Characteristics of PM2.5 in an Industrial City of Northern China: Mass Concentrations, Chemical Composition, Source Apportionment, and Health Risk Assessment
Abstract
1. Introduction
2. Materials and Methods
2.1. Site Description and Sample Collection
2.2. Gravimetric and Sample Analysis
2.3. Source Apportionment Model
2.4. Health Risk Assessment Model
3. Results and Discussion
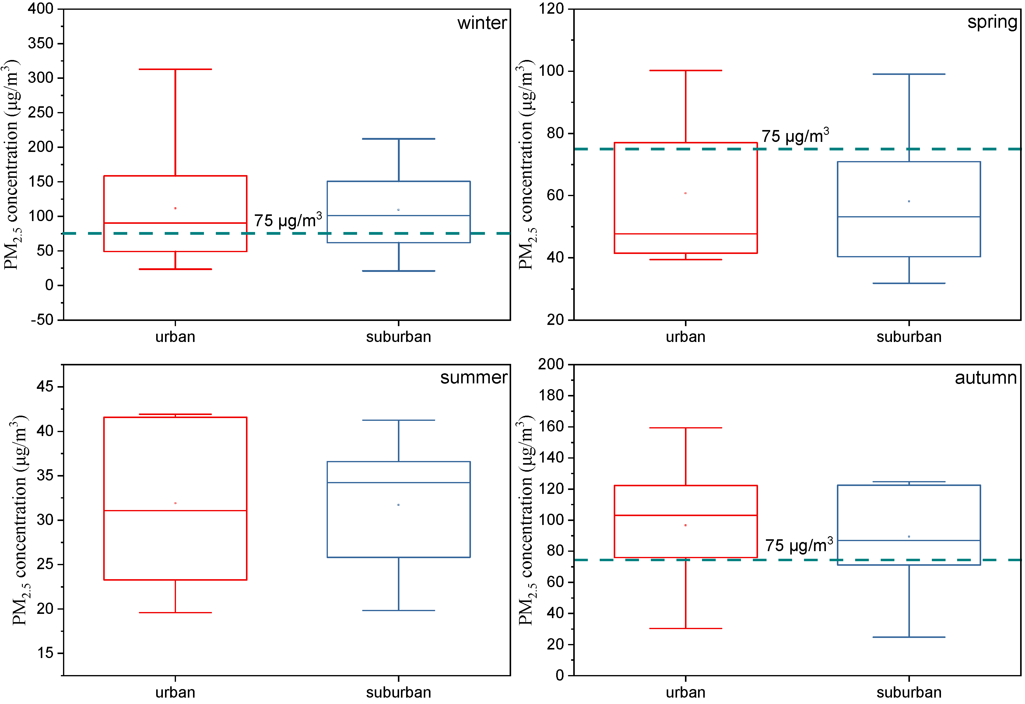
3.1. PM2.5 Mass Concentrations
3.2. Chemical Composition Levels
3.2.1. WSII Levels
3.2.2. OC and EC Levels
3.2.3. Element Levels
3.3. Source Apportionment Using CMB
3.3.1. CMB Source Profiles
3.3.2. CMB Source Apportionment
3.4. Risk Characterization
4. Conclusions
Author Contributions
Funding
Institutional Review Board Statement
Informed Consent Statement
Data Availability Statement
Acknowledgments
Conflicts of Interest
References
- Kim, I.; Lee, K.; Lee, S.; Kim, S.D. Characteristics and health effects of PM2.5 emissions from various sources in Gwangju, South Korea. Sci. Total Environ. 2019, 696, 133890. [Google Scholar] [CrossRef] [PubMed]
- Khan, M.F.; Latif, M.T.; Saw, W.H.; Amil, N.; Nadzir, M.S.M.; Sahani, M.; Tahir, N.M.; Chung, J.X. Fine particulate matter in the tropical environment: Monsoonal effects, source apportionment, and health risk assessment. Atmos. Chem. Phys. 2016, 16, 597–617. [Google Scholar] [CrossRef]
- Wang, Y.; Wang, M.; Zhang, R.; Ghan, S.J.; Lin, Y.; Hu, J.; Pan, B.; Levy, M.; Jiang, J.H.; Molina, M.J. Assessing the effects of anthropogenic aerosols on Pacific storm track using a multiscale global climate model. Proc. Natl. Acad. Sci. USA 2014, 111, 6894–6899. [Google Scholar] [CrossRef] [PubMed]
- Xu, H.-H.; Pu, J.-J.; He, J.; Liu, J.; Qi, B.; Du, R.-G. Characteristics of Atmospheric Compositions in the Background Area of Yangtze River Delta during Heavy Air Pollution Episode. Adv. Meteorol. 2016, 2016, 7240486. [Google Scholar] [CrossRef]
- Tao, J.; Zhang, L.; Ho, K.; Zhang, R.; Lin, Z.; Zhang, Z.; Lin, M.; Cao, J.; Liu, S.; Wang, G. Impact of PM2.5 chemical compositions on aerosol light scattering in Guangzhou—the largest megacity in South China. Atmos. Res. 2014, 135–136, 48–58. [Google Scholar] [CrossRef]
- Lelieveld, J.; Evans, J.S.; Fnais, M.; Giannadaki, D.; Pozzer, A. The contribution of outdoor air pollution sources to premature mortality on a global scale. Nature 2015, 525, 367–371. [Google Scholar] [CrossRef]
- Carey, I.M.; Anderson, H.R.; Atkinson, R.W.; Beevers, S.D.; Cook, D.G.; Strachan, D.P.; Dajnak, D.; Gulliver, J.; Kelly, F.J. Are noise and air pollution related to the incidence of dementia? A cohort study in London, England. BMJ Open 2018, 8, e022404. [Google Scholar] [CrossRef]
- Pope, C.A.; Dockery, D.W. Health Effects of Fine Particulate Air Pollution: Lines that Connect. J. Air Waste Manag. Assoc. 2012, 56, 709–742. [Google Scholar] [CrossRef]
- Chu, C.; Zhang, H.; Cui, S.; Han, B.; Zhou, L.; Zhang, N.; Su, X.; Niu, Y.; Chen, W.; Chen, R.; et al. Ambient PM2.5 caused depressive-like responses through Nrf2/NLRP3 signaling pathway modulating inflammation. J. Hazard Mater. 2019, 369, 180–190. [Google Scholar] [CrossRef]
- Manisalidis, I.; Stavropoulou, E.; Stavropoulos, A.; Bezirtzoglou, E. Environmental and Health Impacts of Air Pollution: A Review. Front. Public Health 2020, 8, 14. [Google Scholar] [CrossRef]
- Liu, G.; Li, Y.; Zhou, J.; Xu, J.; Yang, B. PM2.5 deregulated microRNA and inflammatory microenvironment in lung injury. Env. Toxicol Pharm. 2022, 91, 103832. [Google Scholar] [CrossRef] [PubMed]
