The Exposure of Workers at a Busy Road Node to PM2.5: Occupational Risk Characterisation and Mitigation Measures
Abstract
:1. Introduction
2. Methodology
Measurement Site
3. Research Method
3.1. Instrumentation and Measurement Setup
3.2. Uncertainty Analysis of the Measured PM2.5
3.3. Temporal Analysis of Pollutant Concentration
3.4. Exposure Risk Characterisation and Effects of Control Interventions
4. Results
Profile of the Measured PM2.5 Concentration
5. Results—Interventions
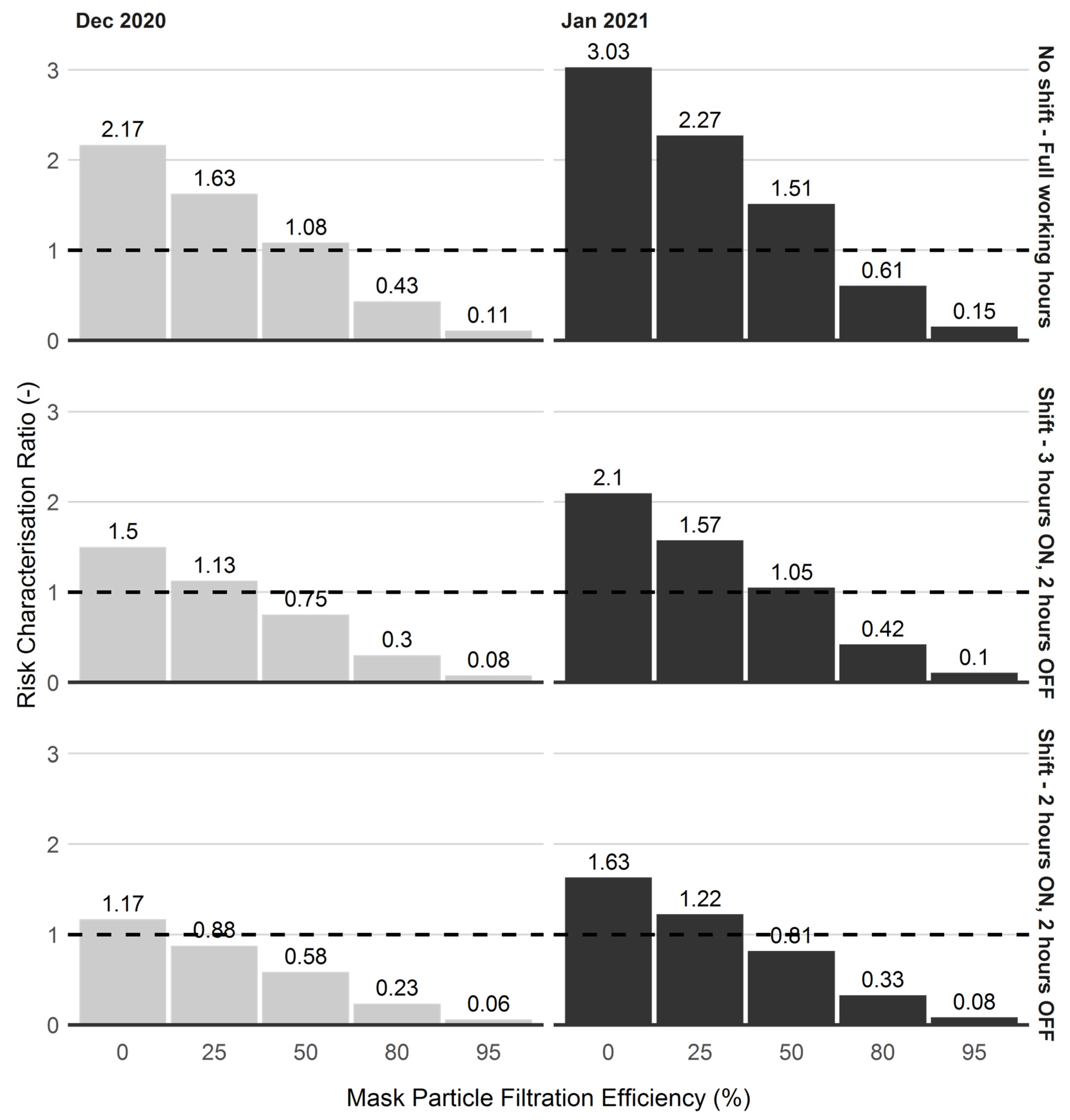
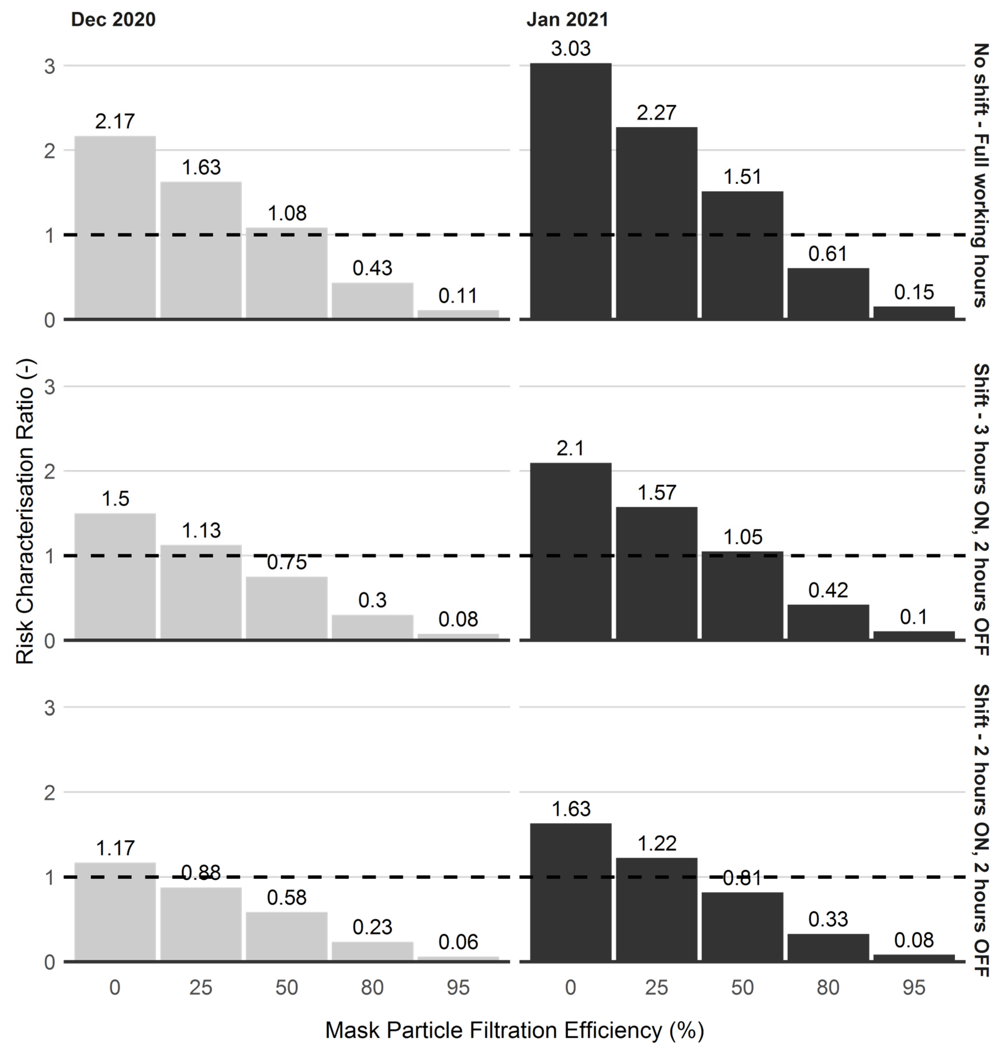
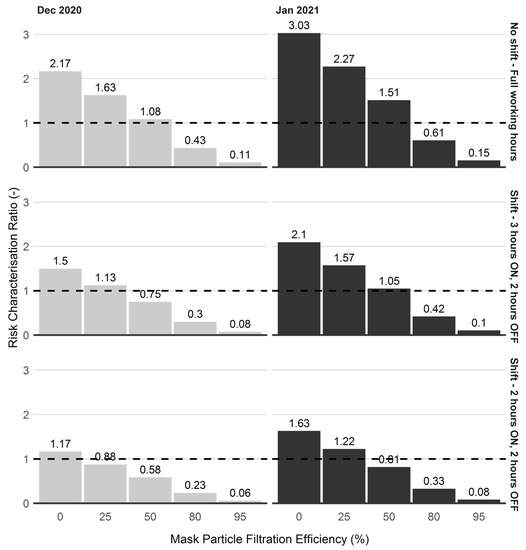
Effects of Control Interventions on Exposure Risk
6. Discussion
7. Conclusions
Author Contributions
Funding
Institutional Review Board Statement
Informed Consent Statement
Data Availability Statement
Acknowledgments
Conflicts of Interest
References
- Yang, Y.; Fan, L.; Wang, J.; Zhu, Y.; Li, X.; Wang, X.; Yan, X.; Li, L.; Zhang, Y.; Yang, W.; et al. Characterization and exposure assessment of household fine particulate matter pollution in China. Indoor Air 2021, 31, 1391–1401. [Google Scholar] [CrossRef] [PubMed]
- Sun, Z.; Zhu, D. Exposure to outdoor air pollution and its human-related health outcomes: An evidence gap map. BMJ Open 2019, 9, e031312. [Google Scholar] [CrossRef]
- Çapraz, Ö.; Deniz, A. Assessment of hospitalizations from asthma, chronic obstructive pulmonary disease and acute bronchitis in relation to air pollution in İstanbul, Turkey. Sustain. Cities Soc. 2021, 72, 103040. [Google Scholar] [CrossRef]
- Ścibor, M.; Balcerzak, B.; Galbarczyk, A.; Jasienska, G. Quality of life of patients with bronchial asthma exposed to gaseous air pollution in the place of residence. Sustain. Cities Soc. 2021, 64, 102541. [Google Scholar] [CrossRef]
