In Vitro Biocompatibility of Several Children’s Toothpastes on Human Gingival Fibroblasts
Abstract
:1. Introduction
2. Materials and Methods
2.1. Preparation of Children’s Toothpaste Eluates
2.2. Isolation and Culture of Human Gingival Fibroblasts
2.3. MTT Assays
2.4. Cell Cycle Analysis
2.5. Cell Cytoskeleton Staining
2.6. Apoptosis/Necrosis Assays
2.7. ICP-MS and Ion Chromatography
2.8. Statistical Analysis
3. Results
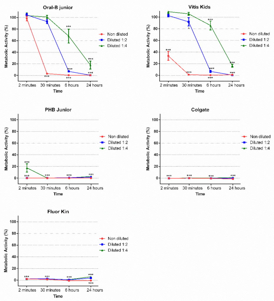
3.1. MTT
3.2. Cell Cycle Analysis
3.3. Cell Cytoskeleton Staining
3.4. Apoptosis/Necrosis Assay
3.5. ICP-MS and Ion Chromatography
4. Discussion
5. Conclusions
Author Contributions
Funding
Institutional Review Board Statement
Informed Consent Statement
Data Availability Statement
Conflicts of Interest
References
- Pitts, N.B.; Zero, D.T.; Marsh, P.D.; Ekstrand, K.; Weintraub, J.A.; Ramos-Gomez, F.; Tagami, J.; Twetman, S.; Tsakos, G.; Ismail, A. Dental caries. Nat. Rev. Dis. Primers 2017, 3, 17030. [Google Scholar] [CrossRef] [Green Version]
 - Bawaskar, H.S.; Bawaskar, P.H. Oral diseases: A global public health challenge. Lancet 2020, 395, 185–186. [Google Scholar] [CrossRef] [Green Version]
 - Uribe, S.E.; Innes, N.; Maldupa, I. The Global Prevalence of Early Childhood Caries: A Systematic Review with Meta-analysis Using the WHO Diagnostic Criteria. Int. J. Paediatr. Dent. 2021, 31, 817–830. [Google Scholar] [CrossRef] [PubMed]
 - Horst, J.A.; Tanzer, J.M.; Milgrom, P.M. Fluorides and Other Preventive Strategies for Tooth Decay. Dent. Clin. N. Am. 2018, 62, 207–234. [Google Scholar] [CrossRef]
 - Walsh, T.; Worthington, H.V.; Glenny, A.M.; Marinho, V.C.; Jeroncic, A. Fluoride toothpastes of different concentrations for preventing dental caries. Cochrane Database Syst. Rev. 2019, 3, Cd007868. [Google Scholar] [CrossRef]
 - Pollick, H. The Role of Fluoride in the Prevention of Tooth Decay. Pediatr. Clin. N. Am. 2018, 65, 923–940. [Google Scholar] [CrossRef] [PubMed]
 - Toumba, K.J.; Twetman, S.; Splieth, C.; Parnell, C.; van Loveren, C.; Lygidakis, N. Guidelines on the use of fluoride for caries prevention in children: An updated EAPD policy document. Eur. Arch. Paediatr. Dent. 2019, 20, 507–516. [Google Scholar] [CrossRef] [PubMed] [Green Version]
 - Zamataro, C.B.; Tenuta, L.M.; Cury, J.A. Low-fluoride dentifrice and the effect of postbrushing rinsing on fluoride availability in saliva. Eur. Arch. Paediatr. Dent. 2008, 9, 90–93. [Google Scholar] [CrossRef]
 - Vincent, S.; Thomas, A.M. Fluoride Levels in Saliva and Plaque following the Use of High Fluoride and Conventional Dentifrices—A Triple Blinded Randomised Parallel Group Trial. Sci. World J. 2019, 2019, 1636209. [Google Scholar] [CrossRef] [PubMed] [Green Version]
 - Staun Larsen, L.; Baelum, V.; Richards, A.; Nyvad, B. Fluoride in Saliva and Oral Mucosa after Brushing with 1450 or 5000 ppm Fluoride Toothpaste. Caries Res. 2019, 53, 675–681. [Google Scholar] [CrossRef] [PubMed]
 - Lopez-Garcia, S.; Pecci-Lloret, M.P.; Garcia-Bernal, D.; Guerrero-Girones, J.; Pecci-Lloret, M.R.; Rodriguez-Lozano, F.J. Are Denture Adhesives Safe for Oral Cells? J. Prosthodont. 2021, 30, 65–70. [Google Scholar] [CrossRef]
