Developing and Validating Risk Scores for Predicting Major Cardiovascular Events Using Population Surveys Linked with Electronic Health Insurance Records
Abstract
1. Introduction
2. Materials and Methods
2.1. Data
2.2. Events
2.3. Statistical Methods
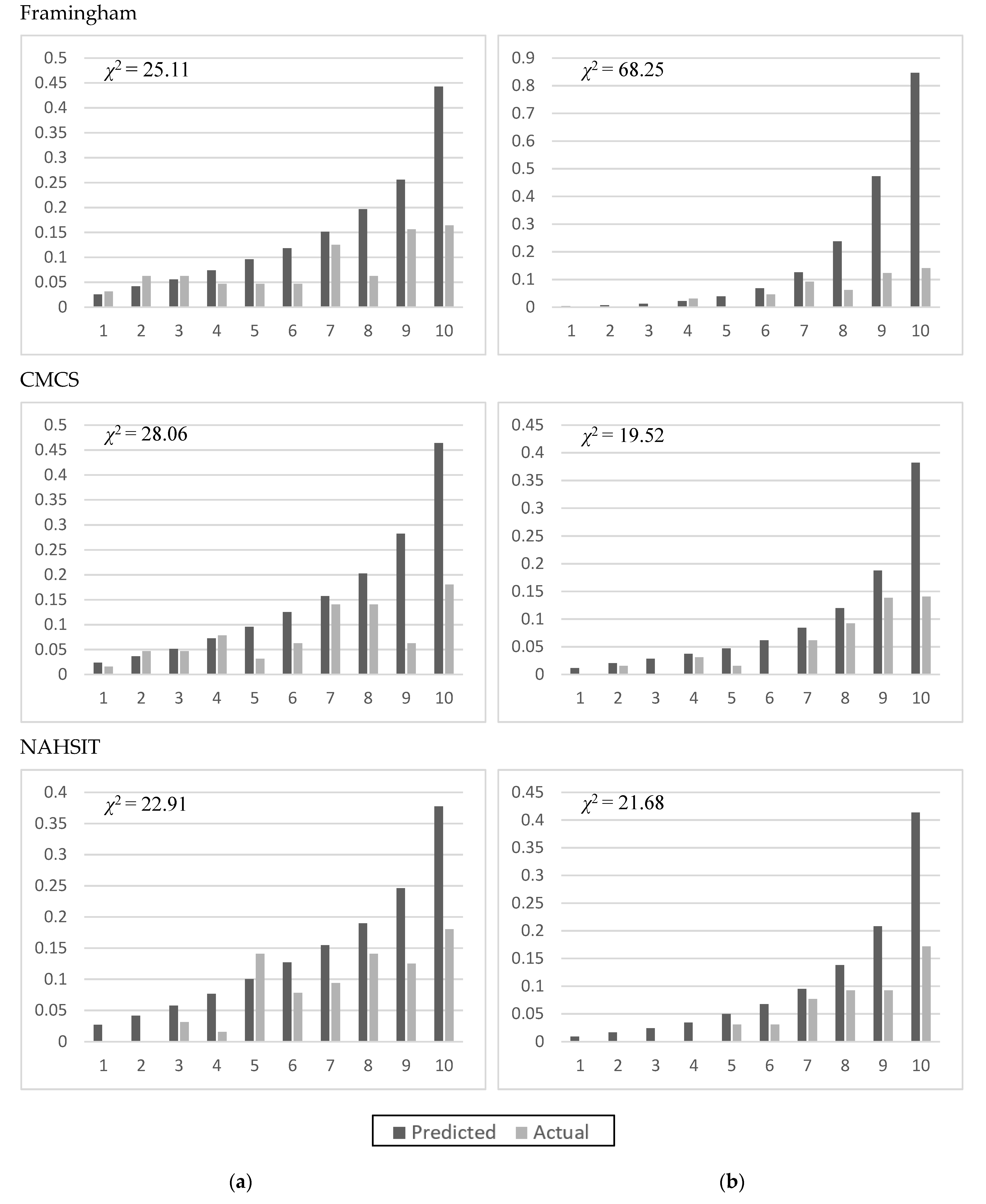
3. Results
4. Discussion
5. Conclusions
Author Contributions
Funding
Institutional Review Board Statement
Informed Consent Statement
Data Availability Statement
Acknowledgments
Conflicts of Interest
References
- Chiu, H.-W.; Li, Y.-C. Toward precise and preventive healthcare with computational tools. Comput. Methods Programs Biomed. 2018, 153, A1. [Google Scholar] [CrossRef]
- D’Agostino, R.B.; Grundy, S.; Sullivan, L.M.; Wilson, P.; Group, C.H.D.R.P. Validation of the Framingham coronary heart disease prediction scores: Results of a multiple ethnic groups investigation. JAMA 2001, 286, 180–187. [Google Scholar] [CrossRef] [PubMed]
- Eichler, K.; Puhan, M.A.; Steurer, J.; Bachmann, L.M. Prediction of first coronary events with the Framingham score: A systematic review. Am. Heart J. 2007, 153, 722–731.e8. [Google Scholar] [CrossRef] [PubMed]
- Brindle, P.; Jonathan, E.; Lampe, F.; Walker, M.; Whincup, P.; Fahey, T.; Ebrahim, S. Predictive accuracy of the Framingham coronary risk score in British men: Prospective cohort study. BMJ 2003, 327, 1267. [Google Scholar] [CrossRef] [PubMed]
- Marques-Vidal, P.; Rodondi, N.; Bochud, M.; Chiolero, A.; Pecoud, A.; Hayoz, D.; Paccaud, F.; Mooser, V.; Firmann, M.; Waeber, G.; et al. Predictive accuracy of original and recalibrated Framingham risk score in the Swiss population. Int. J. Cardiol. 2009, 133, 346–353. [Google Scholar] [CrossRef][Green Version]
- Merry, A.H.H.; Boer, J.M.A.; Schouten, L.; Ambergen, T.; Steyerberg, E.; Feskens, E.; Verschuren, W.M.M.; Gorgels, A.P.M.; Brandt, P.V.D. Risk prediction of incident coronary heart disease in the Netherlands: Re-estimation and improvement of the SCORE risk function. Eur. J. Prev. Cardiol. 2011, 19, 840–848. [Google Scholar] [CrossRef]
- Hense, H.-W.; Schulte, H.; Löwel, H.; Assmann, G.; Keil, U. Framingham risk function overestimates risk of coronary heart disease in men and women from Germany—results from the MONICA Augsburg and the PROCAM cohorts. Eur. Hear. J. 2003, 24, 937–945. [Google Scholar] [CrossRef]
- Asia Pacific Cohort Studies Collaboration Cardiovascular risk prediction tools for populations in Asia. J. Epidemiol. Community Health 2007, 61, 115–121. [CrossRef]
