Promotion Policies for Electric Vehicle Diffusion in China Considering Dynamic Consumer Preferences: A Network-Based Evolutionary Analysis
Abstract
:1. Introduction
2. Literature Review
2.1. The Impact of Policies on Electric Vehicle Diffusion
2.2. Consumer Preference
2.3. The Network-Based Evolutionary Game
2.4. The Gaps
3. Methods
3.1. Problem Description
3.2. Modeling Assumptions
- There are manufacturers in the automobile market with two pure strategies that are faced with strategic decisions of producing EVs or ICEVs. The initial EV manufacturer proportion is , while the ICEV manufacturer proportion is . All the manufacturers are limited rationality and make decisions independently and synchronously.
- The different strategic decisions adopted by manufacturers will have different carbon-reduction rates, , and carbon abatement costs, . We assume a quadratic relationship between carbon-reduction rate and carbon-abatement cost, i.e., where is the cost coefficient of abatement, and a similar setting is widely used by scholars.
- The manufacturer agents are embedded in a complex social network, with nodes representing manufacturers and edges representing linkages between manufacturers. Decision and payoff information is shared among connected nodes in the manufacturer’s network.
- Manufacturers of the same strategic decision produce homogeneous automotive products. The market demand for EVs and ICEVs is supplied evenly by manufacturers producing EVs and ICEVs, respectively.
