Concordance between Laboratory and Field Methods for the Assessment of Body Fat in Olympic Combat Athletes: Analysis of the Influence of Adiposity
Abstract
:1. Introduction
2. Materials and Methods
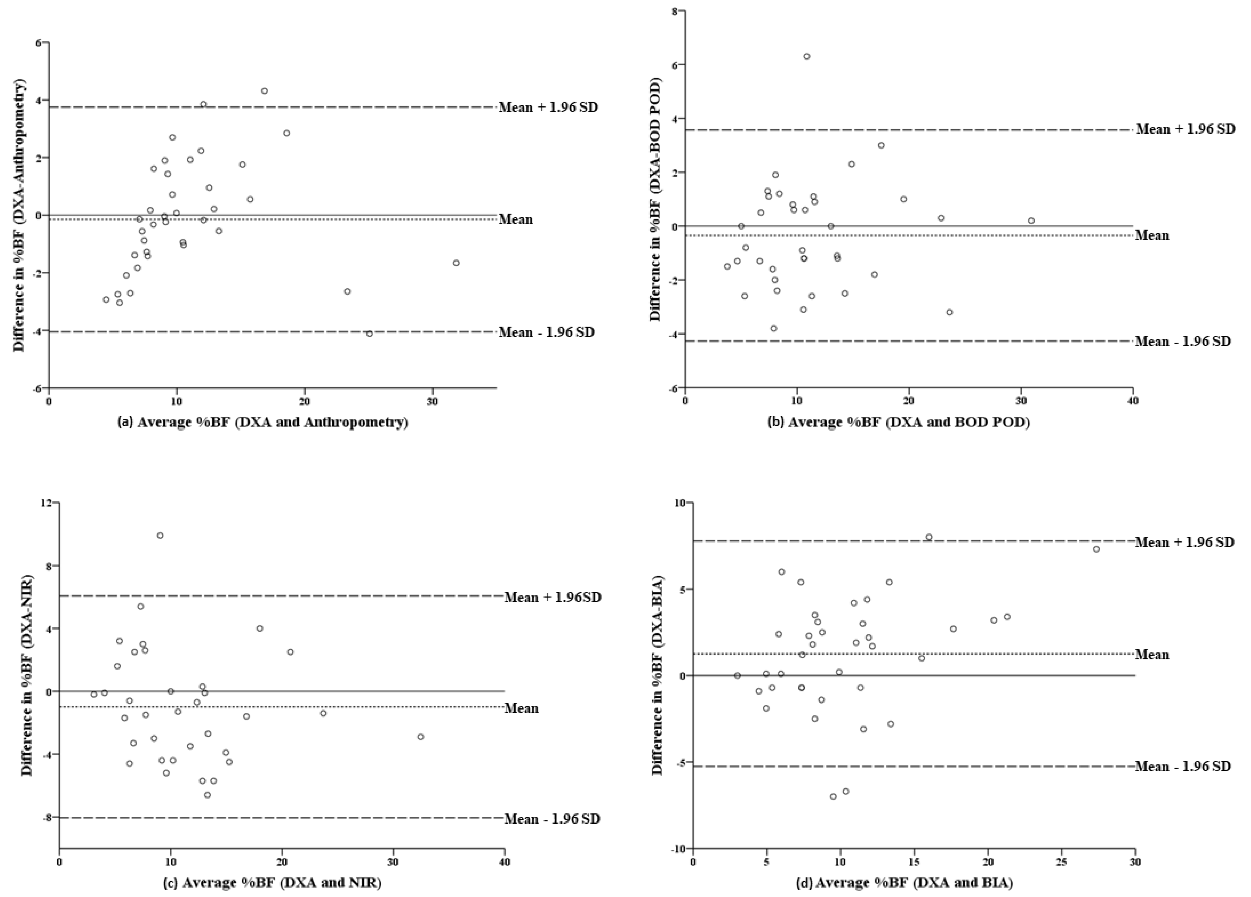
3. Results
4. Discussion
5. Conclusions
Author Contributions
Funding
Institutional Review Board Statement
Informed Consent Statement
Data Availability Statement
Acknowledgments
Conflicts of Interest
References
- Kubo, J.; Chishaki, T.; Nakamura, N.; Muramatsu, T.; Yamamoto, Y.; Ito, M.; Saitou, H.; Kukidome, T. Differences in Fat-Free Mass and Muscle Thicknesses at Various Sites According to Performance Level Among Judo Athletes. J. Strength Cond. Res. 2006, 20, 654. [Google Scholar] [PubMed]
- Artioli, G.G.; Gualano, B.; Franchini, E.; Scagliusi, F.B.; Takesian, M.; Fuchs, M.; Lancha, A.H. Prevalence, magnitude, and methods of rapid weight loss among judo competitors. Med. Sci. Sports Exerc. 2010, 42, 436–442. [Google Scholar] [CrossRef] [PubMed] [Green Version]
- Reale, R.; Slater, G.; Burke, L.M. Acute-Weight-Loss Strategies for Combat Sports and Applications to Olympic Success. Int. J. Sports Physiol. Perform. 2017, 12, 142–151. [Google Scholar] [CrossRef] [PubMed]
- Matias, C.N.; Santos, D.A.; Gonçalves, E.M.; Fields, D.A.; Sardinha, L.B.; Silva, A.M. Is bioelectrical impedance spectroscopy accurate in estimating total body water and its compartments in elite athletes? Ann. Hum. Biol. 2013, 40, 152–156. [Google Scholar] [CrossRef]
- Oppliger, R.A.; Case, H.S.; Horswill, C.A.; Landry, G.L.; Shelter, A.C. American College of Sports Medicine position stand. Weight loss in wrestlers. Med. Sci. Sports Exerc. 1996, 28, 9–12. [Google Scholar] [CrossRef] [Green Version]
- Tenforde, A.S.; Barrack, M.T.; Nattiv, A.; Fredericson, M. Parallels with the Female Athlete Triad in Male Athletes. Sport Med. 2016, 46, 171–182. [Google Scholar] [CrossRef]
- Brito, C.J.; Castro, F.; Roas, M.; Surian, I.; Brito, S.; Carlos, J.; Marins, B.; Córdova, C.; Franchini, E. Methods of Body-Mass Reduction by Combat Sport Athletes. Int. J. Sport Nutr. Exerc. Metab. 2012, 22, 89–97. Available online: https://pdfs.semanticscholar.org/ccf3/0617dbeaa56491c79435a49987a9775e837b.pdf (accessed on 23 November 2020). [CrossRef]
- Parker, L.; Reilly, J.J.; Slater, C.; Wells, J.C.K.; Pitsiladis, Y. Validity of Six Field and Laboratory Methods for Measurement of Body Composition in Boys. Obes. Res. 2003, 11, 852–858. [Google Scholar] [CrossRef]