- Nayeem, A.A.; Majumder, A.K.; Hossain, M.; Carter, W.S. The impact of air pollution on lung function: A case study on the Rickshaw Pullers in Dhaka City, Bangladesh. J. Hum. Environ. Health Promot. 2020, 6, 47–52. [Google Scholar] [CrossRef]
- Wu, T.; Ma, Y.; Wu, X.; Bai, M.; Peng, Y.; Cai, W.; Wang, Y.; Zhao, J.; Zhang, Z. Association between particulate matter air pollution and cardiovascular disease mortality in Lanzhou, China. Environ. Sci. Pollut. Res. 2019, 26, 15262–15272. [Google Scholar] [CrossRef]
- Li, Q.; Liu, H.; Alattar, M.; Jiang, S.; Han, J.; Ma, Y.; Jiang, C. The preferential accumulation of heavy metals in different tissues following frequent respiratory exposure to PM2.5 in rats. Sci. Rep. 2015, 5, 16936. [Google Scholar] [CrossRef] [Green Version]
- Bandyopadhyay, A. Neurological disorders from ambient (urban) air pollution emphasizing UFPM and PM2.5. Curr. Pollut. Rep. 2016, 2, 203–211. [Google Scholar] [CrossRef] [Green Version]
- Wang, W.; Zhou, J.; Chen, M.; Huang, X.; Xie, X.; Li, W.; Cao, Q.; Kan, H.; Xu, Y.; Ying, Z. Exposure to concentrated ambient PM2.5 alters the composition of gut microbiota in a murine model. Part. Fibre Toxicol. 2018, 15, 17. [Google Scholar] [CrossRef] [Green Version]
- Wu, R.; Dai, H.; Geng, Y.; Xie, Y.; Masui, T.; Liu, Z.; Qian, Y. Economic impacts from PM2.5 pollution-related health effects: A case study in Shanghai. Environ. Sci. Technol. 2017, 51, 5035–5042. [Google Scholar] [CrossRef]
