Effects of a Short-Term Slackline Training Program on Energy Expenditure and Balance in Healthy Young Adults: A Preliminary Report of a Randomized Controlled Trial
Abstract
1. Introduction
2. Materials and Methods
2.1. Design
2.2. Participants
2.3. Intervention
2.4. Outcomes
2.4.1. Energy Expenditure
2.4.2. Balance
2.5. Statistical Analysis
3. Results
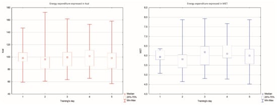
3.1. Energy Expenditure
3.2. Balance
4. Discussion
4.1. Limitations
4.2. Practical Applications
5. Conclusions
Author Contributions
Funding
Institutional Review Board Statement
Informed Consent Statement
Data Availability Statement
Conflicts of Interest
References
- Arocha Rodulfo, J.I. Sedentary lifestyle a disease from xxi century. Clin. Investig. Arter. 2019, 31, 233–240. [Google Scholar] [CrossRef]
- Biswas, A.; Oh, P.I.; Faulkner, G.E.; Bajaj, R.R.; Silver, M.A.; Mitchell, M.S.; Alter, D.A. Sedentary time and its association with risk for disease incidence, mortality, and hospitalization in adults: A systematic review and meta-analysis. Ann. Intern. Med. 2015, 162, 123–132. [Google Scholar] [CrossRef] [PubMed]
- WFO. Global Recommendations on Physical Activity for Health. Recommended population Levels of Physical Activity for Health; World Health Organization: Geneva, Switzerland, 2010; Volume 4. [Google Scholar]
- Keller, M.; Pfusterschmied, J.; Buchecker, M.; Muller, E.; Taube, W. Improved postural control after slackline training is accompanied by reduced H-reflexes. Scand. J. Med. Sci. Sports 2012, 22, 471–477. [Google Scholar] [CrossRef] [PubMed]
- Donath, L.; Roth, R.; Rueegge, A.; Groppa, M.; Zahner, L.; Faude, O. Effects of slackline training on balance, jump performance & muscle activity in young children. Int. J. Sports Med. 2013, 34, 1093–1098. [Google Scholar] [CrossRef] [PubMed]
- Trecroci, A.; Cavaggioni, L.; Lastella, M.; Broggi, M.; Perri, E.; Iaia, F.M.; Alberti, G. Effects of traditional balance and slackline training on physical performance and perceived enjoyment in young soccer players. Res. Sports Med. 2018, 26, 450–461. [Google Scholar] [CrossRef] [PubMed]
- Volery, S.; Singh, N.; de Bruin, E.D.; List, R.; Jaeggi, M.M.; Mattli Baur, B.; Lorenzetti, S. Traditional balance and slackline training are associated with task-specific adaptations as assessed with sensorimotor tests. Eur. J. Sport Sci. 2017, 17, 838–846. [Google Scholar] [CrossRef]
- Mildren, R.L.; Zaback, M.; Adkin, A.L.; Bent, L.R.; Frank, J.S. Learning to balance on a slackline: Development of coordinated multi-joint synergies. Scand. J. Med. Sci. Sports 2018, 28, 1996–2008. [Google Scholar] [CrossRef]
- Jager, T.; Kiefer, J.; Werner, I.; Federolf, P.A. Could Slackline Training Complement the FIFA 11+ Programme Regarding Training of Neuromuscular Control? Eur. J. Sport Sci. 2017, 17, 1021–1028. [Google Scholar] [CrossRef]
- Donath, L.; Roth, R.; Zahner, L.; Faude, O. Slackline Training (Balancing Over Narrow Nylon Ribbons) and Balance Performance: A Meta-Analytical Review. Sports Med. 2017, 47, 1075–1086. [Google Scholar] [CrossRef]
