A Regulatory Game Analysis of Smart Aging Platforms Considering Privacy Protection
Abstract
:1. Introduction
2. Literature Review
2.1. The Development and Use of Smart Aging Platforms
2.2. Privacy Protection Technology Research
2.3. Privacy Research for Smart Aging Platforms
2.4. Research on the Application of Evolutionary Game Theory
- First, it constructs a three-party evolutionary game model under the perspective of privacy protection and measures the changes in benefits, costs, and losses of the three parties from the perspective of economics, to make decisions.
- Second, in addition to analyzing the willingness of the elderly to participate in the regulation of the smart aging platform, an analysis of the privacy protection behavior of the platform service providers and an analysis of the government’s regulatory behavior are also conducted.
- Third, the stability analysis of the unilateral evolution strategy is not only performed using the replicated dynamic equations, but also the transformation of the unstable point to the stable point is analyzed by Lyapunov theory.
3. Model Building
3.1. Application Scenario
3.2. Model Assumptions and Construction
4. Stability Analysis
4.1. Stability Analysis of Unilateral Evolutionary Strategies
- (1)
- Stability analysis of elderly evolutionary strategies
- (2)
- Stability analysis of the evolutionary strategy of the platform service providers
- (3)
- Analysis of the stability of the government’s evolutionary strategy
4.2. Stability Analysis of the Evolutionary Strategy of the Tripartite System
- (1)
- Determination of the point of progressive stability
- (2)
- Stability analysis of
- (3)
- Stability analysis of
5. Simulation Analysis and System Optimization
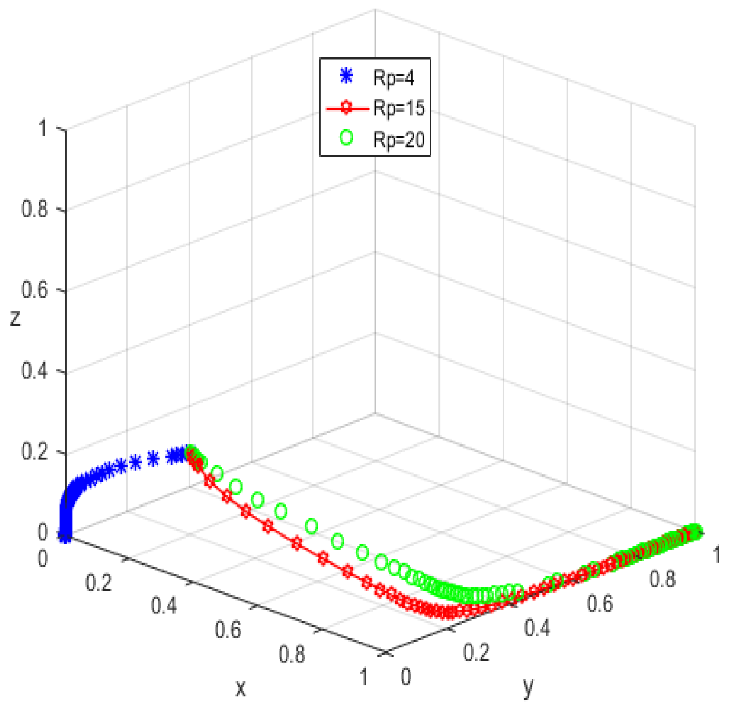
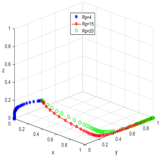
5.1. Numerical Simulation Analysis of
5.2. Numerical Simulation Analysis of
5.3. Numerical Simulation Analysis of
6. Conclusions and Suggestions
Author Contributions
Funding
Institutional Review Board Statement
Informed Consent Statement
Acknowledgments
Conflicts of Interest
References
- Chen, T.; Pan, J.; He, Y.; Wang, J. Evolutionary Game Model of Integrating Health and Care Services for Elder People. Complexity 2020, 2020, 5846794. [Google Scholar] [CrossRef]
- Wang, B.; Xu, L. Construction of the “Internet Plus” Community Smart Elderly Care Service Platform. J. Healthc. Eng. 2021, 2021, 4310648. [Google Scholar] [CrossRef] [PubMed]
- Firouzi, F.; Farahani, B.; Barzegari, M.; Daneshmand, M. AI-Driven Data Monetization: The other Face of Data in IoT-based Smart and Connected Health. IEEE Internet Things J. 2020, 9, 5581–5599. [Google Scholar] [CrossRef]
- Bao, T.; Xu, L.; Zhu, L.; Wang, L.; Li, R.; Li, T. Privacy-Preserving Collaborative Filtering Algorithm Based on Local Differential Privacy. China Commun. 2021, 18, 42–60. [Google Scholar] [CrossRef]
- Cansoy, M.; Eddy, S.; Ladegaard, I.; Schor, J.B. Homines Diversi: Heterogeneous Earner Behaviors in the Platform Economy. Sociologica 2020, 14, 143–165. [Google Scholar] [CrossRef]
- Han, J.; Fontanos, P.; Fukushi, K.; Herath, S.; Heeren, N.; Naso, V.; Cecchi, C.; Edwards, P.; Takeuchi, K. Innovation for sustainability: Toward a sustainable urban future in industrialized cities. Sustain. Sci. 2012, 7, 91–100. [Google Scholar] [CrossRef]
- Zheng, J.; Chen, J.; Zargarzadeh, H. Users’ Payment Intention considering Privacy Protection in Cloud Storage: An Evolutionary Game-Theoretic Approach. Complexity 2021, 2021, 4020784. [Google Scholar] [CrossRef]
- Chen, H.; Beaudoin, C.E.; Hong, T. Securing online privacy: An empirical test on Internet scam victimization, online privacy concerns, and privacy protection behaviors. Comput. Hum. Behav. 2017, 70, 291–302. [Google Scholar] [CrossRef]
