Reduction in COVID-19 Vaccine Effectiveness against SARS-CoV-2 Variants in Seoul according to Age, Sex, and Symptoms: A Test-Negative Case-Control Study
Abstract
1. Introduction
2. Materials and Methods
2.1. Study Design
2.2. Study Population
2.3. Data Sources
2.4. Statistical Analysis
3. Results
3.1. Participants
3.2. Vaccine Coverage
3.3. Study Population
3.4. COVID-19 VE against SARS-CoV-2 Infections
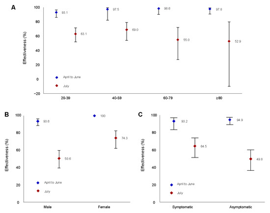
3.5. COVID-19 VE against SARS-CoV-2 Infection according to Age and Sex
3.6. COVID-19 VE against Symptomatic and Asymptomatic Infections
4. Discussion
4.1. Social Distancing
4.2. Age
4.3. Sex
4.4. Symptoms
4.5. Limitations
5. Conclusions
Supplementary Materials
Author Contributions
Funding
Institutional Review Board Statement
Informed Consent Statement
Acknowledgments
Conflicts of Interest
References
- Chagla, Z. The BNT162b2 (BioNTech/Pfizer) vaccine had 95% efficacy against COVID-19 ≥7 days after the 2nd dose. Ann. Intern. Med. 2021, 174, JC15. [Google Scholar] [CrossRef] [PubMed]
- Polack, F.P.; Thomas, S.J.; Kitchin, N.; Absalon, J.; Gurtman, A.; Lockhart, S.; Perez, J.L.; Marc, G.P.; Moreira, E.D.; Zerbini, C.; et al. Safety and efficacy of the BNT162b2 mRNA COVID-19 vaccine. N. Engl. J. Med. 2020, 383, 2603–2615. [Google Scholar] [CrossRef] [PubMed]
- Chagla, Z. In high-risk adults, the Moderna vaccine had 94% efficacy against COVID-19 ≥14 d after the 2nd dose. Ann. Int. Med. 2021, 174, JC28. [Google Scholar] [CrossRef] [PubMed]
- Sadoff, J.; Gray, G.; Vandebosch, A.; Cárdenas, V.; Shukarev, G.; Grinsztejn, B.; Goepfert, P.A.; Paul, A.; Truyers, C.; Fennema, H.; et al. Safety and efficacy of single-dose AdCOVS vaccine against Covid-19. N. Engl. J. Med. 2021, 384, 2187–2201. [Google Scholar] [CrossRef] [PubMed]
- Chagla, Z. In adults, the Oxford/AstraZeneca vaccine had 70% efficacy against COVID-19 >14 d after the 2nd dose. Ann. Intern. Med. 2021, 174, JC29. [Google Scholar] [CrossRef]
- Dagan, N.; Barda, N.; Kepten, E.; Miron, O.; Perchik, S.; Katz, M.A.; Hernán, M.A.; Lipsitch, M.; Reis, B.; Balicer, R.D. BNT162b2 mRNA Covid-19 Vaccine in a Nationwide Mass Vaccination Setting. N. Engl. J. Med. 2021, 384, 1412–1423. [Google Scholar] [CrossRef]
- Dagan, N.; Barda, N.; Biron-Shental, T.; Makov-Assif, M.; Key, C.; Kohane, I.S.; Hernán, M.A.; Lipsitch, M.; Hernandez-Diaz, S.; Reis, B.Y.; et al. Effectiveness of the BNT162b2 mRNA COVID-19 vaccine in pregnancy. Nat. Med. 2021, 27, 1693–1695. [Google Scholar] [CrossRef]
- Charmet, T.; Schaeffer, L.; Grant, R.; Galmiche, S.; Chény, O.; Von Platen, C.; Maurizot, A.; Rogoff, A.; Omar, F.; David, C.; et al. Impact of original, B. 1.1. 7, and B. 1.351/P. 1 SARS-CoV-2 lineages on vaccine effectiveness of two doses of COVID-19 mRNA vaccines: Results from a nationwide case-control study in France. Lancet Reg. Health-Eur. 2021, 8, 100171. [Google Scholar] [CrossRef]
