Effects of Interactive Music Tempo with Heart Rate Feedback on Physio-Psychological Responses of Basketball Players
Abstract
:1. Introduction
2. Materials and Methods
2.1. Study Design, Setting, Sample Size
2.1.1. Participants
2.1.2. Experimental Design
2.1.3. Procedure
2.1.4. Exercise Tasks
2.1.5. Sample Size
2.1.6. Devices and Data Collection Protocol
2.1.7. Data Collection
Heart Rate Response
Rating of Perceived Exertion (RPE)
Exercise Performance
2.2. Intervention
2.2.1. Correlated Music Tempo with Heart Rate in BPM
2.2.2. Nutext and Nupiano Player
2.2.3. Music Selection
2.3. Comparison
2.4. Statistical Analysis
3. Results
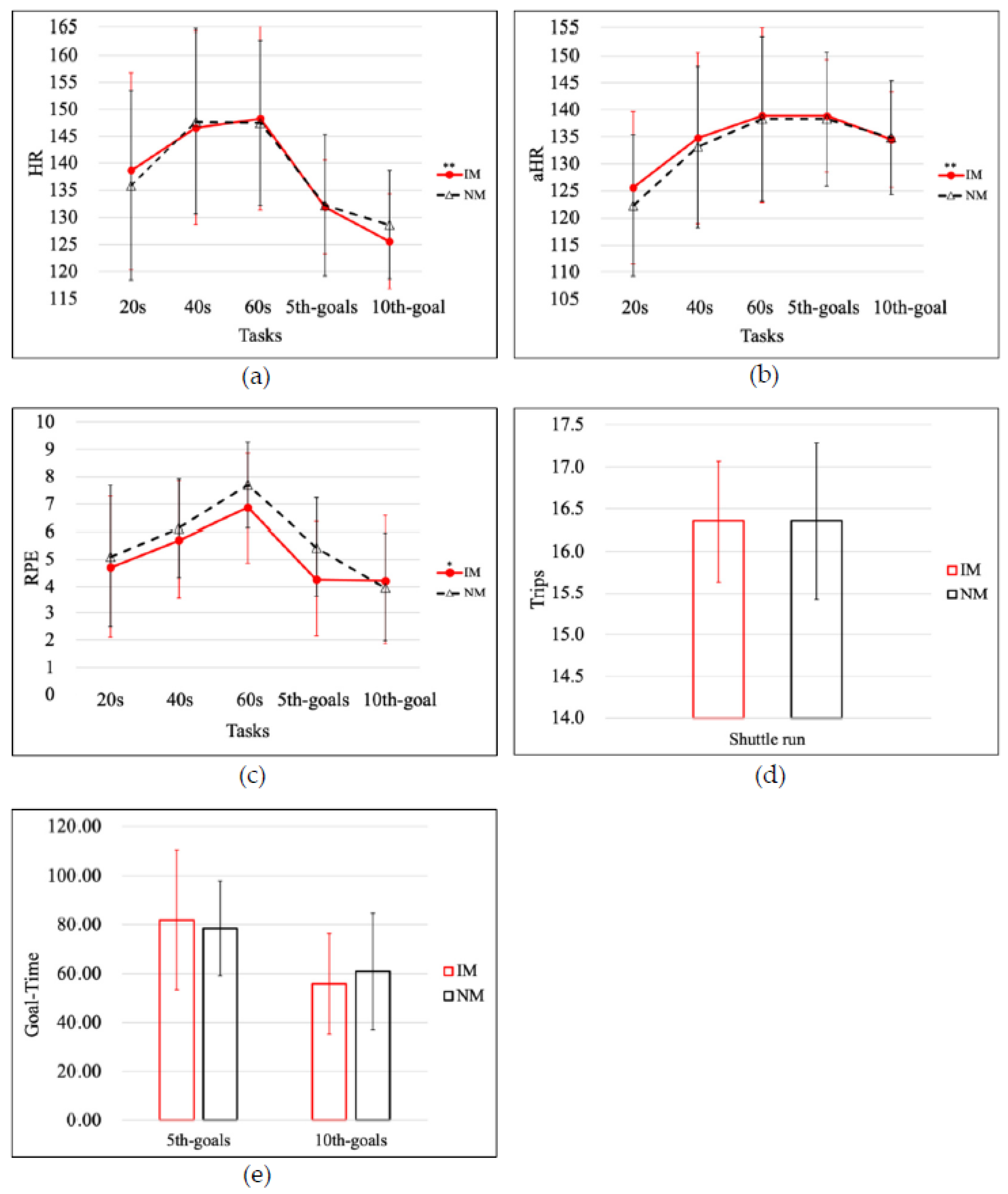
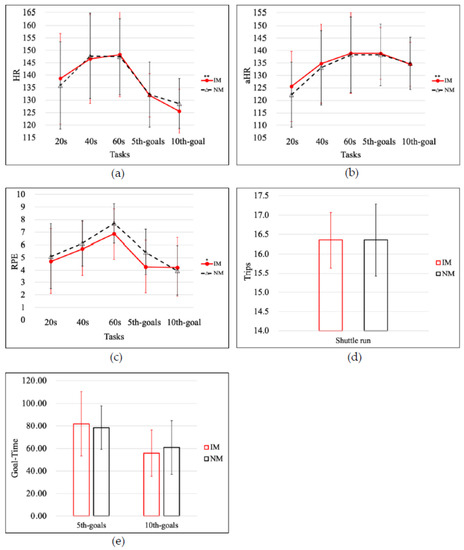
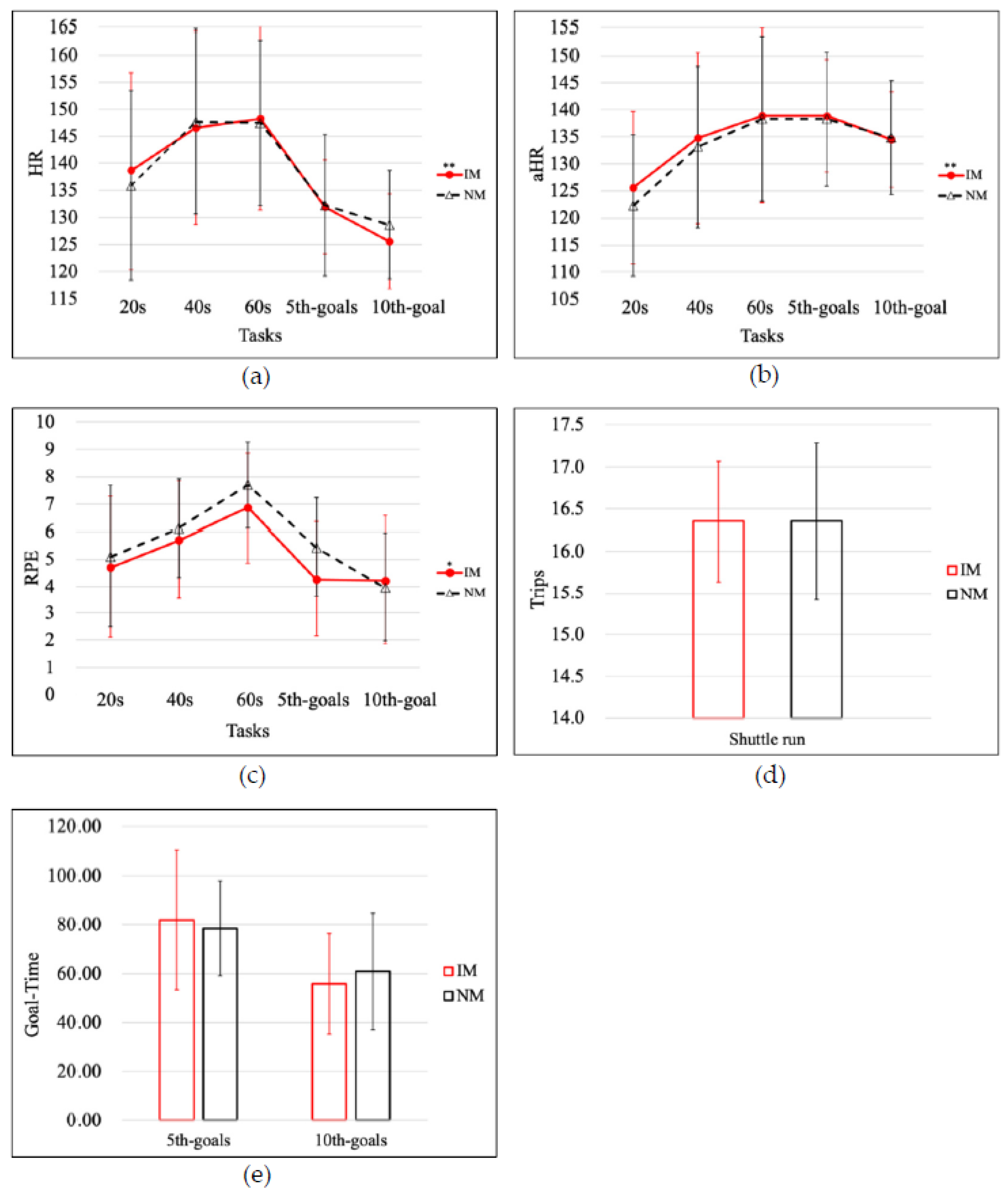
3.1. Interaction Effects: Condition × HR, Condition × HR × Gender
3.2. Interaction Effects: Condition × aHR, Condition × aHR × Gender
3.3. Interaction Effects: Condition × RPE, Condition × RPE × Gender
3.4. Interaction Effects: Condition × Trips, Condition × Trips × Gender
3.5. Interaction Effects: Condition × Goal-Time, Condition × Goal-Time × Gender
4. Discussion
5. Conclusions
Supplementary Materials
Author Contributions
Funding
Institutional Review Board Statement
Informed Consent Statement
Data Availability Statement
Acknowledgments
Conflicts of Interest
References
- Karageorghis, C.I. The scientific application of music in sport and exercise. Sport Exerc. Psychol. 2008, 109, 138. [Google Scholar]
- Bateman, A.; Bale, J. Sporting Sounds: Relationships between Sport and Music; Routledge: Oxfordshire, UK, 2008. [Google Scholar]
- Laukka, P.; Quick, L. Emotional and motivational uses of music in sports and exercise: A questionnaire study among athletes. Psychol. Music 2011, 41, 198–215. [Google Scholar] [CrossRef]
- DeNora, T. Music in Everyday Life; Cambridge University Press: Cambridge, UK, 2000. [Google Scholar]
- Godøy, R.I.; Leman, M. Musical Gestures: Sound, Movement, and Meaning; Routledge: New York, NY, USA, 2010. [Google Scholar]
- Lane, A.M. Sport and Exercise Psychology; Routledge: New York, NY, USA, 2015. [Google Scholar]
- Ballmann, C.G. The Influence of Music Preference on Exercise Responses and Performance: A Review. J. Funct. Morphol. Kinesiol. 2021, 6, 33. [Google Scholar] [CrossRef] [PubMed]
