Acute Effects of the Interval and Duration of Intermittent Exercise on Arterial Stiffness in Young Men
Abstract
1. Introduction
2. Materials and Methods
2.1. Subject
2.2. Study Design
2.3. Exercise Protocol
2.4. Arterial Stiffness Measurement
2.5. Statistical Analysis
3. Results
3.1. Subject’s Baseline Characteristics
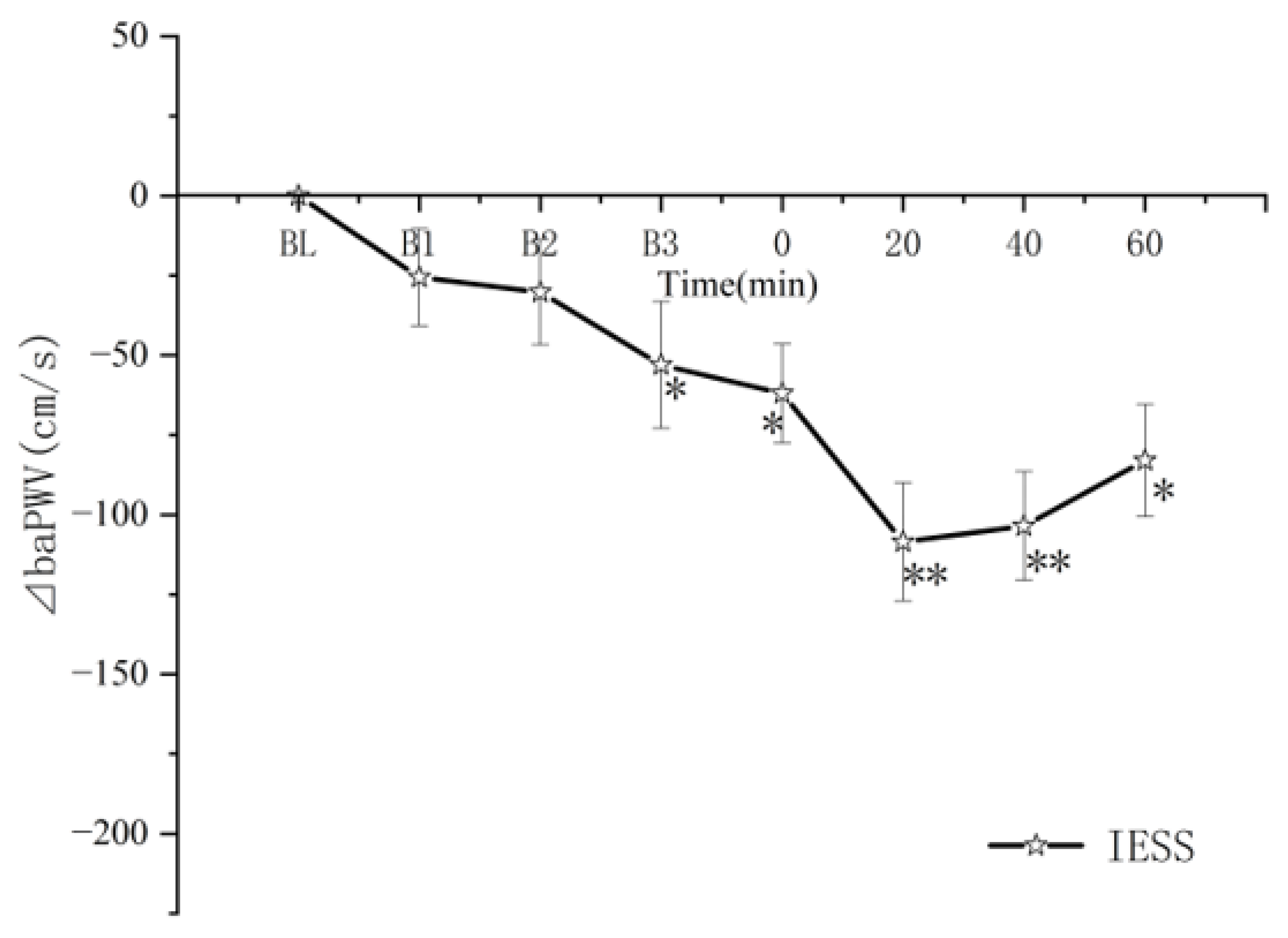
3.2. Arterial Stiffness
4. Discussion
4.1. Effects of Intervals of Intermittent Exercise and Periods of Exercise on Arterial Stiffness
4.2. Effect of the Number of Intervals of Intermittent Exercise on Arterial Stiffness
5. Conclusions
Author Contributions
Funding
Institutional Review Board Statement
Informed Consent Statement
Data Availability Statement
Conflicts of Interest
References
- Andersson, C.; Vasan, R.S. Epidemiology of cardiovascular disease in young individuals. Nat. Rev. Cardiol. 2018, 15, 230–240. [Google Scholar] [CrossRef]
- Chung, T.H.; Shim, J.Y.; Kwon, Y.J.; Lee, Y.J. High triglyceride to high-density lipoprotein cholesterol ratio and arterial stiffness in postmenopausal Korean women. J. Clin. Hypertens. 2019, 21, 399–404. [Google Scholar] [CrossRef]
- Asmar, R.; Benetos, A.; Topouchian, J.; Laurent, P.; Pannier, B.; Brisac, A.M.; Target, R.; Levy, B.I. Assessment of arterial distensibility by automatic pulse wave velocity measurement. Validation and clinical application studies. Hypertension 1995, 26, 485–490. [Google Scholar] [CrossRef]
- Cruickshank, K.; Riste, L.; Anderson, S.G.; Wright, J.S.; Dunn, G.; Gosling, R.G. Aortic pulse-wave velocity and its relationship to mortality in diabetes and glucose intolerance: An integrated index of vascular function? Circulation 2002, 106, 2085–2090. [Google Scholar] [CrossRef]
- Munakata, M. Brachial-ankle pulse wave velocity in the measurement of arterial stiffness: Recent evidence and clinical applications. Curr. Hypertens. Rev. 2014, 10, 49–57. [Google Scholar] [CrossRef]
- Pinheiro, R.P.; Oliveira, C.R.D.; Rodrigues, A.D.S.; Meneses, M.J.M.; Alves, R.J. Relationship between neck circumference, neck-to-height ratio and arterial stiffness in hyperlipidemic patients: A preliminary report. Atherosclerosis 2022, 355, 162. [Google Scholar] [CrossRef]
- Mitchell, G.F.; Hwang, S.J.; Vasan, R.S.; Larson, M.G.; Pencina, M.J.; Hamburg, N.M.; Vita, J.A.; Levy, D.; Benjamin, E.J. Arterial stiffness and cardiovascular events: The Framingham Heart Study. Circulation 2010, 121, 505–511. [Google Scholar] [CrossRef]
- Barnes, J.N.; Pearson, A.G.; Corkery, A.T.; Eisenmann, N.A.; Miller, K.B. Exercise, Arterial Stiffness, and Cerebral Vascular Function: Potential Impact on Brain Health. J. Int. Neuropsychol. Soc. 2021, 27, 761–775. [Google Scholar] [CrossRef]
