Aerobic Degradation Characteristics and Mechanism of Decabromodiphenyl Ether (BDE-209) Using Complex Bacteria Communities
Abstract
1. Introduction
2. Materials and Methods
2.1. Chemicals and Reagents
2.2. Microorganisms and Culture Medium
2.3. Preparation of Bacterial Suspension
2.4. BDE-209 Biodegradation Experiments
2.5. Optimization of Degradation Conditions
2.6. Biodegradation of BDE-209 by Crude Enzymes
2.6.1. Preparation of Extracellular and Intracellular Crude Enzymes
2.6.2. Degradation Experiments of BDE-209 by Crude Enzymes
2.7. Cytochrome P450 Enzyme Inhibitor Experiments
2.8. Extraction of BDE-209 after Biodegradation
2.9. Quality Assurance and Quality Control (QA/QC)
2.10. Statistical Analysis
3. Results
3.1. Identification of Aerobic Degrading Bacteria for BDE-209
3.2. BDE-209 Biodegradation by Complex Bacteria Communities
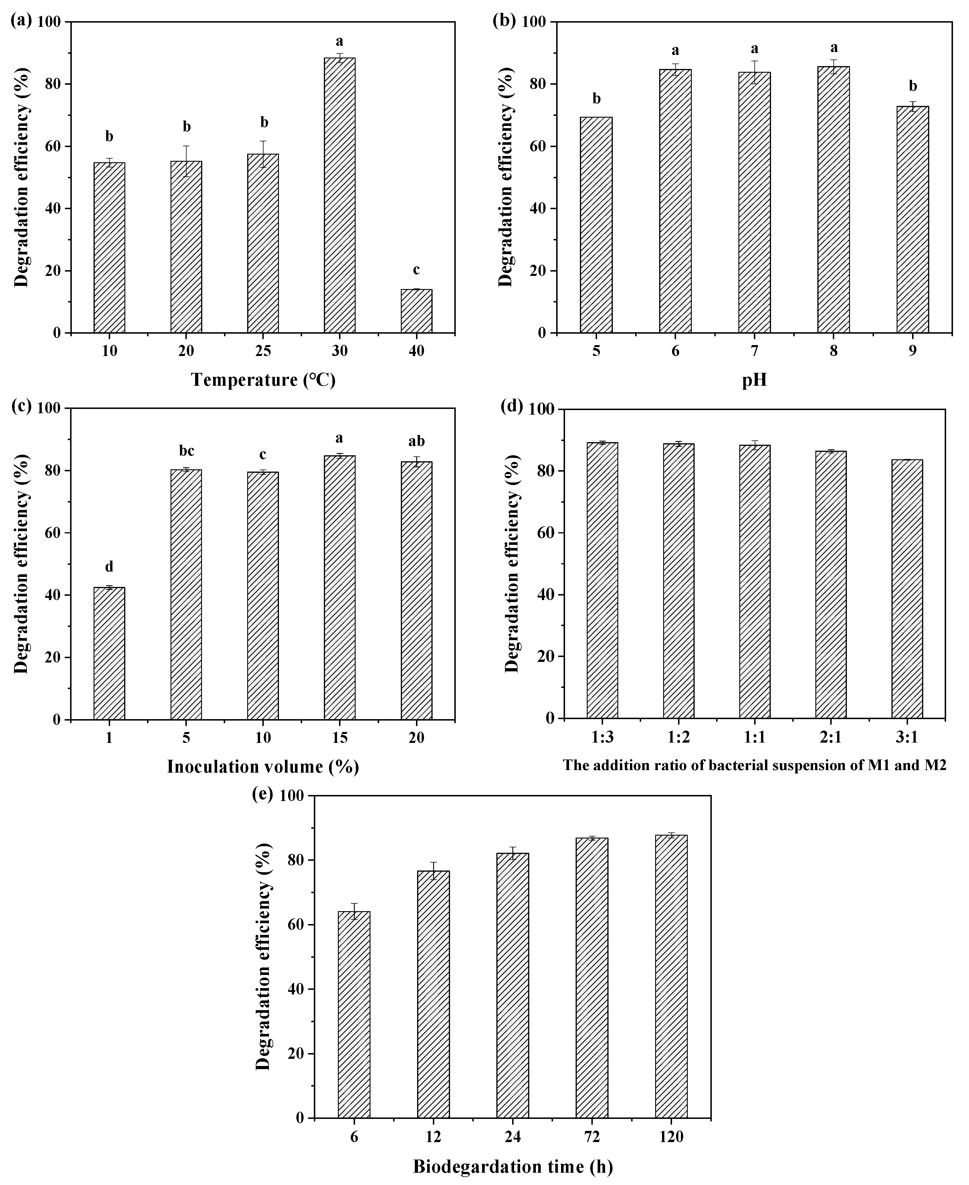
3.3. Factors Affecting BDE-209 Biodegradation by Complex Bacteria Community M (1+2)
3.4. Analysis of Metabolites and Pathway for BDE-209 Biodegradation
3.5. BDE-209 Biodegradation by Crude Enzymes
3.6. Effect of Cytochrome P450 Enzyme Inhibitor on BDE-209 Biodegradation
4. Discussion
5. Conclusions
Supplementary Materials
Author Contributions
Funding
Institutional Review Board Statement
Informed Consent Statement
Data Availability Statement
Acknowledgments
Conflicts of Interest
References
- Kajiwara, N.; Matsukami, H.; Malarvannan, G.; Chakraborty, P.; Covaci, A.; Takigami, H. Recycling plastics containing decabromodiphenyl ether into new consumer products including children’s toys purchased in Japan and seventeen other countries. Chemosphere 2022, 289, 133179. [Google Scholar] [CrossRef]
- Sugeng, E.J.; de Cock, M.; Leondards, P.E.G.; de Bor, M.V. Electronics, interior decoration and cleaning patterns affect flame retardant levels in the dust from Dutch residences. Sci. Total Environ. 2018, 645, 1144–1152. [Google Scholar] [CrossRef]
- Bannan, D.; Ali, N.; Alhakamy, N.A.; Alfaleh, M.A.; Alharbi, W.S.; Rashid, M.I.; Rajeh, N.; Malarvannan, G. Brominated Flame Retardants in Children’s Room: Concentration, Composition, and Health Risk Assessment. Int. J. Environ. Res. Public Health 2021, 18, 6421. [Google Scholar] [CrossRef]
- Cao, Z.G.; Xu, X.P.; Zhao, Y.H.; Du, R.J.; Fan, Y.J.; Wei, P.K.; Ma, K.L.; Zhu, Y.J.; Huang, X.Y.; Hu, F.Y.; et al. Gas-particle partition and size-segregated distribution of flame retardants in indoor and outdoor air: Reevaluation on the role of fine particles in human exposure. Chemosphere 2022, 292, 133414. [Google Scholar] [CrossRef] [PubMed]
- Ling, S.Y.; Lu, C.; Peng, C.; Zhang, W.; Lin, K.F.; Zhou, B.S. Characteristics of legacy and novel brominated flame retardants in water and sediment surrounding two e-waste dismantling regions in Taizhou, eastern China. Sci. Total Environ. 2021, 794, 148744. [Google Scholar] [CrossRef] [PubMed]