 - López-García, S.; Pecci-Lloret, M.P.; Pecci-Lloret, M.R.; Guerrero-Gironés, J.; Rodríguez-Lozano, F.J.; García-Bernal, D. Topical fluoride varnishes promote several biological responses on human gingival cells. Ann. Anat. 2021, 237, 151723. [Google Scholar] [CrossRef]
 - López-García, S.; Guerrero-Gironés, J.; Pecci-Lloret, M.P.; Pecci-Lloret, M.R.; Rodríguez-Lozano, F.J.; García-Bernal, D. In Vitro Biocompatibility of CPP-ACP and Fluoride-containing Desensitizers on Human Gingival Cells. Oper. Dent. 2021. [Google Scholar] [CrossRef]
 - Tabatabaei, M.H.; Mahounak, F.S.; Asgari, N.; Moradi, Z. Cytotoxicity of the Ingredients of Commonly Used Toothpastes and Mouthwashes on Human Gingival Fibroblasts. Front. Dent. 2019, 16, 450–457. [Google Scholar] [CrossRef] [PubMed]
 - Cvikl, B.; Lussi, A.; Moritz, A.; Gruber, R. Dentifrices for children differentially affect cell viability in vitro. Clin. Oral. Investig. 2017, 21, 453–461. [Google Scholar] [CrossRef] [PubMed] [Green Version]
 - Birant, S.; Duran, Y.; Gokalp, M.; Akkoc, T.; Seymen, F. Effects of different detergent-containing children’s toothpastes on the viability, osteogenic and chondrogenic differentiation of human dental periodontal ligament stem cells and gingival stem cells in vitro. Tissue Cell 2021, 72, 101538. [Google Scholar] [CrossRef] [PubMed]
 - Lippert, F. An introduction to toothpaste—Its purpose, history and ingredients. Monogr. Oral. Sci. 2013, 23, 1–14. [Google Scholar] [CrossRef]
 - Cvikl, B.; Lussi, A.; Gruber, R. The in vitro impact of toothpaste extracts on cell viability. Eur. J. Oral. Sci. 2015, 123, 179–185. [Google Scholar] [CrossRef] [PubMed] [Green Version]
 - Levine, R.S. Fluoride in toothpaste—Is the expressed total fluoride content meaningful for caries prevention? Br. Dent. J. 2020, 228, 795–799. [Google Scholar] [CrossRef]
 - Pérez-Silva, A.; Cury, J.A.; Martínez-Beneyto, Y.; Serna-Muñoz, C.; Cabello Malagón, I.; Ortiz-Ruiz, A.J. Total and soluble fluoride concentration in children´s toothpastes in Spain. Rev. Esp. Salud Publica 2021, 95, e202104050. [Google Scholar]
 




| Material | Manufacturer | Composition | Lot Number | 
|---|---|---|---|
| Oral B Kids +3 | Procter & Gamble Poligono Industrial El Espartal, 1, 03100, Xixona, Alicante, Spain | Aqua, Hydrated Silica, Cocamidopropyl Betaine, Trisodium Phosphate, Aroma, Cellulose Gum, Sodium Fluoride, Carbomer, Sodium Saccharin, Limonene, Benzyl Alcohol, Sodium Benzoate, Cinnamal, Polysorbate 80, CÑ 42090 (1450 ppm Fluoride) | 0213028870 | 
| Fluor Kin Calcium | Laboratorios KIN SA Calle Fuerteventura, 4—PLT BJ, San Sebastian de los Reyes, Madrid, Spain | Aqua, Sorbitol, Glycerin, Hydrated Silica, Aroma, Titanium Dioxide, Xanthan Gum, Xylitol, Sodium Monofluorophosphate, Sodium Lauryl Sulfate, Sodium Methylparaben, Calcium Glycerophosphate, Citric Acid, Sodium Propylparaben, Potassium Acesulfame (1000 ppm Fluoride) | 20C09 | 
| PHB Junior | Laboratorios de Prevención e Higiene Bucal, Castanyer 25, 08022, Barcelona, Spain | Aqua, Sorbitol, Silica, Glycerin, Titanium Dioxide, Sodium Gluconate, Potassium Acesulfame, Sodium Lauryl Sulfate, PEG-40, Hydrogenated Castor Oil, Xanthan Gum, Sodium Fluoride, Sodium Saccharin, Sodium Methylparaben, Tocopheryl Acetate, Lactic Acid, Aroma (1000 ppm Fluoride) | M2005 | 