- Peterka, R.J.; Loughlin, P.J. Dynamic regulation of sensorimotor integration in human postural control. J. Neurophysiol. 2004, 91, 410–423. [Google Scholar] [CrossRef]
- Hrysomallis, C. Relationship between balance ability, training and sports injury risk. Sports Med. 2007, 37, 547–556. [Google Scholar] [CrossRef] [PubMed]
- Lesinski, M.; Prieske, O.; Granacher, U. Effects and dose-response relationships of resistance training on physical performance in youth athletes: A systematic review and meta-analysis. Br. J. Sports Med. 2016, 50, 781–795. [Google Scholar] [CrossRef] [PubMed]
- Pfusterschmied, J.; Buchecker, M.; Keller, M.; Wagner, H.; Taube, W.; Muller, E. Supervised slackline training improves postural stability. Eur. J. Sport Sci. 2013, 13, 49–57. [Google Scholar] [CrossRef]
- Johannsen, D.L.; Calabro, M.A.; Stewart, J.; Franke, W.; Rood, J.C.; Welk, G.J. Accuracy of armband monitors for measuring daily energy expenditure in healthy adults. Med. Sci. Sports Exerc. 2010, 42, 2134–2140. [Google Scholar] [CrossRef] [PubMed]
- Drenowatz, C.; Eisenmann, J.C. Validation of the SenseWear Armband at high intensity exercise. Eur. J. Appl. Physiol. 2011, 111, 883–887. [Google Scholar] [CrossRef]
- Brazeau, A.S.; Karelis, A.D.; Mignault, D.; Lacroix, M.J.; Prud’homme, D.; Rabasa-Lhoret, R. Test-retest reliability of a portable monitor to assess energy expenditure. Appl. Physiol. Nutr. Metab. 2011, 36, 339–343. [Google Scholar] [CrossRef]
- Dawson, N.; Dzurino, D.; Karleskint, M.; Tucker, J. Examining the reliability, correlation, and validity of commonly used assessment tools to measure balance. Health Sci. Rep. 2018, 1, e98. [Google Scholar] [CrossRef]
- Howell, D.R.; Brilliant, A.N.; Meehan, W.P., 3rd. Tandem Gait Test-Retest Reliability Among Healthy Child and Adolescent Athletes. J. Athl. Train. 2019, 54, 1254–1259. [Google Scholar] [CrossRef]
- Orendorz-Fraczkowska, K.; Kubacka, M. The development of postural control in 6–17 old years healthy children. Part I Postural control evaluation in modified Clinical Test for The Sensory Interaction on Balance in 6–17 old year children (mctsib). Otolaryngol. Pol. 2019, 74, 1–7. [Google Scholar] [CrossRef]
- Toprak, C.S.; Duruoz, M.T.; Gunduz, O.H. Static and Dynamic Balance Disorders in Patients With Rheumatoid Arthritis and Relationships With Lower Extremity Function and Deformities: A Prospective Controlled Study. Arch. Rheumatol. 2018, 33, 328–334. [Google Scholar] [CrossRef]
- Graves, M.; Snyder, K.; McFelea, J.; Szczepanski, J.; Smith, M.P.; Strobel, T.; Mehrnia, N.; Schneider, J.; Snyder, M.J.; Graves, A.K.; et al. Quantitative Measurement of the Improvement Derived From a 10-Mo Progressive Exercise Program to Improve Balance and Function in Women at Increased Risk for Fragility Fractures. J. Clin. Densitom. 2020, 23, 286–293. [Google Scholar] [CrossRef] [PubMed]
- Cohen, J. Statistical Power Analysis for the Behavioral Sciences, 2nd ed.; L. Erlbaum Associates: Hillsdale, NJ, USA, 1988; p. xxi. 567p. [Google Scholar]