- Cherian, S.; Potdar, V.; Jadhav, S.; Yadav, P.; Gupta, N.; Das, M.; Agarwal, A.; Singh, S.; Abraham, P.; Panda, S.; et al. Convergent evolution of SARS-CoV-2 spike mutations, L452R, E484Q and P681R, in the second wave of COVID-19 in Maharashtra, India. Microorganisms 2021, 9, 1542. [Google Scholar] [CrossRef]
- Augusto, G.; Mohsen, M.O.; Zinkhan, S.; Liu, X.; Vogel, M.; Bachmann, M.F. In vitro data suggest that Indian delta variant B. 1.617 of SARS-CoV-2 escapes neutralization by both receptor affinity and immune evasion. Allergy 2021, 77, 111–117. [Google Scholar] [CrossRef]
- Brand, S.P.C.; Ojal, J.; Aziza, R.; Were, V.; Okiro, E.A.; Kombe, I.K.; Mburu, C.; Ogero, M.; Agweyu, A.; Warimwe, G.M.; et al. COVID-19 transmission dynamics underlying epidemic waves in Kenya. Science 2021, 374, 989–994. [Google Scholar] [CrossRef]
- Ito, K.; Piantham, C.; Nishiura, H. Predicted domination of variant Delta of SARS-CoV-2 before Tokyo Olympic games, Japan. Eurosurveillance 2021, 26, 2100570. [Google Scholar] [CrossRef] [PubMed]
- Campbell, F.; Archer, B.; Laurenson-Schafer, H.; Jinnai, Y.; Konings, F.; Batra, N.; Pavlin, B.; Vandemaele, K.; Van Kerkhove, M.D.; Jombart, T.; et al. Increased transmissibility and global spread of SARS-CoV-2 variants of concern as at June 2021. Eurosurveillance 2021, 26, 2100509. [Google Scholar] [CrossRef] [PubMed]
- Brown, C.M.; Vostok, J.; Johnson, H.; Burns, M.; Gharpure, R.; Sami, S.; Sabo, R.T.; Hall, N.; Foreman, A.; Schubert, P.L.; et al. Outbreak of SARS-CoV-2 infections, including COVID-19 vaccine breakthrough infections, associated with large public gatherings—Barnstable County, Massachusetts, July 2021. Morb. Mortal. Wkly. Rep. 2021, 70, 1059. [Google Scholar] [CrossRef]
- Li, B.; Deng, A.; Li, K.; Hu, Y.; Li, Z.; Xiong, Q.; Liu, Z.; Guo, Q.; Zou, L.; Zhang, H.; et al. Viral infection and transmission in a large, well-traced outbreak caused by the SARS-CoV-2 Delta variant. Nat. Commun. 2022, 13, 460. [Google Scholar] [CrossRef] [PubMed]
- Salvatore, M.; Bhattacharyya, R.; Purkayastha, S.; Zimmermann, L.; Ray, D.; Hazra, A.; Kleinsasser, M.; Mellan, T.; Whittaker, C.; Flaxman, S.; et al. Resurgence of SARS-CoV-2 in India: Potential role of the B. 1.617. 2 (Delta) variant and delayed interventions. MedRxiv 2021. [Google Scholar] [CrossRef]
- Rosenberg, E.S.; Holtgrave, D.R.; Dorabawila, V.; Conroy, M.; Greene, D.; Lutterloh, E.; Backenson, B.; Hoefer, D.; Morne, J.; Bauer, U.; et al. New COVID-19 cases and hos-pitalizations among adults, by vaccination status—New York, May 3–July 25, 2021. Morb. Mortal. Wkly. Rep. 2021, 70, 1306–1311. [Google Scholar] [CrossRef] [PubMed]
