Association between Oral Frailty and Physical Frailty among Rural Middle-Old Community-Dwelling People with Cognitive Decline in Taiwan: A Cross-Sectional Study
Abstract
:1. Introduction
2. Materials and Methods
2.1. Study Population
2.2. Clinical Dementia Rating
2.3. Oral Frailty
2.4. Physical Frailty
2.5. Statistical Analysis
3. Results
4. Discussion
5. Conclusions
Author Contributions
Funding
Institutional Review Board Statement
Informed Consent Statement
Data Availability Statement
Acknowledgments
Conflicts of Interest
References
- Waite, S.J.; Maitland, S.; Thomas, A.; Yarnall, A.J. Sarcopenia and frailty in individuals with dementia: A systematic review. Arch. Gerontol. Geriatr. 2021, 92, 104268. [Google Scholar] [CrossRef] [PubMed]
- Feng, L.; Nyunt, M.S.; Gao, Q.; Feng, L.; Lee, T.S.; Tsoi, T.; Chong, M.S.; Lim, W.S.; Collinson, S.; Yap, P.; et al. Physical Frailty, Cognitive Impairment, and the Risk of Neurocognitive Disorder in the Singapore Longitudinal Ageing Studies. J. Gerontol. A Biol. Sci. Med. Sci. 2017, 72, 369–375. [Google Scholar] [CrossRef] [PubMed] [Green Version]
- Department of Household Registration, Ministry of the Interior. Demographic Data. 2021. Available online: https://www.ris.gov.tw/app/portal/346 (accessed on 19 August 2021).
- Taiwan Alzheimer Disease Associate. Dementia Population Estimates in Taiwan. 2021. Available online: http://www.tada2002.org.tw/About/IsntDementia (accessed on 20 August 2021).
- Chuang, Y.F.; Liu, Y.C.; Tseng, H.Y.; Lin, P.X.; Li, C.Y.; Shih, M.H.; Lin, K.C.; Yang, T.O.; Yan, S.H.; Chiu, Y.L. Urban rural differences in the prevalence and correlates of mild cognitive impairment in community-dwelling older adults in Taiwan: The EMCIT study. J. Med. Assoc. 2021, 120, 1749–1757. [Google Scholar]
- Walston, J.D.; Schmander, K.E.; Givens, J. Frailty. 2021. Available online: https://www.uptodate.com/contents/frailty (accessed on 19 August 2021).
- Fried, L.P.; Tangen, C.M.; Walston, J.; Newman, A.B.; Hirsch, C.; Gottdiener, J.; Seeman, T.; Tracy, R.; Kop, W.J.; Burke, G.; et al. Frailty in older adults: Evidence for a phenotype. J. Gerontol. A Biol. Sci. Med. Sci. 2001, 56, M146–M156. [Google Scholar] [CrossRef]
- Kojima, G.; Liljas, A.; Iliffe, S.; Walters, K. Prevalence of Frailty in Mild to Moderate Alzheimer’s Disease: A Systematic Review and Meta-analysis. Curr. Alzheimer Res. 2017, 14, 1256–1263. [Google Scholar] [CrossRef]
- Ensrud, K.E.; Ewing, S.K.; Cawthon, P.M.; Fink, H.A.; Taylor, B.C.; Cauley, J.A.; Dam, T.T.; Marshall, L.M.; Orwoll, E.S.; Cummings, S.R. A comparison of frailty indexes for the prediction of falls, disability, fractures, and mortality in older men. J. Am. Geriatr Soc. 2009, 57, 492–498. [Google Scholar] [CrossRef] [Green Version]
- Tamura, B.K.; Bell, C.L.; Masaki, K.H.; Amella, E.J. Factors associated with weight loss, low BMI, and malnutrition among nursing home patients: A systematic review of the literature. J. Am. Med. Dir. Assoc. 2013, 14, 649–655. [Google Scholar] [CrossRef]
- Gómez-Gómez, M.E.; Zapico, S.C. Frailty, Cognitive Decline, Neurodegenerative Diseases and Nutrition Int.erventions. Int. J. Mol. Sci. 2019, 20, 2842. [Google Scholar] [CrossRef] [Green Version]
