In Vitro Assessment and Toxicological Prioritization of Pesticide Mixtures at Concentrations Derived from Real Exposure in Occupational Scenarios
Abstract
:1. Introduction
2. Materials and Methods
2.1. Chemicals and Mixtures
2.2. Cell Cultures
2.3. Cytotoxicity Assays
2.4. Time Course Assessment of Apoptosis and Necrosis
2.5. Reactive Oxygen Species (ROS) Intracellular Levels
2.6. Mitochondrial Membrane Potential
2.7. Gene Expression Analysis
2.8. ToxPi Score Calculation
2.9. Statistical Analysis
3. Results
3.1. Cytotoxicity
3.2. Apoptosis/Necrosis
3.3. ROS Levels
3.4. Mitochondrial Membrane Potential
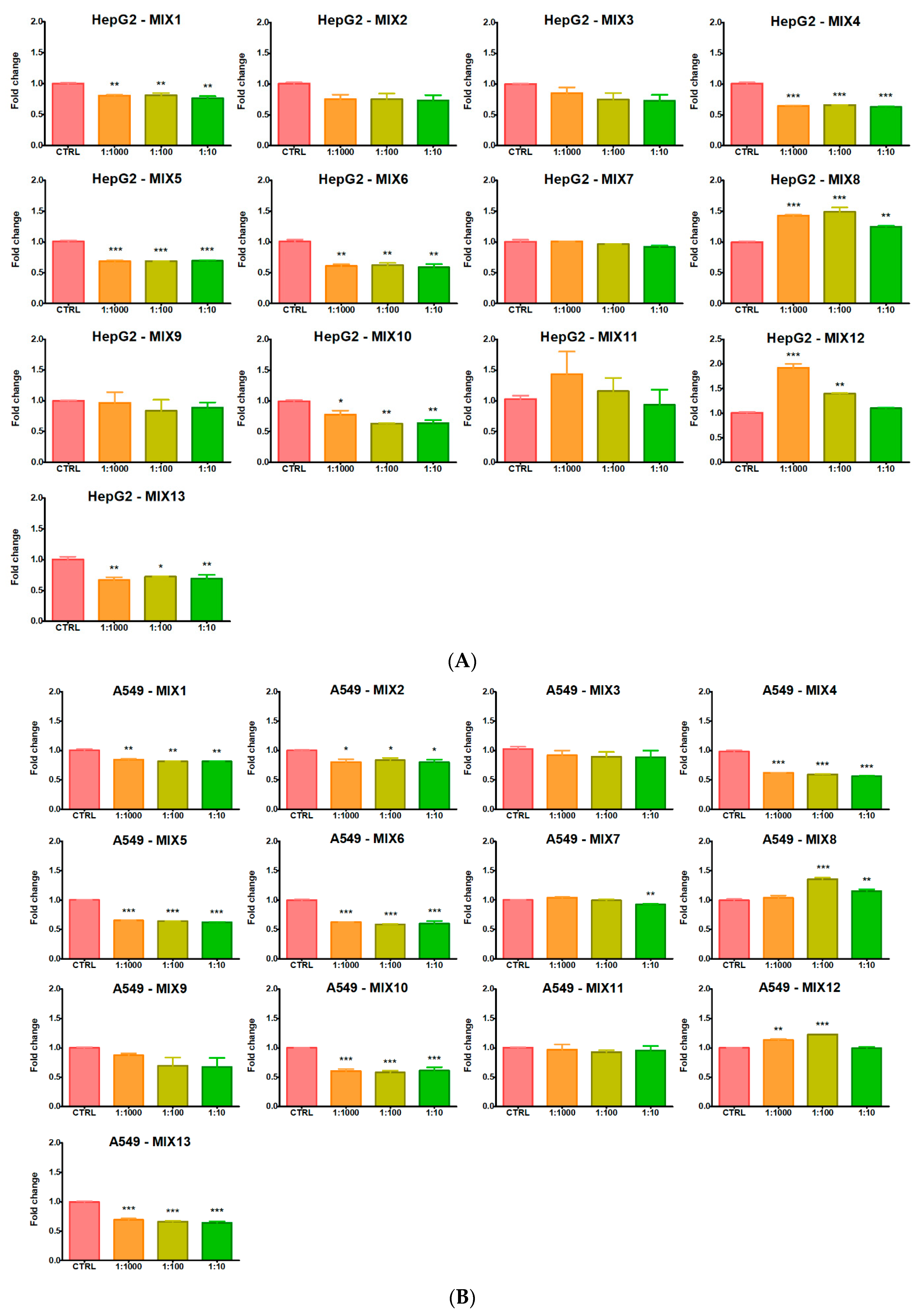
3.5. Real-Time PCR
3.6. ToxPi Score
4. Discussion
5. Conclusions
Supplementary Materials
Author Contributions
Funding
Institutional Review Board Statement
Informed Consent Statement
Data Availability Statement
Conflicts of Interest
References
- EU Commission. Regulation 1107/2009/EC. Official European Gazzette of European Commission. Available online: https://eur-lex.europa.eu/legal-content/EN/TXT/?uri=celex%3A32009R1107 (accessed on 6 March 2022).