- Keehner, J.; Horton, L.E.; Binkin, N.J.; Laurent, L.C.; Pride, D.; Longhurst, C.A.; Abeles, S.; Torriani, F.J. Resurgence of SARS-CoV-2 infection in a highly vaccinated health system workforce. N. Engl. J. Med. 2021, 385, 1330–1332. [Google Scholar] [CrossRef] [PubMed]
- Fowlkes, A.; Gaglani, M.; Groover, K.; Thiese, M.S.; Tyner, H.; Ellingson, K. Effectiveness of COVID-19 vaccines in preventing SARS-CoV-2 infection among frontline workers before and during B. 1.617. 2 (Delta) variant predominance—Eight US locations, December 2020–August 2021. Morb. Mortal. Wkly. Rep. 2021, 70, 1167. [Google Scholar] [CrossRef]
- Nanduri, S.; Pilishvili, T.; Derado, G.; Soe, M.M.; Dollard, P.; Wu, H.; Li, Q.; Bagchi, S.; Dubendris, H.; Link-Gelles, R.; et al. Effectiveness of Pfizer-BioNTech and Moderna vaccines in preventing SARS-CoV-2 infection among nursing home residents before and during widespread circulation of the SARS-CoV-2 B. 1.617. 2 (Delta) variant—National Healthcare Safety Network, March 1–August 1, 2021. Morb. Mortal. Wkly. Rep. 2021, 70, 1163. [Google Scholar]
- Lustig, Y.; Zuckerman, N.; Nemet, I.; Atari, N.; Kliker, L.; Regev-Yochay, G.; Sapir, E.; Mor, O.; Alroy-Preis, S.; Mendelson, E.; et al. Neutralising capacity against Delta (B.1.617.2) and other variants of concern following Comirnaty (BNT162b2, BioNTech/Pfizer) vaccination in health care workers, Israel. Eurosurveillance 2021, 26, 2100557. [Google Scholar] [CrossRef] [PubMed]
- Bian, L.; Gao, Q.; Gao, F.; Wang, Q.; He, Q.; Wu, X.; Mao, Q.; Xu, M.; Liang, Z. Impact of the Delta variant on vaccine efficacy and response strategies. Expert Rev. Vaccines 2021, 20, 1201–1209. [Google Scholar] [CrossRef] [PubMed]
- Vanden Broecke, B.; Mariën, J.; Sabuni, C.A.; Mnyone, L.; Massawe, A.W.; Matthysen, E.; Leirs, H. Relationship between population density and viral infection: A role for personality? Ecol. Evol. 2019, 9, 10213–10224. [Google Scholar] [CrossRef] [PubMed]
- World Health Organization. Evaluation of COVID-19 Vaccine Effectiveness: Interim Guidance, 17 March 2021; World Health Organization: Geneva, Switzerland, 2021. [Google Scholar]
- Fukushima, W.; Hirota, Y. Basic principles of test-negative design in evaluating influenza vaccine effectiveness. Vaccine 2017, 35, 4796–4800. [Google Scholar] [CrossRef]
- Jackson, M.L.; Nelson, J.C. The test-negative design for estimating influenza vaccine effectiveness. Vaccine 2013, 31, 2165–2168. [Google Scholar] [CrossRef]
- Saadat, S.; Rikhtegaran-Tehrani, Z.; Logue, J.; Newman, M.; Frieman, M.B.; Harris, A.D.; Sajadi, M.M. Single dose vaccination in healthcare workers previously infected with SARS-CoV-2. MedRxiv 2021. [Google Scholar] [CrossRef]
