Evaluating the Impact of Metro Interior Noise on Passenger Annoyance: An Experimental Study
Abstract
:1. Introduction
2. Methods
2.1. Noise Annoyance Investigation
2.1.1. Data Collection Design
2.1.2. Questionnaire Design
2.1.3. Participants’ Characteristics
2.2. Interior Noise Measurement
3. Results
3.1. Subjective Evaluation of Noise Annoyance
3.2. Interior Noise Analysis
3.3. Measurement Error Analysis
3.3.1. Noise Difference between Sensor Locations inside a Vehicle
3.3.2. Noise Difference between Different Vehicles or Trains
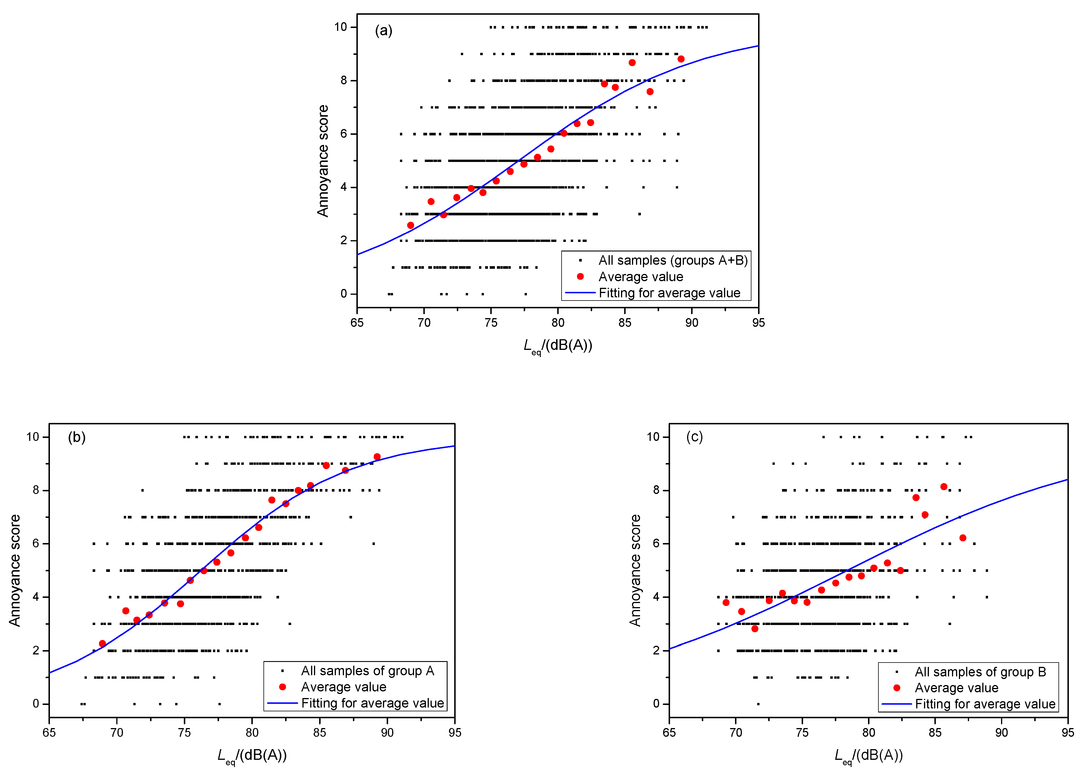
3.4. Exposure-Response Relationship
4. Discussion
4.1. Annoyance Rating and Noise Test Error
4.2. Evaluation Indicator for Interior Noise
4.3. Interior Noise Limits
5. Conclusions
- (1)
- There was a significant positive correlation between the average subjective annoyance and the average equivalent SPL.
- (2)
- The logistic function could accurately fit the relationship between interior noise and annoyance score/annoyance percentage.
- (3)
- The fitting result was best for samples from group A, and was worst for samples from group B. For the mixed samples of both groups, the fitting result was greatly affected by the contribution of group A.
- (4)
- To provide a comfortable acoustic environment, the metro interior noise should not exceed 84–85 dB(A).
