Carbon Emission Constraint Policy in an OEM and Outsourcing Remanufacturer Supply Chain with Consumer Preferences
Abstract
:1. Introduction
- How do carbon emission constraints affect optimal production decisions of an OEM and a remanufacturer?
- What are the economic impacts of carbon emission constraints on an OEM and a remanufacturer? What are the environmental impacts?
- How does the government set the best carbon emission constraint policy under which the minimal environmental impact and maximum economic performance could be attained in the society?
2. Model Introduction
2.1. Problem Description
2.2. Model Symbols
2.3. Model Function
3. Model Establishment and Analysis
3.1. Model Establishment
| Symbol | Without Carbon Emission Constraint Policy (1) | Under Carbon Emission Constraint Policy (2) |
|---|---|---|
3.2. Model Analysis
- (i)
- Without the carbon emission constraint policy, the total carbon emission of new products is, the total carbon emission of remanufactured products is, and the total carbon emission of two types of products is.
- (ii)
- Under the carbon emission constraint policy, the total carbon emission of new products is , the total carbon emission of remanufactured products is, and the total carbon emission of two types of products is.
- (i)
- , when, , otherwise,;
- (ii)
- ; , when, , otherwise,;
- (iii)
- ; .
- (i)
- ; ;
- (ii)
- When, , otherwise,;
- (iii)
- ;when, , otherwise,.
- (i)
- When, , otherwise,.
- (ii)
- When, , otherwise,
4. Numerical Analysis
4.1. The Impact of and on Unit Sales Prices of New Products and Remanufactured Products
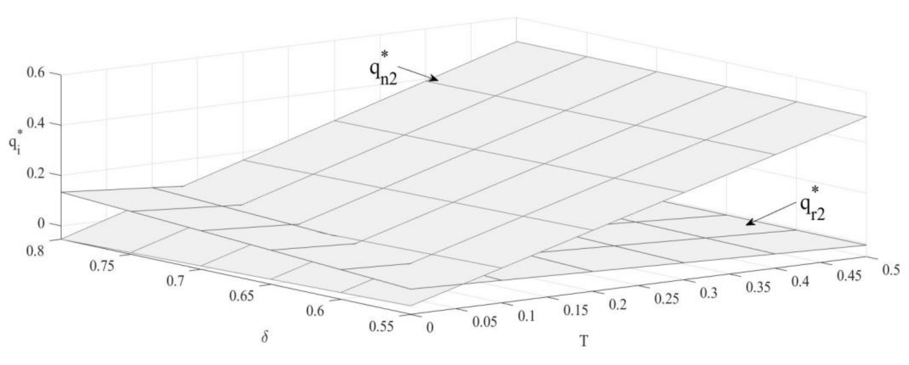
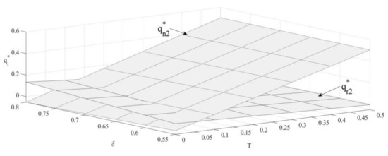
4.2. The Impact of and on Sales Volume of New Products and Remanufactured Products
4.3. The Impact of and on the Revenue of the OEM and Remanufacturer
5. Discussion
6. Conclusions
Author Contributions
Funding
Institutional Review Board Statement
Informed Consent Statement
Data Availability Statement
Conflicts of Interest
Appendix A
References
- Nabernegg, S.; Bednar-Friedl, B.; Wagner, F.; Schinko, T.; Cofala, J.; Clement, Y.M. The Deployment of Low Carbon Technologies in Energy Intensive Industries: A Macroeconomic Analysis for Europe, China and India. Energies 2017, 10, 360. [Google Scholar] [CrossRef] [Green Version]
- Bian, J.; Zhao, X. Tax or subsidy? An analysis of environmental policies in supply chains with retail competition. Eur. J. Oper. Res. 2020, 283, 901–914. [Google Scholar] [CrossRef]
- Huang, Y.; Yi, Q.; Kang, J.-X.; Zhang, Y.-G.; Li, W.-Y.; Feng, J.; Xie, K.-C. Investigation and optimization analysis on deployment of China coal chemical industry under carbon emission constraints. Appl. Energy 2019, 254, 113684. [Google Scholar] [CrossRef]
- Wang, C.; Wang, W.; Huang, R. Supply chain enterprise operations and government carbon tax decisions considering carbon emissions. J. Clean. Prod. 2017, 152, 271–280. [Google Scholar] [CrossRef]
- Alegoz, M.; Kaya, O.; Bayindir, Z.P. A comparison of pure manufacturing and hybrid manufacturing remanufacturing systems under carbon tax policy. Eur. J. Oper. Res. 2021, 294, 161–173. [Google Scholar] [CrossRef]
- Dou, G.W.; Guo, H.N.; Zhang, Q.Y.; Li, X.D. A two-period carbon tax regulation for manufactured and remanufactured production planning. Comput. Ind. Eng. 2019, 128, 502–513. [Google Scholar] [CrossRef]
- Saxena, L.K.; Jain, P.K.; Sharma, A.K. Tactical supply chain planning for tyre remanufacturing considering carbon tax policy. Int. J. Adv. Manuf. Technol. 2018, 97, 1505–1528. [Google Scholar] [CrossRef]