- Sharma, A.; Shukla, A.; Attri, K.; Kumar, M.; Kumar, P.; Suttee, A.; Singh, G.; Barnwal, R.P.; Singla, N. Global Trends in Pesticides: A Looming Threat and Viable Alternatives. Ecotoxicol. Environ. Saf. 2020, 201, 110812. [Google Scholar] [CrossRef] [PubMed]
- Gamhewage, M.; Sheedy, C.; Munira, S.; Farenhorst, A. Pesticide Mixtures in the Water-Column Versus Bottom-Sediments of Prairie Rivers. Bull. Environ. Contam. Toxicol. 2021, 106, 936–941. [Google Scholar] [CrossRef]
- Li, Z.; Jennings, A. Worldwide Regulations of Standard Values of Pesticides for Human Health Risk Control: A Review. Int. J. Environ. Res. Public Health 2017, 14, 826. [Google Scholar] [CrossRef] [PubMed] [Green Version]
- European Food Safety Authority (EFSA); Charistou, A.; Coja, T.; Craig, P.; Hamey, P.; Martin, S.; Sanvido, O.; Chiusolo, A.; Colas, M.; Istace, F. Guidance on the Assessment of Exposure of Operators, Workers, Residents and Bystanders in Risk Assessment of Plant Protection Products. EFSA J. 2022, 20, e07032. [Google Scholar]
- Curl, C.L.; Spivak, M.; Phinney, R.; Montrose, L. Synthetic Pesticides and Health in Vulnerable Populations: Agricultural Workers. Curr. Environ. Health Rep. 2020, 7, 13–29. [Google Scholar] [CrossRef] [PubMed]
- Shrestha, S.; Parks, C.G.; Umbach, D.M.; Richards-Barber, M.; Hofmann, J.N.; Chen, H.; Blair, A.; Freeman, L.E.B.; Sandler, D.P. Pesticide use and Incident Parkinson’s Disease in a Cohort of Farmers and their Spouses. Environ. Res. 2020, 191, 110186. [Google Scholar] [CrossRef]
- Pouchieu, C.; Piel, C.; Carles, C.; Gruber, A.; Helmer, C.; Tual, S.; Marcotullio, E.; Lebailly, P.; Baldi, I. Pesticide use in Agriculture and Parkinson’s Disease in the AGRICAN Cohort Study. Int. J. Epidemiol. 2018, 47, 299–310. [Google Scholar] [CrossRef]
- Medda, E.; Santini, F.; De Angelis, S.; Franzellin, F.; Fiumalbi, C.; Perico, A.; Gilardi, E.; Mechi, M.T.; Marsili, A.; Citroni, A. Iodine Nutritional Status and Thyroid Effects of Exposure to Ethylenebisdithiocarbamates. Environ. Res. 2017, 154, 152–159. [Google Scholar] [CrossRef]
- Lehmler, H.; Simonsen, D.; Liu, B.; Bao, W. Environmental Exposure to Pyrethroid Pesticides in a Nationally Representative Sample of US Adults and Children: The National Health and Nutrition Examination Survey 2007–2012. Environ. Pollut. 2020, 267, 115489. [Google Scholar] [CrossRef]
- Crépet, A.; Vanacker, M.; Sprong, C.; de Boer, W.; Blaznik, U.; Kennedy, M.; Anagnostopoulos, C.; Christodoulou, D.L.; Ruprich, J.; Rehurkova, I. Selecting Mixtures on the Basis of Dietary Exposure and Hazard Data: Application to Pesticide Exposure in the European Population in Relation to Steatosis. Int. J. Hyg. Environ. Health 2019, 222, 291–306. [Google Scholar] [CrossRef] [Green Version]
- Zhang, Q.; Li, Z.; Chang, C.; Lou, J.; Zhao, M.; Lu, C. Potential Human Exposures to Neonicotinoid Insecticides: A Review. Environ. Pollut. 2018, 236, 71–81. [Google Scholar] [CrossRef] [PubMed]
- Carpy, S.A.; Kobel, W.; Doe, J. Health Risk of Low-Dose Pesticides Mixtures: A Review of the 1985-1998 Literature on Combination Toxicology and Health Risk Assessment. J. Toxicol. Environ. Health Part B Crit. Rev. 2000, 3, 1–25. [Google Scholar]