Author Contributions
Funding
Institutional Review Board Statement
Informed Consent Statement
Data Availability Statement
Acknowledgments
Conflicts of Interest
References
- Muzet, A. Environmental noise, sleep and health. Sleep Med. Rev. 2007, 11, 135–142. [Google Scholar] [CrossRef] [PubMed]
- Zacarías, F.F.; Molina, R.H.; Ancela, J.L.C.; López, S.L.; Ojembarrena, A.A. Noise exposure in preterm infants treated with respiratory support using neonatal helmets. Acta Acust. United Acust. 2013, 99, 590–597. [Google Scholar] [CrossRef]
- Minichilli, F.; Gorini, F.; Ascari, E.; Bianchi, F.; Coi, A.; Fredianelli, L.; Licitra, G.; Manzoli, F.; Mezzasalma, L.; Cori, L. Annoyance judgment and measurements of environmental noise: A focus on Italian secondary schools. Int. J. Environ. Res. Public Health 2018, 15, 208. [Google Scholar] [CrossRef] [PubMed] [Green Version]
- Erickson, L.C.; Newman, R.S. Influences of background noise on infants and children. Curr. Dir. Psychol. Sci. 2017, 26, 451–457. [Google Scholar] [CrossRef]
- Dratva, J.; Phuleria, H.C.; Foraster, M.; Gaspoz, J.M.; Keidel, D.; Kunzli, N.; Liu, L.J.S.; Pons, M.; Zemp, E.; Gerbase, M.W.; et al. Transportation noise and blood pressure in a population-based sample of adults. Environ. Health Perspect. 2012, 120, 50–55. [Google Scholar] [CrossRef]
- Babisch, W.; Beule, B.; Schust, M.; Kersten, N.; Ising, H. Traffic noise and risk of myocardial infarction. Epidemiology 2005, 16, 33–40. [Google Scholar] [CrossRef]
- Petri, D.; Licitra, G.; Vigotti, M.A.; Fredianelli, L. Effects of exposure to road, railway, airport and recreational noise on blood pressure and hypertension. Int. J. Environ. Res. Public Health 2021, 18, 9145. [Google Scholar] [CrossRef]
- Vukić, L.; Fredianelli, L.; Plazibat, V. Seafarers’ Perception and attitudes towards noise emission on board ships. Int. J. Environ. Res. Public Health 2021, 18, 6671. [Google Scholar] [CrossRef]
- Rossi, L.; Prato, A.; Lesina, L.; Schiavi, A. Effects of low-frequency noise on human cognitive performances in laboratory. Build. Acoust. 2018, 25, 17–33. [Google Scholar] [CrossRef]
- Miedema, H.M.E.; Oudshoorn, C.G.M. Annoyance from transportation noise: Relationships with exposure metrics DNL and DENL and their confidence intervals. Environ. Health Perspect. 2001, 109, 409–416. [Google Scholar] [CrossRef]
- Licitra, G.; Fredianelli, L.; Petri, D.; Vigotti, M.A. Annoyance evaluation due to overall railway noise and vibration in Pisa urban areas. Sci. Total Environ. 2016, 568, 1315–1325. [Google Scholar] [CrossRef] [PubMed]
- Sadeghi, J.; Esmaeili, M.H.; Akbari, M. Reliability of FTA general vibration assessment model in prediction of subway induced ground borne vibrations. Soil Dyn. Earthq. Eng. 2019, 117, 300–311. [Google Scholar] [CrossRef]
- Liang, R.H.; Liu, W.F.; Li, W.B.; Wu, Z.Z. A traffic noise source identification method for buildings adjacent to multiple transport infrastructures based on deep learning. Build. Environ. 2022, 211, 108764. [Google Scholar] [CrossRef]
- Xu, L.H.; Ma, M.; Cao, R.N.; Tan, X.Y.; Liang, R.H. Effect of longitudinally varying characteristics of soil on metro train-induced ground vibrations based on wave propagation analysis. Soil Dyn. Earthq. Eng. 2022, 152, 107020. [Google Scholar] [CrossRef]
- Xu, L.H.; Ma, M. Dynamic response of the multilayered half-space medium due to the spatially periodic harmonic moving load. Soil Dyn. Earthq. Eng. 2022, 157, 107246. [Google Scholar] [CrossRef]
- Ma, M.; Li, M.H.; Qu, X.Y.; Zhang, H.G. Effect of passing metro trains on uncertainty of vibration source intensity: Monitoring tests. Measurement 2022, 193, 110992. [Google Scholar] [CrossRef]
- Elmenhorst, E.M.; Griefahn, B.; Rolny, V.; Basner, M. Comparing the effects of road, railway, and aircraft noise on sleep: Exposure-response relationships from pooled data of three laboratory studies. Int. J. Environ. Res. Public Health 2019, 16, 1073. [Google Scholar] [CrossRef] [Green Version]
