Quality of Life and Mood Status Disturbances in Cohabitants of Patients with Alopecia Areata: A Cross-Sectional Study in a Spanish Population
Abstract
1. Introduction
2. Materials and Methods
2.1. Variables of Interest
2.1.1. Main Variables
- The severity of Alopecia Tool II (SALT II): It was used to assess the disease severity by means of the percentage of the scalp affected by AA [13].
- Other disease characteristics such as the age of onset, disease duration, and treatments being used, were collected.
- Dermatology Life Quality Index (DLQ) was the collected skin quality of life marker. It includes 10 questions on a Likert scale from 0 to 3 each, with a final punctuation of 0 meaning no affectation, and 30 meaning the poorest quality of life [14].
- Family Dermatology Life Quality Index (FDLQI) was considered as the marker of cohabitant’s quality of life. It includes 10 questions on a Likert scale from 0 to 3 each, with a final punctuation of 0 meaning no affectation, and 30 meaning the poorest quality of life [15].
- Hospital Anxiety and Depression Scale (HADS) was used to assess the presence of anxiety and depression symptoms. It includes 14 items, which are scored in a adapted Likert scale, with 7 questions related to anxiety and 7 questions related to depression. A score ≥8 on any of the subscales was considered as the cut-off point for anxiety or depression, respectively [18].
- International Index of Erectile Function (IIEF-5) [19] and Female Sexual Function Index (FSFI-6) [20] questionnaires were employed to determine the presence of sexual dysfunction. IIEF-5 loss of sexual function in males, with ≤21 points being considered as an impairment on sexual function. The FSFI-6 evaluates female sexual impairment with scores ≤19 being considered as indicative of sexual dysfunction.
- Numeric Rating Scale (NRS) for sexual impairment was employed in a scale from 1 to 10 to detect the degree of sexual dysfunction associated with AA, as it has been previously reported [21].
2.1.2. Other Variables
2.2. Statistical Analysis
3. Results
3.1. Sociodemographic and Clinical Characteristics of the Sample
3.1.1. Patient’s Characteristics
3.1.2. Cohabitant’s Characteristics
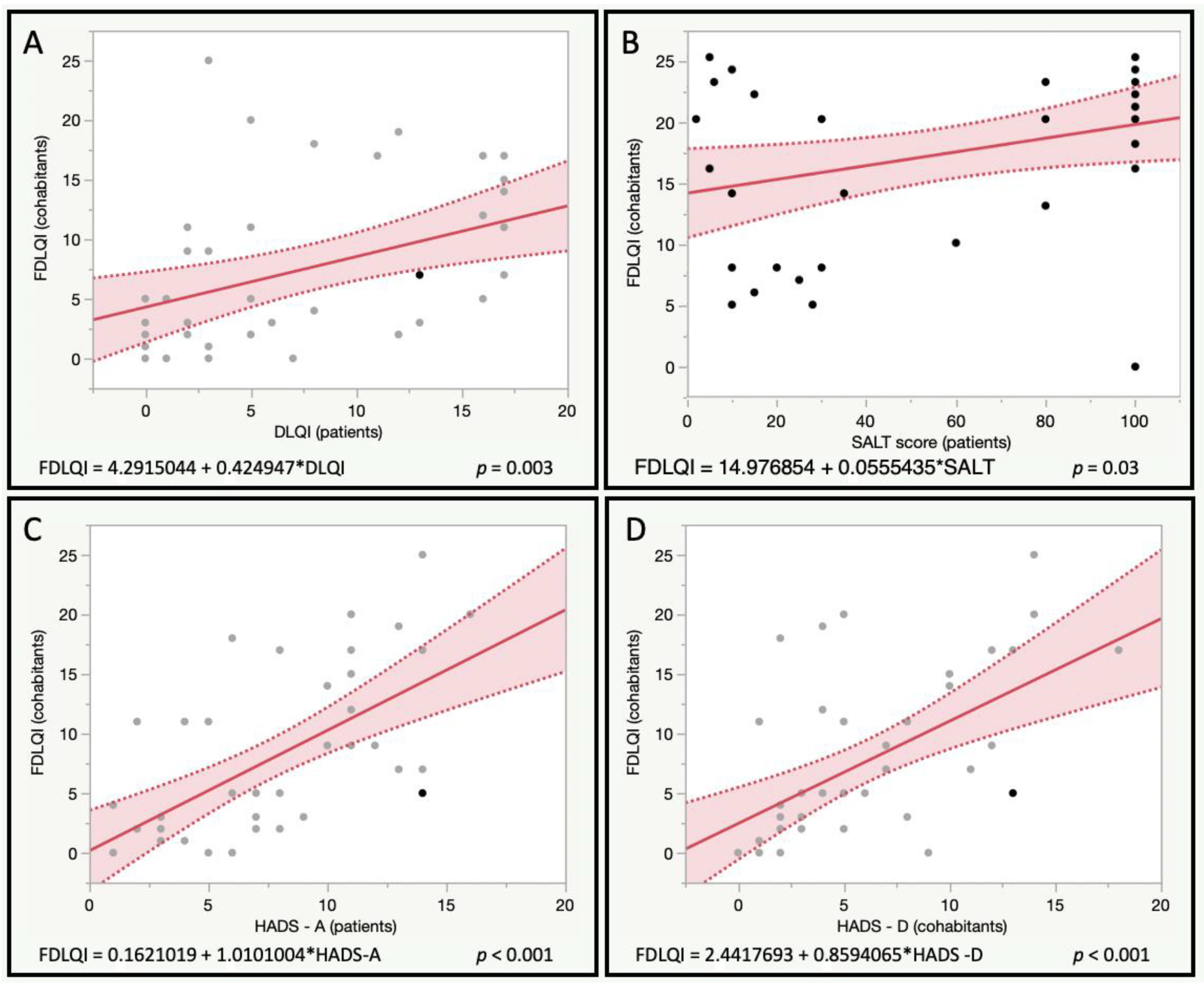
3.2. Analysis of the Impact of Patient’s Quality-of-Life Indexes on Quality-of-Life Scores, Emotional Status and Sexual Function in Cohabitants
3.3. Analysis of the Impact of Disease Severity on Quality-of-Life Scores, Emotional Status and Sexual Function in Cohabitants
3.4. Analysis of the Impact of Disease Duration on Quality-of-Life Scores, Emotional Status and Sexual Function in Cohabitants
3.5. Analysis of the Impact of Patient’s Emotional Status on Quality-of-Life Indexes, Emotional Status and Sexual Function in Cohabitants
