How Has Climate Change Driven the Evolution of Rice Distribution in China?
Abstract
1. Introduction
2. Materials and Methods
2.1. Methodology
2.1.1. GEE-Based Data Extraction for Rice Distribution
2.1.2. Landscape Pattern Index
2.1.3. Centre of the Gravity Model
2.1.4. Econometric Model
2.2. Variables
- (1)
- Cumulative temperature. The literature shows that when the ambient temperature is low, a certain degree of warming can promote photosynthesis of the plant leaves, but when the temperature exceeds a certain threshold, photosynthesis of the leaves will be inhibited [41]. In the process of crop growing, the accumulation of plant carbohydrates is inseparable from photosynthesis. Maintaining a certain level of cumulative temperature can promote photosynthesis in plants, resulting in relatively more energy accumulation and, thus, higher yield expectations [42]. Still, when the annual cumulative temperature in the region is too high, plants’ growth rates and respiration levels are relatively higher, and the accumulation of their output may be inhibited. For this reason, an annual cumulative temperature greater than 10 degrees Celsius was chosen as the explanatory variable to characterise temperature differences between counties.
- (2)
- Precipitation. Change in precipitation is an important constraint on the development of food production [43]. It has been shown that the expected level of food production is positively related to the amount of water used in planting. This paper uses annual precipitation as the core explanatory variable to analyse the impact of changes in precipitation conditions on rice production.
- (1)
- Land. Land is one of the most basic factors of crop production. The literature has shown that changes in the soil environment have a much higher impact on crop yield levels than changes in the climate environment [46]. The quality of arable land is a key factor in the level of food production, and the expected level of crop output will increase when the soil environment in which arable land is located is improved. As an important component of the soil, soil organic matter not only contains various nutrients for plant growth, but also regulates the physical and chemical properties of the soil, improves the microbiological environment and soil structure and enhances soil stability [47]. At the same time, the topographical features of arable land may significantly impact the distribution of different crops [48]. The most suitable slope range exists for the crops, and flat ground is conducive to achieving a large-scale and mechanised crop distribution, reducing the overall food production costs and improving food production efficiency, but it also has significant advantages in maintaining water and soil drainage and irrigation. Therefore, this paper selects soil organic matter content, land slope level, the average distance between arable land and rivers and elevation as land condition control variables to control the effect of land environmental conditions on the layout of rice production.