- Hao, G.; Zuo, L.; Xiong, P.; Chen, L.; Liang, X.; Jing, C. Associations of PM2.5 and road traffic noise with mental health: Evidence from UK Biobank. Environ. Res. 2022, 207, 112221. [Google Scholar] [CrossRef] [PubMed]
- Tian, S.L.; Pan, Y.P.; Wang, Y.S. Size-resolved source apportionment of particulate matter in urban Beijing during haze and non-haze episodes. Atmos. Chem. Phys. 2016, 16, 1–19. [Google Scholar] [CrossRef]
- Yu, Q.; Chen, J.; Qin, W.; Cheng, S.; Zhang, Y.; Ahmad, M.; Ouyang, W. Characteristics and secondary formation of water-soluble organic acids in PM1, PM2.5 and PM10 in Beijing during haze episodes. Sci. Total Environ. 2019, 669, 175–184. [Google Scholar] [CrossRef] [PubMed]
- Park, M.; Joo, H.S.; Lee, K.; Jang, M.; Kim, S.D.; Kim, I.; Borlaza, L.J.S.; Lim, H.; Shin, H.; Chung, K.H.; et al. Differential toxicities of fine particulate matters from various sources. Sci. Rep. 2018, 8, 17007. [Google Scholar] [CrossRef] [PubMed]
- Yang, L.; Liu, G.; Lin, Z.; Wang, Y.; He, H.; Liu, T.; Kamp, D.W. Pro-inflammatory response and oxidative stress induced by specific components in ambient particulate matter in human bronchial epithelial cells. Environ. Toxicol. 2016, 31, 923–936. [Google Scholar] [CrossRef]
- Bell, M.L.; Ebisu, K.; Leaderer, B.P.; Gent, J.F.; Lee, H.J.; Koutrakis, P.; Wang, Y.; Dominici, F.; Peng, R.D. Associations of PM2.5 constituents and sources with hospital admissions: Analysis of four counties in Connecticut and Massachusetts (USA) for persons >/= 65 years of age. Environ. Health Perspect 2014, 122, 138–144. [Google Scholar] [CrossRef]
- Li, K.; Wang, X.; Li, L.; Wang, J.; Liu, Y.; Cheng, X.; Xu, B.; Wang, X.; Yan, P.; Li, S.; et al. Large variability of O3-precursor relationship during severe ozone polluted period in an industry-driven cluster city (Zibo) of North China Plain. J. Clean. Prod. 2021, 316, 128252. [Google Scholar] [CrossRef]
- Li, H.; Ma, Y.; Duan, F.; He, K.; Zhu, L.; Huang, T.; Kimoto, T.; Ma, X.; Ma, T.; Xu, L. Typical winter haze pollution in Zibo, an industrial city in China: Characteristics, secondary formation, and regional contribution. Environ. Pollut. 2017, 229, 339–349. [Google Scholar] [CrossRef]
- Wu, L.; Li, M.; Zhang, X.; Wang, X.; Geng, C.; Zhao, X.; Yang, W.; Yin, B. Spatial-Temporal Characteristics of Ground Ozone in Zibo City from 2016 to 2019. Res. Environ. Sci. 2021, 34, 9. [Google Scholar] [CrossRef]
- Wu, L.; Li, L.; Zhang, X.; Wang, X.; Ma, Y.; Geng, C.; Xu, B. Characteristics of Atmospheric Particulate Matters during Winter Sandstorm Period in 2018 in Zibo City. Res. Environ. Sci. 2021, 34, 11. [Google Scholar] [CrossRef]
- Gan, H.; Xu, B.; Zhang, X.; Geng, C.; Yang, W.; Wang, X.; Yin, B. Characteristics and Health Risk Assessment of Atmospheric VOCs in a Chemical Industrial Park of Zibo in Summer. Res. Environ. Sci. 2022, 35, 10. [Google Scholar] [CrossRef]
- Dai, J.; Yu, C.; Zhang, M. Distribution Characteristics and Sources of Heavy Metals in Urban Atmospheric Particulate Matter in Zibo City. J. Jilin Univ. 2018, 48, 1201–1211. [Google Scholar] [CrossRef]
- Liu, X.; Wang, D.; Meng, C. Pollution Status and Source Analysis of PM2.5 in Zibo City, 2019. Mod. Prev. Med. 2021, 48, 23–26+43. Available online: https://kns.cnki.net/kcms/detail/detail.aspx?FileName=XDYF202101006&DbName=DKFX2021 (accessed on 10 January 2021).
