.069) | (0.065) | |
| Control | Yes | Yes | Yes | Yes | Yes | Yes |
| Year | Yes | Yes | Yes | Yes | Yes | Yes |
| City | Yes | Yes | Yes | Yes | Yes | Yes |
| Province | Yes | Yes | Yes | Yes | Yes | Yes |
| N | 4200 | 4200 | 4200 | 4200 | 4200 | 4200 |
| Variables | Lnpso2 | Lnpm | ||||
|---|---|---|---|---|---|---|
| (1) | (2) | (3) | (4) | (5) | (6) | |
| did | 0.0206 | 3.8879 *** | −0.0467 | −0.0037 | 0.2098 ** | −0.0052 |
| (0.075) | (0.955) | (0.082) | (0.008) | (0.095) | (0.009) | |
| did × edu | −0.0593 *** | −0.0024 * | ||||
| (0.013) | (0.001) | |||||
| did × con | −0.4081 *** | −0.0222 ** | ||||
| (0.094) | (0.009) | |||||
| did × att | −0.0022 * | −0.0002 * | ||||
| (0.001) | (0.000) | |||||
| _cons | 6.0835 *** | 5.0296 *** | 3.3977 *** | 3.8495 *** | 3.7909 *** | 3.7492 *** |
| (0.655) | (0.721) | (0.378) | (0.065) | (0.072) | (0.042) | |
| Control | Yes | Yes | Yes | Yes | Yes | Yes |
| Year | Yes | Yes | Yes | Yes | Yes | Yes |
| City | Yes | Yes | Yes | Yes | Yes | Yes |
| Province | Yes | Yes | Yes | Yes | Yes | Yes |
| N | 4200 | 4200 | 2760 | 4200 | 4200 | 2760 |
| Variables | Ind | Lnpso2 | Lnpm | Inn | Lnpso2 | Lnpm |
|---|---|---|---|---|---|---|
| (1) | (2) | (3) | (4) | (5) | (6) | |
| did | 0.0450 *** | −0.2322 *** | −0.0143 *** | 5.9811*** | −0.1577 *** | −0.0113 ** |
| (0.017) | (0.044) | (0.004) | (0.421) | (0.046) | (0.005) | |
| ind | −0.2985 *** | −0.0121 *** | ||||
| (0.044) | (0.004) | |||||
| inn | −0.0147 *** | −0.0006 *** | ||||
| (0.002) | (0.000) | |||||
| _cons | −0.3245 | 5.9131 *** | 3.8335 *** | 0.0009 | 6.1475 *** | 3.8429 *** |
| (0.251) | (0.649) | (0.065) | (0.001) | (0.647) | (0.065) | |
| Control | Yes | Yes | Yes | Yes | Yes | Yes |
| Year | Yes | Yes | Yes | Yes | Yes | Yes |
| City | Yes | Yes | Yes | Yes | Yes | Yes |
| Province | Yes | Yes | Yes | Yes | Yes | Yes |
| N | 4200 | 4200 | 4200 | 4200 | 4200 | 4200 |
Disclaimer/Publisher’s Note: The statements, opinions and data contained in all publications are solely those of the individual author(s) and contributor(s) and not of MDPI and/or the editor(s). MDPI and/or the editor(s) disclaim responsibility for any injury to people or property resulting from any ideas, methods, instructions or products referred to in the content. |
© 2022 by the authors. Licensee MDPI, Basel, Switzerland. This article is an open access article distributed under the terms and conditions of the Creative Commons Attribution (CC BY) license (https://creativecommons.org/licenses/by/4.0/).
Share and Cite
Li, B.; Yang, J.; Sun, W. Can Expanding Cultural Consumption Improve Urban Air Quality? An Analysis Based on China’s Cultural Consumption Pilot Policy. Int. J. Environ. Res. Public Health 2023, 20, 642. https://doi.org/10.3390/ijerph20010642
Li B, Yang J, Sun W. Can Expanding Cultural Consumption Improve Urban Air Quality? An Analysis Based on China’s Cultural Consumption Pilot Policy. International Journal of Environmental Research and Public Health. 2023; 20(1):642. https://doi.org/10.3390/ijerph20010642
Chicago/Turabian StyleLi, Bo, Jicong Yang, and Wei Sun. 2023. "Can Expanding Cultural Consumption Improve Urban Air Quality? An Analysis Based on China’s Cultural Consumption Pilot Policy" International Journal of Environmental Research and Public Health 20, no. 1: 642. https://doi.org/10.3390/ijerph20010642
APA StyleLi, B., Yang, J., & Sun, W. (2023). Can Expanding Cultural Consumption Improve Urban Air Quality? An Analysis Based on China’s Cultural Consumption Pilot Policy. International Journal of Environmental Research and Public Health, 20(1), 642. https://doi.org/10.3390/ijerph20010642