- Tsatsakis, A.; Kouretas, D.; Tzatzarakis, M.; Stivaktakis, P.; Tsarouhas, K.; Golokhvast, K.; Rakitskii, V.; Tutelyan, V.; Hernandez, A.; Rezaee, R. Simulating Real-Life Exposures to Uncover Possible Risks to Human Health: A Proposed Consensus for a Novel Methodological Approach. Hum. Exp. Toxicol. 2017, 36, 554–564. [Google Scholar] [CrossRef] [PubMed]
- Docea, A.O.; Gofita, E.; Goumenou, M.; Calina, D.; Rogoveanu, O.; Varut, M.; Olaru, C.; Kerasioti, E.; Fountoucidou, P.; Taitzoglou, I. Six Months Exposure to a Real Life Mixture of 13 Chemicals’ Below Individual NOAELs Induced Non Monotonic Sex-Dependent Biochemical and Redox Status Changes in Rats. Food Chem. Toxicol. 2018, 115, 470–481. [Google Scholar] [CrossRef]
- Fountoucidou, P.; Veskoukis, A.S.; Kerasioti, E.; Docea, A.O.; Taitzoglou, I.A.; Liesivuori, J.; Tsatsakis, A.; Kouretas, D. A Mixture of Routinely Encountered Xenobiotics Induces both Redox Adaptations and Perturbations in Blood and Tissues of Rats After a Long-Term Low-Dose Exposure Regimen: The Time and Dose Issue. Toxicol. Lett. 2019, 317, 24–44. [Google Scholar] [CrossRef] [PubMed]
- Mesnage, R.; Teixeira, M.; Mandrioli, D.; Falcioni, L.; Ibragim, M.; Ducarmon, Q.R.; Zwittink, R.D.; Amiel, C.; Panoff, J.; Bourne, E. Multi-Omics Phenotyping of the Gut-Liver Axis Reveals Metabolic Perturbations from a Low-Dose Pesticide Mixture in Rats. Commun. Biol. 2021, 4, 471. [Google Scholar] [CrossRef]
- Craig, E.; Lowe, K.; Akerman, G.; Dawson, J.; May, B.; Reaves, E.; Lowit, A. Reducing the Need for Animal Testing while Increasing Efficiency in a Pesticide Regulatory Setting: Lessons from the EPA Office of Pesticide Programs’ Hazard and Science Policy Council. Regul. Toxicol. Pharmacol. 2019, 108, 104481. [Google Scholar] [CrossRef]
- Crépet, A.; Héraud, F.; Béchaux, C.; Gouze, M.; Pierlot, S.; Fastier, A.; Leblanc, J.C.; Le Hégarat, L.; Takakura, N.; Fessard, V. The PERICLES Research Program: An Integrated Approach to Characterize the Combined Effects of Mixtures of Pesticide Residues to which the French Population is Exposed. Toxicology 2013, 313, 83–93. [Google Scholar] [CrossRef]
- European Food Safety Authority (EFSA). Conclusion regarding the Peer Review of the Pesticide Risk Assessment of the Active Substance Metrafenone. EFSA J. 2006, 58, 1–72. [Google Scholar]
- EFSA (European Food Safety Authority). Conclusion on the Peer Review of the Pesticide Risk Assessment of the Active Substance Dimethomorph. EFSA Sci. Rep. 2006, 82, 1–69. [Google Scholar]
- European Food Safety Authority (EFSA). Conclusion regarding the Peer Review of the Pesticide Risk Assessment of the Active Substance Penconazole. EFSA J. 2008, 6, 175r. [Google Scholar]
- European Food Safety Authority (EFSA). Conclusion regarding the Peer Review of the Pesticide Risk Assessment of the Active Substance Cyflufenamid. EFSA J. 2009, 7, 258r. [Google Scholar] [CrossRef]
- European Food Safety Authority (EFSA). Conclusion regarding the Peer Review of the Pesticide Risk Assessment of the Active Substance Folpet. EFSA J. 2009, 7, 297r. [Google Scholar]