- Zatorre, R.J.; Chen, J.L.; Penhune, V.B. When the brain plays music: Auditory–motor interactions in music perception and production. Nat. Rev. Neurosci. 2007, 8, 547–558. [Google Scholar] [CrossRef]
- Karageorghis, C.I.; Terry, P.C.; Lane, A.M.; Bishop, D.T.; Priest, D.L. The BASES Expert Statement on use of music in exercise. J. Sports Sci. 2012, 30, 953–956. [Google Scholar] [CrossRef] [Green Version]
- Brown, P. An Enquiry into the Origins and Nature of Tempo Behaviour: Part II: Experimental Work. Psychol. Music. 1981, 9, 32–43. [Google Scholar] [CrossRef]
- Karageorghis, C.I. Affective and Psychophysical Responses to Asynchronous Music during Submaximal Treadmill Running; Brunel University: London, UK, 1998. [Google Scholar]
- North, A.; Hargreaves, D. The musical milieu: Studies of listening in everyday life. Psychologist 1997, 10, 309–312. [Google Scholar]
- Azarbarzin, A.; Ostrowski, M.; Hanly, P.; Younes, M. Relationship between arousal intensity and heart rate response to arousal. Sleep 2014, 37, 645–653. [Google Scholar] [CrossRef] [Green Version]
- Iwanaga, M. Relationship between heart rate and preference for tempo of music. Percept. Mot. Ski. 1995, 81, 435–440. [Google Scholar] [CrossRef]
- Karageorghis, C.I.; Jones, L.; Low, D.C. Relationship between exercise heart rate and music tempo preference. Res. Q. Exerc. Sport 2006, 77, 240–250. [Google Scholar] [CrossRef]
- Moelants, D. Preferred tempo reconsidered. In Proceedings of the 7th International Conference on Music Perception and Cognition, Sydney, Australia, 17–21 July 2002. [Google Scholar]
- Copeland, B.L.; Franks, B.D. Effects of types and intensities of background music on treadmill endurance. J. Sports Med. Phys. Fit. 1991, 31, 100–103. [Google Scholar]
- Lee, A.L.; Dolmage, T.E.; Rhim, M.; Goldstein, R.S.; Brooks, D. The impact of listening to music during a high-intensity exercise endurance test in people with COPD. Chest 2018, 153, 1134–1141. [Google Scholar] [CrossRef] [PubMed]
- Ellis, D.S.; Brighouse, G. Effects of Music on Respiration- and Heart-Rate. Am. J. Psychol. 1952, 65, 39–47. [Google Scholar] [CrossRef] [PubMed]
- Karow, M.C.; Rogers, R.R.; Pederson, J.A.; Williams, T.D.; Marshall, M.R.; Ballmann, C.G. Effects of Preferred and Nonpreferred Warm-Up Music on Exercise Performance. Percept. Mot. Ski. 2020, 127, 912–924. [Google Scholar] [CrossRef] [PubMed]