- (2)
- Socio-economic factors. Taking complete account of the heterogeneous impact of differences in socio-economic endowment characteristics across counties on the distribution of rice, this paper uses the average distance of land for rice from roads and railways and the nighttime light index as control variables to offset the impact of differences in locational endowments on the distribution of rice [49].
2.3. Data
2.3.1. Data on Climatic Conditions
2.3.2. Soil Condition Data
2.3.3. Socio-Economic Data
3. Results
3.1. Spatial Pattern and Evolution of Rice Production in China
3.2. Climate Drivers of the Evolution of Rice Distribution in China
3.2.1. Panel Quantile Model Applicability Test Results
3.2.2. Linear Influence of Climatic Factors on the Rice Distribution
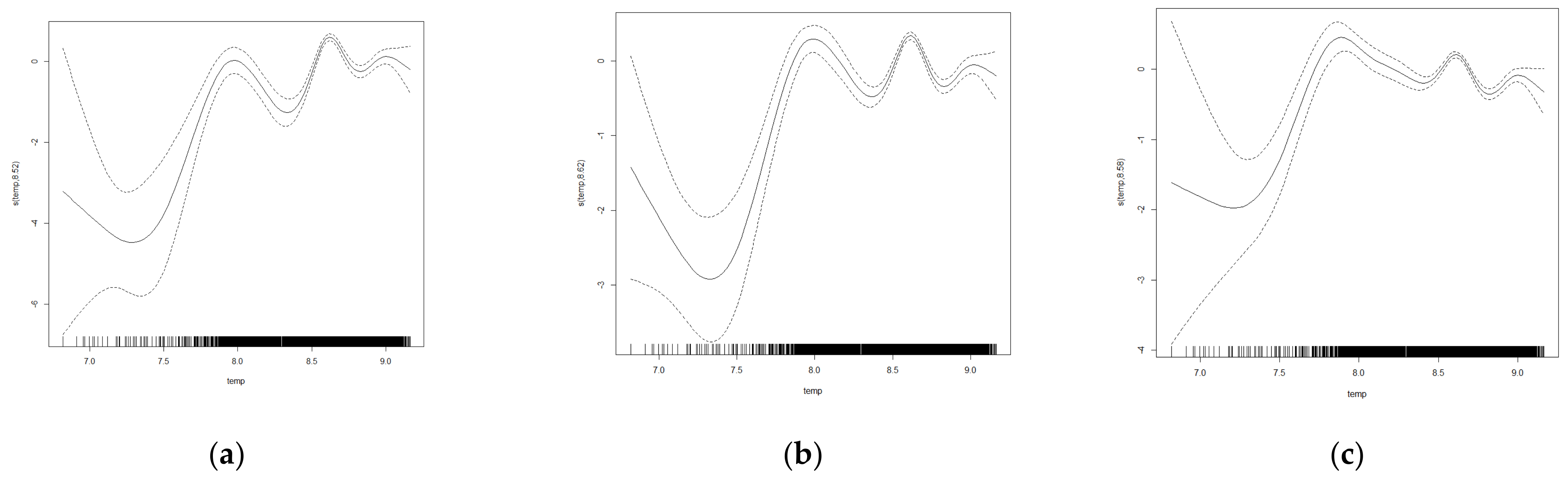
3.2.3. Non-Linear Driving Effects of Climatic Factors on Rice Production
3.3. Prediction of the Evolution of the Rice Distribution in China
4. Conclusions and Policy Implications
Author Contributions
Funding
Institutional Review Board Statement
Informed Consent Statement
Data Availability Statement
Conflicts of Interest
Appendix A
| Model Name | Affiliations | Country | Resolution (Latitude × Longitude) |
|---|---|---|---|
| BCC-CSM2-MR | Beijing Climate Centre (BCC) | China | 1.10°–1.10° |
| FGOALS-f3-L | Institute of Atmospheric Physics, Chinese Academy of Sciences (IAP, CAS) | China | 1.25°–1.00° |
| TaiESM1 | Centre for Environmental Change Research, Academia Sinica, Taiwan | China | 1.25°–0.94° |
| Type of Soil Outline | Soil Organic Matter Content Factor (%) |
|---|---|
| Leach soil | 6.430 |
| Semi-logged soils | 3.086 |
| Calcareous soils | 3.738 |
| Arid soils | 1.547 |
| Desert soil | 0.870 |
| Virgin soil | 1.596 |
| Half water into earth | 2.360 |
| Water into earth | 10.582 |
| Saline soils | 0.880 |
| Man for the earth | 2.096 |
| Alpine soil | 4.553 |
| Ferrous bauxite | 4.242 |
References
- Karl, T.R.; Trenberth, K.E. Modern Global Climate Change. Science 2003, 302, 1719–1723. [Google Scholar] [CrossRef] [PubMed]
- Steiner, J.L.; Briske, D.D.; Brown, D.P.; Rottler, C.M. Vulnerability of Southern Plains Agriculture to Climate Change. Clim. Chang. 2018, 146, 201–218. [Google Scholar] [CrossRef]
- Manandhar, S.; Vogt, D.S.; Perret, S.R.; Kazama, F. Adapting Cropping Systems to Climate Change in Nepal: A Cross-Regional Study of Farmers’ Perception and Practices. Reg. Environ. Chang. 2011, 11, 335–348. [Google Scholar] [CrossRef]
- Wolfe, D.W.; DeGaetano, A.T.; Peck, G.M.; Carey, M.; Ziska, L.H.; Lea-Cox, J.; Kemanian, A.R.; Hoffmann, M.P.; Hollinger, D.Y. Unique Challenges and Opportunities for Northeastern US Crop Production in a Changing Climate. Clim. Chang. 2018, 146, 231–245. [Google Scholar] [CrossRef]