- Xia, L.T.; Ho, C.H.; Lin, X.M. Evaluation of the elderly health examination app based on the comprehensive evaluation method of AHP-fuzzy theory. Math. Biosci. Eng. 2021, 18, 4731–4742. [Google Scholar] [CrossRef]
- Massollar, J.; Garcia, A.C.B. FenceBot: An Elderly Tracking App for Mitigating Health Risk Contacts. In Proceedings of the 2021 IEEE 24th International Conference on Computer Supported Cooperative Work in Design (CSCWD), Dalian, China, 5–7 May 2021; pp. 1009–1014. [Google Scholar]
- Lee, N.; Seaborn, K.; Hiyama, A.; Inami, M.; Hirose, M. Evaluating a Smartphone-Based Social Participation App for the Elderly. In Proceedings of the International Conference on Human Aspects of IT for the Aged Population, Las Vegas, NV, USA, 15–20 July 2018; pp. 505–517. [Google Scholar]
- Zhao, Y.; Hu, X.; Men, D. Design and Research of Health Aids Based on App in the Elderly. In Proceedings of the International Conference on Applied Human Factors and Ergonomics, Advances in Intelligent Systems and Computing, Washington, DC, USA, 24–28 July 2019; pp. 367–372. [Google Scholar]
- Cristiano, A.; Musteata, S.; De Silvestri, S.; Bellandi, V.; Ceravolo, P.; Cesari, M.; Azzolino, D.; Sanna, A.; Trojaniello, D. Older Adults’ and Clinicians’ Perspectives on a Smart Health Platform for the Aging Population: Design and Evaluation Study. JMIR Aging 2022, 5, e29623. [Google Scholar] [CrossRef]
- Rainero, I.; Summers, M.J.; Monter, M.; Bazzani, M.; Giannouli, E.; Aumayr, G.; Burin, D.; Provero, P.; Vercelli, A.E.; My, A.H.A.C. The My Active and Healthy Aging ICT platform prevents quality of life decline in older adults: A randomised controlled study. Age Ageing 2021, 50, 1261–1267. [Google Scholar] [CrossRef] [PubMed]
- Prodanoff, Z.; White-Williams, C.; Chi, H. Regulations and Standards Aware Framework for Recording of mHealth App Vulnerabilities. Int. J. E Health Med. Commun. 2021, 12, 1–16. [Google Scholar] [CrossRef]
- Small Serena, S.; Peddie, D.; Ackerley, C.; Hohl, C.M.; Balka, E. Patient Perceptions about Data Sharing & Privacy: Insights from ActionADE. Stud. Health Technol. Inform. 2017, 241, 109–114. [Google Scholar] [CrossRef]
- Lai, J.; Mu, Y.; Guo, F.; Susilo, W.; Chen, R. Fully privacy-preserving and revocable ID-based broadcast encryption for data access control in smart city. Pers. Ubiquitous Comput. 2017, 21, 855–868. [Google Scholar] [CrossRef]
- Awan, M.J.; Farooq, U.; Babar, H.M.A.; Yasin, A.; Nobanee, H.; Hussain, M.; Hakeem, O.; Zain, A.M. Real-Time DDoS Attack Detection System Using Big Data Approach. Sustainability 2021, 13, 10743. [Google Scholar] [CrossRef]
- Elahi, H.; Castiglione, A.; Wang, G.; Geman, O. A human-centered artificial intelligence approach for privacy protection of elderly App users in smart cities. Neurocomputing 2021, 444, 189–202. [Google Scholar] [CrossRef]
- Quan-Haase, A.; Ho, D. Online privacy concerns and privacy protection strategies among older adults in East York, Canada. J. Assoc. Inf. Sci. Technol. 2020, 71, 1089–1102. [Google Scholar] [CrossRef]
- Li, J.; Ma, Q.; Chan, A.H.; Man, S.S. Health monitoring through wearable technologies for older adults: Smart wearables acceptance model. Appl. Ergon. 2019, 75, 162–169. [Google Scholar] [CrossRef]
- Liu, Q. Examining individuals behavior intention of smart care for the aged services: An empirical information privacy perspective. Intell. Comput. Appl. 2020, 10, 237–239. [Google Scholar]
- He, J.; Luo, X.; Zhang, Z.; Yu, Y. Strategic Analysis of Participants in the Provision of Elderly Care Services-An Evolutionary Game Perspective. Int. J. Environ. Res. Public Health 2021, 18, 8595. [Google Scholar] [CrossRef]
- Yue, X.; Lin, Y. Effectiveness of Punishment and Operating Subsidy in Supervision of China’s Pension PPP Projects: An Evolutionary Game and Simulation Analysis. Math. Probl. Eng. 2019, 2019, 9641429. [Google Scholar] [CrossRef]