- Pennig, S.; Schady, A. Railway noise annoyance: Exposure-response relationships and testing a theoretical model by structural equation analysis. Noise Health 2014, 16, 388–399. [Google Scholar] [CrossRef] [Green Version]
- Sharp, C.; Woodcock, J.; Sica, G.; Peris, E.; Moorhouse, A.T.; Waddington, D.C. Exposure-response relationships for annoyance due to freight and passenger railway vibration exposure in residential environments. J. Acoust. Soc. Am. 2014, 135, 2288. [Google Scholar] [CrossRef]
- Waye, K.; Smith, M.G.; Hussain-Alkhateeb, L.; Koopman, A.; Ogren, M.; Penis, E.; Waddington, D.; Woodcock, J.; Sharp, C.; Janssen, S. Assessing the exposure-response relationship of sleep disturbance and vibration in field and laboratory settings. Environ. Pollut. 2019, 297, 558–567. [Google Scholar] [CrossRef]
- Zhang, L.; Ma, H. Investigation of Chinese residents’ community response to high-speed railway noise. Appl. Acoust. 2021, 172, 107615. [Google Scholar] [CrossRef]
- Jiang, B.L.; Ma, M.; Li, M.H.; Liu, W.N.; Li, T. Experimental study of vibration characteristics of floating slab track in metro turnout zones. Proc. Inst. Mech. Eng. Part F J. Rail Rapid Transit 2019, 233, 1081–1096. [Google Scholar] [CrossRef]
- Xu, G.H. Dynamic parameter optimization and experimental study of tuned slab damper on metro systems. Shock Vib. 2019, 2019, 1236827. [Google Scholar] [CrossRef]
- Yuan, X.; Zhu, S.; Xu, L.; Zhai, W.M.; Li, H.L. Investigation of the vibration isolation performance of floating slab track with rubber bearings using a stochastic fractional derivative model. Proc. Inst. Mech. Eng. Part F J. Rail Rapid Transit 2020, 234, 992–1004. [Google Scholar] [CrossRef]
- He, W.; Zou, C.; Pang, Y.T.; Wang, X.M. Environmental noise and vibration characteristics of rubber-spring floating slab track. Environ. Sci. Pollut. Res. 2021, 28, 13671–13689. [Google Scholar] [CrossRef] [PubMed]
- Jin, H.; Tian, Q.; Li, Z.; Wang, Z. Ability of vibration control using rubberized concrete for tunnel invert-filling. Constr. Build. Mater. 2022, 317, 125932. [Google Scholar] [CrossRef]
- Yang, Y.B.; Ge, P.B.; Li, Q.M.; Liang, X.J.; Wu, Y.T. 2.5D vibration of railway-side buildings mitigated by open or infilled trenches considering rail irregularity. Soil Dyn. Earthq. Eng. 2018, 106, 204–214. [Google Scholar] [CrossRef]
- Guo, W.; Bai, Z.Y.; Wang, X.B.; Liu, H.Y.; Bu, D.; Guo, Z.; Hou, W.Q.; Yu, Z.W. A combination strategy of hollow-closed-wall in-filled trench and elastic bearing for reducing environmental vibration induced by high-speed train. Soil Dyn. Earthq. Eng. 2020, 133, 106136. [Google Scholar] [CrossRef]
- Ma, M.; Jiang, B.L.; Liu, W.; Liu, K.K. Control of metro train-induced vibrations in a laboratory using periodic piles. Sustainability 2020, 12, 5871. [Google Scholar] [CrossRef]
- Fiala, P.; Degrande, G.; Augusztinovicz, F. Numerical modelling of ground-borne noise and vibration in buildings due to surface rail traffic. J. Sound Vib. 2007, 301, 718–738. [Google Scholar] [CrossRef]
- Talbot, J.P. Base-isolated buildings: Towards performance-based design. Proc. Inst. Civ. Eng. Struct. Build. 2016, 169, 574–582. [Google Scholar] [CrossRef]
- Pan, P.; Shen, S.; Shen, Z.; Gong, R.H. Experimental investigation on the effectiveness of laminated rubber bearings to isolate metro generated vibration. Measurement 2018, 122, 554–562. [Google Scholar] [CrossRef]
- Thompson, D.J. Railway Noise and Vibration: Mechanisms, Modelling and Means of Control; Elsevier: Amsterdam, The Netherlands, 2009. [Google Scholar]
- Oertli, J. Railway Noise Control in Europe: Current Status. In Noise and Vibration Mitigation for Rail Transportation Systems; Notes on Numerical Fluid Mechanics and Multidisciplinary Design; Nielsen, J., Ed.; Springer: Berlin/Heidelberg, Germany, 2015; Volume 126. [Google Scholar]