- Shi, Z.; Huang, H.; Wu, Y.; Chiu, Y.-H.; Qin, S. Climate Change Impacts on Agricultural Production and Crop Disaster Area in China. IJERPH 2020, 17, 4792. [Google Scholar] [CrossRef]
- Dong, Z.; Pan, Z.; Wang, S.; An, P.; Zhang, J.; Zhang, J.; Pan, Y.; Huang, L.; Zhao, H.; Han, G.; et al. Effective Crop Structure Adjustment under Climate Change. Ecol. Indic. 2016, 69, 571–577. [Google Scholar] [CrossRef]
- Bandumula, N. Rice Production in Asia: Key to Global Food Security. Proc. Natl. Acad. Sci. India Sect. B Biol. Sci. 2018, 88, 1323–1328. [Google Scholar] [CrossRef]
- Frolking, S.; Qiu, J.; Boles, S.; Xiao, X.; Liu, J.; Zhuang, Y.; Li, C.; Qin, X. Combining Remote Sensing and Ground Census Data to Develop New Maps of the Distribution of Rice Agriculture in China: Paddy Rice Cropland Maps for China. Glob. Biogeochem. Cycles 2002, 16, 38-1–38-10. [Google Scholar] [CrossRef]
- He, Y.; Dong, J.; Liao, X.; Sun, L.; Wang, Z.; You, N.; Li, Z.; Fu, P. Examining Rice Distribution and Cropping Intensity in a Mixed Single- and Double-Cropping Region in South China Using All Available Sentinel 1/2 Images. Int. J. Appl. Earth Obs. Geoinf. 2021, 101, 102351. [Google Scholar] [CrossRef]
- Wang, L.; Gao, S.; Yin, X.; Yu, X.; Luan, L. Arsenic Accumulation, Distribution and Source Analysis of Rice in a Typical Growing Area in North China. Ecotoxicol. Environ. Saf. 2019, 167, 429–434. [Google Scholar] [CrossRef]
- Zhou, M.; Wang, H. Potential Impact of Future Climate Change on Crop Yield in Northeastern China. Adv. Atmos. Sci. 2015, 32, 889–897. [Google Scholar] [CrossRef]
- Gillard, R.; Gouldson, A.; Paavola, J.; Van Alstine, J. Transformational Responses to Climate Change: Beyond a Systems Perspective of Social Change in Mitigation and Adaptation. WIREs Clim. Chang. 2016, 7, 251–265. [Google Scholar] [CrossRef]
- Miao, R.; Khanna, M.; Huang, H. Responsiveness of Crop Yield and Acreage to Prices and Climate. Am. J. Agric. Econ. 2016, 98, 191–211. [Google Scholar] [CrossRef]
- Maciejczak, M.; Mikiciuk, J. Climate Change Impact on Viticulture in Poland. IJCCSM 2019, 11, 254–264. [Google Scholar] [CrossRef]
- Chen, C.-C.; McCarl, B.A.; Schimmelpfennig, D.E. Yield Variability as Influenced by Climate: A Statistical Investigation. Clim. Chang. 2004, 66, 239–261. [Google Scholar] [CrossRef]
- Akhtar, R.; Masud, M.M. Dynamic Linkages between Climatic Variables and Agriculture Production in Malaysia: A Generalized Method of Moments Approach. Environ. Sci. Pollut. Res. 2022, 29, 41557–41566. [Google Scholar] [CrossRef]
- Gul, A.; Chandio, A.A.; Siyal, S.A.; Rehman, A.; Xiumin, W. How Climate Change Is Impacting the Major Yield Crops of Pakistan? An Exploration from Long- and Short-Run Estimation. Environ. Sci. Pollut. Res. 2022, 29, 26660–26674. [Google Scholar] [CrossRef]
- Dai, A.; Zhao, T.; Chen, J. Climate Change and Drought: A Precipitation and Evaporation Perspective. Curr. Clim. Chang. Rep. 2018, 4, 301–312. [Google Scholar] [CrossRef]
