Effects of the Type of Sports Practice on the Executive Functions of Schoolchildren
Abstract
:1. Introduction
2. Materials and Methods
2.1. Design and Participants
2.2. Measures
2.2.1. Executive Functions
2.2.2. Physical Activity
2.2.3. Anthropometric Parameters and Physical Fitness
2.3. Overall Procedure
2.4. Intervention Characteristics
2.5. Statistical Analysis
3. Results
3.1. Demographic Characteristics, Anthropometric Parameters, Physical Activity, Physical Fitness, and Executive Functions between Groups
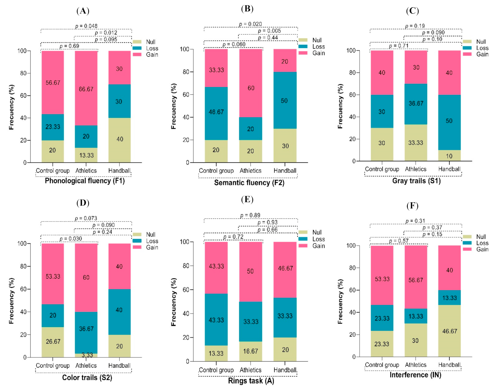
3.2. Frequency of Change Pre- and Post-Intervention for Executive Function Tasks between Groups
3.3. Physical Activity and Executive Function
3.4. Factors Related to a Loss or Null Change in Executive Functions
4. Discussion
4.1. Changes Pre- and Post-Intervention for Executive Function Tasks between Groups
4.2. Frequency of Change Pre- and Post-Intervention and Factors Related to a Loss or Null Change in Executive Functions
4.3. Sports, Physical Activity, Physical Fitness, and Executive Functions
4.4. Advantages, Limitations, and Future Lines of Research
5. Conclusions
Author Contributions
Funding
Institutional Review Board Statement
Informed Consent Statement
Data Availability Statement
Acknowledgments
Conflicts of Interest
References
- Van der Fels, I.M.J.; te Wierike, S.C.M.; Hartman, E.; Elferink-Gemser, M.T.; Smith, J.; Visscher, C. The relationship between motor skills and cognitive skills in 4-16 year old typically developing children: A systematic review. J. Sci. Med. Sport 2015, 18, 697–703. [Google Scholar] [CrossRef] [PubMed] [Green Version]
- McClelland, M.M.; Cameron, C.E. Developing together: The role of executive function and motor skills in children’s early academic lives. Early Child. Res. Q. 2019, 46, 142–151. [Google Scholar] [CrossRef]
- Gandotra, A.; Kótyuk, S.; Sattar, Y.; Bizonics, V.; Csaba, R.; Cserényi, R.; Cserjesi, E. A Meta-analysis of the Relationship between Motor Skills and Executive Functions in Typically-developing Children. J. Cogn. Dev. 2021, 23, 83–110. [Google Scholar] [CrossRef]
- Diamond, A. Close interrelation of motor development and cognitive development and of the cerebellum and prefrontal cortex. Child Dev. 2000, 71, 44–56. [Google Scholar] [CrossRef]
- Friedman, N.; Miyake, A. Unity and Diversity of Executive Functions: Individual Differences as a Window on Cognitive Structure. Cortex 2017, 86, 186–204. [Google Scholar] [CrossRef] [Green Version]
- Lehto, J.; Juujärvi, P.; Kooistra, L.; Pulkkinen, L. Dimensions of executive functioning: Evidence from children. Br. J. Dev. Psychol. 2003, 21, 59–80. [Google Scholar] [CrossRef]
- Miyake, A.; Friedman, N.P.; Emerson, M.J.; Witzki, A.H.; Howerter, A.; Wager, T.D. The Unity and Diversity of Executive Functions and Their Contributions to Complex “Frontal Lobe” Tasks: A Latent Variable Analysis. Cogn. Psychol. 2000, 41, 49–100. [Google Scholar] [CrossRef] [Green Version]
- Collins, A.; Koechlin, E. Reasoning, learning, and creativity: Frontal lobe function and human decision-making. PLoS Biol. 2012, 10, e1001293. [Google Scholar] [CrossRef]
- Adolph, K.E. Learning to move. Curr. Dir. Psychol. Sci. 2008, 17, 213–218. [Google Scholar] [CrossRef]
- Kim, H.; Duran, C.; Cameron, C.; Grissmer, D. Developmental Relations among Motor and Cognitive Processes and Mathematics Skills. Child Dev. 2019, 89, 476–494. [Google Scholar] [CrossRef]
- Pesce, C. Shifting the focus from quantitative to qualitative exercise characteristics in exercise and cognition research. J. Sport Exerc. Psychol. 2012, 34, 766–786. [Google Scholar] [CrossRef] [Green Version]