- An, Q.; Aamir, M.; Mao, S.D.; Liu, Y.X.; Wang, Y.T.; Zheng, P.; Liu, W.P. Current pollution status, spatial features, and health risks of legacy and emerging halogenated flame retardants in agricultural soils across China. Sci. Total Environ. 2022, 803, 150043. [Google Scholar] [CrossRef] [PubMed]
- Li, Y.A.; Zhang, J.; Ji, C.L.; Xiao, P.; Tang, J.H. Habitat-dependent trophic transfer of legacy and emerging halogenated flame retardants in estuarine and coastal food webs near a source region. Environ. Pollut. 2022, 300, 118987. [Google Scholar] [CrossRef] [PubMed]
- Hou, R.; Huang, Q.Y.; Pan, Y.F.; Lin, L.; Liu, S.; Li, H.X.; Xu, X.R. Novel brominated flame retardants (NBFRs) in a tropical marine food web from the south China sea: The Influence of hydrophobicity and biotransformation on structure-related trophodynamics. Environ. Sci. Technol. 2022, 56, 3147–3158. [Google Scholar] [CrossRef]
- Tao, L.; Zhang, Y.; Wu, J.P.; Wu, S.K.; Liu, Y.; Zeng, Y.H.; Luo, X.J.; Mai, B.X. Biomagnification of PBDEs and alternative brominated flame retardants in a predatory fish: Using fatty acid signature as a primer. Environ. Int. 2019, 127, 226–232. [Google Scholar] [CrossRef]
- Chen, S.N.; Che, S.Y.; Li, S.Q.; Wan, J.; Ruan, Z. High-fat diet exacerbated decabromodiphenyl ether-induced hepatocyte apoptosis via intensifying the transfer of Ca2+ from endoplasmic reticulum to mitochondria. Environ. Pollut. 2022, 292, 118297. [Google Scholar] [CrossRef]
- Zhu, Y.P.; Jing, L.; Li, X.Y.; Zhou, G.Q.; Zhang, Y.; Sang, Y.J.; Gao, L.Q.; Liu, S.T.; Shi, Z.X.; Sun, Z.W.; et al. Decabromodiphenyl ether-induced PRKACA hypermethylation contributed to glycolipid metabolism disorder via regulating PKA/AMPK pathway in rat and L-02 cells. Environ. Toxicol. Pharmacol. 2022, 90, 103808. [Google Scholar] [CrossRef] [PubMed]
- Zhai, J.X.; Geng, W.F.; Zhang, T.F.; Wei, Y.; He, H.; Chen, W.J. BDE-209 induce spermatocytes arrest at early-pachytene stage during meiotic prophase I in mice. Toxicology 2022, 467, 153061. [Google Scholar] [CrossRef] [PubMed]
- Li, X.Y.; Liu, J.H.; Zhou, G.Q.; Sang, Y.J.; Zhang, Y.; Jing, L.; Shi, Z.X.; Zhou, X.Q.; Sun, Z.W. BDE-209 and DBDPE induce male reproductive toxicity through telomere-related cell senescence and apoptosis in SD rat. Environ. Int. 2021, 146, 106307. [Google Scholar] [CrossRef] [PubMed]
- Yang, Y.X.; He, Q.Y.; Zhang, Z.Y.; Qi, C.L.; Ding, L.N.; Yuan, T.T.; Chen, Y.H.; Li, Z.H. Insulin-like growth factor reduced against decabromodiphenyl ether-209-induced neurodevelopmental toxicity in vivo and in vitro. Hum. Exp. Toxicol. 2021, 40, S475–S486. [Google Scholar] [CrossRef] [PubMed]
- Zhang, B.; Xu, T.; Yin, D.Q.; Wei, S. The potential relationship between neurobehavioral toxicity and visual dysfunction of BDE-209 on zebrafish larvae: A pilot study. Environ. Sci. Eur. 2020, 32, 25. [Google Scholar] [CrossRef]