- Arai, H.; Satake, S.; Kozaki, K. Cognitive Frailty in Geriatrics. Clin. Geriatr. Med. 2018, 34, 667–675. [Google Scholar]
- Watanabe, Y.; Okada, K.; Kondo, M.; Matsushita, T.; Nakazawa, S.; Yamazaki, Y. Oral health for achieving longevity. Geriatr. Gerontol. Int. 2020, 20, 526–538. [Google Scholar] [CrossRef]
- Tanaka, T.; Takahashi, K.; Hirano, H.; Kikutani, T.; Watanabe, Y.; Ohara, Y.; Furuya, H.; Tetsuo, T.; Akishita, M.; Iijima, K. Oral Frailty as a Risk Factor for Physical Frailty and Mortality in Community-Dwelling Elderly. J. Gerontol. A Biol. Sci. Med. Sci. 2018, 73, 1661–1667. [Google Scholar] [CrossRef] [PubMed]
- Vittorio, D.; Roberta, Z.; Rodolfo, S.; Madia, L.; Fabio, C.; Dibello, A.; Antonio, D.; de Giovanni, P.; Ilaria, B.; Luis, L.; et al. Oral frailty and its determinants in older age: A systematic review. Lancet Healthy Longev. 2021, 2, e507–e520. [Google Scholar] [CrossRef]
- Morris, J.C. The Clinical Dementia Rating (CDR): Current version and scoring rules. Neurology 1993, 43, 2412–2414. [Google Scholar] [CrossRef]
- Lin, K.N.; Liu, H.C. Clinical Dementia Rating (CDR), Chinese Version. Acta Neurol. Taiwanica 2003, 12, 154–165. [Google Scholar] [CrossRef]
- Japan Dental Association. Manual for Oral Frailty at Dental Clinics. 2021. Available online: https://www.jda.or.jp/dentist/oral_flail/pdf/manual_all.pdf (accessed on 19 August 2021).
- Nomura, Y.; Ishii, Y.; Chiba, Y.; Suzuki, S.; Suzuki, A.; Suzuki, S.; Morita, K.; Tanabe, J.; Yamakawa, K.; Ishiwata, Y.; et al. Structure and Validity of Questionnaire for Oral Frail Screening. Healthcare 2021, 9, 45. [Google Scholar] [CrossRef] [PubMed]
- Ensrud, K.E.; Ewing, S.K.; Taylor, B.C.; Fink, H.A.; Cawthon, P.M.; Stone, K.L.; Hillier, T.A.; Cauley, J.A.; Hochberg, M.C.; Rodondi, N.; et al. Comparison of 2 frailty indexes for prediction of falls, disability, fractures, and death in older women. Arch. Intern. Med. 2008, 168, 382–389. [Google Scholar] [CrossRef] [PubMed] [Green Version]
- Namasivayam-MacDonald, A.M.; Riquelme, L.F. Presbyphagia to Dysphagia: Multiple Perspectives and Strategies for Quality Care of Older Adults. Semin Speech Lang. 2019, 40, 227–242. [Google Scholar] [CrossRef] [Green Version]
- Nomura, Y.; Ishii, Y.; Suzuki, S.; Morita, K.; Suzuki, A.; Suzuki, S.; Tanabe, J.; Ishiwata, Y.; Yamakawa, K.; Chiba, Y.; et al. Nutritional Status and Oral Frailty: A Community Based Study. Nutrients 2020, 12, 2886. [Google Scholar] [CrossRef]
- Wang, T.; Zhao, Y.; Guo, A. Association of swallowing problems with frailty in Chinese hospitalized older patients. Int. J. Nurs. Sci. 2020, 7, 408–412. [Google Scholar] [CrossRef]
- Cichero, J.A.Y. Age-Related Changes to Eating and Swallowing Impact Frailty: Aspiration, Choking Risk, Modified Food Texture and Autonomy of Choice. Geriatrics 2018, 3, 69. [Google Scholar] [CrossRef] [Green Version]
- Sella-Weiss, O. Association between swallowing function, malnutrition and frailty in community dwelling older people. Clin. Nutr. ESPEN 2021, 45, 476–485. [Google Scholar] [CrossRef]