- Valkenborghs, S.R.; Noetel, M.; Hillman, C.H.; Nilsson, M.; Smith, J.J.; Ortega, F.B.; Lubans, D.R. The impact of physical activity on brain structure and function in youth: A systematic review. Pediatrics 2019, 144, e20184032. [Google Scholar] [CrossRef]
- Pangelinan, M.; Zhang, G.; VanMeter, J.; Clark, J.; Hatfield, B.; Haufler, A. Beyond age and gender: Relationships between cortical and subcortical brain volume and cognitive-motor abilities in school- age children. Neuroimage 2011, 54, 3093–3100. [Google Scholar] [CrossRef]
- De Greeff, J.W.; Bosker, R.J.; Oosterlaan, J.; Visscher, C.; Hartman, E. Effects of physical activity on executive functions, attention and academic performance in preadolescent children: A meta-analysis. J. Sci. Med. Sport 2018, 21, 501–507. [Google Scholar] [CrossRef]
- Liu, S.; Yu, Q.; Li, Z.; Cunha, P.M.; Zhang, Y.; Kong, Z.; Lin, W.; Chen, S.; Cai, Y. Effects of Acute and Chronic Exercises on Executive Function in Children and Adolescents: A Systemic Review and Meta-Analysis. Front. Psychol. 2020, 11, 554915. [Google Scholar] [CrossRef]
- Verburgh, L.; Königs, M.; Scherder, E.J.A.; Oosterlaan, J. Physical exercise and executive functions in preadolescent children, adolescents and young adults: A meta-analysis. Br. J. Sports Med. 2014, 48, 973–979. [Google Scholar] [CrossRef] [Green Version]
- Xue, Y.; Yang, Y.; Huang, T. Effects of chronic exercise interventions on executive function among children and adolescents: A systematic review with meta-analysis. Br. J. Sports Med. 2019, 53, 1397–1404. [Google Scholar] [CrossRef]
- Álvarez-Bueno, C.; Pesce, C.; Cavero-Redondo, I.; Sánchez-López, M.; Martínez-Hortelano, J.A.; Martínez-Vizcaíno, V. The Effect of Physical Activity Interventions on Children’s Cognition and Metacognition: A Systematic Review and Meta-Analysis. J. Am. Acad. Child Adolesc. Psychiatry 2017, 56, 729–738. [Google Scholar] [CrossRef]
- Bidzan-Bluma, I.; Lipowska, M. Physical activity and cognitive functioning of children: A systematic review. Int. J. Environ. Res. Public Health 2018, 15, 800. [Google Scholar] [CrossRef]
- Diamond, A.; Lee, K. Interventions shown to Aid Executive Function Development in Children 4–12 Years Old. Science 2011, 333, 959–964. [Google Scholar] [CrossRef] [Green Version]
- Krenn, B.; Finkenzeller, T.; Würth, S.; Amesberger, G. Sport type determines differences in executive functions in elite athletes. Psychol. Sport Exerc. 2018, 38, 72–79. [Google Scholar] [CrossRef]
- Belling, P.K.; Ward, P. Time to Start Training: A Review of Cognitive Research in Sport and Bridging the Gap from Academia to the Field. Procedia Manuf. 2015, 3, 1219–1224. [Google Scholar] [CrossRef] [Green Version]
- Gentile, A.; Boca, S.; Demetriou, Y.; Sturm, D.; Pajaujiene, S.; Zuoziene, I.J.; Sahin, F.N.; Güler, O.; Gómez-López, M.; Borrego, C.C.; et al. The Influence of an Enriched Sport Program on Children’s Sport Motivation in the School Context: The ESA PROGRAM. Front. Psychol. 2020, 11, 601000. [Google Scholar] [CrossRef]
- Diamond, A. Activities and Programs That Improve Children’s Executive Functions. Curr Dir Psychol Sci. 2012, 21, 335–341. [Google Scholar] [CrossRef] [Green Version]
- Moreau, D. Brains and Brawn: Complex motor activities to maximize cognitive enhancement. Educ. Psychol. Rev. 2015, 27, 475–482. [Google Scholar] [CrossRef]
- Tomporowski, P.D.; Pesce, C. Exercise, sports, and performance arts benefit cognition via a common process. Psychol. Bull. 2019, 145, 929–951. [Google Scholar] [CrossRef]
- Diamond, A.; Ling, D.S. Aerobic-Exercise and resistance-training interventions have been among the least effective ways to improve executive functions of any method tried thus far. Dev. Cogn. Neurosci. 2019, 37, 100572. [Google Scholar] [CrossRef]