4. Discussion
5. Conclusions
Author Contributions
Funding
Institutional Review Board Statement
Informed Consent Statement
Data Availability Statement
Acknowledgments
Conflicts of Interest
References
- Dainichi, T.; Kabashima, K. Alopecia areata: What’s new in epidemiology, pathogenesis, diagnosis, and therapeutic options? J. Dermatol. Sci. 2017, 1, 3–12. [Google Scholar] [CrossRef]
- Simakou, T.; Butcher, J.P.; Reid, S.; Henriquez, F.L. Alopecia areata: A multifactorial autoimmune condition. J. Autoimmun. 2019, 98, 74–85. [Google Scholar] [CrossRef] [PubMed]
- Sánchez-Díaz, M.; Montero-Vilchez, T.; Bueno-Rodriguez, A.; Molina-Leyva, A.; Arias-Santiago, S. Alopecia Areata and Dexamethasone Mini-Pulse Therapy, A Prospective Cohort: Real World Evidence and Factors Related to Successful Response. J. Clin. Med. 2022, 11, 1694. [Google Scholar] [CrossRef] [PubMed]
- Phan, K.; Ramachandran, V.; Sebaratnam, D.F. Methotrexate for alopecia areata: A systematic review and meta-analysis. J. Am. Acad. Dermatol. 2019, 80, 120–127.e2. [Google Scholar] [CrossRef] [PubMed]
- Sanchez-Diaz, M.; Diaz-Calvillo, P.; Rodriguez-Pozo, J.-A.; Tercedor-Sánchez, J.; Cantudo-Cuenca, M.-R.; Molina-Leyva, A.; Arias-Santiago, S. Tofacitinib for Treatment of Alopecia Areata: Real-world Evidence and Factors Associated with Therapeutic Response. Acta Derm. Venereol. 2022, 102, adv00736. [Google Scholar] [CrossRef]
- Rencz, F.; Gulácsi, L.; Péntek, M.; Wikonkál, N.; Baji, P.; Brodszky, V. Alopecia areata and health-related quality of life: A systematic review and meta-analysis. Br. J. Dermatol. 2016, 175, 561–571. [Google Scholar] [CrossRef]
- Ruiz-Doblado, S.; Carrizosa, A.; García-Hernández, M.J. Alopecia areata: Psychiatric comorbidity and adjustment to illness. Int. J. Dermatol. 2003, 42, 434–437. [Google Scholar] [CrossRef]
- Sellami, R.; Masmoudi, J.; Ouali, U.; Mnif, L.; Amouri, M.; Turki, H.; Jaoua, A. The relationship between alopecia areata and alexithymia, anxiety and depression: A case-control study. Indian J. Dermatol. 2014, 59, 421. [Google Scholar] [CrossRef]
- Vélez-Muñiz, R.D.C.; Peralta-Pedrero, M.L.; Jurado-Santa Cruz, F.; Morales-Sánchez, M.A. Psychological Profile and Quality of Life of Patients with Alopecia Areata. Ski. Appendage Disord. 2019, 5, 293–298. [Google Scholar] [CrossRef]
- Martínez-García, E.; Arias-Santiago, S.; Herrera-Acosta, E.; Affleck, A.; Herrera-Ceballos, E.; Buendía-Eisman, A. Quality of Life of Cohabitants of People Living with Acne. Acta Derm. Venereol. 2020, 100, adv00290. [Google Scholar] [CrossRef]
- Martínez-García, E.; Arias-Santiago, S.; Valenzuela-Salas, I.; Garrido-Colmenero, C.; García-Mellado, V.; Buendía-Eisman, A. Quality of life in persons living with psoriasis patients. J. Am. Acad. Dermatol.. 2014, 71, 302–307. [Google Scholar] [CrossRef] [PubMed]