- Luo, Y.; Zhou, X.; Zhang, J.; Xiao, Y.; Wang, Z.; Zhou, Y.; Wang, W. PM2.5 pollution in a petrochemical industry city of northern China: Seasonal variation and source apportionment. Atmos. Res. 2018, 212, 285–295. [Google Scholar] [CrossRef]
- HJ 656-2013; Technical Specifications for Gravimetric Measurement Methods for PM2.5 in Ambient Air; Ministry of Environmental Protection (MEP) of the People’s Republic of China: Beijing, China, 2013.
- Li, M.; Wu, L.; Zhang, X.; Wang, X.; Bai, W.; Ming, J.; Geng, C.; Yang, W. Comparison of PM2.5 Chemical Compositions during Haze and Non-haze Days in a Heavy Industrial City in North China. Aerosol Air Qual. Res. 2020, 20, 1950–1960. [Google Scholar] [CrossRef]
- Yao, L.; Yang, L.; Yuan, Q.; Yan, C.; Dong, C.; Meng, C.; Sui, X.; Yang, F.; Lu, Y.; Wang, W. Sources apportionment of PM2.5 in a background site in the North China Plain. Sci. Total Environ. 2016, 541, 590–598. [Google Scholar] [CrossRef]
- Kong, S.; Han, B.; Bai, Z.; Chen, L.; Shi, J.; Xu, Z. Receptor modeling of PM2.5, PM10 and TSP in different seasons and long-range transport analysis at a coastal site of Tianjin, China. Sci. Total Environ. 2010, 408, 4681–4694. [Google Scholar] [CrossRef]
- Norris, G.; Duvall, R.; Brown, S.; Bai, S. EPA Positive Matrix Factorization (PMF) 5.0 Fundamentals and User Guide; U.S. Environmental Protection Agency: Washington, DC, USA, 2014.
- Chen, C.R.; Lai, H.C.; Liao, M.I.; Hsiao, M.C.; Ma, H.W. Health risk assessment of trace elements of ambient PM2.5 under monsoon patterns. Chemosphere 2021, 264, 128462. [Google Scholar] [CrossRef]
- Zhao, X.; Wang, X.; Zhu, Y.; Yang, W.; Ren, L.; Bai, Z. Characterization of Chemical Composition Mass Balance and Source Appointment of Ambient PM2.5 in Xinzhou City. Chin. J. Environ. Eng. 2017, 11, 4660–4668. Available online: https://kns.cnki.net/kcms/detail/detail.aspx?FileName=HJJZ201708030&DbName=CJFQ2017 (accessed on 5 August 2017).
- Gupta, A.K.; Karar, K.; Srivastava, A. Chemical mass balance source apportionment of PM10 and TSP in residential and industrial sites of an urban region of Kolkata, India. J. Hazard. Mater. 2007, 142, 279–287. [Google Scholar] [CrossRef] [PubMed]
- Ali, M.U.; Liu, G.; Yousaf, B.; Abbas, Q.; Ullah, H.; Munir, M.A.M.; Fu, B. Pollution characteristics and human health risks of potentially (eco)toxic elements (PTEs) in road dust from metropolitan area of Hefei, China. Chemosphere 2017, 181, 111–121. [Google Scholar] [CrossRef] [PubMed]
- EPA. Risk Assessment Guidance for Superfund (RAGS): Part F; U.S. Environmental Protection Agency: Washington, DC, USA, 2011.