- Mynard, J.P.; Clarke, M.M. Arterial Stiffness, Exercise Capacity and Cardiovascular Risk. Heart Lung Circ. 2019, 28, 1609–1611. [Google Scholar] [CrossRef]
- Kobayashi, R.; Kasahara, Y.; Ikeo, T.; Asaki, K.; Sato, K.; Matsui, T.; Iwanuma, S.; Ohashi, N.; Hashiguchi, T. Effects of different intensities and durations of aerobic exercise training on arterial stiffness. J. Phys. Ther. Sci. 2020, 32, 104–109. [Google Scholar] [CrossRef][Green Version]
- Hu, J.; Liu, M.; Yang, R.; Wang, L.; Liang, L.; Yang, Y.; Jia, S.; Chen, R.; Liu, Q.; Ren, Y.; et al. Effects of high-intensity interval training on improving arterial stiffness in Chinese female university students with normal weight obese: A pilot randomized controlled trial. J. Transl. Med. 2022, 20, 60. [Google Scholar] [CrossRef]
- Way, K.L.; Lee, A.S.; Twigg, S.M.; Johnson, N.A. The effect of acute aerobic exercise on central arterial stiffness, wave reflections, and hemodynamics in adults with diabetes: A randomized cross-over design. J. Sport Health Sci. 2021, 10, 499–506. [Google Scholar] [CrossRef]
- Calleja-Romero, A.; Vicente-Rodriguez, G.; Garatachea, N. Acute effects of long-distance races on heart rate variability and arterial stiffness: A systematic review and meta-analysis. J. Sports Sci. 2022, 40, 248–270. [Google Scholar] [CrossRef]
- Amorim, S.; Rolnick, N.; Schoenfeld, B.J.; Aagaard, P. Low-intensity resistance exercise with blood flow restriction and arterial stiffness in humans: A systematic review. Scand J. Med. Sci. Sports 2021, 31, 498–509. [Google Scholar] [CrossRef] [PubMed]
- Hortmann, K.; Boutouyrie, P.; Locatelli, J.C.; de Oliveira, G.H.; Simões, C.F.; de Souza Mendes, V.H.; Reck, H.B.; Okawa, R.T.P.; Lopes, W.A. Acute effects of high-intensity interval training and moderate-intensity continuous training on arterial stiffness in young obese women. Eur. J. Prev. Cardiol. 2021, 28, e7–e10. [Google Scholar] [CrossRef]
- Kanaley, J.A.; Colberg, S.R.; Corcoran, M.H.; Malin, S.K.; Rodriguez, N.R.; Crespo, C.J.; Kirwan, J.P.; Zierath, J.R. Exercise/Physical Activity in Individuals with Type 2 Diabetes: A Consensus Statement from the American College of Sports Medicine. Med. Sci. Sports Exerc. 2022, 54, 353–368. [Google Scholar] [CrossRef]
- Zheng, L.; Zhang, X.; Zhu, W.; Chen, X.; Wu, H.; Yan, S. Acute effects of moderate-intensity continuous and accumulated exercise on arterial stiffness in healthy young men. Eur. J. Appl. Physiol. 2015, 115, 177–185. [Google Scholar] [CrossRef]
- Zhou, Z.; He, Z.; Yuan, M.; Yin, Z.; Dang, X.; Zhu, J.; Zhu, W. Longer rest intervals do not attenuate the superior effects of accumulated exercise on arterial stiffness. Eur. J. Appl. Physiol. 2015, 115, 2149–2157. [Google Scholar] [CrossRef]