- Chow, C.K.; Joshi, R.; Celermajer, D.S.; Patel, A.; Neal, B. Recalibration of a Framingham risk equation for a rural population in India. J. Epidemiol. Community Health 2009, 63, 379–385. [Google Scholar] [CrossRef]
- Jee, S.H.; Jang, Y.; Oh, D.J.; Oh, B.-H.; Lee, S.H.; Park, S.-W.; Seung, K.-B.; Mok, Y.; Jung, K.J.; Kimm, H.; et al. A coronary heart disease prediction model: The Korean Heart Study. BMJ Open 2014, 4, e005025. [Google Scholar] [CrossRef]
- Liu, J.; Hong, Y.; D’Agostino, S.R.B.; Wu, Z.; Wang, W.; Sun, J.; Wilson, P.W.F.; Kannel, W.B.; Zhao, D. Predictive Value for the Chinese Population of the Framingham CHD Risk Assessment Tool Compared with the Chinese Multi-provincial Cohort Study. JAMA 2004, 291, 2591–2599. [Google Scholar] [CrossRef] [PubMed]
- Nishimura, K.; Okamura, T.; Watanabe, M.; Nakai, M.; Takegami, M.; Higashiyama, A.; Kokubo, Y.; Okayama, A.; Miyamoto, Y. Predicting Coronary Heart Disease Using Risk Factor Categories for a Japanese Urban Population, and Comparison with the Framingham Risk Score: The Suita Study. J. Atheroscler. Thromb. 2014, 21, 784–798. [Google Scholar] [CrossRef] [PubMed]
- Goff, D.C., Jr.; Lloyd-Jones, D.M.; Bennett, G.; Coady, S.; D’Agostino, R.B.; Gibbons, R.; Greenland, P.; Lackland, D.T.; Levy, D.; O’Donnell, C.J.; et al. 2013 ACC/AHA Guideline on the Assessment of Cardiovascular Risk: A report of the American College of Cardiology/American Heart Association Task Force on Practice Guidelines. Circulation 2014, 129 (Suppl. S2), S49–S73. [Google Scholar] [CrossRef] [PubMed]
- Li, R.; Bensen, J.T.; Hutchinson, R.G.; Province, M.A.; Hertz-Picciotto, I.; Sprafka, J.M.; Tyroler, H.A. Family risk score of coronary heart disease (CHD) as a predictor of CHD: The atherosclerosis risk in communities (ARIC) study and The NHLBI Family Heart Study. Genet. Epidemiol. 2000, 18, 236–250. [Google Scholar] [CrossRef]
- Fried, L.P.; Borhani, N.O.; Enright, P.; Furberg, C.D.; Gardin, J.M.; Kronmal, R.A.; Kuller, L.H.; Manolio, T.A.; Mittelmark, M.B.; Newman, A.B.; et al. The cardiovascular health study: Design and rationale. Ann. Epidemiology 1991, 1, 263–276. [Google Scholar] [CrossRef]
- Friedman, G.D.; Cutter, G.R.; Donahue, R.P.; Hughes, G.H.; Hulley, S.B.; Jacobs, D.R.; Liu, K.; Savage, P.J. Cardia: Study design, recruitment, and some characteristics of the examined subjects. J. Clin. Epidemiol. 1988, 41, 1105–1116. [Google Scholar] [CrossRef]