- Zhu, G.; Liu, H.; Du, X.M. Health APPs and Privacy Concerns: A Three-Entities Game-theoretic Approach. Data Anal. Knowl. Discov. 2019, 3, 93–106. [Google Scholar] [CrossRef]
- Wang, M.; You, Z. Regulation of App users’ privacy security based on three-party evolutionary game model. In Proceedings of the 2020 Management Science Informatization and Economic Innovation Development Conference (MSIEID), Guangzhou, China, 18–20 December 2020; pp. 98–101. [Google Scholar]
- Zhou, M.; Qian, P. Research on How Over-collecting APPs Protect and Use Personal Data under Government Supervision Based on Evolutionary Game. Inf. Res. 2020, 11, 8–18. [Google Scholar]
- Han, P.; Gu, L.; Zhang, J. Research on Willingness to Share Medical Data from Perspective of Privacy Protection—Based on Tripartite Evolutionary Game Analysis. J. Mod. Inf. 2021, 41, 148–158. [Google Scholar]
- Sun, P.J. Research on the Optimization Management of Cloud Privacy Strategy Based on Evolution Game. Secur. Commun. Netw. 2020, 2020, 6515328. [Google Scholar] [CrossRef]
- Leonard, P. Business-to-consumer IoT services, consumer protection and regulation. Consum. Prot. Regul. 2017, 1–9. [Google Scholar] [CrossRef]
- Pourrazavi, S.; Hashemiparast, M.; Bazargan-Hejazi, S.; Ullah, S.; Allahverdipour, H. Why older people seek health information online: A qualitative study. Adv. Gerontol. 2021, 11, 290–297. [Google Scholar] [CrossRef]
- Benoit, S.; Baker, T.L.; Bolton, R.N.; Gruber, T.; Kandampully, J. A triadic framework for collaborative consumption (CC): Motives, activities and resources & capabilities of actors. J. Bus. Res. 2017, 79, 219–227. [Google Scholar] [CrossRef] [Green Version]
- Wang, S.; Chen, Z.; Xiao, Y.; Lin, C. Consumer Privacy Protection with the Growth of AI-Empowered Online Shopping Based on the Evolutionary Game Model. Front. Public Health 2021, 9, 705777. [Google Scholar] [CrossRef]
- Sakul-Ung, P.; Smanchat, S. Towards Privacy Framework in Software Development Projects and Applications: An Integrated Framework. In Proceedings of the 2019 Research, Invention, and Innovation Congress (RI2C), Bangkok, Thailand, 11–13 December 2019; pp. 1–6. [Google Scholar]
- Wang, W.; Zhang, Q. Privacy Preservation for Context Sensing on Smartphone. IEEE/ACM Trans. Netw. 2016, 24, 3235–3247. [Google Scholar] [CrossRef]
- Zhang, Q.; Wang, L.; Geng, N. Evolutionary Game Analysis of Medical Information Sharing Based on the Government Regulation. Oper. Res. Manag. Sci. 2020, 29, 23–31. [Google Scholar]
- Song, D.; Sun, Y.; Fan, Y.; Formisano, A. An Evolutionary Game Model on Public Participation in Public-Private Partnerships. Adv. Civ. Eng. 2020, 2020, 8870757. [Google Scholar] [CrossRef]
- Mu, Q.; Wang, D.; Wang, X.N. Evolutionary Game Analysis of the Quality of Elderly-care Services Based on Public-private Partnership Supply Pattern. In Proceedings of the 2020 IEEE International Conference on Industrial Engineering and Engineering Management (IEEM), Marina Bay Sands, Singapore, 14–17 December 2020; pp. 1058–1063. [Google Scholar]
- Zhao, D.; Hao, J.; Yang, J.; Han, H. Evolutionary game analysis of three parties in sharing economy considering network externality of platform. Control. Decis. 2020, 35, 1741–1750. [Google Scholar] [CrossRef]
- Ritzberger, K.; Weibull, J.W. Evolutionary selection in normal-form games. Econometrica 1995, 63, 1371–1399. [Google Scholar] [CrossRef] [Green Version]















| Main Body | Parameters | Explanatory Notes |
|---|---|---|
| Elderly | The elderly choose to participate in the supervision of service income, . | |
| The elderly choose to participate in the supervision platform, and the loss caused by privacy leakage, . | ||
| The trust benefits brought by the government to the elderly during the high investment supervision, . | ||
| The probability of loss of privacy for platform service providers choosing high-quality protection, . | ||