- Zhou, Q.; Zheng, N.; Liu, J.; Wang, Y.; Sun, C.; Liu, Q.; Wang, H.; Zhang, J. Residents health risk of Pb, Cd and Cu exposure to street dust based on different particle sizes around zinc smelting plant, Northeast of China. Environ. Geochem. Health 2015, 37, 207–220. [Google Scholar] [CrossRef] [PubMed]
- Ferreira-Baptista, L.; De Miguel, E. Geochemistry and Risk Assessment of Street Dust in Luanda, Angola: A Tropical Urban Environment. Atmos. Environ. 2005, 39, 4501–4512. [Google Scholar] [CrossRef]
- EPA. IRIS Assessments. Available online: https://iris.epa.gov/AtoZ/?list_type=alpha (accessed on 1 January 2022).
- Dahmardeh Behrooz, R.; Kaskaoutis, D.G.; Grivas, G.; Mihalopoulos, N. Human health risk assessment for toxic elements in the extreme ambient dust conditions observed in Sistan, Iran. Chemosphere 2021, 262, 127835. [Google Scholar] [CrossRef]
- Hsu, C.Y.; Chiang, H.C.; Lin, S.L.; Chen, M.J.; Lin, T.Y.; Chen, Y.C. Elemental characterization and source apportionment of PM10 and PM2.5 in the western coastal area of central Taiwan. Sci. Total Environ. 2016, 541, 1139–1150. [Google Scholar] [CrossRef] [PubMed]
- Zhao, X.; Duan, X.; Wang, B. Environmental Exposure Related Activity Patterns Survey of Chinese Population (Children); Ministry of Environmental Protection (MEP) of the People’s Republic of China: Beijing, China, 2016.
- Duan, X. Report of Environmental Exposure Related Activity Patterns Research of Chinese Population; Ministry of Environmental Protection (MEP) of the People’s Republic of China: Beijing, China, 2013.
- EPA, U.S. Exposure Factors Handbook 2011 Edition (Final Report); U.S. Environmental Protection Agency: Washington, DC, USA, 2011.
- GB 3095-2012; Ambient Air Quality Standards. Ministry of Environmental Protection (MEP) of the People’s Republic of China: Beijing, China, 2012.
- WHO. Ambient (Outdoor) Air Pollution. Available online: https://www.who.int/news-room/fact-sheets/detail/ambient-(outdoor)-air-quality-and-health (accessed on 1 January 2022).
- Li, Q.; Zhang, H.; Jin, X.; Cai, X.; Song, Y. Mechanism of haze pollution in summer and its difference with winter in the North China Plain. Sci. Total Environ. 2022, 806, 150625. [Google Scholar] [CrossRef]
- Peng, J.; Hu, M.; Shang, D.; Wu, Z.; Du, Z.; Tan, T.; Wang, Y.; Zhang, F.; Zhang, R. Explosive Secondary Aerosol Formation during Severe Haze in the North China Plain. Environ. Sci. Technol. 2021, 55, 2189–2207. [Google Scholar] [CrossRef]
- Arimoto, R.; Duce, R.A.; Savoie, D.L.; Prospero, J.M.; Talbot, R.; Cullen, J.D.; Tomza, U.; Lewis, N.F.; Ray, B.J. Relationships among aerosol constituents from Asia and the North Pacific during PEM-West A. J. Geophys. Res. Atmos. 1996, 101, 2011–2023. [Google Scholar] [CrossRef]
- Huebert, B.J.; Wang, M.X.; Wei-Xiu, L. Atmospheric nitrate, sulfate, ammonium and calcium concentrations in China. Tellus B 1988, 40, 260–269. [Google Scholar] [CrossRef][Green Version]
- Wang, X.; Wei, W.; Cheng, S.; Yao, S.; Zhang, H.; Zhang, C. Characteristics of PM2.5 and SNA components and meteorological factors impact on air pollution through 2013–2017 in Beijing, China. Atmos. Pollut. Res. 2019, 10, 1976–1984. [Google Scholar] [CrossRef]
- Ye, Z.; Liu, J.; Gu, A.; Feng, F.; Liu, Y.; Bi, C.; Xu, J.; Li, L.; Chen, H.; Chen, Y.; et al. Chemical characterization of fine particulate matter in Changzhou, China, and source apportionment with offline aerosol mass spectrometry. Atmos. Chem. Phys. 2017, 17, 2573–2592. [Google Scholar] [CrossRef]
- Xiong, Y.; Zhou, J.; Schauer, J.J.; Yu, W.; Hu, Y. Seasonal and spatial differences in source contributions to PM2.5 in Wuhan, China. Sci. Total Environ. 2016, 577, 155–165. [Google Scholar] [CrossRef] [PubMed]