- Thompson, M.G.; Burgess, J.L.; Naleway, A.L.; Tyner, H.L.; Yoon, S.K.; Meece, J.; Olsho, L.E.W.; Caban-Martinez, A.J.; Fowlkes, A.; Lutrick, K.; et al. Interim estimates of vaccine effectiveness of BNT162b2 and mRNA-1273 COVID-19 vaccines in preventing SARS-CoV-2 infection among health care personnel, first responders, and other essential and frontline workers—Eight US locations, December 2020–March 2021. Morb. Mortal. Wkly. Rep. 2021, 70, 495–500. [Google Scholar] [CrossRef]
- Jara, A.; Undurraga, E.A.; González, C.; Paredes, F.; Fontecilla, T.; Jara, G.; Pizarro, A.; Acevedo, J.; Leo, K.; Leon, F.; et al. Effectiveness of an inactivated SARS-CoV-2 vaccine in Chile. N. Engl. J. Med. 2021, 385, 875–884. [Google Scholar] [CrossRef]
- Pearce, N. Analysis of matched case-control studies. BMJ 2016, 352, i969. [Google Scholar] [CrossRef]
- Stowe, J.; Andrews, N.; Kirsebom, F.; Ramsay, M.; Lopez Bernal, J. Effectiveness of COVID-19 vaccines against Omicron and Delta hospitalization, a test negative case-control study. Nat. Commun. 2022, 13, 5736. [Google Scholar] [CrossRef]
- Hekimoğlu, C.H.; Mestan, E.; Emine, A.; Topal, S.; Demiröz, M.; Ergör, G. Seasonal influenza vaccine effectiveness in pre-venting laboratory confirmed influenza in 2014–2015 season in Turkey: A test-negative case control study. Balk. Med. J. 2018, 35, 77–83. [Google Scholar] [CrossRef] [PubMed]
- Verani, J.R.; Baqui, A.H.; Broome, C.V.; Cherian, T.; Cohen, C.; Farrar, J.L.; Feikin, D.R.; Groome, M.J.; Hajjeh, R.A.; Johnson, H.L.; et al. Case-control vaccine effectiveness studies: Preparation, design, and enrollment of cases and controls. Vaccine 2017, 35, 3295–3302. [Google Scholar] [CrossRef] [PubMed]
- Sullivan, S.G.; Tchetgen Tchetgen, E.J.; Cowling, B.J. Theoretical basis of the test-negative study design for assessment of influenza vaccine effectiveness. Am. J. Epidemiol. 2016, 184, 345–353. [Google Scholar] [CrossRef]
- Weinberger, B.; Herndler-Brandstetter, D.; Schwanninger, A.; Weiskopf, D.; Grubeck-Loebenstein, B. Biology of immune re-sponses to vaccines in elderly persons. Clin. Infect. Dis. 2008, 46, 1078–1084. [Google Scholar] [CrossRef] [PubMed]
- Li, X.-N.; Huang, Y.; Wang, W.; Jing, Q.-L.; Zhang, C.-H.; Qin, P.-Z.; Guan, W.-J.; Gan, L.; Li, Y.-L.; Liu, W.-H.; et al. Effectiveness of inactivated SARS-CoV-2 vaccines against the Delta variant infection in Guangzhou: A test-negative case–control real-world study. Emerg. Microbes Infect. 2021, 10, 1751–1759. [Google Scholar] [CrossRef] [PubMed]
- Sharma, G.; Volgman, A.S.; Michos, E.D. Sex differences in mortality from COVID-19 pandemic: Are men vulnerable and women protected? Case Rep. 2020, 2, 1407–1410. [Google Scholar]
- Statistics Korea Economically Active Population Survey in December 2021 Home Page. Available online: http://kostat.go.kr/portal/eng/pressReleases/5/1/index.board?bmode=read&bSeq=&aSeq=415599&pageNo=1&rowNum=10&navCount=10&currPg=&searchInfo=srch&sTarget=title&sTxt=2021 (accessed on 15 December 2021).