- Castrejón-Pérez, R.C.; Borges-Yáñ, S.A. Association between the Use of Complete Dentures and Frailty in Edentulous Mexican Elders. J. Frailty Aging 2012, 1, 183–188. [Google Scholar] [CrossRef]
- Zhang, Y.; Ge, M.; Zhao, W.; Hou, L.; Xia, X.; Liu, X.; Zuo, Z.; Zhao, Y.; Yue, J.; Dong, B. Association Between Number of Teeth, Denture Use and Frailty: Findings from the West China Health and Aging Trend Study. J. Nutr. Health Aging 2020, 24, 423–428. [Google Scholar] [CrossRef] [PubMed]
- Iwasaki, M.; Watanabe, Y.; Motokawa, K.; Shirobe, M.; Inagaki, H.; Motohashi, Y.; Mikami, Y.; Taniguchi, Y.; Osuka, Y.; Seino, S.; et al. Oral frailty and gait performance in community-dwelling older adults: Findings from the Takashimadaira study. J. Prosthodont. Res. 2021, 65, 467–473. [Google Scholar] [CrossRef]
- Iwasaki, M.; Motokawa, K.; Watanabe, Y.; Shirobe, M.; Inagaki, H.; Edahiro, A.; Ohara, Y.; Hirano, H.; Shinkai, S.; Awata, S. Association between Oral Frailty and Nutritional Status among Community-Dwelling Older Adults: The Takashimadaira Study. J. Nutr. Health Aging 2020, 24, 1003–1010. [Google Scholar] [CrossRef] [PubMed]
- Hiltunen, K.; Saarela, R.K.T.; Kautiainen, H.; Roitto, H.M.; Pitkälä, K.H.; Mäntylä, P. Relationship between Fried’s frailty phenotype and oral frailty in long-term care residents. Age Ageing 2021, 50, 2133–2139. [Google Scholar] [CrossRef] [PubMed]
- Wallace, L.M.K.; Theou, O.; Darvesh, S.; Bennett, D.A.; Buchman, A.S.; Andrew, M.K.; Kirkland, S.A.; Fisk, J.D.; Rockwood, K. Neuropathologic burden and the degree of frailty in relation to global cognition and dementia. Neurology 2020, 95, e3269–e3279. [Google Scholar] [CrossRef] [PubMed]
- Ward, D.D.; Wallace, L.M.K.; Rockwood, K. Frailty and Risk of Dementia in Mild Cognitive Impairment Subtypes. Ann. Neurol. 2021, 89, 1221–1225. [Google Scholar] [CrossRef]
- Rogers, N.T.; Steptoe, A.; Cadar, D. Frailty is an independent predictor of incident dementia: Evidence from the English Longitudinal Study of Ageing. Sci. Rep. 2017, 7, 15746. [Google Scholar] [CrossRef] [Green Version]
- Banovic, S.; Zunic, L.J.; Sinanovic, O. Communication Difficulties as a Result of Dementia. Mater. SocioMed. 2018, 30, 221–224. [Google Scholar] [CrossRef]
- Kuo, Y.W.; Chen, M.Y.; Chang, L.C.; Lee, J.D. Oral Health as a Predictor of Physical Frailty among Rural Community-Dwelling Elderly in an Agricultural County of Taiwan: A Cross-Sectional Study. Int. J. Environ. Res. Public Health 2021, 18, 9805. [Google Scholar] [CrossRef] [PubMed]
- Pilleron, S.; Le Goff, M.; Ajana, S.; Helmer, C.; Pérès, K.; Dartigues, J.F.; Tabue-Teguo, M.; Féart, C. Self-Rated Health and Frailty in Older Adults from the Population-Based Three-City Bordeaux Cohort. Gerontology 2021, 1–8. [Google Scholar] [CrossRef] [PubMed]
- Shiraishi, A.; Wakabayashi, H.; Yoshimura, Y. Oral Management in Rehabilitation Medicine: Oral Frailty, Oral Sarcopenia, and Hospital-Associated Oral Problems. J. Nutr. Health Aging 2020, 24, 1094–1099. [Google Scholar] [CrossRef] [PubMed]