- De Waelle, S.; Laureys, F.; Lenoir, M.; Bennett, S.J.; Deconinck, F.J.A. Children involved in team sports show superior executive function compared to their peers involved in self-paced sports. Children 2021, 8, 264. [Google Scholar] [CrossRef]
- Martín-Martínez, I.; Chirosa-Ríos, L.J.; Reigal-Garrido, R.E.; Hernández-Mendo, A.; Juárez-Ruiz-de-Mier, R.; Guisado-Barrilao, R. Efectos de la actividad física sobre las funciones ejecutivas en una muestra de adolescentes. An. Psicol. 2015, 31, 962–971. (In Spanish) [Google Scholar] [CrossRef]
- Tomporowski, P.D.; McCullick, B.; Pendleton, D.M.; Pesce, C. Exercise and children’s cognition: The role of exercise characteristics and a place for metacognition. J. Sport Health Sci. 2015, 4, 47–55. [Google Scholar] [CrossRef] [Green Version]
- Best, J.R. Effects of physical activity on children’s executive function: Contributions of experimental research on aerobic exercise. Dev. Rev. 2010, 30, 331–351. [Google Scholar] [CrossRef] [PubMed]
- Alesi, M.; Bianco, A.; Luppina, G.; Palma, A.; Pepi, A. Improving children’s coordinative skills and executive functions: The effects of a football exercise program. Percept. Mot. Skills 2016, 122, 27–46. [Google Scholar] [CrossRef] [PubMed]
- Schmidt, M.; Jäger, K.; Egger, F.; Roebers, C.M.; Conzelmann, A. Cognitively engaging chronic physical activity, but not aerobic exercise, affects executive functions in primary school children: A group-randomized controlled trial. J. Sport Exerc. Psychol. 2015, 37, 575–591. [Google Scholar] [CrossRef] [PubMed]
- Contreras-Osorio, F.; Campos-Jara, C.; Martínez-Salazar, C.; Chirosa-Ríos, L.; Martínez-García, D. Effects of sport-based interventions on children’s executive function: A systematic review and meta-analysis. Brain Sci. 2021, 11, 755. [Google Scholar] [CrossRef] [PubMed]
- Jacobson, J.; Matthaeus, L. Athletics and executive functioning: How athletic participation and sport type correlate with cognitive performance. Psychol. Sport Exerc. 2014, 15, 521–527. [Google Scholar] [CrossRef]
- Wang, C.H.; Chang, C.C.; Liang, Y.M.; Shih, C.M.; Chiu, W.S.; Tseng, P.; Hung, D.L.; Tzeng, O.J.L.; Muggleton, N.G.; Juan, C.H. Open vs. Closed Skill Sports and the Modulation of Inhibitory Control. PLoS ONE 2013, 8, e55773. [Google Scholar] [CrossRef] [Green Version]
- Voss, M.; Kramer, A.; Basak, C.; Prakash, R.; Roberts, B. Are Expert Athletes ‘Expert’ in the Cognitive Laboratory? A Meta-Analytic Review of Cognition and Sport Expertise. Appl. Cogn. Psychol. 2010, 24, 812–826. [Google Scholar] [CrossRef]
- Scharfen, H.E.; Memmert, D. Measurement of cognitive functions in experts and elite athletes: A meta-analytic review. Appl. Cogn. Psychol. 2019, 33, 843–860. [Google Scholar] [CrossRef]
- Ballester, R.; Huertas, F.; Pablos-Abella, C.; Llorens, F.; Pesce, C. Chronic participation in externally paced, but not self-paced sports is associated with the modulation of domain-general cognition. Eur. J. Sport Sci. 2019, 19, 1110–1119. [Google Scholar] [CrossRef]
- Burris, K.; Liu, S.; Appelbaum, L. Visual-motor expertise in athletes: Insights from semiparametric modelling of 2317 athletes tested on the Nike SPARQ Sensory Station. J. Sports Sci. 2020, 38, 320–329. [Google Scholar] [CrossRef]
- Formenti, D.; Trecroci, A.; Duca, M.; Cavaggioni, L.; D’Angelo, F.; Passi, A.; Longo, S.; Alberti, G. Differences in inhibitory control and motor fitness in children practicing open and closed skill sports. Sci. Rep. 2021, 11, 4033. [Google Scholar] [CrossRef]