- European Food Safety Authority (EFSA). Peer Review of the Pesticide Risk Assessment of the Activesubstance Zoxamide. EFSA J. 2017, 15, 4980. [Google Scholar]
- European Food Safety Authority (EFSA); Arena, M.; Auteri, D.; Barmaz, S.; Bellisai, G.; Brancato, A.; Brocca, D.; Bura, L.; Byers, H.; Chiusolo, A. Peer Review of the Targeted Hazard Assessment of the Pesticide Active Substance Quinoxyfen. EFSA J. 2018, 16, e05085. [Google Scholar]
- European Food Safety Authority (EFSA); Abdourahime, H.; Anastassiadou, M.; Arena, M.; Auteri, D.; Barmaz, S.; Brancato, A.; Bura, L.; Carrasco Cabrera, L.; Chaideftou, E. Peer Review of the Pesticide Risk Assessment of the Active Substance Mancozeb. EFSA J. 2020, 18, e05755. [Google Scholar]
- EFSA Scientific Committee; More, S.; Bampidis, V.; Benford, D.; Boesten, J.; Bragard, C.; Halldorsson, T.; Hernandez-Jerez, A.; Hougaard-Bennekou, S.; Koutsoumanis, K. Genotoxicity Assessment of Chemical Mixtures. EFSA J. 2019, 17, e05519. [Google Scholar]
- Hukkanen, J.; Lassila, A.; Paivarinta, K.; Valanne, S.; Sarpo, S.; Hakkola, J.; Pelkonen, O.; Raunio, H. Induction and Regulation of Xenobiotic-Metabolizing Cytochrome P450s in the Human A549 Lung Adenocarcinoma Cell Line. Am. J. Respir. Cell Mol. Biol. 2000, 22, 360–366. [Google Scholar] [CrossRef] [Green Version]
- Donato, M.T.; Tolosa, L.; Gómez-Lechón, M.J. Culture and functional characterization of human hepatoma HepG2 cells. In Protocols in In Vitro Hepatocyte Research; Springer: Berlin/Heidelberg, Germany, 2015; pp. 77–93. [Google Scholar]
- Hardy, A.; Benford, D.; Halldorsson, T.; Jeger, M.J.; Knutsen, K.H.; More, S.; Mortensen, A.; Naegeli, H.; Noteborn, H.; Ockleford, C. Update: Use of the Benchmark Dose Approach in Risk Assessment. EFSA J. 2017, 15, e04658. [Google Scholar]
- Marvel, S.W.; To, K.; Grimm, F.A.; Wright, F.A.; Rusyn, I.; Reif, D.M. ToxPi Graphical User Interface 2.0: Dynamic Exploration, Visualization, and Sharing of Integrated Data Models. BMC Bioinform. 2018, 19, 1–7. [Google Scholar] [CrossRef] [Green Version]
- Tait, S.; Perugini, M.; La Rocca, C. Relative Toxicological Ranking of Eight Polybrominated Diphenyl Ether Congeners using Cytotoxicity, Chemical Properties and Exposure Data. Food and Chemical Toxicology 2017, 108, 74–84. [Google Scholar] [CrossRef] [PubMed]
- European Food Safety Authority. Guidance on the Assessment of Exposure of Operators, Workers, Residents and Bystanders in Risk Assessment for Plant Protection Products. EFSA J. 2014, 12, 3874. [Google Scholar] [CrossRef]
- Hernández, A.F.; Gil, F.; Lacasaña, M. Toxicological Interactions of Pesticide Mixtures: An Update. Arch. Toxicol. 2017, 91, 3211–3223. [Google Scholar] [CrossRef] [PubMed]
- Gammon, D.W.; Moore, T.B.; O’Malley, M.A. A toxicological assessment of sulfur as a pesticide. In Hayes’ Handbook of Pesticide Toxicology; Elsevier: Amsterdam, The Netherlands, 2010; pp. 1889–1901. [Google Scholar]
- European Food Safety Authority. Conclusion on the Peer Review of the Pesticide Risk Assessment of the Active Substance Potassium Phosphonates. EFSA J. 2012, 10, 2963. [Google Scholar]