- Klein, S.L.; Flanagan, K.L. Sex differences in immune responses. Nat. Rev. Immunol. 2016, 16, 626–638. [Google Scholar] [CrossRef]
- Takahashi, T.; Iwasaki, A. Sex differences in immune responses. Science 2021, 371, 347–348. [Google Scholar] [CrossRef]
- Borchgrevink, C.P.; Cha, J.; Kim, S. Hand washing practices in a college town environment. J. Environ. Health 2013, 75, 18–25. [Google Scholar]
- Suen, L.K.; So, Z.Y.; Yeung, S.K.; Lo, K.Y.; Lam, S.C. Epidemiological investigation on hand hygiene knowledge and behaviour: A cross-sectional study on gender disparity. BMC Public Health 2019, 19, 401. [Google Scholar] [CrossRef]
- Haas, E.J.; Angulo, F.J.; McLaughlin, J.M.; Anis, E.; Singer, S.R.; Khan, F.; Brooks, N.; Smaja, M.; Mircus, G.; Pan, K.; et al. Impact and effectiveness of mRNA BNT162b2 vaccine against SARS-CoV-2 infections and COVID-19 cases, hospitalisations, and deaths following a nationwide vaccination campaign in Israel: An observational study using national surveillance data. Lancet 2021, 397, 1819–1829. [Google Scholar] [CrossRef] [PubMed]
- Chemaitelly, H.; Yassine, H.M.; Benslimane, F.M.; Al Khatib, H.A.; Tang, P.; Hasan, M.R.; Malek, J.A.; Coyle, P.; Ayoub, H.H.; Al Kanaani, Z.; et al. mRNA-1273 COVID-19 vaccine effectiveness against the B. 1.1. 7 and B. 1.351 variants and severe COVID-19 disease in Qatar. Nat. Med. 2021, 27, 1614–1621. [Google Scholar] [CrossRef] [PubMed]
- Chemaitelly, H.; Tang, P.; Hasan, M.R.; AlMukdad, S.; Yassine, H.M.; Benslimane, F.M.; Al Khatib, H.A.; Coyle, P.; Ayoub, H.H.; Al Kanaani, Z.; et al. Waning of BNT162b2 vaccine protection against SARS-CoV-2 infection in Qatar. N. Engl. J. Med. 2021, 385, e83. [Google Scholar] [CrossRef] [PubMed]
- Biggs, A.T.; Littlejohn, L.F. How Asymptomatic Transmission Influences Mitigation and Suppression Strategies during a Pandemic. Risk Anal. 2021. [Google Scholar] [CrossRef]




| Characteristics | SARS-CoV-2 Infection | Vaccination | ||||||||||||||||||
|---|---|---|---|---|---|---|---|---|---|---|---|---|---|---|---|---|---|---|---|---|
| April to June | July | April to June | July | |||||||||||||||||
| Controls | Cases | Controls | Cases | Unvaccinated | Partially vaccinated | Fully vaccinated | Unvaccinated | Partially vaccinated | Fully vaccinated | |||||||||||
| Total population | 35,780 | 3578 | 47,060 | 4706 | 33,696 | 3549 | 2113 | 43,085 | 5669 | 3012 | ||||||||||
| Age, mean (SD), years | 39.3 | (16.8) | 39.2 | (16.8) | 36.9 | (16.9) | 36.8 | (17.1) | 39.3 | (16.8) | 39.7 | (16.6) | 39.9 | (16.7) | 36.8 | (17.0) | 37.9 | (16.4) | 38.2 | (16.3) |