- Nana, A.; Slater, G.J.; Stewart, A.D.; Burke, L.M. Methodology review: Using dual-energy X-ray absorptiometry (DXA) for the assessment of body composition in athletes and active people. Int. J. Sport Nutr. Exerc. Metab. 2015, 25, 198–215. [Google Scholar] [CrossRef]
- Santos, D.A.; Silva, A.M.; Matias, C.N.; Fields, D.A.; Heymsfield, S.B.; Sardinha, L.B. Accuracy of DXA in Estimating Body Composition Changes in Elite Athletes Using a Four Compartment Model as the Reference Method. Nutr. Metab. 2010, 7, 22. Available online: https://link.springer.com/articles/10.1186/1743-7075-7-22 (accessed on 23 November 2020). [CrossRef] [Green Version]
- Reale, R.; Burke, L.M.; Cox, G.R.; Slater, G. Body composition of Elite Olympic Combat Sport Athletes. Eur. J. Sport Sci. 2019, 20, 147–156. Available online: https://pubmed.ncbi.nlm.nih.gov/31092119/ (accessed on 23 November 2020). [CrossRef] [PubMed]
- Anderson, L.J.; Erceg, D.N.; Schroeder, E.T. Utility of multifrequency bioelectrical impedance compared with dual-energy x-ray absorptiometry for assessment of total and regional body composition varies between men and women. Nutr. Res. 2012, 32, 479–485. [Google Scholar] [CrossRef] [PubMed]
- Evans, J.; Lambert, M.I.; Micklesfield, L.K.; Goedecke, J.H.; Jennings, C.L.; Savides, L.; Claassen, A.; Lambert, E.V. Near infrared reactance for the estimation of body fatness in regularly exercising individuals. Int. J. Sports Med. 2013, 34, 612–615. [Google Scholar] [CrossRef] [PubMed]
- Lowry, D.W.; Tomiyama, A.J. Air displacement plethysmography versus dual-energy x-ray absorptiometry in underweight, normal-weight, and overweight/obese individuals. PLoS ONE 2015, 10, e0115086. [Google Scholar]
- Erselcan, T.; Candan, F.; Saruhan, S.; Ayca, T. Comparison of Body Composition Analysis Methods in Clinical Routine. Ann. Nutr. Metab. 2000, 44, 243–248. Available online: https://pubmed.ncbi.nlm.nih.gov/11146331/ (accessed on 23 November 2020). [CrossRef]
- Lloret Linares, C.; Ciangura, C.; Bouillot, J.L.; Coupaye, M.; Declèves, X.; Poitou, C.; Basdevant, A.; Oppert, J.M. Validity of Leg-to-Leg Bioelectrical Impedance Analysis to Estimate Body Fat in Obesity. Obes. Surg. 2011, 21, 917–923. Available online: https://pubmed.ncbi.nlm.nih.gov/20936394/ (accessed on 23 November 2020). [CrossRef] [PubMed]