- Monedero, J.; Murphy, E.E.; O’Gorman, D.J. Energy expenditure and affect responses to different types of active video game and exercise. PLoS ONE 2017, 12, e0176213. [Google Scholar] [CrossRef] [PubMed]
- Frappier, J.; Toupin, I.; Levy, J.J.; Aubertin-Leheudre, M.; Karelis, A.D. Energy expenditure during sexual activity in young healthy couples. PLoS ONE 2013, 8, e79342. [Google Scholar] [CrossRef] [PubMed]
- Ohkawara, K.; Oshima, Y.; Hikihara, Y.; Ishikawa-Takata, K.; Tabata, I.; Tanaka, S. Real-time estimation of daily physical activity intensity by a triaxial accelerometer and a gravity-removal classification algorithm. Br. J. Nutr. 2011, 105, 1681–1691. [Google Scholar] [CrossRef] [PubMed]
- Gram, B.; Westgate, K.; Karstad, K.; Holtermann, A.; Sogaard, K.; Brage, S.; Sjogaard, G. Occupational and leisure-time physical activity and workload among construction workers—A randomized control study. Int. J. Occup. Environ. Health 2016, 22, 36–44. [Google Scholar] [CrossRef][Green Version]
- Fernandez-Rio, J.; Santos, L.; Fernandez-Garcia, B.; Robles, R.; Casquero, I.; Paredes, R. Effects of Slackline Training on Acceleration, Agility, Jump Performance and Postural Control in Youth Soccer Players. J. Hum. Kinet. 2019, 67, 235–245. [Google Scholar] [CrossRef]
- Granacher, U.; Iten, N.; Roth, R.; Gollhofer, A. Slackline training for balance and strength promotion. Int. J. Sports Med. 2010, 31, 717–723. [Google Scholar] [CrossRef]
- Thomas, M.; Kalicinski, M. The Effects of Slackline Balance Training on Postural Control in Older Adults. J. Aging Phys. Act. 2016, 24, 393–398. [Google Scholar] [CrossRef]
- Gonzalez, L.; Arguelles, J.; Gonzalez, V.; Winge, K.; Iscar, M.; Olmedillas, H.; Blanco, M.; Valenzuela, P.L.; Lucia, A.; Federolf, P.A.; et al. Slackline Training in Children with Spastic Cerebral Palsy: A Randomized Clinical Trial. Int. J. Environ. Res. Public Health 2020, 17, 8649. [Google Scholar] [CrossRef]
- Giboin, L.S.; Gruber, M.; Kramer, A. Motor learning of a dynamic balance task: Influence of lower limb power and prior balance practice. J. Sci. Med. Sport 2019, 22, 101–105. [Google Scholar] [CrossRef]



| Experimental Mean (SD) | Control Mean (SD) | |
|---|---|---|
| Age (y) | 22.4 (1.5) | 22.3 (0.8) |
| Male/female | 7/7 | 7/7 |
| Hight (m) | 1.7 (0.1) | 1.7 (0.2) |
| Body weight (kg) | 67.0 (14.1) | 68.2 (10.3) |
| BMI (kg/m2) | 22.8 (3.6) | 22.0 (1.8) |
| Variables | Experimental Group (n = 14) | Control Group (n = 14) | p | Effect Size d | ||||
|---|---|---|---|---|---|---|---|---|
| Pre | Post | Δ Post-Pre | Pre | Post | Δ Post-Pre | |||
| Modified clinical test of sensory interaction on balance | ||||||||
| Sway velocity on firm surface, eyes open (°/s) | 0.2 [0.1–0.3] | 0.2 [0.2–0.3] | 0.0 | 0.2 [0.2–0.3] | 0.3 [0.2–0.4] | 0.00 | 0.792 | 0.32 |
| 0.22 (0.13) | 0.24 (0.11) | 0.03 | 0.26 (0.15) | 0.31 (0.16) | 0.05 | |||
| Sway velocity on firm surface, eyes closed (°/s) | 0.2 [0.1–0.3] | 0.2 [0.1–0.3] | 0.0 | 0.2 [0.2–0.3] | 0.2 [0.1–0.3] | 0.00 | 0.658 | 0.03 |