| Age group, n (%), years | ||||||||||||||||||||
| 0–9 | 1260 | (3.5) | 126 | (3.5) | 2360 | (5.0) | 236 | (5.0) | 1386 | (4.1) | 0 | (0.0) | 0 | (0.0) | 2596 | (6.0) | 0 | (0.0) | 0 | (0.0) |
| 10–19 | 2190 | (6.1) | 219 | (6.1) | 4640 | (9.9) | 464 | (9.9) | 2409 | (7.1) | 0 | (0.0) | 0 | (0.0) | 5099 | (11.8) | 4 | (0.1) | 1 | (0.0) |
| 20–29 | 7440 | (20.8) | 744 | (20.8) | 11,520 | (24.5) | 1152 | (24.5) | 8083 | (24.0) | 59 | (1.7) | 42 | (2.0) | 11,999 | (27.8) | 322 | (5.7) | 351 | (11.7) |
| 30–39 | 8410 | (23.5) | 841 | (23.5) | 8450 | (18.0) | 845 | (18.0) | 7872 | (23.4) | 346 | (9.7) | 1033 | (48.9) | 7666 | (17.8) | 443 | (7.8) | 1186 | (39.4) |
| 40–49 | 6560 | (18.3) | 656 | (18.3) | 8090 | (17.2) | 809 | (17.2) | 6487 | (19.3) | 459 | (12.9) | 270 | (12.8) | 7552 | (17.5) | 867 | (15.3) | 480 | (15.9) |
| 50–59 | 5750 | (16.1) | 575 | (16.1) | 7310 | (15.5) | 731 | (15.5) | 5705 | (16.9) | 522 | (14.7) | 98 | (4.6) | 6927 | (16.1) | 809 | (14.3) | 305 | (10.1) |
| 60–69 | 2450 | (6.8) | 245 | (6.8) | 3330 | (7.1) | 333 | (7.1) | 1181 | (3.5) | 1476 | (41.6) | 38 | (1.8) | 960 | (2.2) | 2558 | (45.1) | 145 | (4.8) |
| 70–79 | 1190 | (3.4) | 119 | (3.4) | 1080 | (2.2) | 108 | (2.2) | 402 | (1.1) | 650 | (18.3) | 257 | (12.2) | 211 | (0.5) | 655 | (11.5) | 322 | (10.8) |
| 80–89 | 440 | (1.2) | 44 | (1.2) | 240 | (0.5) | 24 | (0.5) | 118 | (0.4) | 34 | (1.0) | 332 | (15.7) | 54 | (0.2) | 10 | (0.2) | 200 | (6.6) |
| ≥90 | 90 | (0.3) | 9 | (0.3) | 40 | (0.1) | 4 | (0.1) | 53 | (0.2) | 3 | (0.1) | 43 | (2.0) | 21 | (0.1) | 1 | (0.0) | 22 | (0.7) |
| Sex, n (%) | ||||||||||||||||||||
| Male | 17,940 | (50.1) | 1794 | (50.1) | 23,770 | (50.5) | 2377 | (50.5) | 16,396 | (48.7) | 1715 | (48.3) | 1623 | (76.8) | 21,643 | (50.2) | 2492 | (44.0) | 2012 | (50.5) |
| Female | 17,840 | (49.9) | 1784 | (49.9) | 23,290 | (49.5) | 2329 | (49.5) | 17,300 | (51.3) | 1834 | (51.7) | 490 | (23.2) | 21,442 | (49.8) | 3177 | (56.0) | 1000 | (49.5) |
| Symptom, n (%) | ||||||||||||||||||||
| Symptomatic | 4365 | (12.2) | 1631 | (45.6) | 6006 | (12.8) | 2435 | (51.7) | 5464 | (16.2) | 347 | (9.8) | 185 | (8.8) | 7505 | (17.4) | 586 | (10.3) | 350 | (11.6) |
| Asymptomatic | 31,415 | (87.8) | 1947 | (54.4) | 41,054 | (87.2) | 2271 | (48.3) | 28,232 | (83.8) | 3202 | (90.2) | 1928 | (91.2) | 35,580 | (82.6) | 5083 | (89.7) | 2662 | (88.4) |
| Health care workers, n (%) | ||||||||||||||||||||