- Esco, M.R.; Snarr, R.L.; Leatherwood, M.D.; Chamberlain, N.A.; Redding, M.L.; Flatt, A.A.; Moon, J.R.; Williford, H.N. Comparison of Total and Segmental Body Composition Using DXA and Multifrequency Bioimpedance in Collegiate Female Athletes. J. Strength Cond. Res. 2015, 29, 918–925. Available online: https://pubmed.ncbi.nlm.nih.gov/25353076/ (accessed on 23 November 2020). [CrossRef]
- Gibson, A.L.; Wagner, D.R.; Heyward, V.H. Advanced Fitness Assessment and Exercise Prescription; Human Kinetics: Champaign, IL, USA, 2019; 545p. [Google Scholar]
- Marfell-Jones, M.J.; Stewart, A.D.; de Ridder, J.H. International Standards for Anthorpometric Assessment; International Society for the Advancement of Kinanthropometry (ISAK): Wellington, New Zealand, 2012. [Google Scholar]
- Siri, W.E. Body composition from fluid spaces and density: Analysis of methods. In Techniques for Measuring Body Composition; Brozek, J., Hanschel, A., Eds.; National Academy of Sciences: Washington, DC, USA, 1956; pp. 223–244. [Google Scholar]
- Dudzek, C.; Ekker, G.; Dudzek, K.; Sanchez, T. Body Composition Assessment Using Siri Underwater Equivalent Percent Fat Assessed by Norland Equipment. J. Clin. Densitom. 2009, 12, 384–385. [Google Scholar] [CrossRef]
- Kyle, U.G.; Genton, L.; Karsegard, L.; Slosman, D.O.; Pichard, C. Single Prediction Equation for Bioelectrical Impedance Analysis in Adults Aged 20-94 Years. Nutrition 2001, 17, 248–253. Available online: https://pubmed.ncbi.nlm.nih.gov/11312069/ (accessed on 3 February 2021). [CrossRef]
- Atkinson, G.; Nevill, A.M. Statistical Methods For Assessing Measurement Error (Reliability) in Variables Relevant to Sports Medicine. Sport Med. 1998, 26, 217–238. [Google Scholar] [CrossRef]
- Collins, M.A.; Millard-Stafford, M.L.; Sparling, P.B.; Snow, T.K.; Rosskopf, L.B.; Webb, S.A.; Omer, J. Evaluation of the BOD POD for assessing body fat in collegiate football players. Med. Sci. Sports Exerc. 1999, 31, 1350–1356. [Google Scholar] [CrossRef] [PubMed]
- Utter, A.C.; Goss, F.L.; Swan, P.D.; Harris, G.S.; Robertson, R.J.; Trone, G.A. Evaluation of Air Displacement for Assessing Body Composition of Collegiate Wrestlers. Med. Sci. Sports Exerc. 2003, 35, 500–505. Available online: https://pubmed.ncbi.nlm.nih.gov/12618582/ (accessed on 28 November 2020). [CrossRef] [PubMed] [Green Version]
- Bentzur, K.M.; Kravitz, L.; Lockner, D.W. Evaluation of the BOD POD for Estimating Percent Body Fat in Collegiate Track and Field Female Athletes: A Comparison of Four Methods. J. Strength Cond. Res. 2008, 22, 1985–1991. [Google Scholar] [CrossRef] [Green Version]