- Dibello, V.; Lozupone, M.; Manfredini, D.; Dibello, A.; Zupo, R.; Sardone, R.; Daniele, A.; Lobbezoo, F.; Panza, F. Oral frailty and neurodegeneration in Alzheimer’s disease. Neural. Regen Res. 2021, 16, 2149–2153. [Google Scholar]
- Watanabe, Y.; Hirano, H.; Arai, H.; Morishita, S.; Ohara, Y.; Edahiro, A.; Murakami, M.; Shimada, H.; Kikutani, T.; Suzuki, T. Relationship Between Frailty and Oral Function in Community-Dwelling Elderly Adults. J. Am. Geriatr. Soc. 2017, 65, 66–76. [Google Scholar] [CrossRef]
- Peball, M.; Mahlknecht, P.; Werkmann, M.; Marini, K.; Murr, F.; Herzmann, H.; Stockner, H.; de Marzi, R.; Heim, B.; jamshidian, A.; et al. Prevalence and Associated Factors of Sarcopenia and Frailty in Parkinson’s Disease: A Cross-Sectional Study. Gerontology 2019, 65, 216–228. [Google Scholar] [CrossRef] [PubMed]
- Cruz-Jentoft, A.J.; Bahat, G.; Bauer, J.; Boirie, Y.; Bruyère, O.; Cederholm, T.; Cooper, C.; Landi, F.; Rolland, Y.; Sayer, A.A.; et al. Sarcopenia: Revised European consensus on definition and diagnosis. Age Ageing 2019, 48, 16–31. [Google Scholar] [CrossRef] [Green Version]
- Smith, N.; Brennan, L.; Gaunt, D.M.; Ben-Shlomo, Y.; & Henderson, E. Frailty in Parkinson’s Disease: A Systematic Review. J. Park. Dis. 2019, 9, 517–524. [Google Scholar] [CrossRef] [PubMed] [Green Version]
- Komatsu, R.; Nagai, K.; Hasegawa, Y.; Okuda, K.; Okinaka, Y.; Wada, Y.; Tsuji, S.; Tamaki, K.; Kusunoki, H.; Kishimoto, H.; et al. Association between Physical Frailty Subdomains and Oral Frailty in Community-Dwelling Older Adults. Int. J. Environ. Res. Public Health 2021, 18, 2931. [Google Scholar] [CrossRef]
- Levine, D.A.; Gross, A.L.; Briceño, E.M.; Tilton, N.; Giordani, B.J.; Sussman, J.B.; Hayward, R.A.; Burke, J.F.; Hingtgen, S.; Elkind, M.S.V.; et al. Sex Differences in Cognitive Decline Among US Adults. JAMA Netw. Open 2021, 4, e210169. [Google Scholar] [CrossRef] [PubMed]


| Variables | Overall (n = 308) | Robust (n = 93) | Pre-Frailty (n = 147) | Frailty (n = 68) | p-Value |
|---|---|---|---|---|---|
| Age, years, mean (SD) | 79.7 (7.2) | 77.6 (7.3) | 80.1 (6.9) | 81.8 (7) | 0.001 b |
| Gender, female, n (%) | 231 (75) | 67 (72) | 112 (76.2) | 52 (76.5) | 0.732 a |
| Number of natural teeth, mean (SD) | 7.8 (9.3) | 10.7 (10) | 7.4 (9.2) | 4.8 (7.5) | <0.001 b |
| Education level, n (%) | |||||
| Elementary school and below | 253 (82.1) | 74 (79.6) | 120 (81.6) | 59 (86.8) | 0.882 a |
| Junior high school and above | 54 (17.5) | 19 (20.4) | 26 (17.7) | 9 (13.2) | |
| Number of chronic diseases, mean (SD) | 1.5 (1.1) | 1.4 (1.1) | 1.5 (1.2) | 1.7 (1.1) | 0.133 b |
| Hypertension (yes), n (%) | 176 (57.1) | 51 (54.8) | 87 (59.2) | 38 (55.9) | 0.780 a |
| Diabetes mellitus (yes), n (%) | 64 (20.8) | 20 (21.5) | 33 (22.4) | 11 (16.2) | 0.562 a |
| Heart disease (yes), n (%) | 41 (13.3) | 10 (10.8) | 18 (12.2) | 13 (19.1) | 0.265 a |
| Parkinson’s disease (yes), n (%) | 16 (5.2) | 2 (2.2) | 6 (4.1) | 8 (11.8) | 0.018 a |
| Self-reported health status (yes), n (%) | |||||
| Good, n (%) | 50 (16.2) | 28 (30.1) | 20 (13.6) | 2 (2.9) | <0.001 a |
| Fair, n (%) | 172 (55.8) | 55 (59.1) | 90 (61.2) | 27 (39.7) | |
