Is the Xiaomi Mi Band 4 an Accuracy Tool for Measuring Health-Related Parameters in Adults and Older People? An Original Validation Study
Abstract
:1. Introduction
2. Materials and Methods
2.1. Participants
2.2. Materials
2.3. Procedures
2.3.1. Laboratory Conditions Protocol
2.3.2. Free-Living Condition Protocol
2.4. Statistical Analysis
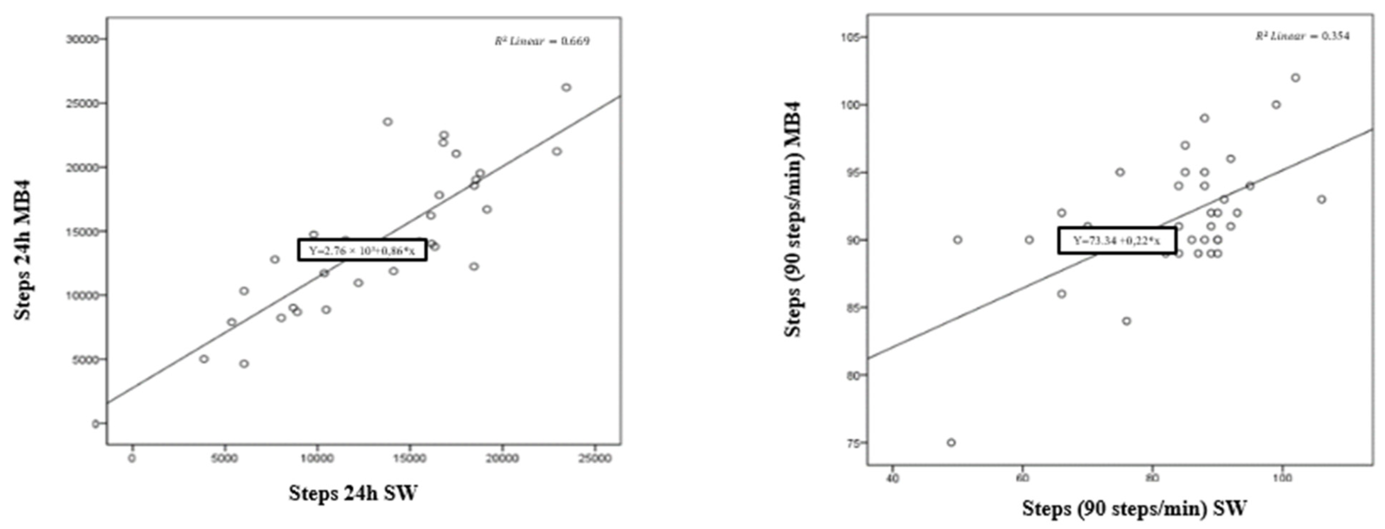
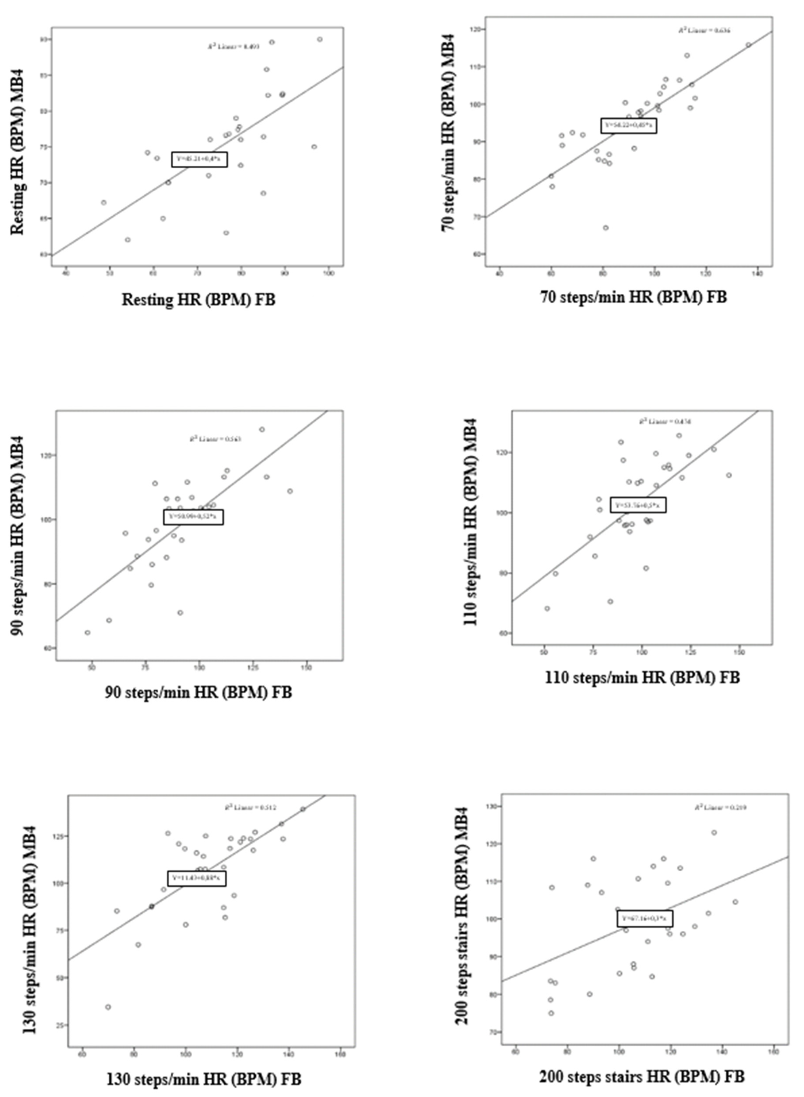
3. Results
4. Discussion
4.1. Limitations and Strength
4.2. Practical Applications
5. Conclusions
Author Contributions
Funding
Institutional Review Board Statement
Informed Consent Statement
Data Availability Statement
Acknowledgments
Conflicts of Interest
Abbreviations
| ECG | Electrocardiogram |
| RRI | R-to-R Interval |
| FB | Firstbeat |
| HR | Heart Rate |
| HRV | Heart Rate Variability |
| ICC | Intraclass Correlation Coefficients |
| MB4 | Mi Band 4 |
| PA | Physical Activity |
| SD | Standard Deviation |
| SC | Step Count |
| SW | Sense Wear |
References
- Lee, I.M.; Shiroma, E.J.; Lobelo, F.; Puska, P.; Blair, S.N.; Katzmarzyk, P.T.; Alkandari, J.R.; Andersen, L.B.; Bauman, A.E.; Brownson, R.C.; et al. Effect of physical inactivity on major non-communicable diseases worldwide: An analysis of burden of disease and life expectancy. Lancet 2012, 380, 219–229. [Google Scholar] [CrossRef] [Green Version]
- Harris, T.; Limb, E.S.; Hosking, F.; Carey, I.; Dewilde, S.; Furness, C.; Wahlich, C.; Ahmad, S.; Kerry, S.; Whincup, P.; et al. Effect of pedometer-based walking interventions on long-term health outcomes: Prospective 4-year follow-up of two randomised controlled trials using routine primary care data. PLoS Med. 2019, 16, e1002836. [Google Scholar] [CrossRef] [PubMed]
- Tudor-Locke, C.; Camhi, S.M.; Leonardi, C.; Johnson, W.D.; Katzmarzyk, P.T.; Earnest, C.P.; Church, T.S. Patterns of adult stepping cadence in the 2005–2006 NHANES. Prev. Med. 2011, 53, 178–181. [Google Scholar] [CrossRef] [PubMed]