- Oluseyi, T.; Akinyemi, M. Monitoring of concentration of air pollutants from vehicular emission along major highways and bypass within Kosofe Local Government Area, Lagos State. UNILAG J. Med. Sci. Technol. 2017, 5, 104–115. [Google Scholar]
- Ejohwomu, O.A.; Shamsideen Oshodi, O.; Oladokun, M.; Bukoye, O.T.; Emekwuru, N.; Sotunbo, A.; Adenuga, O. Modelling and Forecasting Temporal PM2.5 Concentration Using Ensemble Machine Learning Methods. Buildings 2022, 12, 46. [Google Scholar] [CrossRef]
- Lawin, H.; Ayi Fanou, L.; Hinson, A.V.; Stolbrink, M.; Houngbegnon, P.; Kedote, N.M.; Fayomi, B.; Kagima, J.; Katoto, P.; Ouendo, E.M.D. Health risks associated with occupational exposure to ambient air pollution in commercial drivers: A systematic review. Int. J. Environ. Res. Public Health 2018, 15, 2039. [Google Scholar] [CrossRef] [PubMed] [Green Version]
- Torén, K.; Bergdahl, I.A.; Nilsson, T.; Järvholm, B. Occupational exposure to particulate air pollution and mortality due to ischaemic heart disease and cerebrovascular disease. Occup. Environ. Med. 2007, 64, 515–519. [Google Scholar] [CrossRef] [Green Version]
- Obanya, H.E.; Amaeze, N.H.; Togunde, O.; Otitoloju, A.A. Air pollution monitoring around residential and transportation sector locations in Lagos Mainland. J. Health Pollut. 2018, 8, 180903. [Google Scholar] [CrossRef]
- Ngoc, L.T.N.; Kim, M.; Bui, V.K.H.; Park, D.; Lee, Y.-C. Particulate matter exposure of passengers at bus stations: A review. Int. J. Environ. Res. Public Health 2018, 15, 2886. [Google Scholar] [CrossRef] [Green Version]
- Hall, T. Tracking an Invisible Killer. Land J. 2018, 18–19. Available online: https://www.proquest.com/docview/2186029416/66EA68ED82264DC3PQ/1 (accessed on 24 August 2021).