| Poor, n (%) | 86 (27.9) | 10 (10.8) | 37 (25.2) | 39 (57.4) | |
| CDR score, mean (SD) | 0.87 (0.53) | 0.75 (0.5) | 0.92 (0.54) | 0.93 (0.52) | 0.035 b |
| CDR, n (%) | |||||
| Questionable dementia | 171 (55.5) | 68 (73.1) | 72 (49) | 31 (45.6) | 0.002 a |
| Mild cognitive impairment | 93 (30.2) | 15 (16.1) | 52 (35.4) | 26 (38.2) | |
| At least moderate cognitive impairment | 44 (14.3) | 10 (10.8) | 23 (15.6) | 11 (16.2) |
| Variables | Overall (n = 308) | Robust (n = 93) | Pre-Frailty (n = 147) | Frailty (n = 68) | p-Value |
|---|---|---|---|---|---|
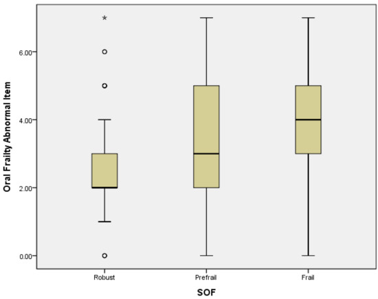
| OF abnormal items, mean (SD) | 3.3 (1.6) | 2.5 (1.4) | 3.4 (1.6) | 4 (1.6) | 0.000 b |
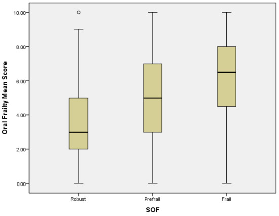
| OF score, mean (SD) | 4.87 (2.51) | 3.61 (2.18) | 5.1 (2.46) | 6.1 (2.32) | 0.000 b |
| Difficulty eating hard food (yes), n (%) | 167 (54.2) | 32 (34.4) | 83 (56.5) | 52 (76.5) | 0.000 a |
| Choking (yes), n (%) | 94 (30.5) | 14 (15.1) | 49 (33.3) | 31 (45.6) | 0.000 a |
| Denture use (yes), n (%) | 238 (77.3) | 58 (62.4) | 122 (83) | 58 (85.3) | 0.000 a |
| Xerostomia (yes), n (%) | 79 (25.6) | 16 (17.2) | 42 (28.6) | 21 (30.9) | 0.078 a |
| Less frequently going out (yes), n (%) | 16 (5.2) | 4 (4.3) | 9 (6.1) | 3 (4.4) | 0.782 a |
| Inability to chew hard food (yes), n (%) | 135 (43.8) | 22 (23.7) | 70 (47.6) | 43 (63.2) | 0.000 a |
| Brushing teeth < 2 times a day (yes), n (%) | 65 (21.1) | 22 (23.7) | 31 (21.1) | 12 (17.6) | 0.653 a |
| Visiting the dentist irregularly (yes), n (%) | 209 (67.9) | 66 (71) | 89 (60.5) | 54 (79.4) | 0.017 a |
| Risk of OF, n (%) | 0.000 a | ||||
| Low risk | 67 (21.8) | 35 (37.6) | 28 (19) | 4 (5.9) | |
| Moderate risk | 55 (17.9) | 22 (23.7) | 21 (14.3) | 12 (17.6) | |
| High risk | 186 (60.4) | 36 (38.7) | 98 (66.7) | 52 (76.5) |
| Crude Model | Adjusted Model | |||||
|---|---|---|---|---|---|---|
| OR | 95%CI | p-Value | OR | 95%CI | p-Value | |
| OF subdomains | ||||||
| Difficulty eating hard food | 3.37 | (2.02–5.63) | 0.000 | 2.17 | (1.21–3.88) | 0.009 |
| Choking | 3.65 | (1.91–6.97) | 0.000 | 2.64 | (1.29–5.43) | 0.008 |
| Denture use | 2.96 | (1.7–5.17) | 0.000 | 2.44 | (1.26–4.71) | 0.008 |
| Inability to chew hard food | 3.80 | (2.18–6.62) | 0.000 | 2.72 | (1.48–5.0) | 0.001 |
| Visiting the dentist irregularly | 3.37 | (2.02–5.63) | 0.442 | 1.51 | (0.81–2.79) | 0.194 |
| Risk of OF | ||||||
| Low risk | (Reference) | (Reference) | ||||
| Moderate risk | 1.64 | (0.8, 3.38) | 0.179 | 1.62 | (0.71–3.73) | 0.254 |
| High risk | 4.56 | (2.5, 8.32) | 0.000 | 3.03 | (1.51–6.1) | 0.002 |
| B | SE | p-Value | OR (95%CI) | ||
|---|---|---|---|---|---|
| Step 1 | Age | 0.057 | 0.023 | 0.015 | 1.06 (1.01–1.11) |
| Number of natural teeth | −0.002 | 0.017 | 0.912 | 1.0 (0.97–1.03) | |
| Number of chronic diseases | 0.135 | 0.140 | 0.335 | 1.14 (0.87–1.51) | |
| Parkinson’s disease | 0.400 | 0.828 | 0.629 | 1.49 (0.29–7.55) | |
| Self-reported health status | |||||
| Good | |||||
| Fair | 1.419 | 0.403 | 0.000 | 4.13 (1.88–9.11) | |
| Poor | 2.587 | 0.525 | 0.000 | 13.29 (4.75–37.22) | |
| CDR | |||||