| Colgate 3+ | Colgate-Palmolive, C/Quintanavides, 19—Edificio 4. 28050, Madrid, Spain  | Sorbitol, Aqua, Hydrated Silica, Xylitol, PEG-12, Cellulose Gum, Benzyl Alcohol, Sodium Lauryl Sulfate, Sodium Fluoride, Aroma (1000 ppm Fluoride) | (L)1007PL112C 1 | 
| Vitis Kids | Dentaid Benimaclet, 39, 46120 Alboraia, Valencia, Spain | Aqua, Sorbitol, Silica, Glycerin, Xylitol, Sodium Benzoate, Cellulose Gum, PEG-40, Hydrogenated Castor Oil, Sodium Lauryl Sarcosinate, Propylene Glycol, Sodium Fluoride, Sodium Saccharin, Benzoic Acid, Mica, Titanium Dioxide, Tetrasodium EDTA, Neohesperidin Dihydrochalcone, Aroma, CL16035 (1000 ppm Fluoride) | R2015 | 
| Ca (318.127 nm) ppm | K (766.491 nm) ppm | Mg (277.983 nm) ppm | Na (588.995 nm) ppm | P (214.914 nm) ppm | Si (251.432 nm) ppm | |
|---|---|---|---|---|---|---|
| Colgate | 1.1 | 1.1 | 0.6 | 459.5 | 1.4 | 12.1 | 
| Fluor Kin | 13.8 | 11 | 0.8 | 576.2 | 270.2 | 5.9 | 
| PHB Junior | 0 | 286.6 | 0 | 640.1 | 5.4 | 20.6 | 
| Oral B Kids | 0 | 2.3 | 0 | 1002.6 | 334.8 | 4.6 | 
| Vitis Kids | 0 | 1.2 | 0.1 | 843.1 | 2.5 | 10.7 | 
| Toothpaste | Fluoride Concentration | 
|---|---|
| Colgate | 118.14 ± 2.22 mg/L | 
| Oral B Kids | 230.42 ± 5.56 mg/L | 
| Vitis Kids | 146.75 ± 5.08 mg/L | 
| PHB Junior | 163.54 ± 3.03 mg/L | 
| Fluor Kin | 22.91 ± 3.00 mg/L | 
Publisher’s Note: MDPI stays neutral with regard to jurisdictional claims in published maps and institutional affiliations.  | 
© 2022 by the authors. Licensee MDPI, Basel, Switzerland. This article is an open access article distributed under the terms and conditions of the Creative Commons Attribution (CC BY) license (https://creativecommons.org/licenses/by/4.0/).
Share and Cite
Pecci-Lloret, M.P.; López-García, S.; Rodríguez-Lozano, F.J.; Álvarez-Novoa, P.; García-Bernal, D. In Vitro Biocompatibility of Several Children’s Toothpastes on Human Gingival Fibroblasts. Int. J. Environ. Res. Public Health 2022, 19, 2954. https://doi.org/10.3390/ijerph19052954
Pecci-Lloret MP, López-García S, Rodríguez-Lozano FJ, Álvarez-Novoa P, García-Bernal D. In Vitro Biocompatibility of Several Children’s Toothpastes on Human Gingival Fibroblasts. International Journal of Environmental Research and Public Health. 2022; 19(5):2954. https://doi.org/10.3390/ijerph19052954
Chicago/Turabian StylePecci-Lloret, María Pilar, Sergio López-García, Francisco Javier Rodríguez-Lozano, Pablo Álvarez-Novoa, and David García-Bernal. 2022. "In Vitro Biocompatibility of Several Children’s Toothpastes on Human Gingival Fibroblasts" International Journal of Environmental Research and Public Health 19, no. 5: 2954. https://doi.org/10.3390/ijerph19052954
APA StylePecci-Lloret, M. P., López-García, S., Rodríguez-Lozano, F. J., Álvarez-Novoa, P., & García-Bernal, D. (2022). In Vitro Biocompatibility of Several Children’s Toothpastes on Human Gingival Fibroblasts. International Journal of Environmental Research and Public Health, 19(5), 2954. https://doi.org/10.3390/ijerph19052954
        
                                                