- Rumchev, K.; Lee, A.; Maycock, B.; Jancey, J. Reducing car idling at primary schools: An intervention study of parent behaviour change in Perth, Western Australia. Health Promot. J. Aust. 2021, 32, 383–390. [Google Scholar] [CrossRef]
- Park, E.S.; Sener, I.N. Traffic-related air emissions in Houston: Effects of light-rail transit. Sci. Total Environ. 2019, 651, 154–161. [Google Scholar] [CrossRef]
- Schmitz, S.; Weiand, L.; Becker, S.; Niehoff, N.; Schwartzbach, F.; von Schneidemesser, E. An assessment of perceptions of air quality surrounding the implementation of a traffic-reduction measure in a local urban environment. Sustain. Cities Soc. 2018, 41, 525–537. [Google Scholar] [CrossRef]
- Gao, H.O.; Kitirattragarn, V. Taxi owners’ buying preferences of hybrid-electric vehicles and their implications for emissions in New York City. Transp. Res. Part A Policy Pract. 2008, 42, 1064–1073. [Google Scholar] [CrossRef]
- Mudway, I.S.; Dundas, I.; Wood, H.E.; Marlin, N.; Jamaludin, J.B.; Bremner, S.A.; Cross, L.; Grieve, A.; Nanzer, A.; Barratt, B.M. Impact of London’s low emission zone on air quality and children’s respiratory health: A sequential annual cross-sectional study. Lancet Public Health 2019, 4, e28–e40. [Google Scholar] [CrossRef] [Green Version]
- Yao, D.; Lyu, X.; Murray, F.; Morawska, L.; Yu, W.; Wang, J.; Guo, H. Continuous effectiveness of replacing catalytic converters on liquified petroleum gas-fueled vehicles in Hong Kong. Sci. Total Environ. 2019, 648, 830–838. [Google Scholar] [CrossRef] [PubMed]
- Meier, R.; Cascio, W.E.; Ghio, A.J.; Wild, P.; Danuser, B.; Riediker, M. Associations of short-term particle and noise exposures with markers of cardiovascular and respiratory health among highway maintenance workers. Environ. Health Perspect. 2014, 122, 726–732. [Google Scholar] [CrossRef] [PubMed] [Green Version]
- Phillips, H.; Oh, J. Evaluation of Aldehydes, Polycyclic Aromatic Hydrocarbons, and PM2.5 Levels in Food Trucks: A Pilot Study. Workplace Health Saf. 2020, 68, 443–451. [Google Scholar] [CrossRef] [PubMed]
- Ellis, J.; Edwards, D.J.; Thwala, W.D.; Ejohwomu, O.; Ameyaw, E.E.; Shelbourn, M. A Case Study of a Negotiated Tender within a Small-to-Medium Construction Contractor: Modelling Project Cost Variance. Buildings 2021, 11, 260. [Google Scholar] [CrossRef]
- Newman, C.; Edwards, D.; Martek, I.; Lai, J.; Thwala, W.D.; Rillie, I. Industry 4.0 deployment in the construction industry: A bibliometric literature review and UK-based case study. Smart Sustain. Built Environ. 2020, 10, 557–580. [Google Scholar] [CrossRef]
- Aghimien, D.; Aigbavboa, C.O.; Oke, A.E.; Edwards, D.; Thwala, W.D.; Roberts, C.J. Dynamic capabilities for digitalisation in the AECO sector–a scientometric review. Eng. Constr. Archit. Manag. 2021, 29, 1585–1608. [Google Scholar] [CrossRef]
- Ghosh, A.; Edwards, D.J.; Hosseini, M.R.; Al-Ameri, R.; Abawajy, J.; Thwala, W.D. Real-time structural health monitoring for concrete beams: A cost-effective ‘Industry 4.0’solution using piezo sensors. Int. J. Build. Pathol. Adapt. 2020, 39, 283–311. [Google Scholar] [CrossRef]
- Lagos State Government. Lagos State Development Plan 2012–2025; Lagos State Ministry of Economic Planning and Budget: Lagos, Nigeria, 2013.