| Questionable dementia | |||||
| Mild cognitive impairment | 1.758 | 0.872 | 0.044 | 5.8 (1.05–32.03) | |
| At least moderate cognitive impairment | 2.380 | 2.545 | 0.350 | 10.81 (0.07–1584.86) | |
| OF subdomains | |||||
| Difficulty eating hard food (yes) | −0.260 | 0.581 | 0.655 | 0.77 (0.25–2.41) | |
| Choking (yes) | 0.688 | 0.425 | 0.106 | 1.99 (0.86–4.57) | |
| Denture use (yes) | 0.575 | 0.466 | 0.218 | 1.78 (0.71–4.43) | |
| Xerostomia (yes) | 0.298 | 0.423 | 0.481 | 1.35 (0.59–3.08) | |
| Inability to chew hard food (yes) | 0.409 | 0.435 | 0.347 | 1.51 (0.64–3.53) | |
| Visiting the dentist irregularly (yes) | −0.597 | 0.388 | 0.124 | 0.55 (0.26–1.18) | |
| Risk of OF | |||||
| Low risk | |||||
| Moderate risk | 0.306 | 0.554 | 0.581 | 1.36 (0.46–4.02) | |
| High risk | 0.726 | 0.821 | 0.376 | 2.07 (0.41–10.33) | |
| Step 9 | Age | 0.057 | 0.021 | 0.008 | 1.06 (1.02–1.1) |
| Self-reported health status | |||||
| Good | |||||
| Fair | 1.388 | 0.393 | 0.000 | 4.01 (1.86–8.65) | |
| Poor | 2.632 | 0.507 | 0.000 | 13.9 (5.14–37.56) | |
| CDR | |||||
| Questionable dementia | |||||
| Mild cognitive impairment | 1.3250 | 0.372 | 0.000 | 3.76 (1.82–7.8) | |
| At least moderate cognitive impairment | 0.667 | 0.456 | 0.143 | 1.95 (0.8–4.76) | |
| OF subdomains | |||||
| Choking (yes) | 0.703 | 0.399 | 0.078 | 2.02 (0.92–4.42) | |
| Denture use (yes) | 0.858 | 0.335 | 0.011 | 2.36 (1.22–4.55) | |
| Inability to chew hard food (yes) | 0.634 | 0.345 | 0.066 | 1.89 (0.96–3.71) |
Publisher’s Note: MDPI stays neutral with regard to jurisdictional claims in published maps and institutional affiliations. |
© 2022 by the authors. Licensee MDPI, Basel, Switzerland. This article is an open access article distributed under the terms and conditions of the Creative Commons Attribution (CC BY) license (https://creativecommons.org/licenses/by/4.0/).
Share and Cite
Kuo, Y.-W.; Lee, J.-D. Association between Oral Frailty and Physical Frailty among Rural Middle-Old Community-Dwelling People with Cognitive Decline in Taiwan: A Cross-Sectional Study. Int. J. Environ. Res. Public Health 2022, 19, 2884. https://doi.org/10.3390/ijerph19052884
Kuo Y-W, Lee J-D. Association between Oral Frailty and Physical Frailty among Rural Middle-Old Community-Dwelling People with Cognitive Decline in Taiwan: A Cross-Sectional Study. International Journal of Environmental Research and Public Health. 2022; 19(5):2884. https://doi.org/10.3390/ijerph19052884
Chicago/Turabian StyleKuo, Ya-Wen, and Jiann-Der Lee. 2022. "Association between Oral Frailty and Physical Frailty among Rural Middle-Old Community-Dwelling People with Cognitive Decline in Taiwan: A Cross-Sectional Study" International Journal of Environmental Research and Public Health 19, no. 5: 2884. https://doi.org/10.3390/ijerph19052884
APA StyleKuo, Y.-W., & Lee, J.-D. (2022). Association between Oral Frailty and Physical Frailty among Rural Middle-Old Community-Dwelling People with Cognitive Decline in Taiwan: A Cross-Sectional Study. International Journal of Environmental Research and Public Health, 19(5), 2884. https://doi.org/10.3390/ijerph19052884