- Cheng, L.; Rao, Q.X.; Zhang, Q.C.; Song, W.; Guan, S.H.; Jiang, Z.L.; Wu, T.; Zhao, Z.H.; Song, W.G. The immunotoxicity of decabromodiphenyl ether (BDE-209) on broiler chicks by transcriptome profiling analysis. Ecotoxicol. Environ. Saf. 2022, 232, 113284. [Google Scholar] [CrossRef]
- Chen, T.; Wang, X.T.; Jia, J.X.; Wang, D.J.; Gao, Y.X.; Yang, X.; Zhang, S.X.; Niu, P.Y.; Shi, Z.X. Reduced mitochondrial DNA copy number in occupational workers from brominated flame retardants manufacturing plants. Sci. Total Environ. 2022, 809, 151086. [Google Scholar] [CrossRef]
- Yao, B.; Luo, Z.R.; Zhi, D.; Hou, D.M.; Luo, L.; Du, S.Z.; Zhou, Y.Y. Current progress in degradation and removal methods of polybrominated diphenyl ethers from water and soil: A review. J. Hazard. Mater. 2021, 403, 123674. [Google Scholar] [CrossRef]
- Peng, H.J.; Zhang, W.; Liu, L.; Lin, K.F. Degradation performance and mechanism of decabromodiphenyl ether (BDE209) by ferrous-activated persulfate in spiked soil. Chem. Eng. J. 2017, 307, 750–755. [Google Scholar] [CrossRef]
- Zhou, Q.X.; Wang, Y.Q.; Xiao, J.P.; Zhan, Y.L. Preparation of magnetic core-shell Fe3O4@polyaniline composite material and its application in adsorption and removal of tetrabromobisphenol A and decabromodiphenyl ether. Ecotoxicol. Environ. Saf. 2019, 183, 109471. [Google Scholar] [CrossRef]
- Guo, S.; Zhu, L.H.; Majima, T.; Lei, M.; Tang, H.Q. Reductive debromination of polybrominated diphenyl ethers: Dependence on Br number of the Br-rich phenyl ring. Environ. Sci. Technol. 2019, 53, 4433–4439. [Google Scholar] [CrossRef]
- Wang, R.; Tang, T.; Wei, Y.C.; Dang, D.; Huang, K.B.; Chen, X.W.; Yin, H.; Tao, X.Q.; Lin, Z.; Dang, Z.; et al. Photocatalytic debromination of polybrominated diphenyl ethers (PBDEs) on metal doped TiO2 nanocomposites: Mechanisms and pathways. Environ. Int. 2019, 127, 5–12. [Google Scholar] [CrossRef] [PubMed]
- Liu, Z.T.; Yang, H.N.; Wang, M.A.; Sun, Y.F.; Fei, Z.H.; Chen, S.J.; Luo, R.; Hu, L.; Gu, C.G. Enhanced reductive debromination of decabromodiphenyl ether by organic-attapulgite supported Fe/Pd nanoparticles: Synergetic effect and mechanism. J. Colloid Interface Sci. 2022, 613, 337–348. [Google Scholar] [CrossRef] [PubMed]
- Shi, C.; Hu, Y.; Kobayashi, T.; Zhang, N.; Kuramochi, H.; Zhang, Z.Y.; Lei, Z.F.; Xu, K.Q. Comparison of decabromodiphenyl ether degradation in long-term operated anaerobic bioreactors under thermophilic and mesophilic conditions and the pathways involved. J. Environ. Manag. 2021, 294, 113009. [Google Scholar] [CrossRef] [PubMed]
- Shi, C.; Hu, Y.; Kobayashi, T.; Zhang, N.; Kuramochi, H.; Zhang, Z.Y.; Xu, K.Q. Anaerobic degradation of deca-brominated diphenyl ether contaminated in products: Effect of temperature on degradation characteristics. Bioresour. Technol. 2019, 283, 28–35. [Google Scholar] [CrossRef]