- Kraus, W.E.; Janz, K.F.; Powell, K.E.; Campbell, W.W.; Jakicic, J.M.; Troiano, R.P.; Sprow, K.; Torres, A.; Piercy, K.L. Daily Step Counts for Measuring Physical Activity Exposure and Its Relation to Health. Med. Sci. Sports Exerc. 2019, 51, 1206–1212. [Google Scholar] [CrossRef]
- McMahon, S.K.; Lewis, B.; Oakes, M.; Guan, W.; Wyman, J.F.; Rothman, A.J. Older adults’ experiences using a commercially available monitor to self-track their physical activity. JMIR mHealth uHealth 2016, 4, e5120. [Google Scholar] [CrossRef]
- Mercer, K.; Giangregorio, L.; Schneider, E.; Chilana, P.; Li, M.; Grindrod, K. Acceptance of commercially available wearable activity trackers among adults aged over 50 and with chronic illness: A mixed-methods evaluation. JMIR mHealth uHealth 2016, 4, e4225. [Google Scholar] [CrossRef]
- Saint-Maurice, P.F.; Troiano, R.P.; Bassett, D.R.; Graubard, B.I.; Carlson, S.A.; Shiroma, E.J.; Fulton, J.E.; Matthews, C.E. Association of Daily Step Count and Step Intensity with Mortality among US Adults. JAMA 2020, 323, 1151–1160. [Google Scholar] [CrossRef] [PubMed]
- Jayedi, A.; Gohari, A.; Shab-Bidar, S. Daily Step Count and All-Cause Mortality: A Dose–Response Meta-analysis of Prospective Cohort Studies. Sport. Med. 2022, 52, 89–99. [Google Scholar] [CrossRef]
- Bunn, J.A.; Navalta, J.W.; Fountaine, C.J.; Reece, J.D. Current State of Commercial Wearable Technology in Physical Activity Monitoring 2015–2017. Int. J. Exerc. Sci. 2017, 11, 503–515. [Google Scholar]
- Dontje, M.L.; de Groot, M.; Lengton, R.R.; van der Schans, C.P.; Krijnen, W.P. Measuring steps with the Fitbit activity tracker: An inter-device reliability study. J. Med. Eng. Technol. 2015, 39, 286–290. [Google Scholar] [CrossRef]
- Statista. Statista Facts and Statistics on Wearable Technology. 2021. Available online: https://www.statista.com/topics/1556/wearable-technology/ (accessed on 22 November 2021).