- Lori, G.; Tassinari, R.; Narciso, L.; Udroiu, I.; Sgura, A.; Maranghi, F.; Tait, S. Toxicological Comparison of Mancozeb and Zoxamide Fungicides at Environmentally Relevant Concentrations by an in Vitro Approach. Int. J. Environ. Res. Public Health 2021, 18, 8591. [Google Scholar] [CrossRef] [PubMed]
- Hoffman, L.; Hardej, D. Ethylene Bisdithiocarbamate Pesticides Cause Cytotoxicity in Transformed and Normal Human Colon Cells. Environ. Toxicol. Pharmacol. 2012, 34, 556–573. [Google Scholar] [CrossRef]
- Mohammadi-Sardoo, M.; Mandegary, A.; Nematollahi-Mahani, S.N.; Moballegh Nasery, M.; Nabiuni, M.; Amirheidari, B. Cytotoxicity of Mancozeb on Sertoli–germ Cell Co-Culture System: Role of MAPK Signaling Pathway. Toxicol. Ind. Health 2021, 37, 674–684. [Google Scholar] [CrossRef]
- Kumar, K.; Sabarwal, A.; Singh, R.P. Mancozeb Selectively Induces Mitochondrial-Mediated Apoptosis in Human Gastric Carcinoma Cells through ROS Generation. Mitochondrion 2019, 48, 1–10. [Google Scholar] [CrossRef]
- Oesch, F.; Metzler, M.; Fabian, E.; Kamp, H.; Bernshausen, T.; Damm, G.; Triebel, S.; Döhmer, J.; Landsiedel, R.; Van Ravenzwaay, B. In Vitro Mammalian Metabolism of the Mitosis Inhibitor Zoxamide and the Relationship to its in Vitro Toxicity. Xenobiotica 2010, 40, 72–82. [Google Scholar] [CrossRef]
- Zhang, X.; Zhang, P.; Perez-Rodriguez, V.; Souders II, C.L.; Martyniuk, C.J. Assessing the Toxicity of the Benzamide Fungicide Zoxamide in Zebrafish (Danio Rerio): Towards an Adverse Outcome Pathway for Beta-Tubulin Inhibitors. Environ. Toxicol. Pharmacol. 2020, 78, 103405. [Google Scholar] [CrossRef]
- Regueiro, J.; Olguín, N.; Simal-Gándara, J.; Suñol, C. Toxicity Evaluation of New Agricultural Fungicides in Primary Cultured Cortical Neurons. Environ. Res. 2015, 140, 37–44. [Google Scholar] [CrossRef] [PubMed] [Green Version]
- Zhou, Y.; Shen, C.; Du, H.; Bao, Y.; He, C.; Wang, C.; Zuo, Z. Bioassay System for the Detection of Aryl Hydrocarbon Receptor Agonists in Waterborne Pesticides using Zebrafish cyp1a1 Promoter-Luciferase Recombinant Hepatic Cells. Chemosphere 2019, 220, 61–68. [Google Scholar] [CrossRef] [PubMed]
- Ham, J.; Yun, B.H.; Lim, W.; Song, G. Folpet Induces Mitochondrial Dysfunction and ROS-Mediated Apoptosis in Mouse Sertoli Cells. Pestic. Biochem. Physiol. 2021, 177, 104903. [Google Scholar] [CrossRef] [PubMed]
- Canal-Raffin, M.; l’Azou, B.; Jorly, J.; Hurtier, A.; Cambar, J.; Brochard, P. Cytotoxicity of Folpet Fungicide on Human Bronchial Epithelial Cells. Toxicology 2008, 249, 160–166. [Google Scholar] [CrossRef] [PubMed]
- Chaâbane, M.; Elwej, A.; Ghorbel, I.; Chelly, S.; Mnif, H.; Boudawara, T.; Chaabouni, S.E.; Zeghal, N.; Soudani, N. Penconazole Alters Redox Status, Cholinergic Function and Lung’s Histoarchitecture of Adult Rats: Reversal Effect of Vitamin E. Biomed. Pharmacother. 2018, 102, 645–652. [Google Scholar] [CrossRef]
- Jia, M.; Teng, M.; Tian, S.; Yan, J.; Meng, Z.; Yan, S.; Li, R.; Zhou, Z.; Zhu, W. Developmental Toxicity and Neurotoxicity of Penconazole Enantiomers Exposure on Zebrafish (Danio Rerio). Environ. Pollut. 2020, 267, 115450. [Google Scholar] [CrossRef]