- Jiang, N.; Yin, S.; Guo, Y.; Li, J.; Kang, P.; Zhang, R.; Tang, X. Characteristics of mass concentration, chemical composition, source apportionment of PM 2.5 and PM 10 and health risk assessment in the emerging megacity in China. Atmos. Pollut. Res. 2018, 9, 309–321. [Google Scholar] [CrossRef]
- Li, H.; Cheng, J.; Zhang, Q.; Zheng, B.; Zhang, Y.; Zheng, G.; He, K. Rapid transition in winter aerosol composition in Beijing from 2014 to 2017: Response to clean air actions. Atmos. Chem. Phys. 2019, 19, 11485–11499. [Google Scholar] [CrossRef]
- Liu, Y.; Xing, J.; Wang, S.; Fu, X.; Zheng, H. Source-specific speciation profiles of PM2.5 for heavy metals and their anthropogenic emissions in China. Environ. Pollut. 2018, 239, 544–553. [Google Scholar] [CrossRef]
- Hulskotte, J.H.J.; Roskam, G.D.; Denier van der Gon, H.A.C. Elemental composition of current automotive braking materials and derived air emission factors. Atmos. Environ. 2014, 99, 436–445. [Google Scholar] [CrossRef]
- De Silva, S.; Ball, A.S.; Huynh, T.; Reichman, S.M. Metal accumulation in roadside soil in Melbourne, Australia: Effect of road age, traffic density and vehicular speed. Environ. Pollut. 2016, 208, 102–109. [Google Scholar] [CrossRef]
- Jiang, P.; Zhong, X.; Li, L. On-road vehicle emission inventory and its spatio-temporal variations in North China Plain. Environ. Pollut. 2020, 267, 115639. [Google Scholar] [CrossRef]
- Cong, Z.; Kang, S.; Zhang, Y.; Li, X. Atmospheric wet deposition of trace elements to central Tibetan Plateau. Appl. Geochem. 2010, 25, 1415–1421. [Google Scholar] [CrossRef]
- Zhao, S.; Tian, H.; Luo, L.; Liu, H.; Wu, B.; Liu, S.; Bai, X.; Liu, W.; Liu, X.; Wu, Y.; et al. Temporal variation characteristics and source apportionment of metal elements in PM2.5 in urban Beijing during 2018–2019. Environ. Pollut. 2021, 268, 115856. [Google Scholar] [CrossRef] [PubMed]
- Kuhn, N.J. Erodibility of soil and organic matter: Independence of organic matter resistance to interrill erosion. Earth Surf. Processes Landf. 2007, 32, 794–802. [Google Scholar] [CrossRef]
- Han, J.; Han, B.; Li, P.; Kong, S.; Bai, Z.; Han, D.; Dou, X.; Zhao, X. Chemical Characterizations of PM10 Profiles for Major Emission Sources in Xining, Northwestern China. Aerosol Air Qual. Res. 2014, 14, 1017–1027. [Google Scholar] [CrossRef]
- Dhinasekaran, D.; Soundharraj, P.; Jagannathan, M.; Rajendran, A.R.; Rajendran, S. Hybrid ZnO nanostructures modified graphite electrode as an efficient urea sensor for environmental pollution monitoring. Chemosphere 2022, 296, 133918. [Google Scholar] [CrossRef] [PubMed]
- Papučová, I.; Plško, A.; Pagáčová, J. Corrosion Layers on the Glass Surface of Na2O-K2O-CaO-ZrO2-SiO2 System. Procedia Eng. 2016, 136, 287–293. [Google Scholar] [CrossRef]
- Chen, T.; Chu, B.; Ma, Q.; Zhang, P.; Liu, J.; He, H. Effect of relative humidity on SOA formation from aromatic hydrocarbons: Implications from the evolution of gas- and particle-phase species. Sci. Total Environ. 2021, 773, 145015. [Google Scholar] [CrossRef]
- Gao, J.; Wang, K.; Wang, Y.; Liu, S.; Zhu, C.; Hao, J.; Liu, H.; Hua, S.; Tian, H. Temporal-spatial characteristics and source apportionment of PM2.5 as well as its associated chemical species in the Beijing-Tianjin-Hebei region of China. Environ. Pollut. 2018, 233, 714–724. [Google Scholar] [CrossRef]
- Housing and Urban-Rural Development Bureau. Implementation Plan for the Special Treatment of Dust Pollution in the Construction Field of Zibo City. Available online: http://js.zibo.gov.cn/gongkai/channel_c_5f9fa491ab327f36e4c1305d_n_1605682494.016/doc_5fb4744399d584448a0dcf0a.html (accessed on 1 January 2022).