- Koo, H.S.; Fallon, K. Preferences in tracking dimensions for wearable technology. Int. J. Cloth. Sci. Technol. 2017, 29, 180–199. [Google Scholar] [CrossRef]
- Henriksen, A.; Mikalsen, M.H.; Woldaregay, A.Z.; Muzny, M.; Hartvigsen, G.; Hopstock, L.A.; Grimsgaard, S. Using fitness trackers and smartwatches to measure physical activity in research: Analysis of consumer wrist-worn wearables. J. Med. Internet Res. 2018, 20, e9157. [Google Scholar] [CrossRef] [PubMed]
- Chaudhry, B.; Wang, J.; Wu, S.; Maglione, M.; Mojica, W.; Roth, E.; Morton, S.C.; Shekelle, P.G. Systematic review: Impact of health information technology on quality, efficiency, and costs of medical care. Ann. Intern. Med. 2006, 144, 742–752. [Google Scholar] [CrossRef] [PubMed] [Green Version]
- Nuss, K.; Moore, K.; Nelson, T.; Li, K. Effects of Motivational Interviewing and Wearable Fitness Trackers on Motivation and Physical Activity: A Systematic Review. Am. J. Health Promot. 2021, 35, 226–235. [Google Scholar] [CrossRef] [PubMed]
- El-Amrawy, F.; Nounou, M.I. Are currently available wearable devices for activity tracking and heart rate monitoring accurate, precise, and medically beneficial? Healthc. Inform. Res. 2015, 21, 315–320. [Google Scholar] [CrossRef]
- Scalise, L.; Cosoli, G. Wearables for health and fitness: Measurement characteristics and accuracy. In Proceedings of the 2018 IEEE International Instrumentation and Measurement Technology Conference (I2MTC), Houston, TX, USA, 14–17 May 2018; pp. 1–6. [Google Scholar]
- Ricchio, K.; Lyter-Antonneau, P.; Palao, J.M. Reliability of fitness trackers at different prices for measuring steps and heart rate: A pilot study. Cent. Eur. J. Sport Sci. Med. 2018, 24, 57–64. [Google Scholar] [CrossRef]
- Tam, M.K.; Cheung, S.Y. Validation of consumer wearable activity tracker as step measurement in free-living conditions. Finn. J. Ehealth Ewelf. 2019, 11, 68–75. [Google Scholar] [CrossRef] [Green Version]
- Brazendale, K.; Decker, L.; Hunt, E.T.; Perry, M.W.; Brazendale, A.B.; Weaver, R.G.; Beets, M.W. Validity and wearability of Coonsumer-based Fitness Trackers in Free-living children. Int. J. Exerc. Sci. 2019, 12, 471–482. [Google Scholar]
- Degroote, L.; Hamerlinck, G.; Poels, K.; Maher, C.; Crombez, G.; Bourdeaudhuij, I.D.; Vandendriessche, A.; Curtis, R.G.; DeSmet, A. Low-Cost consumer-based trackers to measure physical activity and sleep duration among adults in free-living conditions: Validation study. JMIR mHealth uHealth 2020, 8, e16674. [Google Scholar] [CrossRef]
- Laeremans, M.; Dons, E.; Avila-Palencia, I.; Carrasco-Turigas, G.; Orjuela, J.P.; Anaya, E.; Brand, C.; Cole-Hunter, T.; de Nazelle, A.; Götschi, T. Physical activity and sedentary behaviour in daily life: A comparative analysis of the Global Physical Activity Questionnaire (GPAQ) and the SenseWear armband. PLoS ONE 2017, 12, e0177765. [Google Scholar] [CrossRef] [Green Version]
- Scheers, T.; Philippaerts, R.; Lefevre, J. Variability in physical activity patterns as measured by the SenseWear Armband: How many days are needed? Eur. J. Appl. Physiol. 2012, 112, 1653–1662. [Google Scholar] [CrossRef] [PubMed]