- Haites, E. Carbon taxes and greenhouse gas emissions trading systems: What have we learned? Clim. Policy 2018, 18, 955–966. [Google Scholar] [CrossRef] [Green Version]
- Bi, H.M.; Xiao, H.; Sun, K.J. The Impact of Carbon Market and Carbon Tax on Green Growth Pathway in China: A Dynamic CGE Model Approach. Emerg. Mark. Financ. Trade 2019, 55, 1312–1325. [Google Scholar] [CrossRef]
- Cao, K.; He, P.; Liu, Z. Production and pricing decisions in a dual-channel supply chain under remanufacturing subsidy policy and carbon tax policy. J. Oper. Res. Soc. 2020, 71, 1199–1215. [Google Scholar] [CrossRef]
- Zhang, Y.; Hong, Z.; Chen, Z.; Glock, C.H. Tax or subsidy? Design and selection of regulatory policies for remanufacturing. Eur. J. Oper. Res. 2020, 287, 885–900. [Google Scholar] [CrossRef]
- Zhao, S.L.; Zhu, Q.H. Remanufacturing supply chain coordination under the stochastic remanufacturability rate and the random demand. Ann. Oper. Res. 2017, 257, 661–695. [Google Scholar] [CrossRef]
- Li, L.; Guo, S.; Cai, H.; Wang, J.; Zhang, J.; Ni, Y. Can China’s BEV market sustain without government subsidies?: An explanation using cues utilization theory. J. Clean. Prod. 2020, 272, 122589. [Google Scholar] [CrossRef]
- Yang, M.; Zhang, L.; Dong, W. Economic Benefit Analysis of Charging Models Based on Differential Electric Vehicle Charging Infrastructure Subsidy Policy in China. Sustain. Cities Soc. 2020, 59, 102206. [Google Scholar] [CrossRef]
- Gu, X.Y.; Zhou, L.; Huang, H.F.; Shi, X.T.; Ieromonachou, P. Electric vehicle battery secondary use under government subsidy: A closed-loop supply chain perspective. Int. J. Prod. Econ. 2021, 234, 108035. [Google Scholar] [CrossRef]
- Qiao, H.K.; Su, Q. Impact of government subsidy on the remanufacturing industry. Waste Manag. 2021, 120, 433–447. [Google Scholar] [CrossRef]
- Zhu, X.; Ren, M.; Chu, W.; Chiong, R. Remanufacturing subsidy or carbon regulation? An alternative toward sustainable production. J. Clean. Prod. 2019, 239, 117988. [Google Scholar] [CrossRef]
- Mitra, S.; Webster, S. Competition in remanufacturing and the effects of government subsidies. Int. J. Prod. Econ. 2008, 111, 287–298. [Google Scholar] [CrossRef]
- Helveston, J.P.; Liu, Y.; Feit, E.M.; Fuchs, E.; Klampfl, E.; Michalek, J.J. Will subsidies drive electric vehicle adoption? Measuring consumer preferences in the U.S. and China. Transp. Res. Part A Policy Pract. 2015, 73, 96–112. [Google Scholar] [CrossRef] [Green Version]
- Li, J.; Du, W.; Yang, F.; Hua, G. The Carbon Subsidy Analysis in Remanufacturing Closed-Loop Supply Chain. Sustainability 2014, 6, 3861–3877. [Google Scholar] [CrossRef] [Green Version]
- Lu, Z.; Shao, S. Impacts of government subsidies on pricing and performance level choice in Energy Performance Contracting: A two-step optimal decision model. Appl. Energy 2016, 184, 1176–1183. [Google Scholar] [CrossRef]
- Esenduran, G.; Kemahlıoğlu-Ziya, E.; Swaminathan, J.M. Impact of Take-Back Regulation on the Remanufacturing Industry. Prod. Oper. Manag. 2017, 26, 924–944. [Google Scholar] [CrossRef]
- Huang, Y.; Wang, Z. Closed-loop supply chain models with product take-back and hybrid remanufacturing under technology licensing. J. Clean. Prod. 2017, 142, 3917–3927. [Google Scholar] [CrossRef]
- Li, B.Y.; Wang, Y.; Wang, Z. Managing a closed-loop supply chain with take-back legislation and consumer preference for green design. J. Clean. Prod. 2021, 282, 124481. [Google Scholar] [CrossRef]