- Ramos-Alejos-Pita, C.; Arias-Santiago, S.; Molina-Leyva, A. Quality of Life in Cohabitants of Patients with Hidradenitis Suppurativa: A Cross-sectional Study. Int. J. Environ. Res. Public Health. 2020, 17, 6000. [Google Scholar] [CrossRef] [PubMed]
- Olsen, E.A.; Canfield, D. SALT II: A new take on the Severity of Alopecia Tool (SALT) for determining percentage scalp hair loss. J. Am. Acad. Dermatol. 2016, 75, 1268–1270. [Google Scholar] [CrossRef] [PubMed]
- Finlay, A.Y.; Khan, G.K. Dermatology Life Quality Index (DLQI)--a simple practical measure for routine clinical use. Clin. Exp. Dermatol. 1994, 19, 210–216. [Google Scholar] [CrossRef] [PubMed]
- Basra, M.K.A.; Sue-Ho, R.; Finlay, A.Y. The Family Dermatology Life Quality Index: Measuring the secondary impact of skin disease. Br. J. Dermatol. 2007, 156, 528–538. [Google Scholar] [CrossRef] [PubMed]
- Alcaraz, S.; Hidalgo, M.D.; Godoy, C.; Fernandez, E. Spanish Validation of The Type D Personality Scale (DS14). Behav. Psychol. Conduct. 2018, 26, 195. [Google Scholar]
- Denollet, J. DS14: Standard assessment of negative affectivity, social inhibition, and Type D personality. Psychosom. Med. 2005, 67, 89–97. [Google Scholar] [CrossRef] [PubMed]
- Zigmond, A.S.; Snaith, R.P. The hospital anxiety and depression scale. Acta Psychiatr. Scand. 1983, 67, 361–370. [Google Scholar] [CrossRef] [PubMed]
- Rosen, R.C.; Cappelleri, J.C.; Smith, M.D.; Lipsky, J.; Peña, B.M. Development and evaluation of an abridged, 5-item version of the International Index of Erectile Function (IIEF-5) as a diagnostic tool for erectile dysfunction. Int. J. Impot. Res. 1999, 11, 319–326. [Google Scholar] [CrossRef] [PubMed]
- Isidori, A.M.; Pozza, C.; Esposito, K.; Giugliano, D.; Morano, S.; Vignozzi, L.; Corona, G.; Lenzi, A.; Jannini, E.A. Development and validation of a 6-item version of the female sexual function index (FSFI) as a diagnostic tool for female sexual dysfunction. J. Sex Med. 2010, 7, 1139–1146. [Google Scholar] [CrossRef] [PubMed]
- Cuenca-Barrales, C.; Molina-Leyva, A. Risk Factors of Sexual Dysfunction in Patients with Hidradenitis Suppurativa: A Cross-Sectional Study. Dermatology 2020, 236, 37–45. [Google Scholar] [CrossRef] [PubMed]
- Villasante Fricke, A.C.; Miteva, M. Epidemiology and burden of alopecia areata: A systematic review. Clin. Cosmet. Investig. Dermatol. 2015, 8, 397–403. [Google Scholar] [CrossRef]
- Shakoei, S.; Torabimirzaee, A.; Saffarian, Z.; Abedini, R. Sleep disturbance in alopecia areata: A cross-sectional study. Heal. Sci. Reports. 2022, 5, e576. [Google Scholar] [CrossRef]
- López-Vico, M.; Sánchez-Capilla, A.D.; Redondo-Cerezo, E. Quality of Life in Cohabitants of Patients Suffering Inflammatory Bowel Disease: A Cross-Sectional Study. Int. J. Environ. Res. Public Health. 2021, 19, 115. [Google Scholar] [CrossRef] [PubMed]