- Parak, J.; Korhonen, I. Accuracy of Firstbeat Bodyguard 2 Beat-To-Beat Heart Rate Monitor; White Pap Firstbeat Technol Ltd.: Tampere, Finland, 2013. [Google Scholar]
- Tarvainen, M.P.; Niskanen, J.P.; Lipponen, J.A.; Ranta-aho, P.O.; Karjalainen, P.A. Kubios HRV—Heart rate variability analysis software. Comput. Methods Progr. Biomed. 2014, 113, 210–220. [Google Scholar] [CrossRef] [PubMed]
- Lakens, D. Calculating and reporting effect sizes to facilitate cumulative science: A practical primer for t-tests and ANOVAs. Front. Psychol. 2013, 4, 1–12. [Google Scholar] [CrossRef] [PubMed] [Green Version]
- Paradiso, C.; Colino, F.; Liu, S. The validity and reliability of the mi band wearable device for measuring steps and heart rate. Int. J. Exerc. Sci. 2020, 13, 689–701. [Google Scholar] [PubMed]
- Pino-Ortega, J.; Gómez-Carmona, C.D.; Rico-González, M. Accuracy of Xiaomi Mi Band 2.0, 3.0 and 4.0 to measure step count and distance for physical activity and healthcare in adults over 65 years. Gait Posture 2021, 87, 6–10. [Google Scholar] [CrossRef] [PubMed]
- Topalidis, P.; Florea, C.; Eigl, E.S.; Kurapov, A.; Leon, C.A.B.; Schabus, M. Evaluation of a low-cost commercial actigraph and its potential use in detecting cultural variations in physical activity and sleep. Sensors 2021, 21, 3774. [Google Scholar] [CrossRef] [PubMed]
- Bent, B.; Goldstein, B.A.; Kibbe, W.A.; Dunn, J.P. Investigating sources of inaccuracy in wearable optical heart rate sensors. NPJ Digit. Med. 2020, 3, 1–9. [Google Scholar] [CrossRef] [PubMed] [Green Version]
- Chow, H.W.; Yang, C.C. Accuracy of optical heart rate sensing technology in wearable fitness trackers for young and older adults: Validation and comparison study. JMIR mHealth uHealth 2020, 8, e14707. [Google Scholar] [CrossRef] [PubMed]
- Jo, E.; Lewis, K.; Directo, D.; Kim, M.J.Y.; Dolezal, B.A. Validation of biofeedback wearables for photoplethysmographic heart rate tracking. J. Sport. Sci. Med. 2016, 15, 540–547. [Google Scholar]







| Difference Recording Tasks | SW Mean (SD) | MB4 Mean (SD) | p-Value | Cohen’s -d | Pearson Correlation Coefficient | ICC | p-Value |
|---|---|---|---|---|---|---|---|
| Number of steps | 13,536.11 (5020.98) | 14,460.38 (5309.96) | 0.095 | 0.178 | 0.818 *** | 0.899 (0.798–0.950) | <0.001 |
| 70 steps per minute | 61.62 (10.04) | 69.41 (12.33) | 0.007 | 0.692 | 0.340 | 0.500 (−0.157–0.784) | 0.052 |
| 90 steps per minute | 83.88 (12.67) | 91.63 (4.64) | <0.001 | 0.812 | 0.595 *** | 0.556 (0.128–0.773) | 0.009 |
| 110 steps per minute | 107.84 (5.19) | 109.90 (2.45) | 0.022 | 0.507 | 0.349 * | 0.425 (−0.165–0.716) | 0.061 |
| 130 steps per minute | 121.73 (8.25) | 119.81 (7.59) | 0.454 | 0.242 | −0.057 | −0.121 (−1.762–0.545) | 0.599 |
| 200 steps in stairs | 194.73 (28.25) | 204.63 (24.19) | 0.081 | 0.376 | 0.356 * | 0.521 (−0.007–0.772) | 0.026 |
| Step Reference | SW Mean Difference/p-Value | MB4 Mean Difference/p-Value |
|---|---|---|
| 200 steps in stairs | −6.78/0.196 | 4.63/0.303 |
| 70 steps per minute | −8.37/<0.001 | −0.58/0.819 |