- Ballmann, C.G.; Favre, M.L.; Phillips, M.T.; Rogers, R.R.; Pederson, J.A.; Williams, T.D. Effect of Pre-Exercise Music on Bench Press Power, Velocity, and Repetition Volume. Percept. Mot. Ski. 2021, 128, 1183–1196. [Google Scholar] [CrossRef]
- Nakamura, P.M.; Pereira, G.; Papini, C.B.; Nakamura, F.Y.; Kokubun, E. Effects of preferred and nonpreferred music on continuous cycling exercise performance. Percept. Mot. Ski. 2010, 110, 257–264. [Google Scholar] [CrossRef]
- Stork, M.J.; Kwan, M.Y.; Gibala, M.J.; Ginis, K.M. Music enhances performance and perceived enjoyment of sprint interval exercise. Med. Sci. Sports Exerc. 2015, 47, 1052–1060. [Google Scholar] [CrossRef]
- Rhoads, K.J.; Sosa, S.R.; Rogers, R.R.; Kopec, T.J.; Ballmann, C.G. Sex Differences in Response to Listening to Self-Selected Music during Repeated High-Intensity Sprint Exercise. Sexes 2021, 2, 60–68. [Google Scholar] [CrossRef]
- Ballmann, C.G.; Cook, G.D.; Hester, Z.T.; Kopec, T.J.; Williams, T.D.; Rogers, R.R. Effects of Preferred and Non-Preferred Warm-Up Music on Resistance Exercise Performance. J. Funct. Morphol. Kinesiol. 2020, 6, 3. [Google Scholar] [CrossRef]
- Torabi, F.; Sheikh, M.; Safaniya, A. The Effect of Arousal (by Audience and Music as Motivational Factors) on Learning and Performance of Continuous Skill (Basketball Dribbling). J. Mot. Learn. Mov. 2011, 3, 23–42. [Google Scholar]
- Eliakim, M.; Meckel, Y.; Gotlieb, R.; Nemet, D.; Eliakim, A. Motivational Music and Repeated Sprint Ability in junior Basketball Players. Acta Kinesiol. Univ. Tartu. 2012, 18, 29–38. [Google Scholar] [CrossRef] [Green Version]
- Shojaei, M.; Sangsari, M.M. Effect of listening to slow and fast Rhythm music, during warm up on arousal and performance in elite basketball players. J. Sci. Med. Sport 2010, 12, e112. [Google Scholar] [CrossRef]
- Patania, V.M.; Padulo, J.; Iuliano, E.; Ardigò, L.P.; Čular, D.; Miletić, A.; de Giorgio, A. The psychophysiological effects of different tempo music on endurance versus high-intensity performances. Front. Psychol. 2020, 11, 74. [Google Scholar] [CrossRef] [PubMed]
- Boutcher, S.H.; Trenske, M. The effects of sensory deprivation and music on perceived exertion and affect during exercise. J. Sport Exerc. Psychol. 1990, 12, 167–176. [Google Scholar] [CrossRef]
- Ballmann, C.G.; Maynard, D.J.; Lafoon, Z.N.; Marshall, M.R.; Williams, T.D.; Rogers, R.R. Effects of listening to preferred versus non-preferred music on repeated wingate anaerobic test performance. Sports 2019, 7, 185. [Google Scholar] [CrossRef] [PubMed] [Green Version]