- Liu, X.; Ouyang, W.; Shu, Y.; Tian, Y.; Feng, Y.; Zhang, T.; Chen, W. Incorporating bioaccessibility into health risk assessment of heavy metals in particulate matter originated from different sources of atmospheric pollution. Environ. Pollut. 2019, 254, 113113. [Google Scholar] [CrossRef]








| Sampling Duration | Sampling Site | R2 | CHI2 | DF | Percentage of Explained Mass to Sample Total Mass |
|---|---|---|---|---|---|
| Winter | urban (n = 15) | 0.94 | 0.39 | 5 | 83.9 |
| suburban (n = 15) | 0.89 | 0.82 | 5 | 83.0 | |
| Spring | urban (n = 10) | 0.88 | 1.06 | 8 | 82.7 |
| suburban (n = 10) | 0.93 | 0.69 | 7 | 88.4 | |
| Summer | urban (n = 10) | 0.94 | 1.57 | 5 | 84.1 |
| suburban (n = 10) | 0.83 | 1.48 | 8 | 80.7 | |
| Autumn | urban (n = 10) | 0.98 | 0.24 | 5 | 82.3 |
| suburban (n = 10) | 0.94 | 0.65 | 5 | 84.4 | |
| Annual | urban (n = 10) | 0.93 | 0.34 | 5 | 82.8 |
| suburban (n = 10) | 0.93 | 0.39 | 5 | 87.3 |
| Parameter | Definition | Unit | Value | Reference | |
|---|---|---|---|---|---|
| Children | Adult | ||||
| C | Exposure-point concentration | mg kg−1 | Present study a | ||
| InhR | Inhalation rate | m3 day−1 | 9.0 | 16.1 | Refs. [41,42] |
| EF | Exposure frequency | day year−1 | 350 | 350 | Ref. [34] |
| ED | Exposure duration | year | 6 | 24 | Ref. [34] |
| PEF | Particle emission factor | m3 kg−1 | 1.36 × 109 | 1.36 × 109 | Ref. [34] |
| BW | Average body weight | kg | 20.5 | 65.0 | Refs. [41,42] |
| AT | Averaging time | day | 365 × ED b 365 × 78 c | 365 × ED b 365 × 78 c | Ref. [43] |
| Element | RfD | SF |
|---|---|---|
| As | 1.51 × 101 | |
| Ba | 1.43 × 10−4 | |
| Cd | 6.30 | |
| Co | 5.71 × 10−6 | 9.80 |
| Cr | 2.86 × 10−5 | 4.20 × 101 |
| Mn | 1.43 × 10−5 | |
| Ni | 8.40 × 10−1 |
| Winter n = 15 | Spring n = 10 | Summer n = 10 | Autumn n = 10 | Annual n = 45 | ||||||
|---|---|---|---|---|---|---|---|---|---|---|
| Urban | Mean | SD | Mean | SD | Mean | SD | Mean | SD | Mean | SD |
| PM2.5 (μg/m3) | 112 | ±75 | 61 | ±23 | 32 | ±8 | 97 | ±39 | 79 | ±58 |
| WSIIs (μg/m3) | 59.1 | ±46.8 | 31.6 | ±14.1 | 14.8 | ±4.9 | 54.6 | ±23.3 | 42.2 | ±35.0 |
| Cl− (μg/m3) | 4.5 | ±2.4 | 1.4 | ±1.2 | 0.1 | ±0.1 | 1.8 | ±0.9 | 2.2 | ±2.3 |
| Ratios | ||||||||||
| OC/EC | 2.7 | ±0.3 | 2.6 | ±1.2 | 2.0 | ±0.3 | 1.9 | ±0.2 | 2.3 | ±0.7 |
| NO3−/SO42− | 2.5 | ±0.9 | 2.2 | ±1.2 | 0.5 | ±0.3 | 3.9 | ±1.6 | 2.3 | ±1.6 |
| WSIIs/PM2.5 (%) | 49 | ±10 | 51 | ±7 | 46 | ±5 | 56 | ±5 | 50 | ±8 |
| SNA/PM2.5 (%) | 42 | ±11 | 46 | ±6 | 39 | ±6 | 51 | ±8 | 44 | ±9 |
| OC/PM2.5 (%) | 19 | ±4 | 13 | ±5 | 16 | ±4 | 10 | ±2 | 15 | ±5 |
| EC/PM2.5 (%) | 7 | ±2 | 6 | ±3 | 8 | ±2 | 5 | ±1 | 7 | ±2 |
| Winter n = 15 | Spring n = 10 | Summer n = 10 | Autumn n = 10 | Annual n = 45 | ||||||
| Suburban | Mean | SD | Mean | SD | Mean | SD | Mean | SD | Mean | SD |
| PM2.5 (μg/m3) | 109 | ±60 | 58 | ±22 | 32 | ±7 | 89 | ±30 | 76 | ±49 |
| WSIIs (μg/m3) | 59.2 | ±39.3 | 37.2 | ±19.3 | 17.3 | ±4.0 | 54.7 | ±22.1 | 44.0 | ±31.3 |
| Cl− (μg/m3) | 3.3 | ±1.2 | 1.8 | ±2.1 | 0.4 | ±0.2 | 1.3 | ±0.7 | 1.9 | ±1.7 |