- Gershon, R.R.M.; Qureshi, K.A.; Barrera, M.A.; Erwin, M.J.; Goldsmith, F. Health and safety hazards associated with subways: A review. J. Urban Health 2005, 82, 10–20. [Google Scholar] [CrossRef] [PubMed] [Green Version]
- Guski, R.; Schreckenberg, D.; Schuemer, R. WHO Environmental noise guidelines for the European region: A systematic review on environmental noise and annoyance. Int. J. Environ. Res. Public Health 2017, 14, 1539. [Google Scholar] [CrossRef] [PubMed] [Green Version]
- Thompson, D.J. On the relationship between wheel-rail roughness and rolling noise. J. Sound Vib. 1996, 193, 149–160. [Google Scholar] [CrossRef]
- Eade, P.W.; Hardy, A.E.J. Railway vehicle internal noise. J. Sound Vib. 1977, 51, 403–415. [Google Scholar] [CrossRef]
- Forssén, J.; Tober, S.; Corakci, A.C.; Frid, A.; Kropp, W. Modelling the interior sound field of a railway vehicle using statistical energy analysis. Appl. Acoust. 2012, 73, 307–311. [Google Scholar] [CrossRef] [Green Version]
- Han, J.; Xiao, X.B.; Wu, Y.; Wen, Z.F.; Zhao, G.T. Effect of rail corrugation on metro interior noise and its control. Appl. Acoust. 2018, 130, 63–70. [Google Scholar] [CrossRef]
- Li, L.; Thompson, D.; Xie, Y.S.; Zhu, Q.; Luo, Y.Y.; Lei, Z.Y. Influence of rail fastener stiffness on railway vehicle interior noise. Appl. Acoust. 2019, 145, 69–81. [Google Scholar] [CrossRef] [Green Version]
- Yan, L.; Chen, Z.; Zou, Y.F.; He, X.H.; Cai, C.Z.; Yu, K.H.; Zhu, X.J. Field study of the interior noise and vibration of a metro vehicle running on a viaduct: A case study in Guangzhou. Int. J. Environ. Res. Public Health 2020, 17, 2807. [Google Scholar] [CrossRef] [Green Version]
- Wang, A.; Cox, S.J.; Huang, H.; Liu, L.; Jiang, J.; Sun, J. In-car noise and carriage floor vibration on different track forms and curvatures in a metro system. In Proceedings of the 9th International Workshop on Railway Noise, Munich, Germany, 4–8 September 2007. [Google Scholar]
- Zhao, C.Y.; Wang, P.; Yi, Q. Internal noise reduction in railway vehicles by means of rail grinding and rail dampers. Noise Control Eng. J. 2017, 65, 1–13. [Google Scholar] [CrossRef]
- Persson, K.; Björkman, M. Annoyance due to low frequency noise and the use of the dB(A) scale. J. Sound Vib. 1988, 127, 491–497. [Google Scholar] [CrossRef]
- Torija, A.J.; Flindell, I.H.; Self, R.H. Subjective dominance as a basis for selecting frequency weightings. J. Acoust. Soc. Am. 2016, 140, 843–854. [Google Scholar] [CrossRef] [PubMed] [Green Version]
- Ma, K.W.; Wong, H.M.; Mak, C.M. A systematic review of human perceptual dimensions of sound: Meta-analysis of semantic differential method applications to indoor and outdoor sounds. Build. Environ. 2018, 133, 123–150. [Google Scholar] [CrossRef]
- Seidman, M.D.; Standring, R.T. Noise and quality of life. Int. J. Environ. Res. Public Health 2010, 7, 3730–3738. [Google Scholar] [CrossRef] [Green Version]
- International Standard ISO/TS 15666; Technical Specification: Acoustics—Assessment of Noise Annoyance by Means of Social and Socio-Acoustic Surveys. ISO: Geneva, Switzerland, 2003.
- DELTA (Danish Electronics, Light and Acoustics). The “Genlyd” Noise Annoyance Model. Dose-Response Relationships Modelled by Logistic Functions. 2007. Available online: http://assets.madebydelta.com/docs/share/Akustik/The_Genlyd_Noise_Annoyance_Model.pdf (accessed on 20 March 2007).
- Zou, C.; Zhu, R.J.; Tao, Z.Y.; Ouyang, D.Q.; Chen, Y.K. Evaluation of building construction-induced noise and vibration impact on residents. Sustainability 2020, 12, 1579. [Google Scholar] [CrossRef] [Green Version]
- International Standard IEC 61672-1; Electroacoustics—Sound Level Meters—Part 1: Specifications. Slovenian Institute for Standardization: Ljubljana, Slovenia, 2013.
- National Standard GB 14892; Noise Limit and Measurement for Train of Urban Rail Transit. Academy of Railway Sciences: Beijing, China, 2006.