- Karageorghis, C.I.; Jones, L. On the stability and relevance of the exercise heart rate–music-tempo preference relationship. Psychol. Sport. Exerc. 2014, 15, 299–310. [Google Scholar] [CrossRef] [Green Version]
- De Giorgio, A.; Kuvačić, G.; Milić, M.; Padulo, J. The Brain and Movement: How Physical Activity Affects the Brain. Montenegrin J. Sports Sci. Med. 2018, 7, 63–68. [Google Scholar] [CrossRef] [Green Version]
- Biagini, M.S.; Brown, L.E.; Coburn, J.W.; Judelson, D.A.; Statler, T.A.; Bottaro, M.; Tran, T.T.; Longo, N.A. Effects of self-selected music on strength, explosiveness, and mood. J. Strength Cond. Res. 2012, 26, 1934–1938. [Google Scholar] [CrossRef] [Green Version]
- Hsu, D.Y.; Huang, L.; Nordgren, L.F.; Rucker, D.D.; Galinsky, A.D. The music of power: Perceptual and behavioral consequences of powerful music. Soc. Psychol. Personal. Sci. 2015, 6, 75–83. [Google Scholar] [CrossRef]
- Bishop, D.T.; Wright, M.J.; Karageorghis, C.I. Tempo and intensity of pre-task music modulate neural activity during reactive task performance. Psychol. Music 2014, 42, 714–727. [Google Scholar] [CrossRef] [Green Version]
- Blasco-Lafarga, C.; Ricart, B.; Cordellat, A.; Roldán, A.; Navarro-Roncal, C.; Monteagudo, P. High versus low motivating music on intermittent fitness and agility in young well-trained basketball players. Int. J. Sport Exerc. Psychol. 2021, 1–17. [Google Scholar] [CrossRef]
- Desai, R.; Patel, J.; Parmar, J. Effect of music on post-exercise recovery rate in young healthy individuals. Int. J. Res. Med. Sci. 2015, 3, 896–898. [Google Scholar] [CrossRef]
- Atan, T. Effect of music on anaerobic exercise performance. Biol. Sport 2013, 30, 35. [Google Scholar] [CrossRef] [PubMed] [Green Version]
- Pujol, T.J.; Langenfeld, M.E. Influence of music on Wingate Anaerobic Test performance. Percept. Mot. Ski. 1999, 88, 292–296. [Google Scholar] [CrossRef] [PubMed]
- Feiss, R.; Kostrna, J.; Scruggs, J.W.; Pangelinan, M.; Tenenbaum, G. Effects of music tempo on perceived exertion, attention, affect, heart rate, and performance during isometric strength exercise. J. Sports Sci. 2021, 39, 161–169. [Google Scholar] [CrossRef] [PubMed]