- Demirtepe, H.; Imamoglu, I. Degradation of decabromodiphenyl ether (BDE-209) in microcosms mimicking sediment environment subjected to comparative bioremediation strategies. J. Environ. Manag. 2019, 233, 120–130. [Google Scholar] [CrossRef]
- Zhou, Q.X.; Ge, C.H.; Ahmad, H.A.; Ni, S.Q.; Liu, X.L.; Bu, C.N.; Wang, F.L.; Gao, B.Y. Production of more toxic hexa-brominated diphenyl ether from rapid biotransformation of decabromodiphenyl ether in anaerobic granular sludge. Int. Biodeterior. Biodegrad. 2018, 134, 7–15. [Google Scholar] [CrossRef]
- Liu, Y.; Liu, Z.; Gong, A.J.; Qiu, L.N.; Zhang, W.W.; Li, J.R.; Li, F.K.; Bai, Y.Z.; Li, J.D.; Gao, G. Cell changes and differential proteomic analysis during biodegradation of decabromodiphenyl ether (BDE-209) by Pseudomonas aeruginosa. RSC Adv. 2019, 9, 25048–25055. [Google Scholar] [CrossRef]
- Wu, Z.N.; Xie, M.M.; Li, Y.; Gao, G.H.; Bartlam, M.; Wang, Y.Y. Biodegradation of decabromodiphenyl ether (BDE 209) by a newly isolated bacterium from an e-waste recycling area. AMB Express 2018, 8, 27. [Google Scholar] [CrossRef]
- Tang, S.Y.; Yin, H.; Chen, S.N.; Peng, H.; Chang, J.J.; Liu, Z.H.; Dang, Z. Aerobic degradation of BDE-209 by Enterococcus casseliflavus: Isolation, identification and cell changes during degradation process. J. Hazard. Mater. 2016, 308, 335–342. [Google Scholar] [CrossRef]
- Paliya, S.; Mandpe, A.; Kumar, M.S.; Kumar, S. Aerobic degradation of decabrominated diphenyl ether through a novel bacterium isolated from municipal waste dumping site: Identification, degradation and metabolic pathway. Bioresour. Technol. 2021, 333, 125208. [Google Scholar] [CrossRef] [PubMed]
- Lu, M.; Zhang, Z.Z.; Wu, X.J.; Xu, Y.X.; Su, X.L.; Zhang, M.; Wang, J.X. Biodegradation of decabromodiphenyl ether (BDE-209) by a metal resistant strain, Bacillus cereus JP12. Bioresour. Technol. 2013, 149, 8–15. [Google Scholar] [CrossRef]
- Letcher, R.J.; Marteinson, S.C.; Fernie, K.J. Dietary exposure of American kestrels (Falco sparverius) to decabromodiphenyl ether (BDE-209) flame retardant: Uptake, distribution, debromination and cytochrome P450 enzyme induction. Environ. Int. 2014, 63, 182–190. [Google Scholar] [CrossRef] [PubMed]
- Wang, S.; Bai, N.L.; Wang, B.; Feng, Z.; Hutchins, W.C.; Yang, C.H.; Zhao, Y.H. Characterization of the molecular degradation mechanism of diphenyl ethers by Cupriavidus sp. WS. Environ. Sci. Pollut. Res. 2015, 22, 16914–16926. [Google Scholar] [CrossRef]
- Mrozik, A.; Piotrowska-Seget, Z. Bioaugmentation as a strategy for cleaning up of soils contaminated with aromatic compounds. Microbiol. Res. 2010, 165, 363–375. [Google Scholar] [CrossRef] [PubMed]
- McCarty, N.S.; Ledesma-Amaro, R. Synthetic biology tools to engineer microbial communities for biotechnology. Trends Biotechnol. 2019, 37, 181–197. [Google Scholar] [CrossRef]