- Chai, Q.; Xiao, Z.; Lai, K.-H.; Zhou, G. Can carbon cap and trade mechanism be beneficial for remanufacturing? Int. J. Prod. Econ. 2018, 203, 311–321. [Google Scholar] [CrossRef]
- Hu, X.; Yang, X.J.; Sun, J.; Zhang, Y.L. Carbon tax or cap-and-trade: Which is more viable for Chinese remanufacturing industry? J. Clean. Prod. 2020, 243, 118606. [Google Scholar] [CrossRef] [Green Version]
- Flachsland, C.; Marschinski, R.; Edenhofer, O. To link or not to link: Benefits and disadvantages of linking cap-and-trade systems. Clim. Policy 2009, 9, 358–372. [Google Scholar] [CrossRef]
- Knight, E.R.W. The economic geography of European carbon market trading. J. Econ. Geogr. 2011, 11, 817–841. [Google Scholar] [CrossRef] [Green Version]
- Jevnaker, T.; Wettestad, J. Ratcheting Up Carbon Trade: The Politics of Reforming EU Emissions Trading. Glob. Environ. Politi 2017, 17, 105–124. [Google Scholar] [CrossRef] [Green Version]
- Naegele, H.; Zaklan, A. Does the EU ETS cause carbon leakage in European manufacturing? J. Environ. Econ. Manag. 2019, 93, 125–147. [Google Scholar] [CrossRef] [Green Version]
- Tang, R.H.; Guo, W.; Oudenes, M.; Li, P.; Wang, J.; Tang, J.; Wang, L.; Wang, H. Key challenges for the establishment of the monitoring, reporting and verification (MRV) system in China’s national carbon emissions trade market. Clim. Policy 2018, 18, 106–121. [Google Scholar] [CrossRef]
- Weitzman, M.L. For International Cap-and-Trade in Carbon Permits, Price Stabilization Introduces Secondary Free-Rider-Type Problems. Environ. Resour. Econ. 2019, 74, 939–942. [Google Scholar] [CrossRef]
- Chang, X.Y.; Li, Y.P.; Zhao, Y.B.; Liu, W.J.; Wu, J. Effects of carbon permits allocation methods on remanufactured production decisions. J. Clean. Prod. 2017, 152, 281–294. [Google Scholar] [CrossRef]
- Tang, B.J.; Ji, C.J.; Hu, Y.J.; Tan, J.X.; Wang, X.Y. Optimal carbon allowance price in China’s carbon emission trade system: Perspective from the multi-sectoral marginal abatement cost. J. Clean. Prod. 2020, 253, 119945. [Google Scholar] [CrossRef]
- Song, S.; Govindan, K.; Xu, L.; Du, P.; Qiao, X.J. Capacity and production planning with carbon emission constraints. Transp. Res. Part E Logist. Transp. Rev. 2017, 97, 132–150. [Google Scholar] [CrossRef]
- Zhao, H.L.; Lin, B.Q. Assessing the energy productivity of China’s textile industry under carbon emission constraints. J. Clean. Prod. 2019, 228, 197–207. [Google Scholar] [CrossRef]
- Zhang, B.B.; Tian, X. Economic Transition under Carbon Emission Constraints in China: An Evaluation at the City Level. Emerg. Mark. Financ. Trade 2019, 55, 1280–1293. [Google Scholar] [CrossRef]
- Dye, C.Y.; Yang, C.T. Sustainable trade credit and replenishment decisions with credit-linked demand under carbon emission constraints. J. Clean Prod. 2015, 244, 187–200. [Google Scholar] [CrossRef]
- Dai, L.X.; Wang, M.Y. Study on the influence of carbon emission constraints on the performance of thermal power enterprises. Environ. Sci. Pollut. Res. 2020, 27, 30875–30884. [Google Scholar] [CrossRef]
- Chai, Y.; Lin, X.Q.; Wang, D. Industrial Structure Transformation and Layout Optimization of Beijing-Tianjin-Hebei Region under Carbon Emission Constraints. Sustainability 2021, 13, 643. [Google Scholar] [CrossRef]