- International Standard ISO 3381; Railway Applications—Acoustics—Measurement of Noise Inside Railbound Vehicles. ISO: Geneva, Switzerland, 2011.
- Xiao, C. Passenger: Metro Line 6 Is Noisy, Like an Electric Drill! 3 March 2019. Available online: https://www.sohu.com/a/298773549_100176953 (accessed on 28 April 2021).
- Nong, X.; Wei, X.; Chen, M.; Zhao, C.; Shi, H. Analysis of noise characteristics of metro vehicle on different track structures. Railw. Stand. Des. 2019, 63, 22–27. (In Chinese) [Google Scholar]
- Liu, C.; Li, L.; Bu, Z.; Zhang, Y.; Wu, Y. Experimental study on the influence of different track structures on metro vehicle interior noise. Railw. Stand. Des. 2021, 65, 154–159. (In Chinese) [Google Scholar]
















| Part 1: Basic information | |||
| Sex | Age | ||
| Current occupation | Metro line taken | ||
| Part 2: Subjective rating of noise annoyance | |||
| No. | Leaving from station | Approaching station | Subjective rating (from 0 to 10) |
| Section 1 | Station A | Station B | |
| Section 2 | Station B | Station C | |
| Section 3 | Station C | Station D | |
| Section 4 | Station D | Station E | |
| … | … | … | |
| Part 3: Perception description | |||
| When you rated a high subjective score, what were the main effects of the interior noise on you? | |||
| Logistic Approximation: | k | Lc | adj-R2 |
|---|---|---|---|
| For groups A and B | 0.1452 | 77.0530 | 0.9512 |
| For group A only | 0.1795 | 76.2214 | 0.9789 |
| For group B only | 0.1003 | 78.3627 | 0.7523 |
| Logistic Approximation: | k | Lc | adj-R2 | |
|---|---|---|---|---|
| For groups A and B | HA% | 0.3919 | 83.0142 | 0.9746 |
| A% | 0.2919 | 76.7671 | 0.9594 | |
| LA% | 0.3471 | 70.1986 | 0.9440 | |
| For group A only | HA% | 0.4250 | 81.8174 | 0.9869 |
| A% | 0.3571 | 75.8275 | 0.9534 | |
| LA% | 0.3588 | 70.3003 | 0.9716 | |
| For group B only | HA% | 0.2561 | 86.1212 | 0.6188 |
| A% | 0.2460 | 78.0151 | 0.8743 | |
| LA% | 0.3336 | 70.1809 | 0.8411 | |
| Leq/dB(A) | HA% | A% | LA% | Annoyance Score |
|---|---|---|---|---|
| 80 | 31.6% | 81.6% | 97.0% | 6.6 |
| 81 | 41.4% | 86.4% | 97.9% | 7.0 |
| 82 | 51.9% | 90.1% | 98.5% | 7.4 |
| 83 | 62.3% | 92.3% | 99.0% | 7.7 |
| 84 | 71.7% | 94.9% | 99.3% | 8.0 |
| 85 | 79.5% | 96.4% | 99.5% | 8.3 |
Publisher’s Note: MDPI stays neutral with regard to jurisdictional claims in published maps and institutional affiliations. |
© 2022 by the authors. Licensee MDPI, Basel, Switzerland. This article is an open access article distributed under the terms and conditions of the Creative Commons Attribution (CC BY) license (https://creativecommons.org/licenses/by/4.0/).
Share and Cite
Ma, M.; Ran, W.; Wu, J.; Li, M.; Qu, X. Evaluating the Impact of Metro Interior Noise on Passenger Annoyance: An Experimental Study. Int. J. Environ. Res. Public Health 2022, 19, 5041. https://doi.org/10.3390/ijerph19095041
Ma M, Ran W, Wu J, Li M, Qu X. Evaluating the Impact of Metro Interior Noise on Passenger Annoyance: An Experimental Study. International Journal of Environmental Research and Public Health. 2022; 19(9):5041. https://doi.org/10.3390/ijerph19095041
Chicago/Turabian StyleMa, Meng, Wenqian Ran, Jinping Wu, Minghang Li, and Xiangyu Qu. 2022. "Evaluating the Impact of Metro Interior Noise on Passenger Annoyance: An Experimental Study" International Journal of Environmental Research and Public Health 19, no. 9: 5041. https://doi.org/10.3390/ijerph19095041
APA StyleMa, M., Ran, W., Wu, J., Li, M., & Qu, X. (2022). Evaluating the Impact of Metro Interior Noise on Passenger Annoyance: An Experimental Study. International Journal of Environmental Research and Public Health, 19(9), 5041. https://doi.org/10.3390/ijerph19095041