- Weintraub, W.S.; Daniels, S.R.; Burke, L.E.; Franklin, B.A.; Goff, D.J.; Hayman, L.L.; Lloyd-Jones, D.; Pandey, D.K.; Sanchez, E.J.; Schram, A.P.; et al. Value of primordial and primary prevention for cardiovascular disease: A policy statement from the American Heart Association. Circulation 2011, 124, 967–990. [Google Scholar] [CrossRef]
- Guimaraes, G.V.; Ciolac, E.G.; Carvalho, V.O.; D’Avila, V.M.; Bortolotto, L.A.; Bocchi, E.A. Effects of continuous vs. interval exercise training on blood pressure and arterial stiffness in treated hypertension. Hypertens Res. 2010, 33, 627–632. [Google Scholar] [CrossRef]
- Wang, H.; Zhang, T.; Zhu, W.; Wu, H.; Yan, S. Acute effects of continuous and interval low-intensity exercise on arterial stiffness in healthy young men. Eur. J. Appl. Physiol. 2014, 114, 1385–1392. [Google Scholar] [CrossRef] [PubMed]
- Garber, C.E.; Blissmer, B.; Deschenes, M.R.; Franklin, B.A.; Lamonte, M.J.; Lee, I.M.; Nieman, D.C.; Swain, D.P. American College of Sports Medicine position stand. Quantity and quality of exercise for developing and maintaining cardiorespiratory, musculoskeletal, and neuromotor fitness in apparently healthy adults: Guidance for prescribing exercise. Med. Sci. Sports Exerc. 2011, 43, 1334–1359. [Google Scholar] [CrossRef] [PubMed]
- Ronsen, O.; Kjeldsen-Kragh, J.; Haug, E.; Bahr, R.; Pedersen, B.K. Recovery time affects immunoendocrine responses to a second bout of endurance exercise. Am. J. Physiol. Cell Physiol. 2002, 283, C1612–C1620. [Google Scholar] [CrossRef] [PubMed]
- Thompson, P.D.; Arena, R.; Riebe, D.; Pescatello, L.S. ACSM’s new preparticipation health screening recommendations from ACSM’s guidelines for exercise testing and prescription, ninth edition. Curr. Sports Med. Rep. 2013, 12, 215–217. [Google Scholar] [CrossRef]
- Zhou, Z.; Hou, L.; Cui, M.; Mourot, L.; Zhu, W. Acute effects of low-volume intermittent versus higher-volume continuous exercise on arterial stiffness in healthy young men. Sci. Rep. 2022, 12, 1749. [Google Scholar] [CrossRef]
- Holmstrup, M.; Fairchild, T.; Keslacy, S.; Weinstock, R.; Kanaley, J. Multiple short bouts of exercise over 12-h period reduce glucose excursions more than an energy-matched single bout of exercise. Metabolism 2014, 63, 510–519. [Google Scholar] [CrossRef]
- Murphy, M.H.; Lahart, I.; Carlin, A.; Murtagh, E. The Effects of Continuous Compared to Accumulated Exercise on Health: A Meta-Analytic Review. Sports Med. 2019, 49, 1585–1607. [Google Scholar] [CrossRef]
- Hasegawa, N.; Fujie, S.; Horii, N.; Miyamoto-Mikami, E.; Tsuji, K.; Uchida, M.; Hamaoka, T.; Tabata, I.; Iemitsu, M. Effects of Different Exercise Modes on Arterial Stiffness and Nitric Oxide Synthesis. Med. Sci. Sports Exerc. 2018, 50, 1177–1185. [Google Scholar] [CrossRef]