| The probability of loss of privacy for platform service providers choosing low-quality protection, . | ||
| Platform service providers | The fixed income brought by elderly people’s choice of participation in supervision, . | |
| The cost of investment when choosing high-quality protection of privacy for platform service providers, . | ||
| The cost of input when platform service providers choose low-quality protection of privacy, . | ||
| Government subsidies for high investment supervision by the government and high-quality protection by service providers, . | ||
| Future benefits brought by platform service providers with the choice of high-quality protection privacy, . | ||
| Government fines for high investment supervision by the government and low-quality protection by service providers, . | ||
| The elderly choose to participate in the supervision platform, and the loss caused by privacy leakage, . | ||
| Government | The privacy probability of high investment supervision by that government and low-quality protection by service provider, . | |
| Disclosure of privacy causes the government’s credibility to decline, . | ||
| The social benefits that elderly people choose to participate in the supervision platform and the service providers protect their privacy with high quality, . | ||
| Choosing the supervision cost of high investment supervision by the government, . | ||
| Reputation loss caused by elderly people’s choice of participation in the supervision platform and low-quality protection of privacy by service providers, . |
| High-Quality | Low-Quality | High-Quality | Low-Quality | |
|---|---|---|---|---|
| high input regulation | , | , | , | , |
| , | , | , | , | |
| low input regulation | , | , | 0 | 0 |
| , | , | , | , | |
| 0 | 0 | |||
| System Balance Point | Eigenvalue 1 | Eigenvalue 2 | Eigenvalue 3 |
|---|---|---|---|
| , | , | , | |
| , | , | , | |
| , | , | , | |
| , | , | , | |
| , | , | , | |
| , | , | , | |
| , | , | , | |
| , |
| Parameters | ||||||||||||
|---|---|---|---|---|---|---|---|---|---|---|---|---|
| Numerical values | 0.6 | 0.4 | 5 | 10 | 6 | 4 | 5 | 7 | 8 | 10 | 6 | 0.5 |
| Parameters | ||||||||||||
|---|---|---|---|---|---|---|---|---|---|---|---|---|
| Numerical values | 0.6 | 0.5 | 10 | 4 | 2 | 1 | 6 | 1 | 0.5 | 1 | 9 | 0.2 |
| Parameters | ||||||||||||
|---|---|---|---|---|---|---|---|---|---|---|---|---|
| Numerical values | 0.6 | 0.5 | 10 | 4 | 2 | 1 | 6 | 1 | 0.5 | 3 | 9 | 0.2 |
Publisher’s Note: MDPI stays neutral with regard to jurisdictional claims in published maps and institutional affiliations. |
© 2022 by the authors. Licensee MDPI, Basel, Switzerland. This article is an open access article distributed under the terms and conditions of the Creative Commons Attribution (CC BY) license (https://creativecommons.org/licenses/by/4.0/).
Share and Cite
Shi, T.; Xiao, H.; Han, F.; Chen, L.; Shi, J. A Regulatory Game Analysis of Smart Aging Platforms Considering Privacy Protection. Int. J. Environ. Res. Public Health 2022, 19, 5778. https://doi.org/10.3390/ijerph19095778
Shi T, Xiao H, Han F, Chen L, Shi J. A Regulatory Game Analysis of Smart Aging Platforms Considering Privacy Protection. International Journal of Environmental Research and Public Health. 2022; 19(9):5778. https://doi.org/10.3390/ijerph19095778
Chicago/Turabian StyleShi, Tengfei, Hanjie Xiao, Fengxia Han, Lan Chen, and Jianwei Shi. 2022. "A Regulatory Game Analysis of Smart Aging Platforms Considering Privacy Protection" International Journal of Environmental Research and Public Health 19, no. 9: 5778. https://doi.org/10.3390/ijerph19095778
APA StyleShi, T., Xiao, H., Han, F., Chen, L., & Shi, J. (2022). A Regulatory Game Analysis of Smart Aging Platforms Considering Privacy Protection. International Journal of Environmental Research and Public Health, 19(9), 5778. https://doi.org/10.3390/ijerph19095778

