Visible Light-Based Ag3PO4/g-C3N4@MoS2 for Highly Efficient Degradation of 2-Amino-4-acetylaminoanisole (AMA) from Printing and Dyeing Wastewater
Abstract
:1. Introduction
2. Experimental
2.1. Materials
2.2. Synthesize of Ag3PO4/g-C3N4@MoS2
2.2.1. Synthesis of g-C3N4 Flakes
2.2.2. Synthesis of Ag3PO4
2.2.3. Synthesis of MOS2
2.2.4. Synthesis of Ag3PO4/g-C3N4@MoS2
2.3. Characterization of Ag3PO4/g-C3N4@MoS2
2.4. Photocatalytic Activity Tests
2.5. Anti-Photo Corrosion Evaluation
2.6. Photocatalytic Degradation Mechanism of AMA
3. Results and Discussion
3.1. Characterization of Ag3PO4/g-C3N4@MoS2
3.1.1. SEM Analysis
3.1.2. X-ray Diffraction (XRD)
3.1.3. X-ray Photoelectron Spectroscopy (XPS)
3.1.4. Fourier Infrared Spectroscopy Analysis (FT-IR)
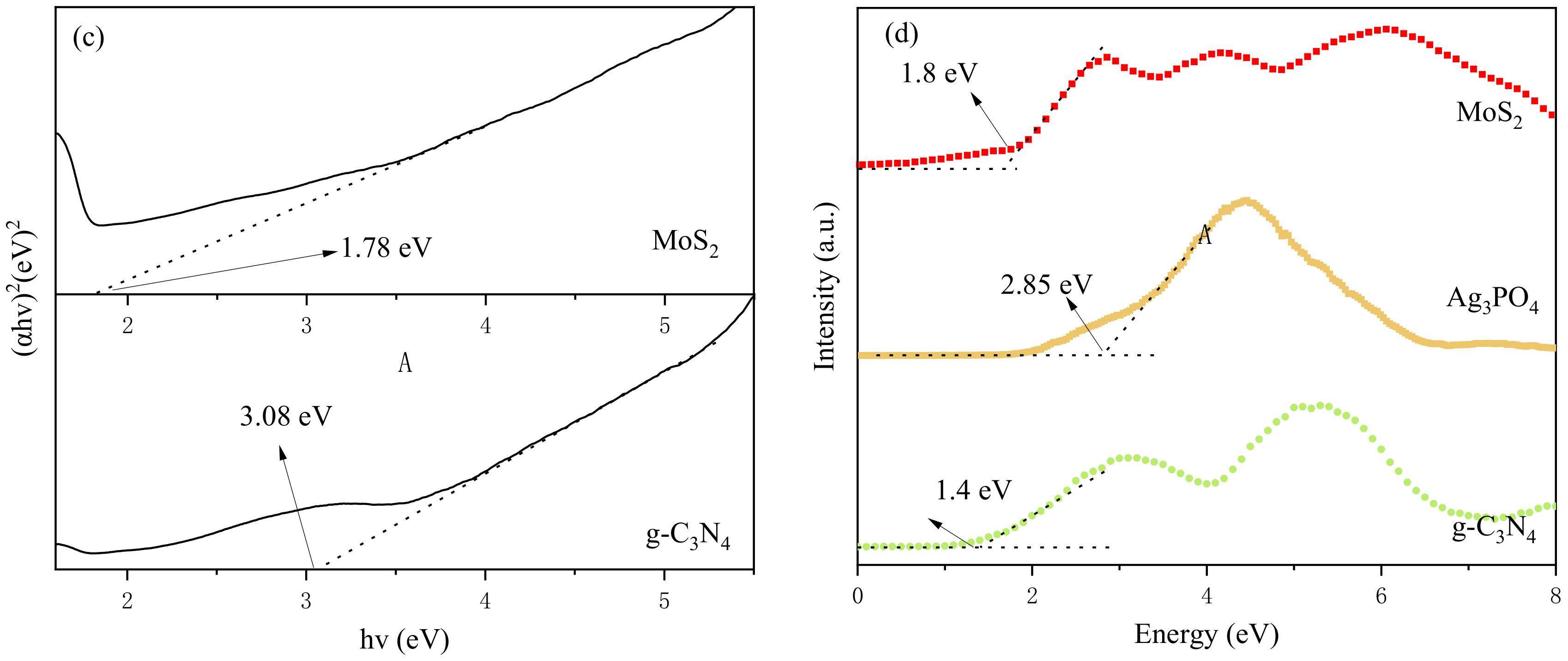
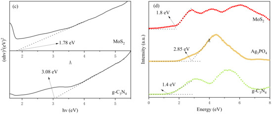
3.1.5. UV/vis Diffuse Reflectance Spectrum
3.2. Photocatalytic Degradation of AMA
3.3. Anti-Photo Corrosion Evaluation
3.4. Photocatalytic Degradation Pathway of AMA
3.4.1. Free Radical Capture Experiment
3.4.2. Proposed Photocatalytic Degradation Mechanism
3.4.3. Analysis of Photocatalytic Degradation Products of AMA
4. Conclusions
Author Contributions
Funding
Institutional Review Board Statement
Informed Consent Statement
Data Availability Statement
Conflicts of Interest
References
- Li, Y.; Wang, W.; Wang, F.; Di, L.; Yang, S.; Zhu, S.; Yao, Y.; Ma, C.; Dai, B.; Yu, F. Enhanced photocatalytic degradation of organic dyes via defect-rich TiO2 prepared by dielectric barrier discharge plasma. Nanomaterials 2019, 9, 720. [Google Scholar] [CrossRef] [PubMed] [Green Version]
- Hernández-Zamora, M.; Cristiani-Urbina, E.; Martínez-Jerónimo, F.; Perales-Vela, H.V.; Ponce-Noyola, T.; del Carmen Montes-Horcasitas, M.; Cañizares-Villanueva, R.O. Bioremoval of the azo dye Congo Red by the microalga Chlorella vulgaris. Environ. Sci. Pollut. Res. 2015, 22, 10811–10823. [Google Scholar] [CrossRef] [PubMed]
- Chiu, C.-W.; Wu, M.-T.; Lin, C.-L.; Li, J.-W.; Huang, C.-Y.; Soong, Y.-C.; Lee, J.C.-M.; Lee Sanchez, W.A.; Lin, H.-Y. Adsorption Performance for Reactive Blue 221 Dye of β-Chitosan/Polyamine Functionalized Graphene Oxide Hybrid Adsorbent with High Acid–Alkali Resistance Stability in Different Acid–Alkaline Environments. Nanomaterials 2020, 10, 748. [Google Scholar] [CrossRef] [PubMed]
- Chang, S.-M. Treatment of 2-Amino-4-Acetaminoanisole Wastewater by Lime Coagulation; China University of Geosciences: Beijing, China, 2017. [Google Scholar]