- Ishihara, T.; Mizuno, M. Effects of tennis play on executive function in 6–11-year-old children: A 12-month longitudinal study. Eur. J. Sport Sci. 2018, 18, 741–752. [Google Scholar] [CrossRef]
- Giordano, G.; Gómez-López, M.; Alesi, M. Sports, executive functions and academic performance: A comparison between martial arts, team sports, and sedentary children. Int. J. Environ. Res. Public Health 2021, 18, 11745. [Google Scholar] [CrossRef]
- Venckunas, T.; Snieckus, A.; Trinkunas, E.; Baranauskiene, N.; Solianik, R.; Juodsnukis, A.; Streckis, V.; Kamandulis, S. Interval running training improves cognitive flexibility and aerobic power of young healthy adults. J. Strenght Cond. Res. 2016, 30, 2114–2121. [Google Scholar] [CrossRef]
- Chirosa Ríos, L.J.; Hernández Mendo, A.; López Walle, J.; Reigal Garrido, R.E.; Juárez Ruiz de Mier, R.; Martín Martínez, I. Efectos de un programa de juegos reducidos sobre la función ejecutiva en una muestra de chicas adolescentes (Body image in university Mexican students: Differences between men and women). Retos 2016, 2041, 177–179. [Google Scholar] [CrossRef]
- Mena, G.E.; Martinez, P.P.; Mahmud, A.S.; Marquet, P.A.; Buckee, C.O.; Santillana, M. Socioeconomic status determines COVID-19 incidence and related mortality in Santiago, Chile. Science 2021, 5298, eabg5298. [Google Scholar] [CrossRef]
- Portellano, J.A.; Martínez-Arias, R.; Zumárraga, L. Evaluación Neuropsicológica de las Funciones Ejecutivas en Niños (ENFEN); TEA Ediciones: Madrid, Spain, 2009; (In Spanish). ISBN 978-84-15262-32-9. [Google Scholar]
- Lara Nieto-Márquez, N.; Cardeña Martínez, A.; Baldominos, A.; González Petronila, A.; Pérez Nieto, M.Á. Assessment of the Effects of Digital Educational Material on Executive Function Performance. Front. Educ. 2020, 5, 1–20. [Google Scholar] [CrossRef]
- Nieto-Márquez, N.L.; García-Sinausía, S.; Nieto, M.Á.P. Links between motivation and metacognition and achievement in cognitive performance among primary school pupils. An. Psicol. 2021, 37, 51–60. [Google Scholar] [CrossRef]
- Navarro-Soria, I.; Juárez-Ruiz de Mier, R.; García-Fernández, J.M.; González-Gómez, C.; Real-Fernández, M.; Sánchez-Múñoz de León, M.; Lavigne-Cervan, R. Detection of Executive Performance Profiles Using the ENFEN Battery in Children Diagnosed With Attention-Deficit Hyperactivity Disorder. Front. Psychol. 2020, 11, 552322. [Google Scholar] [CrossRef]
- Moral-Campillo, L.; Reigal-Garrido, R.E.; Hernández-Mendo, A. Actividad física, funcionamiento cognitivo y psicosocial en una muestra preadolescente = Physical activity, cognitive and psychosocial functioning in a preadolescent sample. Rev. Psicol. del Deport. 2020, 29, 123–131, (In Spanish with English Abstract). [Google Scholar]
- Maldonado, E.F.; Nislin, M.; Marín, L.; Martín-Escribano, A.; Enguix, A.; López, C.; Magarín, A.; Álamo, A.; Ortíz, P.; Munõz, M.; et al. Association between Salivary Alpha-Amylase and Executive Functioning in Healthy Children. Span. J. Psychol. 2019, 22, E24. [Google Scholar] [CrossRef]
- Kowalski, K.; Crocker, P.; Donen, R. The physical activity questionnaire for older children (PAQ-C) and adolescents (PAQ-A) manual. Coll. Kinesiol. Univ. Sask. 2004, 87, 1–38. [Google Scholar]
- Ross, W.; Marfell-Jones, M. Kinanthropometry. In Physiological Testing of Elite Athlete; MacDougall, J.D., Wenger, H.A., Geeny, H.J., Eds.; Human Kinetics: London, UK, 1991; pp. 223–308. [Google Scholar]
- Chung, I.H.; Park, S.; Park, M.J.; Yoo, E.G. Waist-to-height ratio as an index for cardiometabolic risk in adolescents: Results from the 1998−2008 KNHANES. Yonsei Med. J. 2016, 57, 658–663. [Google Scholar] [CrossRef]