- Zhang, Z.C.; Gong, B.G.; Tang, J.; Liu, Z.; Zheng, X.X. The joint dynamic green innovation and pricing strategies for a hybrid system of manufacturing and remanufacturing with carbon emission constraints. Kybernetes 2019, 48, 1699–1730. [Google Scholar] [CrossRef]
- Turki, S.; Rezg, N. Impact of the Quality of Returned-Used Products on the Optimal Design of a Manufacturing/Remanufacturing System under Carbon Emissions Constraints. Sustainability 2018, 10, 3197. [Google Scholar] [CrossRef] [Green Version]
- Moon, I.; Jeong, Y.J.; Saha, S. Fuzzy Bi-Objective Production-Distribution Planning Problem under the Carbon Emission Constraint. Sustainability 2016, 8, 798. [Google Scholar] [CrossRef] [Green Version]
- Shu, T.; Liu, Q.; Chen, S.; Wang, S.Y.; Lai, K.K. Pricing Decisions of CSR Closed-Loop Supply Chains with Carbon Emission Constraints. Sustainability 2018, 10, 4430. [Google Scholar] [CrossRef] [Green Version]
- Xie, J.P.; Li, J.; Liang, L.; Fang, X.; Yang, G.; Wei, L.H. Contracting Emissions Reduction Supply Chain Based on Market Low-Carbon Preference and Carbon Intensity Constraint. Asia-Pac. J. Oper. Res. 2020, 37, 2050003. [Google Scholar] [CrossRef]
- Zhang, S.M.; Li, Q. Enterprise Production and Emission Reduction Strategy under Carbon Emission Constraint. Math. Probl. Eng. 2021, 2021, 6039134. [Google Scholar] [CrossRef]
- Savaskan, R.C.; Bhattacharya, S.; Van Wassenhove, L.N. Closed-Loop Supply Chain Models with Product Remanufacturing. Manag. Sci. 2004, 50, 239–252. [Google Scholar] [CrossRef] [Green Version]
- Li, J.; González, M.; Zhu, Y. A hybrid simulation optimization method for production planning of dedicated remanufacturing. Int. J. Prod. Econ. 2009, 117, 286–301. [Google Scholar] [CrossRef]
- Faraca, G.; Edjabou, V.M.; Boldrin, A.; Astrup, T. Combustible waste collected at Danish recycling centres: Characterisation, recycling potentials and contribution to environmental savings. Waste Manag. 2019, 89, 354–365. [Google Scholar] [CrossRef]
- Xu, L.; Wang, C. Sustainable manufacturing in a closed-loop supply chain considering emission reduction and remanufacturing. Resour. Conserv. Recycl. 2018, 131, 297–304. [Google Scholar] [CrossRef]
- Zhou, J.; Deng, Q.W.; Li, T. Optimal acquisition and remanufacturing policies considering the effect of quality uncertainty on carbon emissions. J. Clean. Prod. 2018, 186, 180–190. [Google Scholar] [CrossRef]
- Xia, X.Q.; Zhang, C.X. The Impact of Authorized Remanufacturing on Sustainable Remanufacturing. Processes 2019, 10, 663. [Google Scholar] [CrossRef] [Green Version]
- Long, X.F.; Ge, J.L.; Shu, T.; Liu, Y. Analysis for recycling and remanufacturing strategies in a supply chain considering consumers’ heterogeneous WTP. Resour. Conserv. Recycl. 2019, 148, 80–90. [Google Scholar] [CrossRef]
- Hong, X.P.; Govindan, K.; Xu, L.; Du, P. Quantity and collection decisions in a closed-loop supply chain with technology licensing. Eur. J. Oper. Res. 2017, 256, 820–829. [Google Scholar] [CrossRef]
- Zhang, Y.M.; Chen, W.D.; Mi, Y. Third-party remanufacturing mode selection for competitive closed-loop supply chain based on evolutionary game theory. J. Clean. Prod. 2020, 263, 121305. [Google Scholar] [CrossRef]
- Yan, W.; Li, H.Y.; Chai, J.W.; Qian, Z.F.; Chen, H. Owning or Outsourcing? Strategic Choice on Take-Back Operations for Third-Party Remanufacturing. Sustainability 2018, 10, 151. [Google Scholar] [CrossRef] [Green Version]
- Qian, Z.; Chai, J.; Li, H.; Yan, W.; Chen, H. Should OEMs Outsource Remanufacturing to Retailers? Asia-Pac. J. Oper. Res. 2020, 37, 2050017. [Google Scholar] [CrossRef]