| Ratios | ||||||||||
| OC/EC | 2.5 | ±0.5 | 3.4 | ±1.3 | 1.9 | ±0.4 | 2.0 | ±0.7 | 2.4 | ±1.0 |
| NO3−/SO42− | 2.5 | ±0.8 | 2.7 | ±1.3 | 0.8 | ±0.4 | 4.2 | ±1.7 | 2.5 | ±1.6 |
| WSIIs/PM2.5 (%) | 52 | ±9 | 62 | ±16 | 54 | ±7 | 60 | ±6 | 56 | ±11 |
| SNA/PM2.5 (%) | 46 | ±11 | 53 | ±10 | 48 | ±8 | 56 | ±7 | 50 | ±10 |
| OC/PM2.5 (%) | 20 | ±6 | 15 | ±3 | 13 | ±4 | 11 | ±3 | 15 | ±6 |
| EC/PM2.5 (%) | 8 | ±3 | 5 | ±1 | 7 | ±2 | 6 | ±2 | 7 | ±3 |
| Sampling Duration | Sampling Site | Percentage Contribution of Each Source Type | |||||||||
|---|---|---|---|---|---|---|---|---|---|---|---|
| CD | CB | GP | AS | GM | IS | TE | SIA | SOA | Others | ||
| 8–22 January (winter) | urban | 6.4 | 2.9 | 2.7 | 1.7 | 1.5 | 1.61 | 26.0 | 43.8 | 12.6 | 0.8 |
| suburban | 6.1 | 2.6 | 1.3 | 1.1 | 1.2 | 1.4 | 22.5 | 45.4 | 13.4 | 5.0 | |
| 16–25 April (spring) | urban | 13.6 | 2.1 | 2.2 | 0.8 | 1.2 | 1.9 | 18.8 | 42.2 | 8.2 | 9.0 |
| suburban | 7.2 | 1.5 | 2.3 | 0.3 | 0.6 | 0.9 | 14.5 | 52.5 | 10.9 | 9.4 | |
| 30 July–8 August (summer) | urban | 10.1 | 1.8 | 1.8 | 1.6 | 1.8 | 2.2 | 27.8 | 34.8 | 9.9 | 8.2 |
| suburban | 6.6 | 1.2 | 1.1 | 1.1 | 1.0 | 1.3 | 25.7 | 35.8 | 6.8 | 19.4 | |
| 16–25 October (autumn) | urban | 5.8 | 1.9 | 1.9 | 1.3 | 1.5 | 1.5 | 24.4 | 46.3 | 5.5 | 9.9 |
| suburban | 4.6 | 1.9 | 2.1 | 0.4 | 1.0 | 1.4 | 23.1 | 51.4 | 7.3 | 6.7 | |
| Annual | urban | 7.8 | 2.3 | 2.2 | 1.4 | 1.8 | 0.9 | 24.0 | 43.3 | 9.8 | 6.4 |
| suburban | 5.6 | 1.6 | 1.9 | 0.7 | 1.0 | 1.2 | 20.5 | 49.4 | 10.6 | 7.5 | |
| Non-Carcinogenic Risk: Hazard Quotient (HQ) of Each Heavy Metal and Hazard Index (HI) | ||||||||||
|---|---|---|---|---|---|---|---|---|---|---|
| Adults | Children | |||||||||
| CD | CB | GP | GM | TE | CD | CB | GP | GM | TE | |
| Urban site | ||||||||||
| HQCr | 1.72 × 10−3 | 2.74 × 10−3 | 4.46 × 10−3 | 0.00 | 4.38 × 10−2 | 3.05 × 10−3 | 4.85 × 10−3 | 7.90 × 10−3 | 0.00 | 7.77 × 10−2 |
| HQMn | 1.20 | 2.18 × 10−1 | 2.83 × 10−1 | 0.00 | 3.70 × 10−1 | 2.12 | 3.86 × 10−1 | 5.02 × 10−1 | 0.00 | 6.57 × 10−1 |
| HQCo | 7.36 × 10−3 | 6.55 × 10−3 | 7.97 × 10−3 | 0.00 | 5.12 × 10−3 | 1.30 × 10−2 | 1.16 × 10−2 | 1.41 × 10−2 | 0.00 | 9.08 × 10−3 |
| HQBa | 4.94 × 10−2 | 1.31 × 10−3 | 3.92 × 10−3 | 0.00 | 1.92 × 10−2 | 8.76 × 10−2 | 2.32 × 10−3 | 6.95 × 10−3 | 0.00 | 3.40 × 10−2 |
| HI | 1.26 | 2.28 × 10−1 | 3.00 × 10−1 | 0.00 | 4.39 × 10−1 | 2.23 | 4.05 × 10−1 | 5.31 × 10−1 | 0.00 | 7.77 × 10−1 |
| Suburban site | ||||||||||
| HQCr | 8.28 × 10−4 | 2.99 × 10−3 | 3.06 × 10−3 | 3.33 × 10−3 | 4.54 × 10−2 | 1.47 × 10−3 | 5.31 × 10−3 | 5.42 × 10−3 | 5.91 × 10−3 | 8.05 × 10−2 |
| HQMn | 6.36 × 10−1 | 2.70 × 10−1 | 2.22 × 10−1 | 9.53 × 10−2 | 4.29 × 10−1 | 1.13 | 4.79 × 10−1 | 3.94 × 10−1 | 1.69 × 10−1 | 7.60 × 10−1 |
| HQCo | 2.17 × 10−3 | 4.37 × 10−3 | 3.35 × 10−3 | 8.69 × 10−4 | 3.26 × 10−3 | 3.85 × 10−3 | 7.75 × 10−3 | 5.95 × 10−3 | 1.54 × 10−3 | 5.78 × 10−3 |
| HQBa | 8.04 × 10−3 | 4.42 × 10−4 | 8.97 × 10−4 | 1.47 × 10−4 | 6.72 × 10−3 | 1.43 × 10−2 | 7.83 × 10−4 | 1.59 × 10−3 | 2.61 × 10−4 | 1.19 × 10−2 |