| Health care | 140 | (0.4) | 14 | (0.4) | 111 | (0.2) | 10 | (0.2) | 85 | (0.3) | 63 | (1.8) | 6 | (0.3) | 66 | (0.2) | 20 | (0.4) | 35 | (1.2) |
| Non-health care | 35,640 | (99.6) | 3564 | (99.6) | 46,949 | (99.8) | 4696 | (99.8) | 33,611 | (99.7) | 3486 | (98.2) | 2107 | (99.7) | 43,019 | (99.8) | 5649 | (99.6) | 2977 | (98.8) |
| Districts of Seoul, n (%) | ||||||||||||||||||||
| Center Area | 910 | (2.5) | 91 | (2.5) | 1440 | (3.1) | 144 | (3.1) | 849 | (2.5) | 116 | (3.3) | 36 | (1.7) | 1309 | (3.0) | 186 | (3.3) | 89 | (3.0) |
| Northeast Area | 8540 | (23.9) | 854 | (23.9) | 10,610 | (22.5) | 1061 | (22.5) | 7895 | (23.4) | 944 | (26.6) | 555 | (26.3) | 9644 | (22.4) | 1298 | (22.9) | 729 | (24.1) |
| Northwest Area | 640 | (1.8) | 64 | (1.8) | 3380 | (7.2) | 338 | (7.2) | 604 | (1.8) | 62 | (1.7) | 38 | (1.8) | 3209 | (7.4) | 347 | (6.1) | 162 | (5.4) |
| Southeast Area | 18,210 | (50.9) | 1821 | (50.9) | 15,900 | (33.8) | 1590 | (33.8) | 17,380 | (51.6) | 1674 | (47.2) | 977 | (46.2) | 14,941 | (34.7) | 1606 | (28.3) | 943 | (31.3) |
| Southwest Area | 7480 | (20.9) | 748 | (20.9) | 15,730 | (33.4) | 1573 | (33.4) | 6968 | (20.7) | 753 | (21.2) | 507 | (24.0) | 13,982 | (32.5) | 2232 | (39.4) | 1089 | (36.2) |
| April to June Effectiveness, % (OR Value) | July Effectiveness, % (OR Value) | |||||||
|---|---|---|---|---|---|---|---|---|
| Partially vaccinated | Fully vaccinated | Partially vaccinated | Fully vaccinated | |||||
| Age group, years (%) | VE (95% CI) | Odds ratio (95% CI) | VE (95% CI) | Odds ratio (95% CI) | VE (95% CI) | Odds ratio (95% CI) | VE (95% CI) | Odds ratio (95% CI) |
| 20–39 | 49.4 (21.2; 67.5) | 0.506 (0.325; 0.788) | 93.1 (86.1; 96.5) | 0.069 (0.035; 0.139) | 80.3 (67.6; 88.0) | 0.197 (0.120; 0.324) | 63.1 (52.0; 71.7) | 0.369 (0.283; 0.480) |
| 40–59 | 78.1 (66.8; 85.6) | 0.219 (0.144; 0.332) | 97.5 (82.3; 99.7) | 0.025 (0.003; 0.177) | 58.2 (46.9; 67.1) | 0.418 (0.329; 0.531) | 69.0 (54.0; 79.1) | 0.310 (0.209; 0.460) |
| 60–79 | 90.7 (87.3; 93.2) | 0.093 (0.068; 0.127) | 98.6 (90.2; 99.8) | 0.014 (0.002; 0.098) | −1.6 (−27.6; 19.1) | 1.016 (0.809; 1.276) | 55.0 (27.4;72.2) | 0.450 (0.278; 0.726) |
| ≥80 | −242.5 (−62.2; −623.4) | 3.425 (1.622; 7.234) | 97.8 (90.9; 99.5) | 0.022 (0.005; 0.091) | −143.8 (−975.7; 44.8) | 2.438 (0.552; 10.757) | 52.9 (−9.9; 79.8) | 0.471 (0.202; 1.099) |
| Sex | ||||||||
| Male | 65.8 (56.0; 73.4) | 0.342 (0.266; 0.440) | 93.6 (88.7; 96.4) | 0.064 (0.036; 0.113) | 23.4 (10.5; 34.4) | 0.766 (0.656; 0.895) | 50.6 (39.4; 59.8) | 0.458 (0.370; 0.566) |