- Automotive products have a lifespan, , and consumers need to buy a new EV or ICEVs after this period of ownership. This process is influenced by the maturity of EV technology.
- The size of consumers in the market is . Consumers are divided into two categories: those who choose EVs or those who choose ICEVs, and the initial ratios are denoted by and 1 − , respectively. Each consumer does not own more than one vehicle at each moment.
3.3. The Network-Based Evolutionary Game Model
3.4. The Dynamic Consumer Preference
4. Simulation and Discussion
4.1. Parameter Initialization Setting
4.2. The Impact of Supply-Side Policies on the Diffusion of EVs
4.2.1. The Impact of Carbon Tax Policy on the Diffusion of EVs
4.2.2. The Impact of Production Subsidy Policy on the Diffusion of EVs
4.3. The Impact of Demand-Side Policies on the Diffusion of EVs
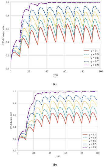
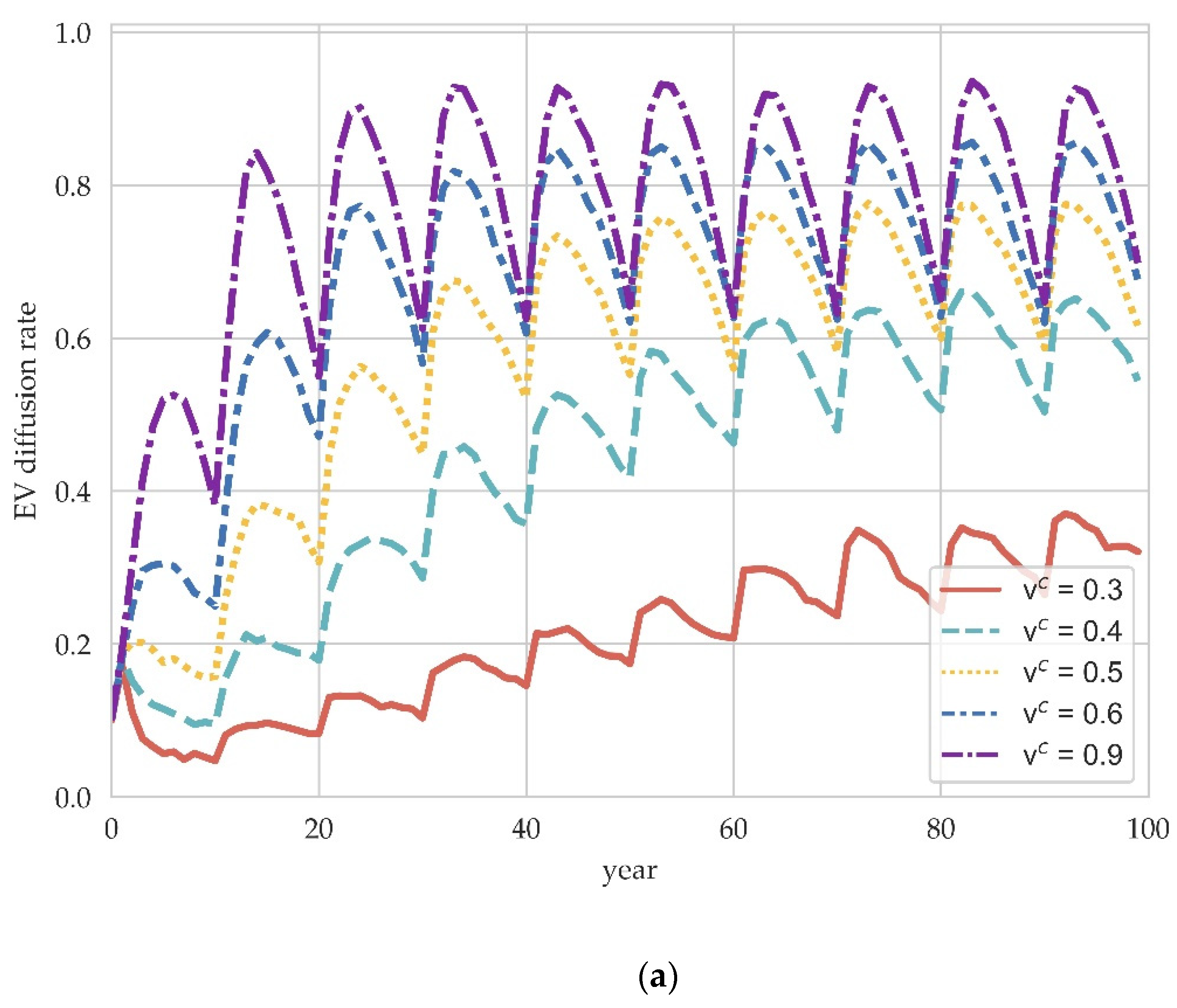
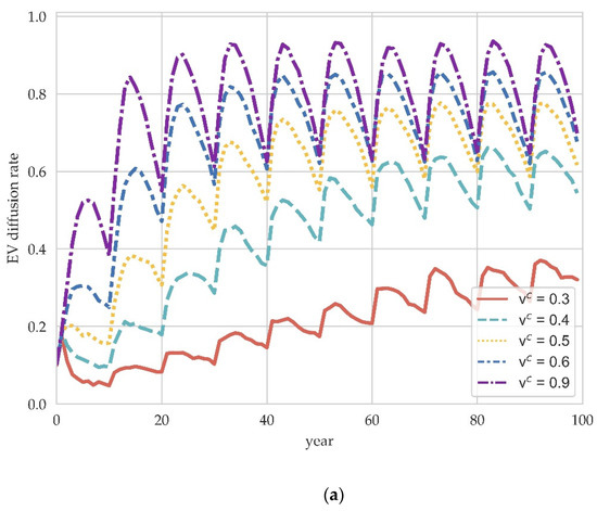
4.3.1. The Impact of Purchase Subsidy Policy on the Diffusion of EVs
4.3.2. The Impact of Information Policy on the Diffusion of EVs
5. Conclusions
- The effect of EV promotion policies is sensitive to the size of the network. The increase in the number of manufacturers in the network reduces the magnitude of periodic fluctuations in EV diffusion rates.
- Both carbon tax policy and production subsidy policy acting on manufacturers can steadily contribute to maintaining a higher level of EV diffusion in equilibrium. However, unlike the effectiveness of production subsidies in the whole diffusion process, carbon tax policy has some inhibiting effects in the phase of rapid diffusion.