- Chen, Y.; Zhang, Z.; Tao, F. Impacts of Climate Change and Climate Extremes on Major Crops Productivity in China at a Global Warming of 1.5 and 2.0 °C. Earth Syst. Dyn. 2018, 9, 543–562. [Google Scholar] [CrossRef]
- Wang, C.; Zhang, Z.; Zhou, M.; Zhang, L.; Yin, P.; Ye, W.; Chen, Y. Nonlinear Relationship between Extreme Temperature and Mortality in Different Temperature Zones: A Systematic Study of 122 Communities across the Mainland of China. Sci. Total Environ. 2017, 586, 96–106. [Google Scholar] [CrossRef]
- Liu, Z.; Yang, P.; Tang, H.; Wu, W.; Zhang, L.; Yu, Q.; Li, Z. Shifts in the Extent and Location of Rice Cropping Areas Match the Climate Change Pattern in China during 1980–2010. Reg. Environ. Chang. 2015, 15, 919–929. [Google Scholar] [CrossRef]
- Zhao, H.; Fu, Y.H.; Wang, X.; Zhao, C.; Zeng, Z.; Piao, S. Timing of Rice Maturity in China Is Affected More by Transplanting Date than by Climate Change. Agric. For. Meteorol. 2016, 216, 215–220. [Google Scholar] [CrossRef]
- He, W.; Liu, Y.; Sun, H.; Taghizadeh-Hesary, F. How Does Climate Change Affect Rice Yield in China? Agriculture 2020, 10, 441. [Google Scholar] [CrossRef]
- Xia, T.; Wu, W.; Zhou, Q.; Yu, Q.; Verburg, P.H.; Yang, P.; Lu, Z.; Tang, H. Spatio-Temporal Changes in the Rice Planting Area and Their Relationship to Climate Change in Northeast China: A Model-Based Analysis. J. Integr. Agric. 2014, 13, 1575–1585. [Google Scholar] [CrossRef]
- Zhang, T.; Zhu, J.; Wassmann, R. Responses of Rice Yields to Recent Climate Change in China: An Empirical Assessment Based on Long-Term Observations at Different Spatial Scales (1981–2005). Agric. For. Meteorol. 2010, 150, 1128–1137. [Google Scholar] [CrossRef]
- Wei, P.; Chai, D.; Lin, T.; Tang, C.; Du, M.; Huang, J. Large-Scale Rice Mapping under Different Years Based on Time-Series Sentinel-1 Images Using Deep Semantic Segmentation Model. ISPRS J. Photogramm. Remote Sens. 2021, 174, 198–214. [Google Scholar] [CrossRef]
- Mutanga, O.; Kumar, L. Google Earth Engine Applications. Remote Sens. 2019, 11, 591. [Google Scholar] [CrossRef]
- Dong, J.; Xiao, X.; Menarguez, M.A.; Zhang, G.; Qin, Y.; Thau, D.; Biradar, C.; Moore, B. Mapping Paddy Rice Planting Area in Northeastern Asia with Landsat 8 Images, Phenology-Based Algorithm and Google Earth Engine. Remote Sens. Environ. 2016, 185, 142–154. [Google Scholar] [CrossRef]
- Chen, N.; Yu, L.; Zhang, X.; Shen, Y.; Zeng, L.; Hu, Q.; Niyogi, D. Mapping Paddy Rice Fields by Combining Multi-Temporal Vegetation Index and Synthetic Aperture Radar Remote Sensing Data Using Google Earth Engine Machine Learning Platform. Remote Sens. 2020, 12, 2992. [Google Scholar] [CrossRef]
- Rudiyanto, F.; Soh, N.C.; Shah, R.M.; Giap, S.G.E.; Setiawan, B.I.; Minasny, B. High-Resolution Mapping of Paddy Rice Extent and Growth Stages across Peninsular Malaysia Using a Fusion of Sentinel-1 and 2 Time Series Data in Google Earth Engine. Remote Sens. 2022, 14, 1875. [Google Scholar] [CrossRef]