- Du, S.F.; Zhu, L.L.; Liang, L.; Ma, F. Emission-dependent supply chain and environment-policy-making in the ‘cap-and-trade’ system. Energy Policy 2013, 57, 61–67. [Google Scholar] [CrossRef]
- Liu, H.; Kou, X.F.; Xu, G.Y.; Qiu, X.; Liu, H.B. Which emission reduction mode is the best under the carbon cap-and-trade mechanism? J. Clean. Prod. 2021, 314, 128053. [Google Scholar] [CrossRef]
- Drake, D.F.; Kleindorfer, P.R.; Van Wassenhove, L.N. Technology Choice and Capacity Portfolios under Emissions Regulation. Prod. Oper. Manag. 2016, 25, 1006–1025. [Google Scholar] [CrossRef]
- Xia, L.J.; Guo, T.T.; Qin, J.J.; Yue, X.H.; Zhu, N. Carbon emission reduction and pricing policies of a supply chain considering reciprocal preferences in cap-and-trade system. Ann. Oper. Res. 2018, 268, 149–175. [Google Scholar] [CrossRef]
- Miao, Z.W.; Mao, H.Q.; Fu, K.; Wang, Y. Remanufacturing with trade-ins under carbon regulations. Comput. Oper. Res. 2018, 89, 253–268. [Google Scholar] [CrossRef]
- Zou, Z.-B.; Wang, J.-J.; Deng, G.-S.; Chen, H.Z. Third-party remanufacturing mode selection: Outsourcing or authorization? Transp. Res. Part E Logist. Transp. Rev. 2016, 87, 1–19. [Google Scholar] [CrossRef]
- Oersdemir, A.; Kemahlioglu-Ziya, E.; Parlaktuerk, A.K. Competitive Quality Choice and Remanufacturing. Prod. Oper. Manag. 2014, 23, 48–64. [Google Scholar] [CrossRef]
- Cao, J.; Chen, X.H.; Zhang, X.M.; Gao, Y.C.; Zhang, X.P.; Kumar, S. Overview of remanufacturing industry in China: Government policies, enterprise, and public awareness. J. Clean. Prod. 2020, 242, 118450. [Google Scholar] [CrossRef]
- Savaskan, R.C.; Van Wassenhove, L.N. Reverse Channel Design: The Case of Competing Retailers. Manag. Sci. 2006, 52, 1–14. [Google Scholar] [CrossRef] [Green Version]
- Jafar, H.; Maryam, G. A revenue sharing contract for reverse supply chain coordination under stochastic quality of returned products and uncertain remanufacturing capacity. J. Clean. Prod. 2018, 197, 607–615. [Google Scholar] [CrossRef]
- Shuai, C.; Chen, X.; Wu, Y.; Tan, Y.; Zhang, Y.; Shen, L. Identifying the key impact factors of carbon emission in China: Results from a largely expanded pool of potential impact factors. J. Clean. Prod. 2018, 175, 612–623. [Google Scholar] [CrossRef]
- Feng, Y.; Tian, Y.; Zhu, Q. A combined input–output/decision making trial and evaluation laboratory method for evaluating effect of the remanufacturing sector development. J. Clean. Prod. 2016, 114, 103–113. [Google Scholar] [CrossRef]
- Ebrahimi, S.M.; Koh, L. Manufacturing sustainability: Institutional theory and life cycle thinking. J. Clean. Prod. 2021, 298, 126787. [Google Scholar] [CrossRef]
- Koval, V.; Sribna, Y.; Kaczmarzewski, S.; Shapovalova, A.; Stupnytskyi, V. Regulatory policy of renewable energy sources in the European national economies. Polityka Energetyczna Energy Policy J. 2021, 24, 61–78. [Google Scholar] [CrossRef]
- Yi, P.X.; Huang, M.; Guo, L.J.; Shi, T.L. Dual recycling channel decision in retailer oriented closed-loop supply chain for construction machinery remanufacturing. J. Clean. Prod. 2016, 137, 1393–1405. [Google Scholar] [CrossRef]
- Hu, S.; Dai, Y.; Ma, Z.-J.; Ye, Y.-S. Designing contracts for a reverse supply chain with strategic recycling behavior of consumers. Int. J. Prod. Econ. 2016, 180, 16–24. [Google Scholar] [CrossRef]
- Govindan, K.; Popiuc, M.N. Reverse supply chain coordination by revenue sharing contract: A case for the personal computers industry. Eur. J. Oper. Res. 2014, 233, 326–336. [Google Scholar] [CrossRef]