- Demand-side purchase subsidy policy is critical to EV diffusion. Especially in the initial stage of diffusion, implementing the purchase subsidy policy to create market demand is a more appropriate promotion policy. Attention should also be paid to the greater uncertainty of purchase subsidy policies due to the complexity of the economic system. The government’s promotion policy package needs to be adapted and changed according to the expected diffusion targets and the current diffusion stage.
- The impact of information policy on EV diffusion is pronounced, but its policy effects are longer-term and time-lagged. A long-enough horizon of implementation is needed to ensure the effectiveness of the information policy.
Author Contributions
Funding
Institutional Review Board Statement
Informed Consent Statement
Conflicts of Interest
References
- Li, J.; Liang, M.; Cheng, W.; Wang, S. Life cycle cost of conventional, battery electric, and fuel cell electric vehicles considering traffic and environmental policies in China. Int. J. Hydrogen Energy 2021, 46, 9553–9566. [Google Scholar] [CrossRef]
- Lu, T.; Yao, E.; Jin, F.; Yang, Y. Analysis of incentive policies for electric vehicle adoptions after the abolishment of purchase subsidy policy. Energy 2022, 239, 122136. [Google Scholar] [CrossRef]
- Kumar, R.R.; Guha, P.; Chakraborty, A. Comparative assessment and selection of electric vehicle diffusion models: A global outlook. Energy 2021, 238, 121932. [Google Scholar] [CrossRef]
- Li, J.; Jiao, J.; Tang, Y. An evolutionary analysis on the effect of government policies on electric vehicle diffusion in complex network. Energy Policy 2019, 129, 1–12. [Google Scholar] [CrossRef]
- Hu, Y.; Wang, Z.; Li, X. Impact of policies on electric vehicle diffusion: An evolutionary game of small world network analysis. J. Clean. Prod. 2020, 265, 121703. [Google Scholar] [CrossRef]
- Zhao, D.; Ji, S.-F.; Wang, H.-P.; Jiang, L.-W. How do government subsidies promote new energy vehicle diffusion in the complex network context? A three-stage evolutionary game model. Energy 2021, 230, 120899. [Google Scholar] [CrossRef]
- Gao, X.; Rai, V. Local demand-pull policy and energy innovation: Evidence from the solar photovoltaic market in China. Energy Policy 2019, 128, 364–376. [Google Scholar] [CrossRef]
- Guerzoni, M.; Raiteri, E. Demand-side vs. supply-side technology policies: Hidden treatment and new empirical evidence on the policy mix. Res. Policy 2015, 44, 726–747. [Google Scholar] [CrossRef]
- Xu, L.; Su, J. From government to market and from producer to consumer: Transition of policy mix towards clean mobility in China. Energy Policy 2016, 96, 328–340. [Google Scholar] [CrossRef]
- Lewis, J.I.; Nemet, G.F. Assessing learning in low carbon technologies: Toward a more comprehensive approach. WIREs Clim. Chang. 2021, 12, e730. [Google Scholar] [CrossRef]
- Li, W.; Long, R.; Chen, H.; Dou, B.; Chen, F.; Zheng, X.; He, Z. Public Preference for Electric Vehicle Incentive Policies in China: A Conjoint Analysis. Int. J. Environ. Res. Public Health 2020, 17, 318. [Google Scholar] [CrossRef] [Green Version]
- Hoppmann, J.; Wu, G.; Johnson, J. The impact of demand-pull and technology-push policies on firms’ knowledge search. Technol. Forecast. Soc. Chang. 2021, 170, 120863. [Google Scholar] [CrossRef]