- Faulkner, M.; McNeilly, A.; Davison, G.; Rowe, D.; Hewitt, A.; Nevill, A.; Duly, E.; Trinick, T.; Murphy, M. Music tempo: A tool for regulating walking cadence and physical activity intensity in overweight adults? Int. J. Environ. Res. Public Health 2021, 18, 7855. [Google Scholar] [CrossRef] [PubMed]
- Leman, M.; Moelants, D.; Varewyck, M.; Styns, F.; van Noorden, L.; Martens, J.-P. Activating and relaxing music entrains the speed of beat synchronized walking. PLoS ONE 2013, 8, e67932. [Google Scholar]
- Terry, P.C.; Karageorghis, C.I.; Saha, A.M.; D’Auria, S. Effects of synchronous music on treadmill running among elite triathletes. J. Sci. Med. Sport 2012, 15, 52–57. [Google Scholar] [CrossRef] [Green Version]
- Simpson, S.D.; Karageorghis, C.I. The effects of synchronous music on 400-m sprint performance. J. Sports Sci. 2006, 24, 1095–1102. [Google Scholar] [CrossRef]
- Bacon, C.; Myers, T.; Karageorghis, C. Effect of music-movement synchrony on exercise oxygen consumption. J. Sports Med. Phys. Fit. 2012, 52, 359. [Google Scholar]
- Hayakawa, Y.; Takada, K.; Miki, H.; Tanaka, K. Effects of music on mood during bench stepping exercise. Percept. Mot. Ski. 2000, 90, 307–314. [Google Scholar] [CrossRef] [PubMed]
- Anshel, M.H.; Marisi, D.Q. Effect of music and rhythm on physical performance. Res. Quarterly. Am. Alliance Health Phys. Educ. Recreat. 1978, 49, 109–113. [Google Scholar] [CrossRef]
- Uppal, A.; Datta, U. Cardiorespiratory response of junior high school girls to exercise performed with and without music. J. Phys. Educ. Sport Sci. 1990, 2, 52–56. [Google Scholar]
- Michel, W.; Wanner, H.U. Einfuss der musik auf die sportliche leistung. Schweiz. Z. fÜR Sportmed. 1975, 23, 141–159. [Google Scholar]
- Murphy, J. 45:33; DFA Records: New York, NY, USA, 2006. [Google Scholar]
- Wissel, H. Basketball: Steps to Success, 3rd ed.; Human Kinetics: New York, NY, USA, 2011. [Google Scholar]
- Gellish, R.L.; Goslin, B.R.; Olson, R.E.; McDonald, A.; Russi, G.D.; Moudgil, V.K. Longitudinal Modeling of the Relationship between Age and Maximal Heart Rate. Med. Sci. Sports Exerc. 2007, 39, 822–829. [Google Scholar] [CrossRef]
- Campbell, D.T.; Stanley, J.C. Experimental and Quasi-Experimental Designs for Research; Ravenio Books: Evanston, IL, USA, 2015. [Google Scholar]
- Faul, F.; Erdfelder, E.; Lang, A.G.; Buchner, A. G*Power 3: A flexible statistical power analysis program for the social, behavioral, and biomedical sciences. Behav. Res. Methods 2007, 39, 175–191. [Google Scholar] [CrossRef]