- Siasos, G.; Athanasiou, D.; Terzis, G.; Stasinaki, A.; Oikonomou, E.; Tsitkanou, S.; Kolokytha, T.; Spengos, K.; Papavassiliou, A.G.; Tousoulis, D. Acute effects of different types of aerobic exercise on endothelial function and arterial stiffness. Eur. J. Prev. Cardiol. 2016, 23, 1565–1572. [Google Scholar] [CrossRef]
- Kollet, D.P.; Marenco, A.B.; Bellé, N.L.; Barbosa, E.; Boll, L.; Eibel, B.; Waclawovsky, G.; Lehnen, A.M. Aerobic exercise, but not isometric handgrip exercise, improves endothelial function and arterial stiffness in patients with myocardial infarction undergoing coronary intervention: A randomized pilot study. BMC Cardiovasc. Disord. 2021, 21, 101. [Google Scholar] [CrossRef]
- Zdrenghea, D.; Bodizs, G.; Ober, M.C.; Ilea, M. Ischemic preconditioning by repeated exercise tests involves nitric oxide up-regulation. Rom. J. Int. Med. 2003, 41, 137–144. [Google Scholar]
- Rodrigues, I.B.; Armstrong, J.J.; Adachi, J.D.; MacDermid, J.C. Facilitators and barriers to exercise adherence in patients with osteopenia and osteoporosis: A systematic review. Osteoporos. Int. 2017, 28, 735–745. [Google Scholar] [CrossRef] [PubMed]






| Value (Mean ± SE) | |
|---|---|
| Age (years) | 20.4 ± 0.4 |
| Height (cm) | 178.5 ± 2.1 |
| Weight (kg) | 68.5 ± 4.5 |
| BMI (kg/m2) | 23.1 ± 3.3 |
| Rest heart rate (beats/min) | 62.3 ± 0.9 |
| Systolic BP (mmHg) | 115.9 ± 8.3 |
| Diastolic BP (mmHg) | 61.5 ± 5.1 |
| baPWV (cm/s) | 1028.3 ± 105.5 |
Publisher’s Note: MDPI stays neutral with regard to jurisdictional claims in published maps and institutional affiliations. |
© 2022 by the authors. Licensee MDPI, Basel, Switzerland. This article is an open access article distributed under the terms and conditions of the Creative Commons Attribution (CC BY) license (https://creativecommons.org/licenses/by/4.0/).
Share and Cite
Ren, J.; Xiao, H.; Wang, P. Acute Effects of the Interval and Duration of Intermittent Exercise on Arterial Stiffness in Young Men. Int. J. Environ. Res. Public Health 2022, 19, 16847. https://doi.org/10.3390/ijerph192416847
Ren J, Xiao H, Wang P. Acute Effects of the Interval and Duration of Intermittent Exercise on Arterial Stiffness in Young Men. International Journal of Environmental Research and Public Health. 2022; 19(24):16847. https://doi.org/10.3390/ijerph192416847
Chicago/Turabian StyleRen, Jianchang, Haili Xiao, and Ping Wang. 2022. "Acute Effects of the Interval and Duration of Intermittent Exercise on Arterial Stiffness in Young Men" International Journal of Environmental Research and Public Health 19, no. 24: 16847. https://doi.org/10.3390/ijerph192416847
APA StyleRen, J., Xiao, H., & Wang, P. (2022). Acute Effects of the Interval and Duration of Intermittent Exercise on Arterial Stiffness in Young Men. International Journal of Environmental Research and Public Health, 19(24), 16847. https://doi.org/10.3390/ijerph192416847