- Aksakal, F.I.; Ciltas, A. Developmental Toxicity of Penconazole in Zebrfish (Danio Rerio) Embryos. Chemosphere 2018, 200, 8–15. [Google Scholar] [CrossRef]
- Perdichizzi, S.; Mascolo, M.G.; Silingardi, P.; Morandi, E.; Rotondo, F.; Guerrini, A.; Prete, L.; Vaccari, M.; Colacci, A. Cancer-Related Genes Transcriptionally Induced by the Fungicide Penconazole. Toxicol. Vitr. 2014, 28, 125–130. [Google Scholar] [CrossRef]
- Kaminskyy, V.O.; Zhivotovsky, B. Free Radicals in Cross Talk between Autophagy and Apoptosis. Antioxid. Redox Signal. 2014, 21, 86–102. [Google Scholar] [CrossRef]











| MIXTURES | 1X 1:1 (FIELD CONC.) | 1E-1X 1:10 | 1E-2X (1:100) | 1E-3X (1:1000) | 1E-4X (1:10,000) | 1E-5X (1:100,000) | 1E-6 (1:1,000,000) |
|---|---|---|---|---|---|---|---|
| MIX1 | S (124.7 µM) PK (18.9 mM) MET (305.4 µM) | S (124.7 µM) PK (1.89 mM) MET (30.54 µM) | S (124.7 µM) PK (189 µM) MET (3.05 µM) | S (124.7 µM) PK (18.9 µM) MET (305.4 nM) | S (12.47 µM) PK (1.89 µM) MET (30.54 nM) | S (1.25 µM) PK (189 nM) MET (3.05 nM) | S (125 nM) PK (18.9 nM) MET (305 pM) |
| MIX2 | S (124.7 µM) MET (305.4 µM) | S (124.7 µM) MET (30.54 µM) | S (124.7 µM) MET (3.05 µM) | S (124.7 µM) MET (305.4 nM) | S (12.47 µM) MET (30.54 nM) | S (1.25 µM) MET (3.05 nM) | S (125 nM) MET (305 pM) |
| MIX3 | S (124.7 µM) ZOX (463.4 µM) MET (305.4 µM) | S (124.7 µM) ZOX (46.34 µM) MET (30.54 µM) | S (124.7 µM) ZOX (4.63 µM) MET (3.05 µM) | S (124.7 µM) ZOX (463.4 nM) MET (305.4 nM) | S (12.47 µM) ZOX (46.34 nM) MET (30.54 nM) | S (1.25 µM) ZOX (4.63 nM) MET (3.05 nM) | S (125 nM) ZOX (463.4 pM) MET (305 pM) |
| MIX4 | S (124.7 µM) PK (18.9 mM) ZOX (463.4 µM) CYF (49.72 µM) | S (124.7 µM) PK (1.89 mM) ZOX (46.34 µM) CYF (4.97 µM) | S (124.7 µM) PK (189 µM) ZOX (4.63 µM) CYF (497.2 nM) | S (124.7 µM) PK (18.9 µM) ZOX (463.4 nM) CYF (49.72 nM) | S (12.47 µM) PK (1.89 µM) ZOX (46.34 nM) CYF (4.97 nM) | S (1.25 µM) PK (189 nM) ZOX (4.63 nM) CYF (497.2 pM) | S (125 nM) PK (18.9 nM) ZOX (463.4 pM) CYF (49.72 pM) |
| MIX5 | S (124.7 µM) ZOX (463.4 µM) CYF (49.72 µM) | S (124.7 µM) ZOX (46.34 µM) CYF (4.97 µM) | S (124.7 µM) ZOX (4.63 µM) CYF (497.2 nM) | S (124.7 µM) ZOX (463.4 nM) CYF (49.72 nM) | S (12.47 µM) ZOX (46.34 nM) CYF (4.97 nM) | S (1.25 µM) ZOX (4.63 nM) CYF (497.2 pM) | S (125 nM) ZOX (463.4 pM) CYF (49.72 pM) |
| MIX6 | S (124.7 µM) QUI (20.28 µM) | S (124.7 µM) QUI (2.03 µM) | S (124.7 µM) QUI (202.8 nM) | S (12.47 µM) QUI (20.28 nM) | S (1.25 µM) QUI (2.03 nM) | S (125 nM) QUI (202.8 pM) | |
| MIX7 | PK (1.89 mM) QUI (20.28 µM) | PK (189 µM) QUI (2.03 µM) | PK (18.9 µM) QUI (202.8 nM) | PK (1.89 µM) QUI (20.28 nM) | PK (189 nM) QUI (2.03 nM) | PK (18.9 nM) QUI (202.8 pM) | |
| MIX8 | S (124.7 µM) MAN (277 µM) | S (124.7 µM) MAN (27.7 µM) | S (124.7 µM) MAN (2.77 µM) | S (12.47 µM) MAN (277 nM) | S (1.25 µM) MAN (27.7 nM) | S (125 nM) MAN (2.77 nM) | |
| MIX9 | S (124.7 µM) FOL (3.37 mM) | S (124.7 µM) FOL (337 µM) | S (124.7 µM) FOL (33.7 µM) | S (124.7 µM) FOL (3.37 µM) | S (12.47 µM) FOL (337 nM) | S (1.25 µM) FOL (33.7 nM) | S (125 nM) FOL (3.37 nM) |