- Samant, S.; Thakur-Wernz, P.; Hatfield, D.E. Does the focus of renewable energy policy impact the nature of innovation? Evidence from emerging economies. Energy Policy 2020, 137, 111119. [Google Scholar] [CrossRef]
- Sun, X.; Liu, X.; Wang, Y.; Yuan, F. The effects of public subsidies on emerging industry: An agent-based model of the electric vehicle industry. Technol. Forecast. Soc. Chang. 2018, 140, 281–295. [Google Scholar] [CrossRef]
- Kong, D.; Xia, Q.; Xue, Y.; Zhao, X. Effects of multi policies on electric vehicle diffusion under subsidy policy abolishment in China: A multi-actor perspective. Appl. Energy 2020, 266, 114887. [Google Scholar] [CrossRef]
- Yang, Y.; Yang, W.; Chen, H.; Li, Y. China’s energy whistleblowing and energy supervision policy: An evolutionary game perspective. Energy 2020, 213, 118774. [Google Scholar] [CrossRef]
- Liu, C.; Huang, W.; Yang, C. The evolutionary dynamics of China’s electric vehicle industry–Taxes vs. subsidies. Comput. Ind. Eng. 2017, 113, 103–122. [Google Scholar] [CrossRef]
- Shin, K.; Yeo, Y.; Lee, J.-D. Revitalizing the Concept of Public Procurement for Innovation (PPI) from a Systemic Perspective: Objectives, Policy Types, and Impact Mechanisms. Syst. Pract. Action Res. 2020, 33, 187–211. [Google Scholar] [CrossRef]
- Li, J.; Jiao, J.; Tang, Y. Analysis of the impact of policies intervention on electric vehicles adoption considering information transmission—based on consumer network model. Energy Policy 2020, 144, 111560. [Google Scholar] [CrossRef]
- Oliveira, G.D.; Roth, R.; Dias, L.C. Diffusion of alternative fuel vehicles considering dynamic preferences. Technol. Forecast. Soc. Chang. 2019, 147, 83–99. [Google Scholar] [CrossRef]
- Majerova, J. Cognitive Rationality and Sustainable Decision Based on Maslow’s Theorem: A Case Study in Slovakia. Cogn. Sustain. 2022, 1. [Google Scholar] [CrossRef]
- Kang, Y.; Chen, J.; Wu, D. Research on Pricing and Service Level Strategies of Dual Channel Reverse Supply Chain Considering Consumer Preference in Multi-Regional Situations. Int. J. Environ. Res. Public Health 2020, 17, 9143. [Google Scholar] [CrossRef] [PubMed]
- Janssen, M.A.; Jager, W. Fashions, Habits and Changing Preferences: Simulation of Psychological Factors Affecting Market Dynamics. J. Econ. Psychol. 2001, 28, 745–772. [Google Scholar] [CrossRef] [Green Version]
- Lachaab, M.; Ansari, A.; Jedidi, K.; Trabelsi, A. Modeling preference evolution in discrete choice models: A Bayesian state-space approach. Quant. Mark. Econ. 2006, 4, 57–81. [Google Scholar] [CrossRef]
- Nikas, A.; Lieu, J.; Sorman, A.; Gambhir, A.; Turhan, E.; Baptista, B.V.; Doukas, H. The desirability of transitions in demand: Incorporating behavioural and societal transformations into energy modelling. Energy Res. Soc. Sci. 2020, 70, 101780. [Google Scholar] [CrossRef]
- Xiong, H.; Payne, D.; Kinsella, S. Peer effects in the diffusion of innovations: Theory and simulation. J. Behav. Exp. Econ. 2016, 63, 1–13. [Google Scholar] [CrossRef]
- Li, D.; Du, J.; Sun, M.; Han, D. How conformity psychology and benefits affect individuals’ green behaviours from the perspective of a complex network. J. Clean. Prod. 2020, 248, 119215. [Google Scholar] [CrossRef]