- Sánchez-Díaz, M.; Salazar-Nievas, M.-C.; Molina-Leyva, A.; Arias-Santiago, S. The Burden on Cohabitants of Patients with Chronic Spontaneous Urticaria: A Cross-Sectional Study. J. Clin. Med. 2022, 11, 3228. [Google Scholar] [CrossRef] [PubMed]

| Variables Patients (N = 42) | |||||
|---|---|---|---|---|---|
| Socio-demographic features | |||||
| Age (years) | 40.59 (SD 13.62) | Occupation | Employed | 57.1% (24/42) | |
| Unemployed | 42.9% (18/42) | ||||
| Sex (%) | Male: | 21.4% (9/42) | Educational level | No studies or compulsory education | 28.6% (12/42) |
| Female: | 78.6% (33/42) | Professional or university studies | 71.4% (30/42) | ||
| Disease characteristics | |||||
| Disease duration (years) | 10.95 (SD 11.19) | SALT score | 57.45 (SD 41.62) | ||
| Disease duration | <10 years | 64.3% (27/42) | Current treatment for AA | No treatment/topical/ intralesional treatments | 71.4% (30/42) |
| >10 years | 35.7% (15/42) | Oral corticosteroids | 16.7% (7/42) | ||
| Immunosuppressive agents/JAK inhibitors | 11.90% (5/42) | ||||
| Quality of life indicators | |||||
| DLQI | 8.16 (SD 7.19) | DS14 (% of positive test) | 35.7% (15/42) | ||
| HADS Depression (% of positive test) | 73.8% (31/42) | HADS Anxiety (% of positive test) | 47.6% (20/42) | ||
| FSFI (% of female sexual dysfunction) | 78.8% (26/33) | IIEF (% of male sexual dysfunction) | 33.3% (3/9) | ||
| Variables Cohabitants (N = 42) | |||||
|---|---|---|---|---|---|
| Socio-demographic features | |||||
| Age (years) | 46.76 (SD 12.10) | Occupation | Employed | 69% (29/42) | |
| Unemployed | 31% (13/42) | ||||
| Sex (%) | Male: | 69% (29/42) | Educational level | No studies or compulsory education | 47.6% (20/42) |
| Female: | 31% (13/42) | Professional or university studies | 52.4% (22/42) | ||
| Quality of life indicators | |||||
| FDLQI | 7.76 (SD 6.87) | DS14 (% of positive test) | 4.7% (2/42) | ||
| HADS Depression (% of positive test) | 11.9% (5/42) | HADS Anxiety (% of positive test) | 14.28% (6/42) | ||
| FSFI (% of female sexual dysfunction) | 60% (9/15) | IIEF (% of male sexual dysfunction) | 50% (15/30) | ||
| Factors | Patient DLQI | Patient SALT Score | Patient Disease Duration | Patient Anxiety (HADS-A) | Patient Depression (HADS-D) | |||||
|---|---|---|---|---|---|---|---|---|---|---|
| Mean/Beta | p Value | Mean/Beta | p Value | Mean/Beta | p Value | Mean/Beta | p Value | Mean/Beta | p Value | |
| FDLQI | 0.42 (SE 0.13) | 0.003 * | 0.05 (SE 0.02) | 0.03 | 0.11 (SE 0.09) | 0.21 | 1.01 (SE 0.19) | <0.001 * | 0.85 (SE 0.19) | <0.01 |
| Cohabitant Anxiety (HADS-A) | 0.17 (SE 0.08) | 0.03 | 0.04 (SE 0.01) | 0.002 * | 0.03 (SE 0.05) | 0.51 | 0.32 (SE 0.13) | 0.02 | 0.42 (SE 0.11) | <0.001 * |