| 90 steps per minute | −6.11/0.007 | 1.63/0.042 |
| 110 steps per minute | −2.15/0.024 | −0.11/0.779 |
| 130 steps per minute | −8.26/<0.001 | −10.18/<0.001 |
| Heart Rate at Different Intensities | FB Mean (SD) | MB4 Mean (SD) | p-Value | Cohen’s -d | Pearson Correlation Coefficient | CCI (Confidence Interval) | p-Value |
|---|---|---|---|---|---|---|---|
| HR (Bpm) at rest | 75.68 (12.31) | 75.18 (6.94) | 0.768 | 0.050 | 0.702 *** | 0.751 (0.469–0.883) | <0.001 |
| HR (Bpm) at 200 stairs | 105.48 (20.30) | 98.62 (12.94) | 0.053 | 0.402 | 0.468 ** | 0.596 (0.139–0.810) | 0.010 |
| HR (Bpm) at 70 steps/min | 90.68 (18.31) | 94.87 (10.29) | 0.054 | 0.282 | 0.797 *** | 0.810 (0.612–0.907) | <0.001 |
| HR (Bpm) at 90 steps/min | 91.62 (20.05) | 98.58 (13.38) | 0.005 | 0.408 | 0.750 *** | 0.825 (0.646–0.914) | <0.001 |
| HR (Bpm) at 110 steps/min | 97.56 (19.75) | 102.73 (14.40) | 0.043 | 0.299 | 0.688 *** | 0.792 (0.583–0.896) | <0.001 |
| HR (Bpm) at 130 steps/min | 108.30 (18.23) | 106.42 (22.35) | 0.513 | 0.092 | 0.715 *** | 0.824 (0.635–0.915) | <0.001 |
Publisher’s Note: MDPI stays neutral with regard to jurisdictional claims in published maps and institutional affiliations. |
© 2022 by the authors. Licensee MDPI, Basel, Switzerland. This article is an open access article distributed under the terms and conditions of the Creative Commons Attribution (CC BY) license (https://creativecommons.org/licenses/by/4.0/).
Share and Cite
de la Casa Pérez, A.; Latorre Román, P.Á.; Muñoz Jiménez, M.; Lucena Zurita, M.; Laredo Aguilera, J.A.; Párraga Montilla, J.A.; Cabrera Linares, J.C. Is the Xiaomi Mi Band 4 an Accuracy Tool for Measuring Health-Related Parameters in Adults and Older People? An Original Validation Study. Int. J. Environ. Res. Public Health 2022, 19, 1593. https://doi.org/10.3390/ijerph19031593
de la Casa Pérez A, Latorre Román PÁ, Muñoz Jiménez M, Lucena Zurita M, Laredo Aguilera JA, Párraga Montilla JA, Cabrera Linares JC. Is the Xiaomi Mi Band 4 an Accuracy Tool for Measuring Health-Related Parameters in Adults and Older People? An Original Validation Study. International Journal of Environmental Research and Public Health. 2022; 19(3):1593. https://doi.org/10.3390/ijerph19031593
Chicago/Turabian Stylede la Casa Pérez, Ana, Pedro Ángel Latorre Román, Marcos Muñoz Jiménez, Manuel Lucena Zurita, José Alberto Laredo Aguilera, Juan Antonio Párraga Montilla, and José Carlos Cabrera Linares. 2022. "Is the Xiaomi Mi Band 4 an Accuracy Tool for Measuring Health-Related Parameters in Adults and Older People? An Original Validation Study" International Journal of Environmental Research and Public Health 19, no. 3: 1593. https://doi.org/10.3390/ijerph19031593
APA Stylede la Casa Pérez, A., Latorre Román, P. Á., Muñoz Jiménez, M., Lucena Zurita, M., Laredo Aguilera, J. A., Párraga Montilla, J. A., & Cabrera Linares, J. C. (2022). Is the Xiaomi Mi Band 4 an Accuracy Tool for Measuring Health-Related Parameters in Adults and Older People? An Original Validation Study. International Journal of Environmental Research and Public Health, 19(3), 1593. https://doi.org/10.3390/ijerph19031593