- National Universities Commission. Nigerian University System Statistical Digest; National Universities Commission: Maitama, Abuja, 2018. [Google Scholar]
- University of Lagos. Pocket Statistics; University of Lagos Press: Yaba, Lagos, 2018. [Google Scholar]
- Oni, S.; Asenime, C.; Ege, E.; Ogunwolu, F.; Oke, S. An Investigation into Traffic Turning Movement at Jibowu. Indus Int. J. Manag. Soc. Sci. 2008, 2, 77–86. [Google Scholar]
- Okafor, R.; Mbata, U. A Bayesian model for inference on population proportions. Wiley Interdiscip. Rev. Comput. Stat. 2012, 4, 482–488. [Google Scholar] [CrossRef]
- Luo, Z.; Wang, Z.; Wang, H.; Peng, Z. Characterizing spatiotemporal distributions of black carbon and PM2.5 at a toll station: Observations on manual and electronic toll collection lanes. Build. Environ. 2021, 199, 107933. [Google Scholar] [CrossRef]
- International Standard Organisation (ISO). ISO 9869-1:2014 Thermal Insulation—Building Elements—In-Situ Measurement of Thermal Resistance and Thermal Transmittance—Part 1: Heat Flow Meter Method; International Standard Organisation: Geneva, Switzerland, 2014. [Google Scholar]
- Joint Committee for Guides in Metrology (JCGM). JCGM 100: 2008 (GUM 1995 with Minor Corrections) Evaluation of Measurement Data-Guide to the Expression of Uncertainty in Measurement; Joint Committee for Guides in Metrology: Sèvres, France, 2008. [Google Scholar]
- Air Quality Guidelines; Global update 2005; World Health Organization: Geneva, Switzerland, 2006.
- Larsen, P.B.; Klinke, H.B.; Witterseh, T.; Boyd, H.B. Risk Assessment of Hazardous Substances in the Indoor Environment of Cars—A Pilot Study; The Danish Environmental Protection Agency: København, Denmark, 2017. [Google Scholar]
- Bennett, D.H.; McKone, T.E.; Evans, J.S.; Nazaroff, W.W.; Margni, M.D.; Jolliet, O.; Smith, K.R. Defining intake fraction. Environ. Sci. Technol. 2002, 36, 206A–211A. [Google Scholar] [CrossRef] [Green Version]
- Du, X.; Wu, Y.; Fu, L.; Wang, S.; Zhang, S.; Hao, J. Intake fraction of PM2.5 and NOX from vehicle emissions in Beijing based on personal exposure data. Atmos. Environ. 2012, 57, 233–243. [Google Scholar] [CrossRef]
- Loh, M.M.; Soares, J.; Karppinen, A.; Kukkonen, J.; Kangas, L.; Riikonen, K.; Kousa, A.; Asikainen, A.; Jantunen, M.J. Intake fraction distributions for benzene from vehicles in the Helsinki metropolitan area. Atmos. Environ. 2009, 43, 301–310. [Google Scholar] [CrossRef]
- Brohus, H. Personal Exposure to Contaminant Sources in Ventilated Rooms; Aalborg University: Aalborg, Denmark, 1997. [Google Scholar]
- Qian, H.; Li, Y. Removal of exhaled particles by ventilation and deposition in a multibed airborne infection isolation room. Indoor Air 2010, 20, 284–297. [Google Scholar] [CrossRef]
- ASHRAE. ANSI/ASHRAE Standard 62.1-2013: Ventilation for Acceptable Indoor Air Quality; American Society of Heating, Refrigerating and Air-Conditioning Engineers: Atlanta, GA, USA, 2013. [Google Scholar]