- Higgins, M.W. The Framingham Heart Study: Review of epidemiological design and data, limitations and prospects. Prog. Clin. Boil. Res. 1984, 147, 51–64. [Google Scholar]
- Feinleib, M.; Kannel, W.B.; Garrison, R.J.; McNamara, P.M.; Castelli, W.P. The Framingham Offspring Study. Design and preliminary data. Prev. Med. 1975, 4, 518–525. [Google Scholar] [CrossRef]
- Stone, N.; Robinson, J.G.; Lichtenstein, A.H.; Merz, C.N.B.; Blum, C.B.; Eckel, R.H.; Goldberg, A.C.; Gordon, D.; Levy, D.; Lloyd-Jones, D.; et al. 2013 ACC/AHA Guideline on the Treatment of Blood Cholesterol to Reduce Atherosclerotic Cardiovascular Risk in Adults. J. Am. Coll. Cardiol. 2014, 63, 2889–2934. [Google Scholar] [CrossRef]
- Grundy, S.M.; Arai, H.; Barter, P.; Bersot, T.P.; Betteridge, D.J.; Carmena, R.; Cuevas, A.; Davidson, M.H.; Genest, J.; Kesäniemi, Y.A.; et al. An International Atherosclerosis Society Position Paper: Global recommendations for the management of dyslipidemia-Full report. J. Clin. Lipidol. 2014, 8, 29–60. [Google Scholar] [CrossRef]
- Chang, H.-Y.; Fang, H.-L.; Huang, C.-Y.; Hung, L.-S.; Chien, K.-L.; Pan, W.-H. Estimating the Calibrating Coefficient of the Framingham Score to Predict Risk of Coronary Heart Disease in the Taiwanese Population. Int. J. Gerontol. 2018. [Google Scholar] [CrossRef]
- Chang, H.Y.; Pan, W.H.; Yeh, W.T.; Tsai, K.S. Hyperuricemia and gout in Taiwan: Results from the Nutritional and Health Survey in Taiwan (1993–96). J. Rheumatol. 2001, 28, 1640–1646. [Google Scholar] [PubMed]
- Hsing, A.W.; Ioannidis, J.P.A. Nationwide Population Science. JAMA Intern. Med. 2015, 175, 1527–1529. [Google Scholar] [CrossRef] [PubMed]
- Su, T.-C.; Bai, C.-H.; Chang, H.-Y.; You, S.-L.; Chien, K.-L.; Chen, M.-F.; Chen, H.-J.; Pan, W.-H.; Tseng, C.-H.; Cheng, S.-H.; et al. Evidence for improved control of hypertension in Taiwan: 1993–2002. J. Hypertens. 2008, 26, 600–606. [Google Scholar] [CrossRef]
- Harrell, F.E., Jr.; Lee, K.L.; Mark, D.B. Multivariable prognostic models: Issues in developing models, evaluating assumptions and adequacy, and measuring and reducing errors. Stat. Med. 1996, 15, 361–387. [Google Scholar] [CrossRef]
- Cook, N.R. Statistical Evaluation of Prognostic versus Diagnostic Models: Beyond the ROC Curve. Clin. Chem. 2008, 54, 17–23. [Google Scholar] [CrossRef]
- Manuel, D.G.; Tuna, M.; Bennett, C.; Hennessy, D.; Rosella, L.; Sanmartin, C.; Tu, J.V.; Perez, R.; Fisher, S.; Taljaard, M. Development and validation of a cardiovascular disease risk-prediction model using population health surveys: The Cardiovascular Disease Population Risk Tool (CVDPoRT). Can. Med Assoc. J. 2018, 190, E871–E882. [Google Scholar] [CrossRef]