- Hailu, R. Fitbits, other Wearables May Not Accurately Track Heart Rates in People of Color. STAT News. 2019. Available online: https://www.statnews.com/2019/07/24/fitbit-accuracy-dark-skin/ (accessed on 8 April 2022).
- Jo, E.; Directo, D.; Kim, M.J.; Dolezal, B.A. Validation of biofeedback wearables for photoplethysmographic heart rate tracking. J. Sports Sci. Med. 2016, 15, 540. [Google Scholar]
- Reddy, R.K.; Pooni, R.; Zaharieva, D.P.; Senf, B.; el Youssef, J.; Dassau, E.; Iii, F.J.D.; Clements, M.A.; Rickels, M.R.; Patton, S.R. Accuracy of wrist-worn activity monitors during common daily physical activities and types of structured exercise: Evaluation study. JMIR mHealth Uhealth 2018, 6, e10338. [Google Scholar] [CrossRef]
- Sartor, F.; Gelissen, J.; van Dinther, R.; Roovers, D.; Papini, G.B.; Coppola, G. Wrist-worn optical and chest strap heart rate comparison in a heterogeneous sample of healthy individuals and in coronary artery disease patients. BMC Sports Sci. Med. Rehabil. 2018, 10, 1–10. [Google Scholar] [CrossRef] [Green Version]
- Shcherbina, A.; Mattsson, C.M.; Waggott, D.; Salisbury, H.; Christle, J.W.; Hastie, T.; Wheeler, M.T.; Ashley, E.A. Accuracy in wrist-worn, sensor-based measurements of heart rate and energy expenditure in a diverse cohort. J. Pers. Med. 2017, 7, 3. [Google Scholar] [CrossRef]
- Wallen, M.P.; Gomersall, R.S.; Keating, S.E.; Wisløff, U.; Coombes, J.S. Accuracy of heart rate watches: Implications for weight management. PLoS ONE 2016, 11, e0154420. [Google Scholar] [CrossRef] [Green Version]
- Bickler, P.E.; Feiner, J.R.; Severinghaus, J.W. Effects of skin pigmentation on pulse oximeter accuracy at low saturation. J. Am. Soc. Anesthesiol. 2005, 102, 715–719. [Google Scholar]
- Bent, B.; Goldstein, B.A.; Kibbe, W.A.; Dunn, J.P. Investigating sources of inaccuracy in wearable optical heart rate sensors. NPJ Digit. Med. 2020, 3, 18. [Google Scholar] [CrossRef] [PubMed] [Green Version]
- Borg, G.A.V. Psychophysical bases of perceived exertion. Med. Sci. Sports Exerc. 1982, 14, 77–381. [Google Scholar] [CrossRef]
- Borg, G. Borg’s Perceived Exertion and Pain Scales; Human Kinetics: Champaign, IL, USA, 1998; pp. iii, 104–viii, 104. [Google Scholar]
- Borg, E.; Kaijser, L. A comparison between three rating scales for perceived exertion and two different work tests. Scand. J. Med. Sci. Sports 2006, 16, 57–69. [Google Scholar] [CrossRef] [PubMed]