- Maiti, A.; Acharya, P.; Sannigrahi, S.; Zhang, Q.; Bar, S.; Chakraborti, S.; Gayen, B.K.; Barik, G.; Ghosh, S.; Punia, M. Mapping Active Paddy Rice Area over Monsoon Asia Using Time-Series Sentinel—2 Images in Google Earth Engine; a Case Study over Lower Gangetic Plain. Geocarto Int. 2022, 1–24. [Google Scholar] [CrossRef]
- Salinero-Delgado, M.; Estévez, J.; Pipia, L.; Belda, S.; Berger, K.; Paredes Gómez, V.; Verrelst, J. Monitoring Cropland Phenology on Google Earth Engine Using Gaussian Process Regression. Remote Sens. 2021, 14, 146. [Google Scholar] [CrossRef] [PubMed]
- O’Neill, R.V.; Krummel, J.R.; Gardner, R.H.; Sugihara, G.; Jackson, B.; DeAngelis, D.L.; Milne, B.T.; Turner, M.G.; Zygmunt, B.; Christensen, S.W.; et al. Indices of Landscape Pattern. Landsc. Ecol. 1988, 1, 153–162. [Google Scholar] [CrossRef]
- Šímová, P.; Gdulová, K. Landscape Indices Behavior: A Review of Scale Effects. Appl. Geogr. 2012, 34, 385–394. [Google Scholar] [CrossRef]
- Quah, D. The Global Economy’s Shifting Centre of Gravity: Global Economy’s Centre of Gravity. Glob. Policy 2011, 2, 3–9. [Google Scholar] [CrossRef]
- Yu, K.; Lu, Z.; Stander, J. Quantile Regression: Applications and Current Research Areas. J. R. Stat. Soc. D 2003, 52, 331–350. [Google Scholar] [CrossRef]
- Granger, C.W.J.; Teräsvirta, T. Modelling Nonlinear Economic Relationships; Advanced Texts in Econometrics; Oxford University Press: Oxford, UK; New York, NY, USA, 1993; ISBN 978-0-19-877319-1. [Google Scholar]
- Xie, Q.; Sun, Q.; Liu, J. Local Weighted Composite Quantile Estimation and Smoothing Parameter Selection for Nonparametric Derivative Function. Econ. Rev. 2020, 39, 215–233. [Google Scholar] [CrossRef]
- Fasiolo, M.; Wood, S.N.; Zaffran, M.; Nedellec, R.; Goude, Y. Fast Calibrated Additive Quantile Regression. J. Am. Stat. Assoc. 2021, 116, 1402–1412. [Google Scholar] [CrossRef]
- Ben Taieb, S.; Huser, R.; Hyndman, R.J.; Genton, M.G. Forecasting Uncertainty in Electricity Smart Meter Data by Boosting Additive Quantile Regression. IEEE Trans. Smart Grid 2016, 7, 2448–2455. [Google Scholar] [CrossRef]
- Schreiber, U.; Berry, J.A. Heat-Induced Changes of Chlorophyll Fluorescence in Intact Leaves Correlated with Damage of the Photosynthetic Apparatus. Planta 1977, 136, 233–238. [Google Scholar] [CrossRef]
- Dusenge, M.E.; Duarte, A.G.; Way, D.A. Plant Carbon Metabolism and Climate Change: Elevated CO 2 and Temperature Impacts on Photosynthesis, Photorespiration and Respiration. New Phytol. 2019, 221, 32–49. [Google Scholar] [CrossRef] [PubMed]
- Cooper, P.J.M.; Dimes, J.; Rao, K.P.C.; Shapiro, B.; Shiferaw, B.; Twomlow, S. Coping Better with Current Climatic Variability in the Rain-Fed Farming Systems of Sub-Saharan Africa: An Essential First Step in Adapting to Future Climate Change? Agric. Ecosyst. Environ. 2008, 126, 24–35. [Google Scholar] [CrossRef]
- Shibu, M.E.; Leffelaar, P.A.; Van Keulen, H.; Aggarwal, P.K. Quantitative Description of Soil Organic Matter Dynamics—A Review of Approaches with Reference to Rice-Based Cropping Systems. Geoderma 2006, 137, 1–18. [Google Scholar] [CrossRef]