- Chien, K.-L.; Hsu, H.-C.; Su, T.-C.; Chang, W.-T.; Chen, P.-C.; Sung, F.-C.; Lin, H.-J.; Chen, M.-F.; Lee, Y.-T. Constructing a point-based prediction model for the risk of coronary artery disease in a Chinese community: A report from a cohort study in Taiwan. Int. J. Cardiol. 2012, 157, 263–268. [Google Scholar] [CrossRef]
- Murray, C.J.; Lopez, A.D. World Health Organization. The Global Burden of Disease: A Comprehensive Assessment of Mortality and Disability from Diseases, Injuries, and Risk Factors in 1990 and Projected to 2020; Harvard School of Public Health: Boston, MA, USA, 1996. [Google Scholar]
- Wolf, P.A.; D’Agostino, R.B.; Belanger, A.J.; Kannel, W.B. Probability of stroke: A risk profile from the Framingham Study. Stroke 1991, 22, 312–318. [Google Scholar] [CrossRef]
- Chien, K.-L.; Su, T.-C.; Hsu, H.-C.; Chang, W.-T.; Chen, P.-C.; Sung, F.-C.; Chen, M.-F.; Lee, Y.-T. Constructing the Prediction Model for the Risk of Stroke in a Chinese Population. Stroke 2010, 41, 1858–1864. [Google Scholar] [CrossRef]
- Yu, Q.; Wu, Y.; Jin, Q.; Chen, Y.; Lin, Q.; Liu, X. Development and internal validation of a multivariable prediction model for 6-year risk of stroke: A cohort study in middle-aged and elderly Chinese population. BMJ Open 2021, 11, e048734. [Google Scholar] [CrossRef] [PubMed]
- WHO CVD Risk Chart Working Group. World Health Organization cardiovascular disease risk charts: Revised models to estimate risk in 21 global regions. Lancet Glob. Health 2019, 7, e1332–e1345. [Google Scholar] [CrossRef]


| Men | MACE | CHD | Stroke | ||||||||||||
|---|---|---|---|---|---|---|---|---|---|---|---|---|---|---|---|
| No (N † = 1139) | Yes (N = 193) | No (N = 1230) | Yes (N = 102) | No (N = 1407) | Yes (N = 158) | ||||||||||
| Variable | Mean | S.D. | Mean | S.D. | p-Value | Mean | S.D. | Mean | S.D. | p-Value | Mean | S.D. | Mean | S.D. | p-Value |
| Age (years) | 51.06 | 9.93 | 57.82 | 8.58 | * | 51.59 | 9.99 | 57.42 | 8.95 | * | 52.41 | 10.11 | 58.65 | 7.88 | * |
| SBP (mmHg) | 126.59 | 17.02 | 139.50 | 23.22 | * | 127.79 | 18.12 | 136.48 | 22.30 | * | 128.90 | 18.42 | 142.34 | 21.76 | * |
| DBP (mmHg) | 82.15 | 12.08 | 85.89 | 14.34 | * | 82.62 | 12.52 | 83.61 | 12.19 | 0.44 | 82.86 | 12.20 | 88.04 | 15.05 | * |
| Cholesterol (mg/dL) | 196.69 | 37.12 | 194.86 | 39.07 | 0.63 | 196.32 | 37.19 | 197.61 | 40.04 | 0.79 | 197.42 | 37.80 | 193.85 | 37.72 | 0.37 |