- Li-Chuan, T.; Ming-Hua, C.; Li-Keng, C.; Tsu-Chin, T. Device for Adjusting Music Rhythm according to Sensor; M.o.E.A. Intellectual Property Office: Taipei, China, 2020. [Google Scholar]
- Leman, M.; Desmet, F.; Styns, F.; van Noorden, L.; Moelants, D. Sharing musical expression through embodied listening: A case study based on Chinese guqin music. Music Percept. 2009, 26, 263–278. [Google Scholar] [CrossRef] [Green Version]
- Pauer, E. The Elements of the Beautiful in Music; Forgotten Books: New York, NY, USA, 1877; Volume 48. [Google Scholar]
- Field, A. Discovering Statistics Using IBM SPSS Statistics; Sage: New York, NY, USA, 2013. [Google Scholar]
- Howell, D.C. Statistical Methods for Psychology; Cengage Learning: Boston, MA, USA, 2012. [Google Scholar]








| Group 1 (n = 11) | Group 2 (n = 12) | Overall | |||||
|---|---|---|---|---|---|---|---|
| Gender | M (n = 6) | F (n = 5) | M/F 6/5 | M (n = 7) | F (n = 5) | M/F 7/5 | M/F 13/10 |
| Age (years) | 20.33 ± 5.79 | 19.80 ± 3.83 | 20.09 ± 4.76 | 19.71 ± 2.21 | 20.40 ± 6.19 | 20.00 ± 4.09 | 20.04 ± 4.32 |
| Height (cm) | 183.00 ± 7.21 | 170.60 ± 6.23 | 177.36 ± 9.14 | 184.14 ± 6.91 | 162.60 ± 5.81 | 175.17 ± 12.71 | 176.22 ± 10.95 |
| Mass (kg) | 76.00 ± 6.48 | 61.78 ± 5.02 | 69.54 ± 9.29 | 77.57 ± 9.57 | 55.48 ± 5.37 | 68.37 ± 13.78 | 68.93 ± 11.60 |
| BMI (kg/m2) | 22.70 ± 1.49 | 21.24 ± 0.94 | 22.04 ± 1.43 | 22.81 ± 1.73 | 20.94 ± 0.91 | 22.03 ± 1.69 | 22.03 ± 1.54 |
| HRrest (BPM) | 78.67 ± 5.28 | 73.60 ± 9.61 | 76.36 ± 7.61 | 78.86 ± 6.28 | 78.60 ± 4.56 | 78.75 ± 5.40 | 74.09 ± 6.51 |
| HRmax (BPM) | 193.33 ± 4.18 | 193.60 ± 2.51 | 193.45 ± 3.36 | 194.00 ± 1.53 | 193.00 ± 4.24 | 193.58 ± 2.84 | 193.52 ± 3.03 |
| Phase | Condition | Data Collection with Time Tag | Rules |
|---|---|---|---|
| Pre-task | SIM NM | HRrest | 10 min |
| Shuttle run | SIM NM | HR20/RPE20 HR40/RPE40 HR60/RPE60 Real-time HR | 60 s |
| Shooting I | SIM NM | HR5th/RPE5th Real-time HR | 5 goals |
| Shooting II | AIM NM | HR10th/RPE10th Real-time HR | 5 goals |
| Effected Factors | Models |
|---|---|
| HR, aHR, RPE | 2 (Condition: NM, IM) × 5 (Time Tags) × 2 (Gender) mixed-model |
| Trips | 2 (Condition: NM, IM) × 1 (Trips) × 2 (Gender) mixed-model |
| Goal-Time | 2 (Condition: NM, IM) × 2 (Time Tags) × 2 (Gender) mixed-model |
| Condition | No Music (NM) | Interactive Music (IM) | ||