- Rao, W.; Lv, G.; Wang, D.; Liao, L. Enhanced degradation of Rh 6G by zero valent iron loaded on two typical clay minerals with different structures under microwave irradiation. Front. Chem. 2018, 6, 463. [Google Scholar] [CrossRef]
- Chen, B.; Liu, Y.; Chen, S.; Zhao, X.; Yue, W.; Pan, X. Nitrogen-rich core/shell magnetic nanostructures for selective adsorption and separation of anionic dyes from aqueous solution. Environ. Sci. Nano 2016, 3, 670–681. [Google Scholar] [CrossRef]
- Merzouk, B.; Gourich, B.; Madani, K.; Vial, C.; Sekki, A. Removal of a disperse red dye from synthetic wastewater by chemical coagulation and continuous electrocoagulation. A comparative study. Desalination 2011, 272, 246–253. [Google Scholar] [CrossRef]
- Penboon, L.; Khrueakham, A.; Sairiam, S. TiO2 coated on PVDF membrane for dye wastewater treatment by a photocatalytic membrane. Water Sci. Technol. 2019, 79, 958–966. [Google Scholar] [CrossRef]
- Arslan, I.; Balcioǧlu, I.A.; Bahnemann, D.W. Advanced chemical oxidation of reactive dyes in simulated dyehouse effluents by ferrioxalate-Fenton/UV-A and TiO2/UV-A processes. Dye. Pigment. 2000, 47, 207–218. [Google Scholar] [CrossRef]
- Jayapal, M.; Jagadeesan, H.; Shanmugam, M.; Murugesan, S. Sequential anaerobic-aerobic treatment using plant microbe integrated system for degradation of azo dyes and their aromatic amines by-products. J. Hazard. Mater. 2018, 354, 231–243. [Google Scholar] [CrossRef]
- Wang, K.; Li, Y.; Li, J.; Zhang, G. Boosting interfacial charge separation of Ba5Nb4O15/g-C3N4 photocatalysts by 2D/2D nanojunction towards efficient visible-light driven H2 generation. Appl. Catal. B Environ. 2020, 263, 117730. [Google Scholar] [CrossRef]
- Jia, J.; Sun, W.; Zhang, Q.; Zhang, X.; Hu, X.; Liu, E.; Fan, J. Inter-plane heterojunctions within 2D/2D FeSe2/g-C3N4 nanosheet semiconductors for photocatalytic hydrogen generation. Appl. Catal. B Environ. 2020, 261, 118249. [Google Scholar] [CrossRef]
- Tomer, V.K.; Malik, R.; Chaudhary, V.; Mishra, Y.K.; Kienle, L.; Ahuja, R.; Lin, L. Superior visible light photocatalysis and low-operating temperature VOCs sensor using cubic Ag (0)-MoS2 loaded g-CN 3D porous hybrid. Appl. Mater. Today 2019, 16, 193–203. [Google Scholar] [CrossRef]
- Gao, X.; Gao, K.; Fu, F.; Liang, C.; Li, Q.; Liu, J.; Gao, L.; Zhu, Y. Synergistic introducing of oxygen vacancies and hybrid of organic semiconductor: Realizing deep structure modulation on Bi5O7I for high-efficiency photocatalytic pollutant oxidation. Appl. Catal. B Environ. 2020, 265, 118562. [Google Scholar] [CrossRef]