- Eurofit. Handbook for the Eurofit test on Physical Fitness; Council of Europe: Strasbourg, France, 1993; ISBN 84-393-2634-3. [Google Scholar]
- Statement, A.T.S.A. Guidelines for the six-minute walk test. Am. J. Respir. Crit. Care. Med. 2002, 166, 111–117. [Google Scholar] [CrossRef]
- Rodríguez-Núñez, I.; Mondaca, F.; Casas, B.; Ferreira, C.; Zenteno, D. Normal values of 6-minute walk test in healthy children and adolescents: A systematic review and meta-analysis. Rev. Chil. Pediatr. 2018, 89, 128–136. [Google Scholar] [CrossRef] [Green Version]
- Jalili, M.; Nazem, F.; Sazvar, A.; Ranjbar, K. Prediction of Maximal Oxygen Uptake by Six-Minute Walk Test and Body Mass Index in Healthy Boys. J. Pediatr. 2018, 200, 155–159. [Google Scholar] [CrossRef] [Green Version]
- Arias Estero, J.L. El proceso de formación deportiva en la iniciación a los deportes colectivos fundamentado en las características del deportista experto (The process of training from the team sport initiation based on the expert characteristics). Retos 2008, 13, 28–32, (In Spanish with English Abstract). [Google Scholar] [CrossRef]
- González Víllora, S.; García López, L.M.; Contreras Jordan, O.R.; Sánchez-Mora Moreno, D. El concepto de iniciación deportiva en la actualidad (The concept of sport initiation nowadays). Retos 2009, 15, 14–20, (In Spanish with English Abstract). [Google Scholar] [CrossRef]
- Rodríguez-Núñez, I.; Manterola, C. Validación inicial de la escala de medición de esfuerzo percibido infantil (EPInfant) en niños chilenos. Biomedica 2016, 36, 29–38, (In Spanish with English Abstract). [Google Scholar] [CrossRef] [Green Version]
- Rodríguez-Núñez, I.; Luarte-Martínez, S.; Landeros, I.; Ocares, G.; Urízar, M.; Henríquez, M.J.; Zenteno, D. Assessment of EPInfant scale for exercise intensity perceptual self-regulation in healthy children. Rev. Chil. Pediatr. 2019, 90, 422–428. [Google Scholar] [CrossRef]
- Diamond, A. Executive functions. Annu. Rev. Psychol. 2013, 64, 135–168. [Google Scholar] [CrossRef] [PubMed] [Green Version]
- Roy, A.; Kefi, M.Z.; Bellaj, T.; Fournet, N.; Le Gall, D.; Roulin, J.L. The Stroop test: A developmental study in a French children sample aged 7 to 12 years. Psychol. Française 2018, 63, 129–143. [Google Scholar] [CrossRef]
- Friedman, N.P.; Miyake, A. The Relations Among Inhibition and Interference Control Functions: A Latent-Variable Analysis. J. Exp. Psychol. Gen. 2004, 133, 101–135. [Google Scholar] [CrossRef] [PubMed] [Green Version]
- Sánchez-López, M.D.P.; Román-Lapuente, F.; García-Rubio, M.J. Verbal fluency in school-aged spanish children: Analysis of clustering and switching organizational strategies, employing different semantic categories and letters. An. Psicol. 2021, 37, 449–458. [Google Scholar] [CrossRef]
- Koren, R.; Kofman, O.; Berger, A. Analysis of word clustering in verbal fluency of school-aged children. Arch. Clin. Neuropsychol. 2005, 20, 1087–1104. [Google Scholar] [CrossRef] [Green Version]
- Peñarrubia, M.; Navarro-Soria, I.; Palacios, J.; Fenollar-Cortés, J. ADHD symptomatology, executive function and cognitive performance differences between family foster care and control group in ADHD-diagnosed children. Children 2021, 8, 405. [Google Scholar] [CrossRef]
- Cho, S.Y.; So, W.Y.; Roh, H.T. The effects of taekwondo training on peripheral Neuroplasticity-Related growth factors, cerebral blood flow velocity, and cognitive functions in healthy children: A randomized controlled trial. Int. J. Environ. Res. Public Health 2017, 14, 454. [Google Scholar] [CrossRef] [Green Version]