- Ackland, T.R.; Lohman, T.G.; Sundgot-Borgen, J.; Maughan, R.J.; Meyer, N.L.; Stewart, A.D.; Mller, W. Current status of body composition assessment in sport: Review and position statement on behalf of the Ad Hoc research working group on body composition health and performance, under the auspices of the, I.O.C. medical commission. Sports Med. 2012, 42, 227–249. [Google Scholar] [CrossRef]
- Drid, P.; Casals, C.; Mekic, A.; Radjo, I.; Stojanovic, M.; Ostojic, S.M. Fitness and Anthropometric Profiles of International vs. National Judo Medalists in Half-Heavyweight Category. J Strength Cond. Res. 2015, 29, 2115–2121. [Google Scholar] [CrossRef] [PubMed]
- Evans, E.; Rowe, D.; Misic, M.; Prior, B.; Arngrimsson, S. Skinfold Prediction Equation for Athletes Developed Using a Four-Component Model. Med. Sci. Sport Exerc. 2005, 37, 2006–2011. [Google Scholar] [CrossRef]
- Silva, A.M.; Fields, D.A.; Quitério, A.L.; Sardinha, L.B. Are Skinfold-Based Models Accurate and Suitable for Assessing Changes in Body Composition in Highly Trained Athletes? J. Strength Cond. Res. 2009, 23, 1688–1696. Available online: https://pubmed.ncbi.nlm.nih.gov/19675495/ (accessed on 20 December 2020). [CrossRef]
- Ulijaszek, S.J.; Mascie-Taylor, C.G.N. Anthropometry: The Individual and the Population; Cambridge University Press: Cambridge, UK, 2005; 213p. [Google Scholar]
- Loenneke, J.P.; Wray, M.E.; Wilson, J.M.; Barnes, J.T.; Kearney, M.L.; Pujol, T.J. Accuracy of field methods in assessing body fat in collegiate baseball players. Res. Sports Med. 2013, 21, 286–291. [Google Scholar] [CrossRef]
- De Lorenzo, A.; Bertini, I.; Iacopino, L.; Pagliato, E.; Testolin, C.; Testolin, G. Body composition measurement in highly trained male athletes. A comparison of three methods. J. Sports Med. Phys. Fit. 2000, 40, 178–183. [Google Scholar]
- Svantesson, U.; Zander, M.; Klingberg, S.; Slinde, F. Body composition in male elite athletes, comparison of bioelectrical impedance spectroscopy with dual energy X-ray absorptiometry. J. Negat. Results Biomed. 2008, 7, 1. [Google Scholar] [CrossRef] [Green Version]
- Utter, A.C.; McAnulty, S.R.; Riha, B.F.; Pratt, B.A.; Grose, J.M. The validity of multifrequency bioelectrical impedance measures to detect changes in the hydration status of wrestlers during acute dehydration and rehydration. J. Strength Cond. Res. 2012, 26, 9–15. [Google Scholar] [CrossRef] [Green Version]