| MIX10 | S (124.7 µM) FOL (3.37 mM) PEN (88 µM) | S (124.7 µM) FOL (337 µM) PEN (8.80 µM) | S (124.7 µM) FOL (33.7 µM) PEN (880 nM) | S (124.7 µM) FOL (3.37 µM) PEN (88 nM) | S (12.47 µM) FOL (337 nM) PEN (8.80 nM) | S (1.25 µM) FOL (33.7 nM) PEN (880 pM) | S (125 nM) FOL (3.37 nM) PEN (88 pM) |
| MIX11 | S (124.7 µM) MAN (277 µM) PEN (8.80 µM) | S (124.7 µM) MAN (27.7 µM) PEN (880 nM) | S (124.7 µM) MAN (2.77 µM) PEN (88 nM) | S (12.47 µM) MAN (277 nM) PEN (8.80 nM) | S (1.25 µM) MAN (27.7 nM) PEN (880 pM) | S (125 nM) MAN (2.77 nM) PEN (88 pM) | |
| MIX12 | S (124.7 µM) MAN (277 µM) MET (30.54 µM) | S (124.7 µM) MAN (27.7 µM) MET (3.05 µM) | S (124.7 µM) MAN (2.77 µM) MET (305.4 nM) | S (12.47 µM) MAN (277 nM) MET (30.54 nM) | S (1.25 µM) MAN (27.7 nM) MET (3.05 nM) | S (125 nM) MAN (2.77 nM) MET (305 pM) | |
| MIX13 | S (124.7 µM) QUI (20.28 µM) DIM (515.7 µM) | S (124.7 µM) QUI (2.03 µM) DIM (51.57 µM) | S (124.7 µM) QUI (202.8 nM) DIM (5.16 µM) | S (12.47 µM) QUI (20.28 nM) DIM (515.7 nM) | S (1.25 µM) QUI (2.03 nM) DIM (51.57 nM) | S (125 nM) QUI (202.8 pM) DIM (5.17 nM) |
| Gene | qPCR Primers (5′-3′) | |
|---|---|---|
| BAX | fw: | GTCTTTTTCCGAGTGGCAGC |
| rev: | GACAGGGACATCAGTCGCTT | |
| BCL2 | fw: | CTTTGAGTTCGGTGGGGTCA |
| rev: | GGGCCGTACAGTTCCACAAA | |
| NRF2 | fw: | ACAAGATGGGCTGCTGCACTGG |
| rev: | TCCCCGAGGAACCCGCTGAAAA | |
| TBP | fw: | AACTTCGCTTCCGCTGGCCC |
| rev: | ACCCTTGCGCTGGAACTCGT | |
| HepG2 | A549 | |||||||||||
|---|---|---|---|---|---|---|---|---|---|---|---|---|
| MTS | CyQuant | MTS | CyQuant | |||||||||
| BMD10 | BMDL | BMDU | BMD10 | BMDL | BMDU | BMD10 | BMDL | BMDU | BMD10 | BMDL | BMDU | |
| MIX1 | 8.26 × 10−1 | 2.08 × 10−2 | 1.19 × 100 | 2.40 × 10−3 | 1.71 × 10−6 | 2.52 × 10−3 | - | - | - | 1.22 × 10−3 | 1.58 × 10−5 | 0.0216 |
| MIX2 | 1.06 × 10−5 | 1.00 × 10−6 | 1.14 × 10−4 | - | - | - | 4.19 × 10−5 | 1.33 × 10−6 | 0.00576 | 1.77 × 10−2 | 9.21 × 10−4 | 3.64 × 10−1 |
| MIX3 | 3.81 × 10−5 | 3.55 × 10−6 | 1.63 × 10−4 | 8.13 × 10−4 | 1.31 × 10−5 | 4.92 × 10−3 | 2.66 × 10−3 | 3.99 × 10−5 | 1.61 × 10−1 | 5.50 × 10−3 | 2.44 × 10−4 | 8.62 × 10−2 |
| MIX4 | - | - | - | 6.22 × 10−5 | 1.03 × 10−5 | 8.84 × 10−4 | - | - | - | 7.36 × 10−1 | 1.77 × 10−2 | 8.29 × 10−1 |
| MIX5 | 4.97 × 10−6 | 1.00 × 10−6 | 1.82 × 10−4 | 1.80 × 10−4 | 1.79 × 10−5 | 4.35 × 10−4 | - | - | - | - | - | - |
| MIX6 | 7.59 × 10−5 | 1.18 × 10−6 | 9.12 × 10−4 | 1.24 × 10−2 | 9.35 × 10−5 | 6.67 × 10−2 | 1.03 × 10−4 | 2.13E-05 | 2.97 × 10−4 | 1.79 × 10−2 | 1.03 × 10−3 | 1.14 × 100 |
| MIX7 | 1.11 × 10−4 | 1.67 × 10−6 | 1.98 × 10−2 | 2.36 × 10−2 | 6.22 × 10−4 | 1.15 × 10−1 | - | - | - | - | - | - |
| MIX8 | 7.39 × 10−4 | 2.81 × 10−4 | 2.41 × 10−3 | 5.34 × 10−3 | 2.71 × 10−3 | 1.71 × 10−2 | 4.98 × 10−2 | 2.61 × 10−3 | 5.22 × 10−2 | 5.17 × 10−2 | 1.26 × 10−2 | 5.17 × 10−2 |
| MIX9 | - | - | - | 2.50 × 10−2 | 2.44 × 10−3 | 3.29 × 10−1 | 2.95 × 10−4 | 5.09 × 10−6 | 2.36 × 10−2 | 9.65 × 10−3 | 3.07 × 10−4 | 1.00 × 10−1 |