- Fan, G.; Du, B.; Zhou, J.; Yu, W.; Chen, Z.; Yang, S. Stable Ag2O/g-C3N4 pn heterojunction photocatalysts for efficient inactivation of harmful algae under visible light. Appl. Catal. B Environ. 2020, 265, 118610. [Google Scholar] [CrossRef]
- Wang, C.; Zhao, Y.; Xu, H.; Li, Y.; Wei, Y.; Liu, J.; Zhao, Z. Efficient Z-scheme photocatalysts of ultrathin g-C3N4-wrapped Au/TiO2-nanocrystals for enhanced visible-light-driven conversion of CO2 with H2O. Appl. Catal. B Environ. 2020, 263, 118314. [Google Scholar] [CrossRef]
- Cai, T.; Zeng, W.; Liu, Y.; Wang, L.; Dong, W.; Chen, H.; Xia, X. A promising inorganic-organic Z-scheme photocatalyst Ag3PO4/PDI supermolecule with enhanced photoactivity and photostability for environmental remediation. Appl. Catal. B Environ. 2020, 263, 118327. [Google Scholar] [CrossRef]
- Ning, S.; Lin, H.; Tong, Y.; Zhang, X.; Lin, Q.; Zhang, Y.; Long, J.; Wang, X. Dual couples Bi metal depositing and Ag@ AgI islanding on BiOI 3D architectures for synergistic bactericidal mechanism of E. coli under visible light. Appl. Catal. B Environ. 2017, 204, 1–10. [Google Scholar] [CrossRef]
- Chen, M.; Guo, C.; Hou, S.; Lv, J.; Zhang, Y.; Zhang, H.; Xu, J. A novel Z-scheme AgBr/Pg-C3N4 heterojunction photocatalyst: Excellent photocatalytic performance and photocatalytic mechanism for ephedrine degradation. Appl. Catal. B Environ. 2020, 266, 118614. [Google Scholar] [CrossRef]
- Song, S.; Cheng, B.; Wu, N.; Meng, A.; Cao, S.; Yu, J. Structure effect of graphene on the photocatalytic performance of plasmonic Ag/Ag2CO3-rGO for photocatalytic elimination of pollutants. Appl. Catal. B Environ. 2016, 181, 71–78. [Google Scholar] [CrossRef]
- Jing, L.; Xu, Y.; Huang, S.; Xie, M.; He, M.; Xu, H.; Li, H.; Zhang, Q. Novel magnetic CoFe2O4/Ag/Ag3VO4 composites: Highly efficient visible light photocatalytic and antibacterial activity. Appl. Catal. B Environ. 2016, 199, 11–22. [Google Scholar] [CrossRef]
- Yi, Z.; Ye, J.; Kikugawa, N.; Kako, T.; Ouyang, S.; Stuart-Williams, H.; Yang, H.; Cao, J.; Luo, W.; Li, Z. An orthophosphate semiconductor with photooxidation properties under visible-light irradiation. Nat. Mater. 2010, 9, 559–564. [Google Scholar] [CrossRef] [PubMed]
- Tang, C.; Liu, E.; Wan, J.; Hu, X.; Fan, J. Co3O4 nanoparticles decorated Ag3PO4 tetrapods as an efficient visible-light-driven heterojunction photocatalyst. Appl. Catal. B Environ. 2016, 181, 707–715. [Google Scholar] [CrossRef]
- Lv, Y.; Huang, K.; Zhang, W.; Yang, B.; Chi, F.; Ran, S.; Liu, X. One step synthesis of Ag/Ag3PO4/BiPO4 double-heterostructured nanocomposites with enhanced visible-light photocatalytic activity and stability. Ceram. Int. 2014, 40, 8087–8092. [Google Scholar] [CrossRef]