- Fernández-Elías, V.E.; Martínez-Abellán, A.; López-Gullón, J.M.; Morán-Navarro, R.; Pallarés, J.G.; De la Cruz-Sánchez, E.; Mora-Rodriguez, R. Validity of hydration non-invasive indices during the weightcutting and official weigh-in for Olympic combat sports. PLoS ONE. 2014, 9, e95336. [Google Scholar] [CrossRef]
- Hetzler, R.K.; Kimura, I.F.; Haines, K.; Labotz, M.; Smith, J. A comparison of bioelectrical impedance and skinfold measurements in determining minimum wrestling weights in high school wrestlers. J. Athl. Train. 2006, 41, 46–51. [Google Scholar] [PubMed]
- Toombs, R.J.; Ducher, G.; Shepherd, J.A.; De Souza, M.J. The Impact of Recent Technological Advances on the Trueness and Precision of DXA to Assess Body Composition. Obesity 2012, 20, 30–39. [Google Scholar] [CrossRef] [PubMed]
- Shypailo, R.J.; Butte, N.F.; Ellis, K.J. DXA: Can It Be Used as a Criterion Reference for Body Fat Measurements in Children? Obesity 2008, 16, 457–462. [Google Scholar] [CrossRef] [PubMed]
- Vicente-Rodríguez, G.; Rey-López, J.P.; Mesana, M.I.; Poortvliet, E.; Ortega, F.B.; Polito, A.; Nagy, E.; Widhalm, K.; Sjöström, M.; Moreno, L.A. Reliability and Intermethod Agreement for Body Fat Assessment Among Two Field and Two Laboratory Methods in Adolescents. Obesity 2012, 20, 221–228. [Google Scholar] [CrossRef]


| Variables | Total (n = 38) | Taekwondo (n = 12) | Judo (n = 10) | Wrestling (n = 10) | Boxing (n = 6) | p | 
|---|---|---|---|---|---|---|
| Age (yr) | 20.3 ± 3.6 | 19.8 ± 4.1 | 19.9 ± 2.8 | 20.0 ± 3.2 | 22.3 ± 4.4 | 0.678 | 
| Weight (kg) | 78 ± 17 | 78 ± 9 | 77 ± 9 | 77 ± 9 | 88 ± 25 | 0.156 | 
| Height (m) | 1.79 ± 0.07 | 1.84 ± 0.04 * | 1.81 ± 0.08 | 1.76 ± 0.06 | 1.73 ± 0.08 | 0.010 | 
| BMI (kg·m−2) | 24.2 ± 3.9 | 23.1 ± 2.5 | 26.6 ± 5.6 | 24.7 ± 2.1 | 21.4 ± 3.4 | 0.093 | 
| DXA (%) | 11.0 ± 5.9 | 11.4 ± 5.0 | 12.8 ± 9.2 | 10.7 ± 3.2 | 7.8 ± 3.4 | 0.273 | 
| BOD POD (%) | 11.5 ± 5.8 | 10.9 ± 4.6 | 13.7 ± 9.2 | 10.8 ± 2.5 | 9.5 ± 4.2 | 0.724 | 
| BIA (%) | 9.8 ± 4.7 | 8.7 ± 4.2 | 12.0 ± 6.5 | 9.7 ± 3.3 | 8.3 ± 3.4 | 0.489 | 
| NIR (%) | 11.7 ± 6.5 | 8.6 ± 4.1 | 15.2 ± 8.4 # | 14.1 ± 3.4 | 6.5 ± 5.4 | 0.011 | 
| Anthropometry (%) | 11.2 ± 5.8 | 10.8 ± 3.3 | 14.3 ± 9.8 | 10.1 ± 2.6 | 8.5 ± 2.4 | 0.227 | 
| Method | Mean Dif. (95% CI) | ICC (95% CI) | ||
|---|---|---|---|---|
| Individual | Mean | p | ||
| Anthropometry | −0.15 (−0.80; 0.51) | 0.942 (0.891; 0.969) | 0.970 (0.943; 0.984) | 0.624 | 
| BOD POD | −0.35 (−1.02; 0.32) | 0.941 (0.889; 0.969) | 0.970 (0.941; 0.984) | 0.293 | 