- Heppe, H.; Zentgraf, K. Team Handball Experts Outperform Recreational Athletes in Hand and Foot Response Inhibition: A Behavioral Study. Front. Psychol. 2019, 10, 971. [Google Scholar] [CrossRef] [Green Version]
- Takahashi, S.; Grove, P.M. Comparison of the effects of running and badminton on executive function: A within-subjects design. PLoS ONE 2019, 14, e0216842. [Google Scholar] [CrossRef] [Green Version]
- Lavigne-Cerván, R.; Costa-López, B.; Juárez-Ruiz de Mier, R.; Real-Fernández, M.; Sánchez-Muñoz de León, M.; Navarro-Soria, I. Consequences of COVID-19 Confinement on Anxiety, Sleep and Executive Functions of Children and Adolescents in Spain. Front. Psychol. 2021, 12, 565516. [Google Scholar] [CrossRef]
- Kamkar, N.H.; Morton, J.B. CanDiD: A framework for linking executive function and education. Front. Psychol. 2017, 8, 1187. [Google Scholar] [CrossRef] [Green Version]
- Mora-Gonzalez, J.; Esteban-Cornejo, I.; Cadenas-Sanchez, C.; Migueles, J.H.; Molina-Garcia, P.; Rodriguez-Ayllon, M.; Henriksson, P.; Pontifex, M.B.; Catena, A.; Ortega, F.B. Physical Fitness, Physical Activity, and the Executive Function in Children with Overweight and Obesity. J. Pediatr. 2019, 208, 50–56.e1. [Google Scholar] [CrossRef]
- Veraksa, A.; Tvardovskaya, A.; Gavrilova, M.; Yakupova, V.; Musálek, M. Associations Between Executive Functions and Physical Fitness in Preschool Children. Front. Psychol. 2021, 12, 674746. [Google Scholar] [CrossRef]
- Flores-Resendiz, C.; Soto-Piña, A.E.; Valdes-Ramos, R.; Benıtez-Arciniega, A.D.; Tlatempa-Sotelo, P.; Guadarrama-Lopez, A.L.; Martınez-Carrillo, B.E.; Pulido-Alvarado, C.C. Association between cardiovascular risk factors and stress hormones with cognitive performance in Mexican adolescents. J. Pediatr. Psychol. 2019, 44, 208–219. [Google Scholar] [CrossRef]
- Etnier, J.L.; Nowell, P.M.; Landers, D.M.; Sibley, B.A. A meta-regression to examine the relationship between aerobic fitness and cognitive performance. Brain Res. Rev. 2006, 52, 119–130. [Google Scholar] [CrossRef] [Green Version]
- Guiney, H.; Machado, L. Benefits of regular aerobic exercise for executive functioning in healthy populations. Psychon. Bull. Rev. 2013, 20, 73–86. [Google Scholar] [CrossRef]
- Zeng, X.; Cai, L.; Wong, S.H.; Lai, L.; Lv, Y.; Tan, W.; Jing, J.; Chen, Y. Association of Sedentary Time and Physical Activity With Executive Function Among Children. Acad. Pediatr. 2021, 21, 63–69. [Google Scholar] [CrossRef]
- Hsieh, S.S.; Fung, D.; Tsai, H.; Chang, Y.K.; Huang, C.J.; Hung, T.M. Differences in working memory as a function of physical activity in children. Neuropsychology 2018, 32, 797–808. [Google Scholar] [CrossRef]
- Meijer, A.; Königs, M.; de Bruijn, A.G.M.; Visscher, C.; Bosker, R.J.; Hartman, E.; Oosterlaan, J. Cardiovascular fitness and executive functioning in primary school-aged children. Dev. Sci. 2021, 24, e13019. [Google Scholar] [CrossRef]
- Huang, T.; Tarp, J.; Domazet, S.L.; Thorsen, A.K.; Froberg, K.; Andersen, L.B.; Bugge, A. Associations of Adiposity and Aerobic Fitness with Executive Function and Math Performance in Danish Adolescents. J. Pediatr. 2015, 167, 810–815. [Google Scholar] [CrossRef] [Green Version]
- Buck, S.M.; Hillman, C.H.; Castelli, D.M. The relation of aerobic fitness to stroop task performance in preadolescent children. Med. Sci. Sports Exerc. 2008, 40, 166–172. [Google Scholar] [CrossRef]
- Wu, C.-T.; Pontifex, M.B.; Raine, L.B.; Chaddock-Heyman, L.; Voss, M.W.; Kramer, A.F.; Hillman, C.H. Aerobic Fitness and Response Variability in Preadolescent Children Performing a Cognitive Control Task. Neuropsychology 2011, 25, 333–341. [Google Scholar] [CrossRef] [Green Version]