| Glucose (mg/dL) | 96.42 | 18.15 | 97.60 | 21.09 | 0.59 | 96.44 | 18.13 | 98.29 | 23.37 | 0.56 | 99.87 | 26.33 | 107.68 | 37.77 | 0.06 |
| Triglycerides (mg/dL) | 124.71 | 79.88 | 133.84 | 80.79 | 0.28 | 125.06 | 79.84 | 137.02 | 81.91 | 0.27 | 128.56 | 80.56 | 139.91 | 87.00 | 0.21 |
| HDL | 54.05 | 17.91 | 53.32 | 28.81 | 0.79 | 54.13 | 19.99 | 51.71 | 18.94 | 0.36 | 52.97 | 17.82 | 53.23 | 29.69 | 0.93 |
| LDL | 117.17 | 36.54 | 116.31 | 35.67 | 0.82 | 116.99 | 36.39 | 117.64 | 36.64 | 0.89 | 118.28 | 36.77 | 113.91 | 36.75 | 0.27 |
| Uric acid (mg/dL) | 6.67 | 1.67 | 6.86 | 1.92 | 0.31 | 6.69 | 1.70 | 6.76 | 1.83 | 0.78 | 6.78 | 1.75 | 7.04 | 1.91 | 0.16 |
| CHOL/HDL | 3.98 | 1.35 | 4.22 | 1.68 | 0.16 | 3.99 | 1.35 | 4.34 | 1.96 | 0.17 | 4.10 | 1.48 | 4.17 | 1.43 | 0.66 |
| BMI (kg/m2) | 23.59 | 3.21 | 23.91 | 3.16 | 0.31 | 23.59 | 3.23 | 24.10 | 2.97 | 0.23 | 23.90 | 3.32 | 24.61 | 3.45 | * |
| Waist-hip ratio | 0.87 | 0.06 | 0.89 | 0.06 | * | 0.87 | 0.06 | 0.88 | 0.06 | 0.10 | 0.88 | 0.06 | 0.90 | 0.06 | * |
| Waist (cm) | 81.64 | 8.55 | 83.74 | 9.09 | * | 81.75 | 8.56 | 84.23 | 9.44 | * | 82.67 | 9.12 | 84.98 | 8.96 | * |
| Smoker (%) | 71 | 78 | 0.07 | 72 | 75 | 0.58 | 71 | 76 | 0.43 | 0.27 | |||||
| Diabetes (%) | 3 | 6 | 0.18 | 4 | 5 | 0.55 | 7 | 17 | 0.38 | * | |||||
| Hypertension (%) | 33 | 56 | * | 35 | 54 | * | 40 | 65 | 0.48 | * | |||||
| Women | No (N =1116) | Yes (N = 106) | No (N = 1159) | Yes (N = 64) | No (N = 1473) | Yes (N = 121) | |||||||||
| Age (years) | 50.01 | 9.76 | 57.69 | 8.25 | * | 50.25 | 9.81 | 58.63 | 7.27 | * | 51.58 | 9.90 | 58.40 | 9.17 | * |
| SBP (mmHg) | 123.57 | 18.77 | 134.17 | 25.48 | * | 124.11 | 19.25 | 131.70 | 25.16 | * | 126.65 | 20.53 | 142.47 | 23.40 | * |
| DBP (mmHg) | 78.87 | 11.40 | 83.06 | 15.56 | * | 79.10 | 11.62 | 81.70 | 15.65 | 0.19 | 80.00 | 11.99 | 85.96 | 15.32 | * |
| Cholesterol (mg/dL) | 197.93 | 38.54 | 215.76 | 43.60 | * | 198.40 | 38.49 | 219.16 | 48.14 | * | 200.39 | 39.34 | 215.29 | 46.08 | * |
| Glucose (mg/dL) | 98.17 | 20.61 | 103.54 | 39.58 | 0.29 | 98.12 | 21.05 | 107.96 | 43.94 | 0.17 | 102.34 | 29.37 | 123.45 | 59.55 | * |
| Triglycerides (mg/dL) | 106.11 | 61.74 | 142.25 | 87.68 | * | 106.92 | 62.86 | 150.50 | 88.19 | * | 117.39 | 72.54 | 156.35 | 99.57 | * |
| HDL | 61.01 | 19.16 | 53.31 | 16.25 | * | 60.90 | 19.06 | 50.14 | 15.52 | * | 59.32 | 19.00 | 54.06 | 17.39 | * |
| LDL | 115.71 | 36.54 | 132.89 | 40.73 | * | 116.09 | 36.43 | 137.43 | 44.96 | * | 117.67 | 37.25 | 128.17 | 37.37 | * |