| NIR | −0.99 (−2.22; 0.25) | 0.833 (0.694; 0.912) | 0.909 (0.820; 0.954) | 0.114 | 
| BIA | 1.26 (0.17; 2.35) | 0.806 (0.657; 0.894) | 0.892 (0.793; 0.944) | 0.025 * | 
| BMI | −13.2 (−14.3; −12.0) | 0.755 (0.576; 0.864) | 0.860 (0.731; 0.927) | <0.001 ** | 
| Publisher’s Note: MDPI stays neutral with regard to jurisdictional claims in published maps and institutional affiliations. | 
© 2022 by the authors. Licensee MDPI, Basel, Switzerland. This article is an open access article distributed under the terms and conditions of the Creative Commons Attribution (CC BY) license (https://creativecommons.org/licenses/by/4.0/).
Share and Cite
Fernandez-del-Valle, M.; Olmedillas, H.; Gil de Antuñano, N.P.; Ribas, A.M.; Martínez-Camblor, P.; García-Gonzalez, Á.; Úbeda, N.; Iglesias-Gutiérrez, E. Concordance between Laboratory and Field Methods for the Assessment of Body Fat in Olympic Combat Athletes: Analysis of the Influence of Adiposity. Int. J. Environ. Res. Public Health 2022, 19, 4493. https://doi.org/10.3390/ijerph19084493
Fernandez-del-Valle M, Olmedillas H, Gil de Antuñano NP, Ribas AM, Martínez-Camblor P, García-Gonzalez Á, Úbeda N, Iglesias-Gutiérrez E. Concordance between Laboratory and Field Methods for the Assessment of Body Fat in Olympic Combat Athletes: Analysis of the Influence of Adiposity. International Journal of Environmental Research and Public Health. 2022; 19(8):4493. https://doi.org/10.3390/ijerph19084493
Chicago/Turabian StyleFernandez-del-Valle, María, Hugo Olmedillas, Nieves Palacios Gil de Antuñano, Ana María Ribas, Pablo Martínez-Camblor, Ángela García-Gonzalez, Natalia Úbeda, and Eduardo Iglesias-Gutiérrez. 2022. "Concordance between Laboratory and Field Methods for the Assessment of Body Fat in Olympic Combat Athletes: Analysis of the Influence of Adiposity" International Journal of Environmental Research and Public Health 19, no. 8: 4493. https://doi.org/10.3390/ijerph19084493
APA StyleFernandez-del-Valle, M., Olmedillas, H., Gil de Antuñano, N. P., Ribas, A. M., Martínez-Camblor, P., García-Gonzalez, Á., Úbeda, N., & Iglesias-Gutiérrez, E. (2022). Concordance between Laboratory and Field Methods for the Assessment of Body Fat in Olympic Combat Athletes: Analysis of the Influence of Adiposity. International Journal of Environmental Research and Public Health, 19(8), 4493. https://doi.org/10.3390/ijerph19084493
 
         
                                                





 
       