|---|---|---|---|---|
| Mean | Standard Deviation | Mean | Standard Deviation | |
| HR20 | 135.91 | 17.51 | 138.65 | 18.25 |
| HR40 | 147.65 | 16.99 | 146.52 | 17.75 |
| HR60 | 147.43 | 15.18 | 148.26 | 16.86 |
| HR5th | 132.22 | 13.05 | 131.96 | 8.66 |
| HR10th | 128.65 | 10.06 | 125.57 | 8.76 |
| aHR20 | 122.29 | 13.08 | 125.59 | 14.06 |
| aHR40 | 133.13 | 14.96 | 134.74 | 15.81 |
| aHR60 | 138.31 | 15.18 | 138.88 | 15.98 |
| aHR5th | 138.30 | 12.34 | 138.87 | 10.43 |
| aHR10th | 134.81 | 10.53 | 134.47 | 8.84 |
| RPE20 | 5.09 | 2.59 | 4.70 | 2.58 |
| RPE40 | 6.13 | 1.79 | 5.70 | 2.16 |
| RPE60 | 7.70 | 1.58 | 6.87 | 2.01 |
| PRE5th | 5.43 | 1.81 | 4.26 | 2.09 |
| RPE10th | 3.96 | 1.99 | 4.22 | 2.35 |
| Trips | 16.35 | 0.94 | 16.35 | 0.71 |
| Time5th | 78.44 | 19.41 | 82.01 | 28.65 |
| Time10th | 60.97 | 23.85 | 55.86 | 20.54 |
Publisher’s Note: MDPI stays neutral with regard to jurisdictional claims in published maps and institutional affiliations. |
© 2022 by the authors. Licensee MDPI, Basel, Switzerland. This article is an open access article distributed under the terms and conditions of the Creative Commons Attribution (CC BY) license (https://creativecommons.org/licenses/by/4.0/).
Share and Cite
Chen, C.-C.; Chen, Y.; Tang, L.-C.; Chieng, W.-H. Effects of Interactive Music Tempo with Heart Rate Feedback on Physio-Psychological Responses of Basketball Players. Int. J. Environ. Res. Public Health 2022, 19, 4810. https://doi.org/10.3390/ijerph19084810
Chen C-C, Chen Y, Tang L-C, Chieng W-H. Effects of Interactive Music Tempo with Heart Rate Feedback on Physio-Psychological Responses of Basketball Players. International Journal of Environmental Research and Public Health. 2022; 19(8):4810. https://doi.org/10.3390/ijerph19084810
Chicago/Turabian StyleChen, Chung-Chiang, Yi Chen, Li-Chuan Tang, and Wei-Hua Chieng. 2022. "Effects of Interactive Music Tempo with Heart Rate Feedback on Physio-Psychological Responses of Basketball Players" International Journal of Environmental Research and Public Health 19, no. 8: 4810. https://doi.org/10.3390/ijerph19084810
APA StyleChen, C.-C., Chen, Y., Tang, L.-C., & Chieng, W.-H. (2022). Effects of Interactive Music Tempo with Heart Rate Feedback on Physio-Psychological Responses of Basketball Players. International Journal of Environmental Research and Public Health, 19(8), 4810. https://doi.org/10.3390/ijerph19084810