- Mi, L.; Zhu, H.; Yang, J.; Gan, X.; Xu, T.; Qiao, L.; Liu, Q. A new perspective to promote low-carbon consumption: The influence of reference groups. Ecol. Econ. 2019, 161, 100–108. [Google Scholar] [CrossRef]
- Oryani, B.; Koo, Y.; Shafiee, A.; Rezania, S.; Jung, J.; Choi, H.; Khan, M.K. Heterogeneous preferences for EVs: Evidence from Iran. Renew. Energy 2022, 181, 675–691. [Google Scholar] [CrossRef]
- Chakraborty, D.; Bunch, D.S.; Brownstone, D.; Xu, B.; Tal, G. Plug-in electric vehicle diffusion in California: Role of exposure to new technology at home and work. Transp. Res. Part A Policy Pract. 2022, 156, 133–151. [Google Scholar] [CrossRef]
- Lee, J.H.; Hardman, S.J.; Tal, G. Who is buying electric vehicles in California? Characterising early adopter heterogeneity and forecasting market diffusion. Energy Res. Soc. Sci. 2019, 55, 218–226. [Google Scholar] [CrossRef]
- Moon, H.; Park, S.Y.; Woo, J. Staying on convention or leapfrogging to eco-innovation? Identifying early adopters of hydrogen-powered vehicles. Technol. Forecast. Soc. Chang. 2021, 171, 120995. [Google Scholar] [CrossRef]
- Fan, R.; Wang, Y.; Lin, J. Study on Multi-Agent Evolutionary Game of Emergency Management of Public Health Emergencies Based on Dynamic Rewards and Punishments. Int. J. Environ. Res. Public Health 2021, 18, 8278. [Google Scholar] [CrossRef] [PubMed]
- Luo, M.; Fan, R.; Zhang, Y.; Zhu, C. Environmental Governance Cooperative Behavior among Enterprises with Reputation Effect Based on Complex Networks Evolutionary Game Model. Int. J. Environ. Res. Public Health 2020, 17, 1535. [Google Scholar] [CrossRef] [PubMed] [Green Version]
- Shi, Y.; Han, B.; Zeng, Y. Simulating policy interventions in the interfirm diffusion of low-carbon technologies: An agent-based evolutionary game model. J. Clean. Prod. 2020, 250, 119449. [Google Scholar] [CrossRef]
- Li, F.; Cao, X.; Ou, R. A network-based evolutionary analysis of the diffusion of cleaner energy substitution in enterprises: The roles of PEST factors. Energy Policy 2021, 156, 112385. [Google Scholar] [CrossRef]
- Xu, J.; Zhai, J.; Li, F.; Lv, X. Research on Diffusion Mechanism of Green Innovation of Cloud Manufacturing Enterprises Based on BA Scale-Free Agglomeration Network Game. IEEE Access 2020, 8, 226907–226920. [Google Scholar] [CrossRef]
- Shi, Y.; Wei, Z.; Shahbaz, M.; Zeng, Y. Exploring the dynamics of low-carbon technology diffusion among enterprises: An evolutionary game model on a two-level heterogeneous social network. Energy Econ. 2021, 101, 105399. [Google Scholar] [CrossRef]
- Cheng, X.; Long, R.; Chen, H.; Yang, J. Does social interaction have an impact on residents’ sustainable lifestyle decisions? A multi-agent stimulation based on regret and game theory. Appl. Energy 2019, 251, 113366. [Google Scholar] [CrossRef]
- Zino, L.; Ye, M.; Cao, M. A two-layer model for coevolving opinion dynamics and collective decision-making in complex social systems. Chaos Interdiscip. J. Nonlinear Sci. 2020, 30, 083107. [Google Scholar] [CrossRef]
- Ye, M.; Zino, L.; Rizzo, A.; Cao, M. Game-theoretic modeling of collective decision making during epidemics. Phys. Rev. E 2021, 104, 024314. [Google Scholar] [CrossRef] [PubMed]