| Female | 78.5 (70.8; 84.2) | 0.215 (0.158; 0.292) | 100.0 (-) a | 0 (-) a | 33.4 (22.9; 42.5) | 0.666 (0.575; 0.771) | 74.3 (62.2; 82.5) | 0.257 (0.175; 0.378) |
| Symptom | ||||||||
| Symptomatic | 70.0 (57.7; 78.7) | 0.300 (0.213; 0.423) | 93.2 (83.5; 97.2) | 0.068 (0.028; 0.165) | 20.6 (3.8; 34.5) | 0.794 (0.655; 0.962) | 64.5 (51.3; 74.0) | 0.355 (0.260; 0.487) |
| Asymptomatic | 68.0 (59.3; 74.8) | 0.320 (0.252; 0.407) | 94.9 (89.2; 97.6) | 0.051 (0.024; 0.108) | 8.9 (−4.2; 20.3) | 0.911 (0.797; 1.042) | 49.8 (36.5; 60.3) | 0.502 (0.397; 0.635) |
| Total | ||||||||
| 72.3 (66.4; 77.2) | 0.277 (0.228; 0.336) | 95.0 (91.2; 97.2) | 0.050 (0.028; 0.088) | 29.0 (21.1; 36.2) | 0.710 (0.638; 0.789) | 61.1 (53.2; 67.6) | 0.389 (0.324; 0.468) | |
Publisher’s Note: MDPI stays neutral with regard to jurisdictional claims in published maps and institutional affiliations. |
© 2022 by the authors. Licensee MDPI, Basel, Switzerland. This article is an open access article distributed under the terms and conditions of the Creative Commons Attribution (CC BY) license (https://creativecommons.org/licenses/by/4.0/).
Share and Cite
Gim, H.; Oh, S.; Lee, H.; Lee, S.; Seo, H.; Park, Y.; Park, J.-H. Reduction in COVID-19 Vaccine Effectiveness against SARS-CoV-2 Variants in Seoul according to Age, Sex, and Symptoms: A Test-Negative Case-Control Study. Int. J. Environ. Res. Public Health 2022, 19, 16958. https://doi.org/10.3390/ijerph192416958
Gim H, Oh S, Lee H, Lee S, Seo H, Park Y, Park J-H. Reduction in COVID-19 Vaccine Effectiveness against SARS-CoV-2 Variants in Seoul according to Age, Sex, and Symptoms: A Test-Negative Case-Control Study. International Journal of Environmental Research and Public Health. 2022; 19(24):16958. https://doi.org/10.3390/ijerph192416958
Chicago/Turabian StyleGim, Hyerin, Soyoung Oh, Heeda Lee, Seul Lee, Haesook Seo, Yumi Park, and Jae-Hyun Park. 2022. "Reduction in COVID-19 Vaccine Effectiveness against SARS-CoV-2 Variants in Seoul according to Age, Sex, and Symptoms: A Test-Negative Case-Control Study" International Journal of Environmental Research and Public Health 19, no. 24: 16958. https://doi.org/10.3390/ijerph192416958
APA StyleGim, H., Oh, S., Lee, H., Lee, S., Seo, H., Park, Y., & Park, J.-H. (2022). Reduction in COVID-19 Vaccine Effectiveness against SARS-CoV-2 Variants in Seoul according to Age, Sex, and Symptoms: A Test-Negative Case-Control Study. International Journal of Environmental Research and Public Health, 19(24), 16958. https://doi.org/10.3390/ijerph192416958