- Abrams, D.; Hopthrow, T.; Imada, H.; Ozkececi, H.; Lalot, F.; Templeton, A. Can Car Engine Idling Be Reduced Using Persuasive Messages? Canterbury Air and Noise Experiment 2018–19; University of Kent: Canterbury, UK, 2019. [Google Scholar]








| Scenarios | Levels |
|---|---|
| Mask Scenarios | PFE *—0%, 25%, 50%, 80%, 95% |
| Shift Scenarios | No Shift—0 h, Shift—2 h ON, 2 h OFF, Shift—3 h ON, 2 h OFF |
| Case-ID | Mask Scenarios | Shift Scenarios |
|---|---|---|
| 1 | pfe_00pct | shift_0 h |
| 2 | pfe_00pct | shift_2 h |
| 3 | pfe_00pct | shift_3 h |
| 4 | pfe_25pct | shift_0 h |
| 5 | pfe_25pct | shift_2 h |
| 6 | pfe_25pct | shift_3 h |
| 7 | pfe_50pct | shift_0 h |
| 8 | pfe_50pct | shift_2 h |
| 9 | pfe_50pct | shift_3 h |
| 10 | pfe_80pct | shift_0 h |
| 11 | pfe_80pct | shift_2 h |
| 12 | pfe_80pct | shift_3 h |
| 13 | pfe_95pct | shift_0 h |
| 14 | pfe_95pct | shift_2 h |
| 15 | pfe_95pct | shift_3 h |
| Period | Statistics | |||
|---|---|---|---|---|
| Range (µg/m3) | Mean (µg/m3) | SD (µg/m3) | Median (µg/m3) | |
| December 2020 | [10.53, 103.36] | 25.43 | 8.83 | 23.40 |
| January 2021 | [12.27, 163.00] | 29.38 | 14.05 | 24.86 |
Publisher’s Note: MDPI stays neutral with regard to jurisdictional claims in published maps and institutional affiliations. |
© 2022 by the authors. Licensee MDPI, Basel, Switzerland. This article is an open access article distributed under the terms and conditions of the Creative Commons Attribution (CC BY) license (https://creativecommons.org/licenses/by/4.0/).
Share and Cite
Ejohwomu, O.A.; Oladokun, M.; Oshodi, O.S.; Bukoye, O.T.; Edwards, D.J.; Emekwuru, N.; Adenuga, O.; Sotunbo, A.; Uduku, O.; Balogun, M.; et al. The Exposure of Workers at a Busy Road Node to PM2.5: Occupational Risk Characterisation and Mitigation Measures. Int. J. Environ. Res. Public Health 2022, 19, 4636. https://doi.org/10.3390/ijerph19084636
Ejohwomu OA, Oladokun M, Oshodi OS, Bukoye OT, Edwards DJ, Emekwuru N, Adenuga O, Sotunbo A, Uduku O, Balogun M, et al. The Exposure of Workers at a Busy Road Node to PM2.5: Occupational Risk Characterisation and Mitigation Measures. International Journal of Environmental Research and Public Health. 2022; 19(8):4636. https://doi.org/10.3390/ijerph19084636
Chicago/Turabian StyleEjohwomu, Obuks A., Majeed Oladokun, Olalekan S. Oshodi, Oyegoke Teslim Bukoye, David John Edwards, Nwabueze Emekwuru, Olumide Adenuga, Adegboyega Sotunbo, Ola Uduku, Mobolanle Balogun, and et al. 2022. "The Exposure of Workers at a Busy Road Node to PM2.5: Occupational Risk Characterisation and Mitigation Measures" International Journal of Environmental Research and Public Health 19, no. 8: 4636. https://doi.org/10.3390/ijerph19084636
APA StyleEjohwomu, O. A., Oladokun, M., Oshodi, O. S., Bukoye, O. T., Edwards, D. J., Emekwuru, N., Adenuga, O., Sotunbo, A., Uduku, O., Balogun, M., & Alani, R. (2022). The Exposure of Workers at a Busy Road Node to PM2.5: Occupational Risk Characterisation and Mitigation Measures. International Journal of Environmental Research and Public Health, 19(8), 4636. https://doi.org/10.3390/ijerph19084636