- Cabral, L.L.P.; Browne, R.A.V.; Freire, Y.A.; Schwade, D.; Souto, G.C.; Dantas, M.; Lima, F.A.S.; Farias-Junior, L.F.; Costa, E.C.; Barros, J.F. Cardiorespiratory Fitness and Performance in Multiple Domains of Executive Functions in School-Aged Adolescents. Front. Physiol. 2021, 12, 640765. [Google Scholar] [CrossRef]
- Marchetti, R.; Forte, R.; Borzacchini, M.; Vazou, S.; Tomporowski, P.D.; Pesce, C. Physical and Motor Fitness, Sport Skills and Executive Function in Adolescents: A Moderated Prediction Model. Psychology 2015, 6, 1915–1929. [Google Scholar] [CrossRef] [Green Version]
- Hung, C.L.; Chang, Y.K.; Chan, Y.S.; Shih, C.H.; Huang, C.J.; Hung, T.M. Motor ability and inhibitory processes in children with ADHD: A neuroelectric study. J. Sport Exerc. Psychol. 2013, 35, 322–328. [Google Scholar] [CrossRef]




| Procedure | Contents | Time (min) |
|---|---|---|
| Basic sports training | Progressive movements, joint mobility, and work in pairs | 10 |
| Main exercise | Individual improvement tasks. Example: 1 × 1 throw | 5 |
| One-phase improvement tasks. Example: 3 × 2 in three areas of the attack field | 10 | |
| Phase combination tasks. Example: 3 × 3 counterattack–retreat | 10 | |
| Real play. Example: Matches combining equality and numerical inequality | 15 | |
| Cooling down | Stretching | 10 |
| Procedure | Contents | Time (min) |
|---|---|---|
| Basic sports training | Continuous aerobic jogging | 5 |
| Joint mobility and stretching | 5 | |
| Main exercise | Basic athletic abilities with a technical component | 10 |
| Lifts and repetitions through the set | 10 | |
| Introduction to fartlek | 10 | |
| Continuous run | 10 | |
| Cooling down | Stretching | 10 |
| Children’s Characteristics | Pre-Intervention | Post-Intervention | p-Value | Pre-Intervention | Post-Intervention | p-Value | Pre-Intervention | Post-Intervention | p-Value |
|---|---|---|---|---|---|---|---|---|---|
| Groups | Control Group | Athletics | Handball | ||||||
| Age | 11.45 ± 0.60 | - | - | 11.4 ± 0.85 | - | 11.41 ± 0.59 | - | 0.93 | |
| Sex | - | - | - | ||||||
| Girls | 15 (50%) | 15 (50%) | 14 (46.7) | 14 (46.7) | 15 (50.0) | 14 (46.7) | |||
| Boys | 15 (50%) | 15 (50%) | 16 (53.3) | 16 (53.3) | 15 (50.0) | 16 (53.3) | |||
| Anthropometric parameters | |||||||||
| Weight (kg) | 42.7 ± 7.67 | 43.1 ± 7.7 | 0.87 | 44.5 ± 7.65 | 45.28 ± 8.16 | 0.69 | 43.6 ± 8.17 | 43.86 ± 8.29 | 0.90 |
| Size (m) | 1.48 ± 0.05 | 1.50 ± 0.05 | 0.27 | 1.52 ± 0.048 | 1.53 ± 0.049 | 0.31 | 1.49 ± 0.08 | 1.51 ± 0.08 | 0.52 |
| WC (cm) | 70.1 ± 10.7 | 69.8 ± 10.34 | 0.90 | 71.46 ± 5.78 | 70.3 ± 5.16 | 0.43 | 70.4 ± 6.44 | 69.86 ± 6.26 | 0.73 |
| WtHR (WC/height) | 0.47 ± 0.07 | 0.46 ± 0.07 | 0.72 | 0.46 ± 0.04 | 0.45 ± 0.038 | 0.27 | 0.47 ± 0.04 | 0.46 ± 0.03 | 0.43 |
| BMI (kg/m2) | 19.3 ± 3.7 | 19.1 ± 3.4 | 0.78 | 19.17 ± 3.1 | 19.2 ± 3.34 | 0.97 | 19.26 ± 2.44 | 19.0 ± 2.41 | 0.67 |
| Physical fitness | |||||||||
| PAQ-C | 2.73 ± 0.96 | 3.02 ± 1.0 | 0.26 | 2.6 ± 0.56 | 3.09 ± 0.51 | <0.001 | 2.49 ± 0.58 | 3.4 ± 0.54 | 0.002 |
| SMWT (m) | 381.4 ± 98.5 | 381.5 ± 95.2 | 0.91 | 384.9 ± 51.5 | 726.5 ± 70.6 | <0.001 | 330.3 ± 16.9 | 734.0 ± 74.6 | <0.001 |
| 10 × 5 m sprint (s) | 23.4 ± 2.7 | 23.7 ± 2.7 | 0.63 | 22.49 ± 2.32 | 21.58 ± 1.72 | 0.08 | 21.94 ± 2.01 | 20.6 ± 1.75 | 0.008 |
| SLJ (cm) | 134.7 ± 15.3 | 134.4 ± 14.4 | 0.93 | 143.8 ± 21.7 | 155.6 ± 23.1 | 0.04 | 152.7 ± 12.1 | 157.26 ± 14.56 | 0.19 |
| HGS (kg) | 14.7 ± 3.3 | 14.9 ± 3.25 | 0.81 | 17.86 ± 7.03 | 21.0 ± 5.93 | 0.06 | 18.96 ± 4.12 | 21.16 ± 3.86 | 0.037 |
| ENFEN tasks | |||||||||
| Phonological fluency (F1) | 11.96 ± 4.7 | 14.76 ± 4.49 | 0.021 | 10.5 ± 3.92 | 11.73 ± 4.83 | 0.28 | 11.93 ± 3.7 | 13.03 ± 3.15 | 0.22 |