| Cohabitant Depression (HADS-D) | 0.09 (SE 0.08) | 0.24 | 0.04 (SE 0.01) | 0.05 | 0.02 (SE 0.05) | 0.66 | 0.19 (SE 0.13) | 0.14 | 0.41 (SE 0.11) | <0.001 * |
| Cohabitant DS14 score | −0.24 (SE 0.24) | 0.31 | −0.06 (SE 0.04) | 0.14 | 0.09 (SE 0.15) | 0.53 | −0.29 (SE 0.40) | 0.47 | −0.05 (SE 0.39) | 0.89 |
| Cohabitant NRS for sexual impairment | 0.21 (SD 0.06) | 0.001 * | 0.01 (SD 0.01) | 0.37 | 0.09 (SE 0.04) | 0.02 | 0.33 (SE 0.10) | 0.002 | 0.37 (SE 0.09) | 0.002 |
| Male cohabitant Sexual impairment index (Men—IIEF) | −0.01 (SD 0.10) | 0.88 | 0.02 (SD 0.01) | 0.21 | 0.02 (SE 0.07) | 0.70 | −0.24 (SE 0.l9) | 0.20 | −0.18 (SE 0.16) | 0.27 |
| Female cohabitant sexual impairment index (Women—FSFI) | −0.27 (SD 0.64) | 0.68 | −0.04 (SD 0.07) | 0.61 | −0.25 (SE 0.25) | 0.35 | −1.13 (SE 0.57) | 0.08 | −0.92 (SE 0.67) | 0.20 |
Publisher’s Note: MDPI stays neutral with regard to jurisdictional claims in published maps and institutional affiliations. |
© 2022 by the authors. Licensee MDPI, Basel, Switzerland. This article is an open access article distributed under the terms and conditions of the Creative Commons Attribution (CC BY) license (https://creativecommons.org/licenses/by/4.0/).
Share and Cite
Sánchez-Díaz, M.; Díaz-Calvillo, P.; Ureña-Paniego, C.-A.; Molina-Leyva, A.; Arias-Santiago, S. Quality of Life and Mood Status Disturbances in Cohabitants of Patients with Alopecia Areata: A Cross-Sectional Study in a Spanish Population. Int. J. Environ. Res. Public Health 2022, 19, 16323. https://doi.org/10.3390/ijerph192316323
Sánchez-Díaz M, Díaz-Calvillo P, Ureña-Paniego C-A, Molina-Leyva A, Arias-Santiago S. Quality of Life and Mood Status Disturbances in Cohabitants of Patients with Alopecia Areata: A Cross-Sectional Study in a Spanish Population. International Journal of Environmental Research and Public Health. 2022; 19(23):16323. https://doi.org/10.3390/ijerph192316323
Chicago/Turabian StyleSánchez-Díaz, Manuel, Pablo Díaz-Calvillo, Clara-Amanda Ureña-Paniego, Alejandro Molina-Leyva, and Salvador Arias-Santiago. 2022. "Quality of Life and Mood Status Disturbances in Cohabitants of Patients with Alopecia Areata: A Cross-Sectional Study in a Spanish Population" International Journal of Environmental Research and Public Health 19, no. 23: 16323. https://doi.org/10.3390/ijerph192316323
APA StyleSánchez-Díaz, M., Díaz-Calvillo, P., Ureña-Paniego, C.-A., Molina-Leyva, A., & Arias-Santiago, S. (2022). Quality of Life and Mood Status Disturbances in Cohabitants of Patients with Alopecia Areata: A Cross-Sectional Study in a Spanish Population. International Journal of Environmental Research and Public Health, 19(23), 16323. https://doi.org/10.3390/ijerph192316323