- Du, S.; Zhu, J.; Jiao, H.; Ye, W. Game-theoretical analysis for supply chain with consumer preference to low carbon. Int. J. Prod. Res. 2015, 53, 3753–3768. [Google Scholar] [CrossRef]
- Yenipazarli, A. Managing new and remanufactured products to mitigate environmental damage under emissions regulation. Eur. J. Oper. Res. 2016, 249, 117–130. [Google Scholar] [CrossRef]



| Symbol | Definition |
|---|---|
| OEM, remanufacturer; | |
| Sales volume of new and remanufactured products; | |
| Unit sales prices of new and remanufactured products; | |
| Unit production cost of new and remanufactured products (in reality, it is known that ); | |
| Subscript 1,2 | The optimal solution under the carbon emission constraint policy; the optimal solution without the carbon emission constraint policy; |
| The upper bound of carbon emission by OEMs and remanufacturers; | |
| The carbon emissions of unit new product and unit remanufactured product (that is, the environmental impact of unit new product and unit remanufactured product; in reality, it is known that ); | |
| The total carbon emissions of new products and remanufactured products, that is , ; | |
| The total carbon emissions of both products, that is, the total impact of the two manufacturers’ production on the environment; | |
| The ratio of the number of waste products recycled by remanufacturers to the sales volume of new products by OEMs (that is, the recycling rate of waste products); | |
| The ratio of the sales price of unit remanufactured product to the sales price of unit new product, which indicates the consumer’s preference for remanufactured products (in reality, it is known that ); | |
| The outsourcing cost of unit remanufactured product paid by an OEM to the remanufacturer; | |
| The revenue earned by the OEMs; | |
| Waste product recycling cost, where k is the coefficient of recycling waste products. |
Publisher’s Note: MDPI stays neutral with regard to jurisdictional claims in published maps and institutional affiliations. |
© 2022 by the authors. Licensee MDPI, Basel, Switzerland. This article is an open access article distributed under the terms and conditions of the Creative Commons Attribution (CC BY) license (https://creativecommons.org/licenses/by/4.0/).
Share and Cite
Feng, Y.; Geng, Y.; Zhao, G.; Li, M. Carbon Emission Constraint Policy in an OEM and Outsourcing Remanufacturer Supply Chain with Consumer Preferences. Int. J. Environ. Res. Public Health 2022, 19, 4653. https://doi.org/10.3390/ijerph19084653
Feng Y, Geng Y, Zhao G, Li M. Carbon Emission Constraint Policy in an OEM and Outsourcing Remanufacturer Supply Chain with Consumer Preferences. International Journal of Environmental Research and Public Health. 2022; 19(8):4653. https://doi.org/10.3390/ijerph19084653
Chicago/Turabian StyleFeng, Yunting, Yong Geng, Ge Zhao, and Mengya Li. 2022. "Carbon Emission Constraint Policy in an OEM and Outsourcing Remanufacturer Supply Chain with Consumer Preferences" International Journal of Environmental Research and Public Health 19, no. 8: 4653. https://doi.org/10.3390/ijerph19084653
APA StyleFeng, Y., Geng, Y., Zhao, G., & Li, M. (2022). Carbon Emission Constraint Policy in an OEM and Outsourcing Remanufacturer Supply Chain with Consumer Preferences. International Journal of Environmental Research and Public Health, 19(8), 4653. https://doi.org/10.3390/ijerph19084653