- Villaverde, J.; Rubio-Bellido, M.; Merchán, F.; Morillo, E. Bioremediation of diuron contaminated soils by a novel degrading microbial consortium. J. Environ. Manage 2017, 188, 379–386. [Google Scholar] [CrossRef]
- Sasikala, C.; Jiwal, S.; Rout, P.; Ramya, M. Biodegradation of chlorpyrifos by bacterial consortium isolated from agriculture soil. World J. Microbiol. Biotechnol. 2012, 28, 1301–1308. [Google Scholar] [CrossRef]
- Yang, C.Y.; Li, Y.; Zhang, K.; Wang, X.; Ma, C.Q.; Tang, H.Z.; Xu, P. Atrazine degradation by a simple consortium of Klebsiella sp. A1 and Comamonas sp. A2 in nitrogen enriched medium. Biodegradation 2010, 21, 97–105. [Google Scholar] [CrossRef]
- Zhang, L.; Hang, P.; Hu, Q.; Chen, X.L.; Zhou, X.Y.; Chen, K.; Jiang, J.D. Degradation of phenylurea herbicides by a novel bacterial consortium containing synergistically catabolic species and functionally complementary hydrolases. J. Agric. Food Chem. 2018, 66, 12479–12489. [Google Scholar] [CrossRef]
- Yu, Y.Y.; Yin, H.; Peng, H.; Lu, G.N.; Dang, Z. Biodegradation of decabromodiphenyl ether (BDE-209) using a novel microbial consortium GY1: Cells viability, pathway, toxicity assessment, and microbial function prediction. Sci. Total Environ. 2019, 668, 958–965. [Google Scholar] [CrossRef] [PubMed]
- Yu, Y.Y.; Yin, H.; Huang, W.T.; Peng, H.; Lu, G.N.; Dang, Z. Cellular changes of microbial consortium GY1 during decabromodiphenyl ether (BDE-209) biodegradation and identification of strains responsible for BDE-209 degradation in GY1. Chemosphere 2020, 249, 126205. [Google Scholar] [CrossRef] [PubMed]
- Chou, H.L.; Chang, Y.T.; Liao, Y.F.; Lin, C.H. Biodegradation of decabromodiphenyl ether (BDE-209) by bacterial mixed cultures in a soil/water system. Int. Biodeterior. Biodegrad. 2013, 85, 671–682. [Google Scholar] [CrossRef]
- Fan, L.S.; Wu, J.; Hu, D.F.; Jia, R. Isolation, identification and degradation characteristics and mechanisms of decabromodiphenyl ether degrading bacteria. Microbiol. China 2023, 50, 78–90. [Google Scholar] [CrossRef]
- Liu, X.W.; Chen, K.; Chuang, S.C.; Xu, X.H.; Jiang, J.D. Shift in bacterial community structure drives different atrazine-degrading efficiencies. Front. Microbiol. 2019, 10, 88. [Google Scholar] [CrossRef]
- Yu, Y.Y.; Yin, H.; Peng, H.; Lu, G.N.; Dang, Z. Proteomic mechanism of decabromodiphenyl ether (BDE-209) biodegradation by Microbacterium Y2 and its potential in remediation of BDE-209 contaminated water-sediment system. J. Hazard. Mater. 2020, 387, 121708. [Google Scholar] [CrossRef]
- Shi, G.Y.; Yin, H.; Ye, J.S.; Peng, H.; Li, J.; Luo, C.L. Effect of cadmium ion on biodegradation of decabromodiphenyl ether (BDE-209) by Pseudomonas aeruginosa. J. Hazard. Mater. 2013, 263, 711–717. [Google Scholar] [CrossRef]