| Uric acid (mg/dL) | 5.31 | 1.45 | 5.67 | 1.57 | * | 5.32 | 1.47 | 5.75 | 1.40 | 0.06 | 5.54 | 1.62 | 5.98 | 1.88 | * |
| Cholesterol/HDL | 3.52 | 1.18 | 4.38 | 1.53 | * | 3.53 | 1.18 | 4.73 | 1.69 | * | 3.69 | 1.30 | 4.41 | 1.97 | * |
| BMI (kg/m2) | 24.25 | 3.69 | 25.78 | 4.07 | * | 24.29 | 3.73 | 25.94 | 3.75 | * | 24.71 | 3.76 | 25.83 | 4.33 | * |
| Waist-hip ratio | 0.80 | 0.07 | 0.84 | 0.07 | * | 0.80 | 0.07 | 0.85 | 0.07 | * | 0.80 | 0.07 | 0.85 | 0.07 | * |
| Waist (cm) | 76.00 | 8.88 | 81.43 | 9.85 | * | 76.13 | 8.97 | 82.85 | 8.99 | * | 77.39 | 9.32 | 81.94 | 9.42 | * |
| Smoker (%) | 6 | 9 | 0.34 | 6 | 6 | 0.86 | 6 | 17 | * | ||||||
| Diabetes (%) | 3 | 7 | 0.16 | 3 | 5 | 0.63 | 8 | 27 | * | ||||||
| Hypertension (%) | 27 | 44 | * | 28 | 39 | 0.06 | 36 | 64 | * | ||||||
| Disease | |||
|---|---|---|---|
| Men | MACE | CHD | Stroke |
| Incidence | 13.77/1000 | 7.14/1000 | 9.53/1000 |
| Variable | Coefficient | Coefficient | Coefficient |
| Age (years) | 7.2782 | 8.3007 | 8.9606 |
| SBP (mmHg) | 0.0257 | - | 0.0231 |
| Glucose (mg/dL) | - | 0.0050 | |
| Triglycerides (mg/dL) | - | 0.0013 | |
| HDL | −0.0039 | - | |
| LDL | −0.0081 | ||
| Uric acid (mg/dL) | 0.0214 | - | 0.0603 |
| Cholesterol/HDL | - | ||
| Waist-hip ratio | 3.2778 | - | |
| Waist (cm) | 0.0163 | ||
| Smoke (yes) | - | ||
| Diabetes (yes) | - | ||
| Hypertension (yes) | 0.6715 | ||
| C statistic | 0.76 | 0.73 | 0.80 |
| Women | |||
| Incidence | 7.76/1000 | 4.63/1000 | 6.98/1000 |
| Age (years) | 6.8833 | 9.3891 | 4.3538 |
| SBP (mmHg) | 0.0128 | 0.0015 | 0.0138 |
| Glucose (mg/dL) | |||
| Triglycerides (mg/dL) | 0.0001 | ||
| HDL | |||
| LDL | |||
| Uric acid (mg/dL) | |||
| CHOL/HDL | 0.3054 | 0.3581 | |
| Waist-hip ratio | 3.9712 | ||
| Waist (cm) | 0.0257 | 0.0425 | |
| Smoke (yes) | 0.1923 | 0.7821 | |
| Diabetes (yes) | 0.5348 | ||
| Hypertension (yes) | 0.5572 | ||
| C statistic | 0.75 | 0.82 | 0.79 |
| Men | Women | |||
|---|---|---|---|---|
| Risk Factors | CMCS | Framingham | CMCS | Framingham |
| Age | 0.07 | 0.05 | 0.07 | 0.17 |
| Blood pressure | ||||
| Optimal | −0.51 | 0.09 | −0.50 | −0.74 |
| Normal | Reference | Reference | Reference | Reference |
| High normal | 0.21 | 0.42 | −0.87 | −0.37 |
| Stage 1 hypertension | 0.33 | 0.66 | 0.34 | 0.22 |
| Stage 2–4 hypertension | 0.77 | 0.90 | 0.47 | 0.61 |
| Cholesterol, mg/dL | ||||
| <160 | −0.51 | −0.38 | 0.18 | 0.21 |
| 160–199 | Reference | Reference | Reference | Reference |