- Zhou, Z.; Zhang, P.; Lin, Y.; Ashalley, E.; Ji, H.; Wu, J.; Li, H.; Wang, Z. Microwave fabrication of Cu2ZnSnS4 nanoparticle and its visible light photocatalytic properties. Nanoscale Res. Lett. 2014, 9, 477. [Google Scholar] [CrossRef] [PubMed] [Green Version]
- Li, Y.; Ding, L.; Liang, Z.; Xue, Y.; Cui, H.; Tian, J. Synergetic effect of defects rich MoS2 and Ti3C2 MXene as cocatalysts for enhanced photocatalytic H2 production activity of TiO2. Chem. Eng. J. 2020, 383, 123178. [Google Scholar] [CrossRef]
- Liang, Z.; Guo, Y.; Xue, Y.; Cui, H.; Tian, J. 1T-phase MoS2 quantum dots as a superior co-catalyst to Pt decorated on carbon nitride nanorods for photocatalytic hydrogen evolution from water. Mater. Chem. Front. 2019, 3, 2032–2040. [Google Scholar] [CrossRef]
- Kuang, P.; He, M.; Zou, H.; Yu, J.; Fan, K. 0D/3D MoS2-NiS2/N-doped graphene foam composite for efficient overall water splitting. Appl. Catal. B Environ. 2019, 254, 15–25. [Google Scholar] [CrossRef]
- Xiong, M.; Yan, J.; Chai, B.; Fan, G.; Song, G. Liquid exfoliating CdS and MoS2 to construct 2D/2D MoS2/CdS heterojunctions with significantly boosted photocatalytic H2 evolution activity. J. Mater. Sci. Technol. 2020, 56, 179–188. [Google Scholar] [CrossRef]
- Liang, Z.; Shen, R.; Ng, Y.H.; Zhang, P.; Xiang, Q.; Li, X. A review on 2D MoS2 cocatalysts in photocatalytic H2 production. J. Mater. Sci. Technol. 2020, 56, 89–121. [Google Scholar] [CrossRef]
- Li, Y.; Zhang, P.; Wan, D.; Xue, C.; Zhao, J.; Shao, G. Direct evidence of 2D/1D heterojunction enhancement on photocatalytic activity through assembling MoS2 nanosheets onto super-long TiO2 nanofibers. Appl. Surf. Sci. 2020, 504, 144361. [Google Scholar] [CrossRef]
- Gao, M.-Y.; Li, C.-C.; Tang, H.-L.; Sun, X.-J.; Dong, H.; Zhang, F.-M. Boosting visible-light-driven hydrogen evolution of covalent organic frameworks through compositing with MoS2: A promising candidate for noble-metal-free photocatalysts. J. Mater. Chem. A 2019, 7, 20193–20200. [Google Scholar] [CrossRef]
- Lu, K.-Q.; Qi, M.-Y.; Tang, Z.-R.; Xu, Y.-J. Earth-abundant MoS2 and cobalt phosphate dual cocatalysts on 1D CdS nanowires for boosting photocatalytic hydrogen production. Langmuir 2019, 35, 11056–11065. [Google Scholar] [CrossRef] [PubMed]
- Fu, Y.; Li, Z.; Liu, Q.; Yang, X.; Tang, H. Construction of carbon nitride and MoS2 quantum dot 2D/0D hybrid photocatalyst: Direct Z-scheme mechanism for improved photocatalytic activity. Chin. J. Catal. 2017, 38, 2160–2170. [Google Scholar] [CrossRef]