| HI | 6.47 × 10−1 | 2.78 × 10−1 | 2.30 × 10−1 | 9.97 × 10−2 | 4.84 × 10−1 | 1.15 | 4.93 × 10−1 | 4.07 × 10−1 | 1.77 × 10−1 | 8.59 × 10−1 |
| Carcinogenic Risk: Carcinogenic Risk (RIi) of Each Heavy Metal and Total Carcinogenic Risk (RI) | ||||||||||
| Urban Site | Suburban Site | |||||||||
| CD | CB | GP | GM | TE | CD | CB | GP | GM | TE | |
| RICr | 2.62 × 10−9 | 4.17 × 10−9 | 6.79 × 10−9 | 0.00 | 6.68 × 10−8 | 1.26 × 10−9 | 4.56 × 10−9 | 4.66 × 10−9 | 5.08 × 10−9 | 6.92 × 10−8 |
| RICo | 5.22 × 10−10 | 4.65 × 10−10 | 5.66 × 10−10 | 0.00 | 3.64 × 10−10 | 1.54 × 10−10 | 3.10 × 10−10 | 2.38 × 10−10 | 6.17 × 10−11 | 2.31 × 10−10 |
| RINi | 3.18 × 10−10 | 1.29 × 10−9 | 1.35 × 10−9 | 0.00 | 4.98 × 10−10 | 1.50 × 10−10 | 1.37 × 10−9 | 9.04 × 10−10 | 3.14 × 10−10 | 5.05 × 10−10 |
| RIAs | 2.66 × 10−10 | 5.46 × 10−10 | 7.23 × 10−10 | 0.00 | 9.15 × 10−8 | 8.50 × 10−11 | 3.91 × 10−10 | 3.29 × 10−10 | 6.06 × 10−10 | 6.30 × 10−8 |
| RICd | 3.45 × 10−10 | 2.30 × 10−10 | 1.08 × 10−8 | 0.00 | 9.21 × 10−10 | 1.11 × 10−10 | 1.34 × 10−10 | 4.08 × 10−9 | 3.12 × 10−10 | 4.90 × 10−10 |
| RI | 4.07 × 10−9 | 6.70 × 10−9 | 2.03 × 10−8 | 0.00 | 1.60 × 10−7 | 1.76 × 10−9 | 6.77 × 10−9 | 1.02 × 10−8 | 6.37 × 10−9 | 1.33 × 10−7 |
Publisher’s Note: MDPI stays neutral with regard to jurisdictional claims in published maps and institutional affiliations. |
© 2022 by the authors. Licensee MDPI, Basel, Switzerland. This article is an open access article distributed under the terms and conditions of the Creative Commons Attribution (CC BY) license (https://creativecommons.org/licenses/by/4.0/).
Share and Cite
Bai, W.; Zhao, X.; Yin, B.; Guo, L.; Zhang, W.; Wang, X.; Yang, W. Characteristics of PM2.5 in an Industrial City of Northern China: Mass Concentrations, Chemical Composition, Source Apportionment, and Health Risk Assessment. Int. J. Environ. Res. Public Health 2022, 19, 5443. https://doi.org/10.3390/ijerph19095443
Bai W, Zhao X, Yin B, Guo L, Zhang W, Wang X, Yang W. Characteristics of PM2.5 in an Industrial City of Northern China: Mass Concentrations, Chemical Composition, Source Apportionment, and Health Risk Assessment. International Journal of Environmental Research and Public Health. 2022; 19(9):5443. https://doi.org/10.3390/ijerph19095443
Chicago/Turabian StyleBai, Wenyu, Xueyan Zhao, Baohui Yin, Liyao Guo, Wenge Zhang, Xinhua Wang, and Wen Yang. 2022. "Characteristics of PM2.5 in an Industrial City of Northern China: Mass Concentrations, Chemical Composition, Source Apportionment, and Health Risk Assessment" International Journal of Environmental Research and Public Health 19, no. 9: 5443. https://doi.org/10.3390/ijerph19095443
APA StyleBai, W., Zhao, X., Yin, B., Guo, L., Zhang, W., Wang, X., & Yang, W. (2022). Characteristics of PM2.5 in an Industrial City of Northern China: Mass Concentrations, Chemical Composition, Source Apportionment, and Health Risk Assessment. International Journal of Environmental Research and Public Health, 19(9), 5443. https://doi.org/10.3390/ijerph19095443