| 200–239 | 0.07 | 0.57 | 0.13 | 0.44 |
| 240–279 | 0.32 | 0.74 | 0.14 | 0.56 |
| ≥280 | 0.52 | 0.83 | 1.67 | 0.89 |
| HDL, mg/dL | ||||
| <35 | −0.25 | 0.61 | 0.62 | 0.73 |
| 35–44 | 0.01 | 0.37 | 0.30 | 0.60 |
| 45–49 | Reference | Reference | 0.08 | 0.60 |
| 50–59 | −0.07 | 0.00 | Reference | Reference |
| ≥60 | −0.40 | −0.46 | −0.78 | −0.54 |
| Diabetes | 0.09 | 0.53 | 0.18 | 0.87 |
| Smoking | 0.62 | 0.73 | −0.95 | 0.98 |
Publisher’s Note: MDPI stays neutral with regard to jurisdictional claims in published maps and institutional affiliations. |
© 2022 by the authors. Licensee MDPI, Basel, Switzerland. This article is an open access article distributed under the terms and conditions of the Creative Commons Attribution (CC BY) license (https://creativecommons.org/licenses/by/4.0/).
Share and Cite
Chang, H.-Y.; Fang, H.-L.; Huang, C.-Y.; Chiang, C.-Y.; Chuang, S.-Y.; Hsu, C.-C.; Cheng, H.-M.; Chen, T.-W.; Yao, W.-C.; Pan, W.-H. Developing and Validating Risk Scores for Predicting Major Cardiovascular Events Using Population Surveys Linked with Electronic Health Insurance Records. Int. J. Environ. Res. Public Health 2022, 19, 1319. https://doi.org/10.3390/ijerph19031319
Chang H-Y, Fang H-L, Huang C-Y, Chiang C-Y, Chuang S-Y, Hsu C-C, Cheng H-M, Chen T-W, Yao W-C, Pan W-H. Developing and Validating Risk Scores for Predicting Major Cardiovascular Events Using Population Surveys Linked with Electronic Health Insurance Records. International Journal of Environmental Research and Public Health. 2022; 19(3):1319. https://doi.org/10.3390/ijerph19031319
Chicago/Turabian StyleChang, Hsing-Yi, Hsin-Ling Fang, Ching-Yu Huang, Chi-Yung Chiang, Shao-Yuan Chuang, Chih-Cheng Hsu, Hao-Min Cheng, Tzen-Wen Chen, Wei-Cheng Yao, and Wen-Harn Pan. 2022. "Developing and Validating Risk Scores for Predicting Major Cardiovascular Events Using Population Surveys Linked with Electronic Health Insurance Records" International Journal of Environmental Research and Public Health 19, no. 3: 1319. https://doi.org/10.3390/ijerph19031319
APA StyleChang, H.-Y., Fang, H.-L., Huang, C.-Y., Chiang, C.-Y., Chuang, S.-Y., Hsu, C.-C., Cheng, H.-M., Chen, T.-W., Yao, W.-C., & Pan, W.-H. (2022). Developing and Validating Risk Scores for Predicting Major Cardiovascular Events Using Population Surveys Linked with Electronic Health Insurance Records. International Journal of Environmental Research and Public Health, 19(3), 1319. https://doi.org/10.3390/ijerph19031319