- Liu, Y.; Gong, A.J.; Qiu, L.N.; Li, J.R.; Li, F.K. Biodegradation of Decabromodiphenyl Ether (BDE-209) by Crude Enzyme Extract from Pseudomonas aeruginosa. Int. J. Environ. Res. Public Health 2015, 12, 11829–11847. [Google Scholar] [CrossRef]
- Wang, L.Q.; Li, Y.; Zhang, W.L.; Niu, L.H.; Du, J.; Cai, W.; Wang, J. Isolation and characterization of two novel psychrotrophic decabromodiphenyl ether-degrading bacteria from river sediments. Environ. Sci. Pollut. Res. 2016, 23, 10371–10381. [Google Scholar] [CrossRef]
- Zhao, S.Y.; Rogers, M.J.; Ding, C.; He, J.Z. Reductive debromination of polybrominated diphenyl ethers—Microbes, processes and dehalogenases. Front. Microbiol. 2018, 9, 1292. [Google Scholar] [CrossRef]
- Chou, H.L.; Hwa, M.Y.; Lee, Y.C.; Chang, Y.J.; Chang, Y.T. Microbial degradation of decabromodiphenyl ether (DBDE) in soil slurry microcosms. Environ. Sci. Pollut. Res. 2016, 23, 5255–5267. [Google Scholar] [CrossRef]
- Zhao, C.H.; Yan, M.; Zhong, H.; Liu, Z.F.; Shi, L.S.; Chen, M.; Zeng, G.M.; Song, B.; Shao, B.B.; Feng, H.P. Biodegradation of polybrominated diphenyl ethers and strategies for acceleration: A review. Int. Biodeterior. Biodegrad. 2018, 129, 23–32. [Google Scholar] [CrossRef]
- Robrock, K.R.; Mohn, W.W.; Eltis, L.D.; Alvarez-Cohen, L. Biphenyl and ethylbenzene dioxygenases of Rhodococcus jostii RHA1 transform PBDEs. Biotechnol. Bioeng. 2011, 108, 313–321. [Google Scholar] [CrossRef] [PubMed]
- Guo, R.X.; Qi, Y.M.; Li, B.B.; Wu, N.N.; Tian, J.; Wang, Z.Y.; Qu, R.J. The environmental fate of biomass associated polybrominated diphenyl ethers. Chemosphere 2022, 299, 134397. [Google Scholar] [CrossRef] [PubMed]
- Zumstein, M.T.; Helbling, D.E. Biotransformation of antibiotics: Exploring the activity of extracellular and intracellular enzymes derived from wastewater microbial communities. Water Res. 2019, 155, 115–123. [Google Scholar] [CrossRef]
- Xu, G.Y.; Wang, J.B. Biodegradation of decabromodiphenyl ether (BDE-209) by white-rot fungus Phlebia lindtneri. Chemosphere 2014, 110, 70–77. [Google Scholar] [CrossRef]
- Dai, Y.J.; Zhao, Y.J.; Zhang, W.J.; Yu, C.G.; Ji, W.W.; Xu, W.P.; Ni, J.P.; Yuan, S. Biotransformation of thianicotinyl neonicotinoid insecticides: Diverse molecular substituents response to metabolism by bacterium Stenotrophomonas maltophilia CGMCC 1.1788. Bioresour. Technol. 2010, 101, 3838–3843. [Google Scholar] [CrossRef]
- Wei, K.; Yin, H.; Peng, H.; Lu, G.N.; Dang, Z. Bioremediation of triphenyl phosphate by Brevibacillus brevis: Degradation characteristics and role of cytochrome P450 monooxygenase. Sci. Total Environ. 2018, 627, 1389–1395. [Google Scholar] [CrossRef]
- Wang, J.Q.; Yamamoto, R.; Yamamoto, Y.; Tokumoto, T.; Dong, J.; Thomas, P.; Hirai, H.; Kawagishi, H. Hydroxylation of bisphenol A by hyper lignin-degrading fungus Phanerochaete sordida YK-624 under non-ligninolytic condition. Chemosphere 2013, 93, 1419–1423. [Google Scholar] [CrossRef] [PubMed]