| Sten F1 | 5.03 ± 2.8 | 6.2 ± 2.56 | 0.098 | 4.43 ± 2.34 | 4.66 ± 2.55 | 0.71 | 4.96 ± 2.37 | 5.03 ± 1.6 | 0.89 |
| Semantic fluency (F2) | 18.16 ± 5.7 | 17.43 ± 4.73 | 0.59 | 18.7 ± 2.7 | 21.8 ± 5.54 | 0.007 | 19.7 ± 3.83 | 19.8 ± 4.21 | 0.92 |
| Sten F2 | 5.83 ± 2.76 | 5.23 ± 2.34 | 0.36 | 6.2 ± 0.96 | 7.23 ± 1.97 | 0.012 | 6.46 ± 1.47 | 6.26 ± 1.52 | 0.60 |
| Gray trails (S1) | 29.7 ± 8.66 | 32.6 ± 10.6 | 0.26 | 36.97 ± 12.64 | 37.84 ± 16.6 | 0.82 | 29.9 ± 10.76 | 32.34 ± 10.91 | 0.38 |
| Sten S1 | 6.03 ± 2.05 | 6.26 ± 1.38 | 0.60 | 7.13 ± 2.1 | 7.0 ± 2.49 | 0.82 | 5.86 ± 2.3 | 6.23 ± 2.17 | 0.52 |
| Color trails (S2) | 16.64 ± 6.63 | 18.4 ± 4.73 | 0.24 | 16.58 ± 4.4 | 18.57 ± 7.0 | 0.19 | 15.9 ± 5.5 | 17.2 ± 3.95 | 0.32 |
| Sten S2 | 4.93 ± 2.3 | 5.46 ± 1.56 | 0.29 | 4.93 ± 1.76 | 5.36 ± 2.17 | 0.39 | 4.66 ± 1.95 | 5.13 ± 1.65 | 0.32 |
| Rings task (A) | 186.77 ± 18.28 | 175.0 ± 32.9 | 0.09 | 176.8 ± 33.0 | 171.4 ± 43.7 | 0.58 | 185.61 ± 32.6 | 174.5 ± 36.0 | 0.21 |
| Sten A | 3.93 ± 0.86 | 4.06 ± 1.94 | 0.72 | 4.43 ± 1.38 | 4.86 ± 2.08 | 0.34 | 3.86 ± 1.85 | 4.36 ± 1.82 | 0.29 |
| Interference (IN) | 74.13 ± 21.69 | 86.39 ± 14.3 | 0.012 | 85.0 ± 19.73 | 92.3 ± 21.83 | 0.18 | 84.0 ± 11.96 | 90.9 ± 12.49 | 0.034 |
| Sten IN | 4.6 ± 1.84 | 5.5 ± 1.4 | 0.038 | 5.3 ± 1.82 | 5.93 ± 1.85 | 0.18 | 5.56 ± 0.97 | 5.9 ± 1.32 | 0.27 |
| ENFEN Sten | Sex—Male | Low HGS (<3rd) | WtHR (>0.5) |
|---|---|---|---|
| F1 | 1.30 (0.57–2.99), 0.52 | 0.93 (0.39–2.18), 0.86 | 0.56 (0.18–1.72), 0.31 |
| F2 | 1.57 (0.66–3.7), 0.30 | 1.87 (0.78–4.5), 0.15 | 12.1 (1.51–96.2), 0.019 |
| S1 | 0.18 (0.07–0.48), 0.001 | 0.59 (0.24–1.48), 0.26 | 0.69 (0.23–2.08), 0.51 |
| S2 | 0.76 (0.33–1.75), 0.53 | 1.64 (0.69–3.9), 0.25 | 0.77 (0.26–2.3), 0.65 |
| A | 2.7 (1.15–6.36), 0.02 | 4.0 (1.64–10.0), 0.002 | 4.82 (1.26–18.36), 0.02 |
| IN | 2.05 (0.88–4.75), 0.09 | 3.23 (1.31–7.92), 0.01 | 0.53 (0.17–1.63), 0.27 |
Publisher’s Note: MDPI stays neutral with regard to jurisdictional claims in published maps and institutional affiliations. |
© 2022 by the authors. Licensee MDPI, Basel, Switzerland. This article is an open access article distributed under the terms and conditions of the Creative Commons Attribution (CC BY) license (https://creativecommons.org/licenses/by/4.0/).
Share and Cite
Contreras-Osorio, F.; Guzmán-Guzmán, I.P.; Cerda-Vega, E.; Chirosa-Ríos, L.; Ramírez-Campillo, R.; Campos-Jara, C. Effects of the Type of Sports Practice on the Executive Functions of Schoolchildren. Int. J. Environ. Res. Public Health 2022, 19, 3886. https://doi.org/10.3390/ijerph19073886
Contreras-Osorio F, Guzmán-Guzmán IP, Cerda-Vega E, Chirosa-Ríos L, Ramírez-Campillo R, Campos-Jara C. Effects of the Type of Sports Practice on the Executive Functions of Schoolchildren. International Journal of Environmental Research and Public Health. 2022; 19(7):3886. https://doi.org/10.3390/ijerph19073886
Chicago/Turabian StyleContreras-Osorio, Falonn, Iris Paola Guzmán-Guzmán, Enrique Cerda-Vega, Luis Chirosa-Ríos, Rodrigo Ramírez-Campillo, and Christian Campos-Jara. 2022. "Effects of the Type of Sports Practice on the Executive Functions of Schoolchildren" International Journal of Environmental Research and Public Health 19, no. 7: 3886. https://doi.org/10.3390/ijerph19073886
APA StyleContreras-Osorio, F., Guzmán-Guzmán, I. P., Cerda-Vega, E., Chirosa-Ríos, L., Ramírez-Campillo, R., & Campos-Jara, C. (2022). Effects of the Type of Sports Practice on the Executive Functions of Schoolchildren. International Journal of Environmental Research and Public Health, 19(7), 3886. https://doi.org/10.3390/ijerph19073886