- Xu, F.; Zhu, B.; Cheng, B.; Yu, J.; Xu, J. 1D/2D TiO2/MoS2 hybrid nanostructures for enhanced photocatalytic CO2 reduction. Adv. Opt. Mater. 2018, 6, 1800911. [Google Scholar] [CrossRef] [Green Version]
- Li, Z.; Meng, X.; Zhang, Z. Recent development on MoS2-based photocatalysis: A review. J. Photochem. Photobiol. C Photochem. Rev. 2018, 35, 39–55. [Google Scholar] [CrossRef]
- Liu, L.; Qi, Y.; Lu, J.; Lin, S.; An, W.; Liang, Y.; Cui, W. A stable Ag3PO4@ g-C3N4 hybrid core@ shell composite with enhanced visible light photocatalytic degradation. Appl. Catal. B Environ. 2016, 183, 133–141. [Google Scholar] [CrossRef]
- Zhang, Z.Z.; Pan, Z.W.; Guo, Y.F.; Wong, P.K.; Zhou, X.J.; Bai, R.B. In-situ growth of all-solid Z-scheme heterojunction photocatalyst of Bi7O9I3 /g-C3N4 and high efficient degradation of antibiotic under visible light. Appl. Catal. B Environ. 2020, 261, 118212. [Google Scholar] [CrossRef]














Publisher’s Note: MDPI stays neutral with regard to jurisdictional claims in published maps and institutional affiliations. |
© 2022 by the authors. Licensee MDPI, Basel, Switzerland. This article is an open access article distributed under the terms and conditions of the Creative Commons Attribution (CC BY) license (https://creativecommons.org/licenses/by/4.0/).
Share and Cite
Liu, H.; Chen, H.; Ding, N. Visible Light-Based Ag3PO4/g-C3N4@MoS2 for Highly Efficient Degradation of 2-Amino-4-acetylaminoanisole (AMA) from Printing and Dyeing Wastewater. Int. J. Environ. Res. Public Health 2022, 19, 2934. https://doi.org/10.3390/ijerph19052934
Liu H, Chen H, Ding N. Visible Light-Based Ag3PO4/g-C3N4@MoS2 for Highly Efficient Degradation of 2-Amino-4-acetylaminoanisole (AMA) from Printing and Dyeing Wastewater. International Journal of Environmental Research and Public Health. 2022; 19(5):2934. https://doi.org/10.3390/ijerph19052934
Chicago/Turabian StyleLiu, Hong, Houwang Chen, and Ning Ding. 2022. "Visible Light-Based Ag3PO4/g-C3N4@MoS2 for Highly Efficient Degradation of 2-Amino-4-acetylaminoanisole (AMA) from Printing and Dyeing Wastewater" International Journal of Environmental Research and Public Health 19, no. 5: 2934. https://doi.org/10.3390/ijerph19052934
APA StyleLiu, H., Chen, H., & Ding, N. (2022). Visible Light-Based Ag3PO4/g-C3N4@MoS2 for Highly Efficient Degradation of 2-Amino-4-acetylaminoanisole (AMA) from Printing and Dyeing Wastewater. International Journal of Environmental Research and Public Health, 19(5), 2934. https://doi.org/10.3390/ijerph19052934