- Zeng, Y.; Dong, P.; Shi, Y.; Wang, L.; Li, Y. Analyzing the co-evolution of green technology diffusion and consumers’ pro-environmental attitudes: An agent-based model. J. Clean. Prod. 2020, 256, 120384. [Google Scholar] [CrossRef]
- Fan, R.; Dong, L. The dynamic analysis and simulation of government subsidy strategies in low-carbon diffusion considering the behavior of heterogeneous agents. Energy Policy 2018, 117, 252–262. [Google Scholar] [CrossRef]
- Wu, B.; Liu, P.; Xu, X. An Evolutionary Analysis of Low-Carbon Strategies Based on the Government enterprise Game in the Complex Network Context. J. Clean. Prod. 2017, 12, 168–179. [Google Scholar] [CrossRef]
- Lin, J.; Fan, R.; Tan, X.; Zhu, K. Dynamic decision and coordination in a low-carbon supply chain considering the retailer's social preference. Socio-Econ. Plan. Sci. 2021, 77, 101010. [Google Scholar] [CrossRef]
- Safarzyńska, K.; Bergh, J.C.V.D. Integrated crisis-energy policy: Macro-evolutionary modelling of technology, finance and energy interactions. Technol. Forecast. Soc. Chang. 2017, 114, 119–137. [Google Scholar] [CrossRef]
- Huang, X.; Lin, Y.; Zhou, F.; Lim, M.K.; Chen, S. Agent-based modelling for market acceptance of electric vehicles: Evidence from China. Sustain. Prod. Consum. 2021, 28, 206–217. [Google Scholar] [CrossRef]
- Moore, F.C.; Lacasse, K.; Mach, K.J.; Shin, Y.A.; Gross, L.J.; Beckage, B. Determinants of emissions pathways in the coupled climate—Social system. Nature 2022, 603, 103–111. [Google Scholar] [CrossRef]
- Adnan, N.; Nordin, S.M.; Rahman, I.; Amini, M.H. A market modeling review study on predicting Malaysian consumer behavior towards widespread adoption of PHEV/EV. Environ. Sci. Pollut. Res. 2017, 24, 17955–17975. [Google Scholar] [CrossRef]










| Auto Manufacturer j | |||
|---|---|---|---|
| EV | ICEV | ||
| Auto manufacturer i | EV | ||
| ICEV | |||
Publisher’s Note: MDPI stays neutral with regard to jurisdictional claims in published maps and institutional affiliations. |
© 2022 by the authors. Licensee MDPI, Basel, Switzerland. This article is an open access article distributed under the terms and conditions of the Creative Commons Attribution (CC BY) license (https://creativecommons.org/licenses/by/4.0/).
Share and Cite
Fan, R.; Chen, R. Promotion Policies for Electric Vehicle Diffusion in China Considering Dynamic Consumer Preferences: A Network-Based Evolutionary Analysis. Int. J. Environ. Res. Public Health 2022, 19, 5290. https://doi.org/10.3390/ijerph19095290
Fan R, Chen R. Promotion Policies for Electric Vehicle Diffusion in China Considering Dynamic Consumer Preferences: A Network-Based Evolutionary Analysis. International Journal of Environmental Research and Public Health. 2022; 19(9):5290. https://doi.org/10.3390/ijerph19095290
Chicago/Turabian StyleFan, Ruguo, and Rongkai Chen. 2022. "Promotion Policies for Electric Vehicle Diffusion in China Considering Dynamic Consumer Preferences: A Network-Based Evolutionary Analysis" International Journal of Environmental Research and Public Health 19, no. 9: 5290. https://doi.org/10.3390/ijerph19095290
APA StyleFan, R., & Chen, R. (2022). Promotion Policies for Electric Vehicle Diffusion in China Considering Dynamic Consumer Preferences: A Network-Based Evolutionary Analysis. International Journal of Environmental Research and Public Health, 19(9), 5290. https://doi.org/10.3390/ijerph19095290