| 0.23 (0.13) | 0.21 (0.12) | −0.02 | 0.24 (0.12) | 0.23 (0.12) | −0.01 | |||
| Sway velocity on foam surface, eyes open (°/s) | 0.4 [0.3–0.5] | 0.3 [0.3–0.4] | −0.1 | 0.3 [0.4–0.4] | 0.4 [0.3–0.5] | 0.00 | 0.003 * | 0.37 |
| 0.47 (0.49) | 0.34 (0.13) | −0.24 | 0.35 (0.14) | 0.41 (0.18) | 0.06 | |||
| Sway velocity on foam surface, eyes closed (°/s) | 0.4 [0.4–0.6] | 0.5 [0.4–0.5] | 0.0 | 0.4 [0.3–0.6] | 0.4 [0.3–0.6] | −0.05 | 0.854 | 0.10 |
| 0.49 (0.21) | 0.46 (0.15) | −0.03 | 0.45 (0.21) | 0.43 (0.19) | −0.02 | |||
| Tandem Walk Test | ||||||||
| Step width (cm) | 6.55 [6.2–7.60] | 6.9 [6.4–7.7] | 0.2 | 6.5 [6.1–7.2] | 6.0 [4.8–7.2] | 0.4 | 0.365 | 0.40 |
| 6.88 (0.98) | 6.87 (1.10) | −0.01 | 6.11 (1.43) | 6.62 (1.08) | 0.39 | |||
| Tandem walk speed (cm/s) | 17.7 [13.7–23.8] | 20.3 [17.9–24.4] | 1.9 | 20.4 [17.2–24.2] | 18.4 [13.9–25] | −1.35 | 0.050 * | 0.30 |
| 18.81 (5.98) | 21.27 (4.77) | 2.46 | 19.27 (6.64) | 20.94 (4.28) | 0.81 | |||
| Tandem end sway (°/s) | 3.4 [2.7–4.4] | 3.3 [2.4–4.3] | −0.2 | 2.25 [2.0–3.1] | 2.6 [1.9–4.0] | −0.35 | 0.192 | 0.25 |
| 3.60 (1.2) | 3.59 (1.40) | −0.01 | 3.17 (1.61) | 2.79 (1.46) | −0.71 | |||
Publisher’s Note: MDPI stays neutral with regard to jurisdictional claims in published maps and institutional affiliations. |
© 2022 by the authors. Licensee MDPI, Basel, Switzerland. This article is an open access article distributed under the terms and conditions of the Creative Commons Attribution (CC BY) license (https://creativecommons.org/licenses/by/4.0/).
Share and Cite
Rutkowski, S.; Wrzeciono, A.; Czech, O.; Rutkowska, A.; Szczegielniak, J. Effects of a Short-Term Slackline Training Program on Energy Expenditure and Balance in Healthy Young Adults: A Preliminary Report of a Randomized Controlled Trial. Int. J. Environ. Res. Public Health 2022, 19, 4830. https://doi.org/10.3390/ijerph19084830
Rutkowski S, Wrzeciono A, Czech O, Rutkowska A, Szczegielniak J. Effects of a Short-Term Slackline Training Program on Energy Expenditure and Balance in Healthy Young Adults: A Preliminary Report of a Randomized Controlled Trial. International Journal of Environmental Research and Public Health. 2022; 19(8):4830. https://doi.org/10.3390/ijerph19084830
Chicago/Turabian StyleRutkowski, Sebastian, Adam Wrzeciono, Oliver Czech, Anna Rutkowska, and Jan Szczegielniak. 2022. "Effects of a Short-Term Slackline Training Program on Energy Expenditure and Balance in Healthy Young Adults: A Preliminary Report of a Randomized Controlled Trial" International Journal of Environmental Research and Public Health 19, no. 8: 4830. https://doi.org/10.3390/ijerph19084830
APA StyleRutkowski, S., Wrzeciono, A., Czech, O., Rutkowska, A., & Szczegielniak, J. (2022). Effects of a Short-Term Slackline Training Program on Energy Expenditure and Balance in Healthy Young Adults: A Preliminary Report of a Randomized Controlled Trial. International Journal of Environmental Research and Public Health, 19(8), 4830. https://doi.org/10.3390/ijerph19084830