- Chen, Z.H.; Yin, H.; Peng, H.; Lu, G.N.; Liu, Z.H.; Dang, Z. Identification of novel pathways for biotransformation of tetrabromobisphenol A by Phanerochaete chrysosporium, combined with mechanism analysis at proteome level. Sci. Total Environ. 2019, 659, 1352–1361. [Google Scholar] [CrossRef]






| Level | 1 | 2 | 3 | 4 | 5 | |
|---|---|---|---|---|---|---|
| Single Factor Variable | ||||||
| Temperature (°C) | 10 | 20 | 25 | 30 | 40 | |
| pH value | 5 | 6 | 7 | 8 | 9 | |
| Inoculation volume (%) | 1 | 5 | 10 | 15 | 20 | |
| Products | Name | Possible Chemical Structure |
|---|---|---|
| a | diphenyl ether | ![]() |
| b | 1-phenoxycyclohexa-3,5-diene-1,2-diol | ![]() |
| c | phenol | ![]() |
| d | pyrocatechol | ![]() |
| e | (2E,4E)-hexa-2,4-dienedioic acid | ![]() |
| f | 2,3-dihydrodiol diphenyl ether | ![]() |
| g | 2,3-dihydroxydiphenyl ether | ![]() |
| h | monohydroxydiphenyl ether | ![]() |
| i | (Z)-hex-2-enedioic acid | ![]() |
| j | (E)-2-hydroxyhex-2-enedioic acid | ![]() |
| k | 3-oxohexanedioic acid | ![]() |
| Degradation Efficiency (%) | |||
|---|---|---|---|
| M1 | M2 | M (1+2) | |
| Extracellular crude enzymes | 6.29 ± 0.01 | 15.99 ± 0.02 | 20.02 ± 0.01 |
| Intracellular crude enzymes | 61.69 ± 0.02 | 5.08 ± 0.03 | 69.18 ± 0.06 |
Publisher’s Note: MDPI stays neutral with regard to jurisdictional claims in published maps and institutional affiliations. |
© 2022 by the authors. Licensee MDPI, Basel, Switzerland. This article is an open access article distributed under the terms and conditions of the Creative Commons Attribution (CC BY) license (https://creativecommons.org/licenses/by/4.0/).
Share and Cite
Hu, D.; Wu, J.; Fan, L.; Li, S.; Jia, R. Aerobic Degradation Characteristics and Mechanism of Decabromodiphenyl Ether (BDE-209) Using Complex Bacteria Communities. Int. J. Environ. Res. Public Health 2022, 19, 17012. https://doi.org/10.3390/ijerph192417012
Hu D, Wu J, Fan L, Li S, Jia R. Aerobic Degradation Characteristics and Mechanism of Decabromodiphenyl Ether (BDE-209) Using Complex Bacteria Communities. International Journal of Environmental Research and Public Health. 2022; 19(24):17012. https://doi.org/10.3390/ijerph192417012
Chicago/Turabian StyleHu, Dingfan, Juan Wu, Luosheng Fan, Shunyao Li, and Rong Jia. 2022. "Aerobic Degradation Characteristics and Mechanism of Decabromodiphenyl Ether (BDE-209) Using Complex Bacteria Communities" International Journal of Environmental Research and Public Health 19, no. 24: 17012. https://doi.org/10.3390/ijerph192417012
APA StyleHu, D., Wu, J., Fan, L., Li, S., & Jia, R. (2022). Aerobic Degradation Characteristics and Mechanism of Decabromodiphenyl Ether (BDE-209) Using Complex Bacteria Communities. International Journal of Environmental Research and Public Health, 19(24), 17012. https://doi.org/10.3390/ijerph192417012