| MIX10 | 4.74 × 10−1 | 1.23 × 10−2 | 4.80 × 10−1 | 2.19 × 10−2 | 2.71 × 10−3 | 2.03 × 10−1 | 2.54 × 10−1 | 2.21 × 10−6 | 2.21 × 10−1 | 1.61 × 10−4 | 4.03 × 10−6 | 9.45 × 10−3 |
| MIX11 | 3.81 × 10−4 | 2.24 × 10−4 | 1.01 × 10−3 | 8.56 × 10−4 | 2.57 × 10−4 | 3.26 × 10−3 | 7.03 × 10−3 | 4.33 × 10−3 | 1.34 × 10−2 | 1.02 × 10−3 | 1.48 × 10−4 | 5.46 × 10−3 |
| MIX12 | 1.42 × 10−3 | 5.11 × 10−4 | 3.42 × 10−3 | 4.25 × 10−3 | 2.11 × 10−3 | 1.15 × 10−2 | 3.05 × 10−3 | 1.07 × 10−4 | 3.66 × 10−2 | 6.01 × 10−3 | 7.11 × 10−4 | 4.06 × 10−2 |
| MIX13 | 2.66 × 10−3 | 3.02 × 10−5 | 8.53 × 10−2 | 4.52 × 10−5 | 1.32 × 10−5 | 9.88 × 10−5 | - | - | - | 1.59 × 10−5 | 3.73 × 10−6 | 5.24 × 10−5 |
| Total | HepG2 | A549 | ||||
|---|---|---|---|---|---|---|
| Ranking | ToxPi Score | Ranking | ToxPi Score | Ranking | ToxPi Score | |
| MIX11 | 1 | 0.7982 | 1 | 0.7725 | 1 | 0.6461 |
| MIX8 | 2 | 0.6784 | 2 | 0.7592 | 4 | 0.4898 |
| MIX12 | 3 | 0.619 | 3 | 0.6174 | 3 | 0.5218 |
| MIX2 | 4 | 0.4936 | 4 | 0.4944 | 2 | 0.5232 |
| MIX13 | 5 | 0.475 | 5 | 0.3976 | 5 | 0.4710 |
| MIX6 | 6 | 0.3675 | 7 | 0.3453 | 6 | 0.3544 |
| MIX3 | 7 | 0.3277 | 9 | 0.3359 | 11 | 0.2648 |
| MIX4 | 8 | 0.2829 | 8 | 0.3375 | 9 | 0.2837 |
| MIX5 | 9 | 0.2642 | 6 | 0.3473 | 12 | 0.1831 |
| MIX10 | 10 | 0.2611 | 11 | 0.2704 | 7 | 0.3371 |
| MIX9 | 11 | 0.2443 | 12 | 0.2117 | 8 | 0.3321 |
| MIX7 | 12 | 0.2231 | 10 | 0.3187 | 13 | 0.1612 |
| MIX1 | 13 | 0.2069 | 13 | 0.1897 | 10 | 0.2681 |
Publisher’s Note: MDPI stays neutral with regard to jurisdictional claims in published maps and institutional affiliations. |
© 2022 by the authors. Licensee MDPI, Basel, Switzerland. This article is an open access article distributed under the terms and conditions of the Creative Commons Attribution (CC BY) license (https://creativecommons.org/licenses/by/4.0/).
Share and Cite
Tait, S.; Lori, G.; Tassinari, R.; La Rocca, C.; Maranghi, F. In Vitro Assessment and Toxicological Prioritization of Pesticide Mixtures at Concentrations Derived from Real Exposure in Occupational Scenarios. Int. J. Environ. Res. Public Health 2022, 19, 5202. https://doi.org/10.3390/ijerph19095202
Tait S, Lori G, Tassinari R, La Rocca C, Maranghi F. In Vitro Assessment and Toxicological Prioritization of Pesticide Mixtures at Concentrations Derived from Real Exposure in Occupational Scenarios. International Journal of Environmental Research and Public Health. 2022; 19(9):5202. https://doi.org/10.3390/ijerph19095202
Chicago/Turabian StyleTait, Sabrina, Gabriele Lori, Roberta Tassinari, Cinzia La Rocca, and Francesca Maranghi. 2022. "In Vitro Assessment and Toxicological Prioritization of Pesticide Mixtures at Concentrations Derived from Real Exposure in Occupational Scenarios" International Journal of Environmental Research and Public Health 19, no. 9: 5202. https://doi.org/10.3390/ijerph19095202
APA StyleTait, S., Lori, G., Tassinari, R., La Rocca, C., & Maranghi, F. (2022). In Vitro Assessment and Toxicological Prioritization of Pesticide Mixtures at Concentrations Derived from Real Exposure in Occupational Scenarios. International Journal of Environmental Research and Public Health, 19(9), 5202. https://doi.org/10.3390/ijerph19095202