- Özkan, B.; Dengiz, O.; Demirağ Turan, İ. Site Suitability Assessment and Mapping for Rice Cultivation Using Multi-Criteria Decision Analysis Based on Fuzzy-AHP and TOPSIS Approaches under Semihumid Ecological Condition in Delta Plain. Paddy Water Environ. 2019, 17, 665–676. [Google Scholar] [CrossRef]
- Yu, Q.; Li, L.; Luo, Q.; Eamus, D.; Xu, S.; Chen, C.; Wang, E.; Liu, J.; Nielsen, D.C. Year Patterns of Climate Impact on Wheat Yields: Year Patterns of Climate Impact on Wheat Yields. Int. J. Clim. 2014, 34, 518–528. [Google Scholar] [CrossRef]
- Wolters, V. Invertebrate Control of Soil Organic Matter Stability. Biol. Fertil. Soils 2000, 31, 1–19. [Google Scholar] [CrossRef]
- Ramankutty, N.; Foley, J.A.; Norman, J.; McSweeney, K. The Global Distribution of Cultivable Lands: Current Patterns and Sensitivity to Possible Climate Change: Cropland Sensitivity to Climate Change. Glob. Ecol. Biogeogr. 2002, 11, 377–392. [Google Scholar] [CrossRef]
- Lin, V.S.; Qin, Y.; Ying, T.; Shen, S.; Lyu, G. Night-Time Economy Vitality Index: Framework and Evidence. Tour. Econ. 2022, 28, 665–691. [Google Scholar] [CrossRef]







| Variable | Description | |
|---|---|---|
| Explained variables | Patch area index for rice | Scale of the rice production system growing in each county |
| Core explanatory variables | Annual cumulative temperature | The cumulative temperatures with greater than 10 degrees Celsius |
| Annual precipitation | The annual cumulative precipitation | |
| Control variables | Soil organic matter | Organic matter as a percentage of dry soil weight |
| River distance | The average distance of arable land to river for each county | |
| Slope of the land | The average slope of arable land for each county | |
| Elevation | The average DEM for each county | |
| Road distance | The average distance of arable land to road for each county | |
| Rail distance | The average distance of arable land to rail for each county | |
| Nighttime Lighting Index | The index of Nighttime lighting |
| Variables | ADF | P |
|---|---|---|
| Patch Area index | −12.067 | 0.01 |
| Higher than 10 degrees Celsius annual cumulative temperature | −13.771 | 0.01 |
| Annual precipitation | −12.76 | 0.01 |
| Explanatory Variables | (1) | (2) | (3) | (4) | ||||||||
|---|---|---|---|---|---|---|---|---|---|---|---|---|
| 25th | 50th | 75th | 25th | 50th | 75th | 25th | 50th | 75th | 25th | 50th | 75th | |
| Constant term | 6.926 *** | 7.515 *** | 7.895 *** | 6.629 *** | 7.895 *** | 8.513 *** | 6.764 *** | 7.418 *** | 7.828 *** | 6.909 *** | 8.055 *** | 8.679 *** |
| (0.073) | (0.057) | (0.054) | (0.256) | (0.200) | (0.205) | (0.078) | (0.052) | (0.054) | (0.318) | (0.263) | (0.242) | |
| Annual cumulative temperature | −0.347 *** | −0.074 | −0.028 | −0.184 *** | −0.039 | 0.029 *** | −0.452 *** | −0.168 *** | −0.108 *** | −0.287 *** | −0.112 ** | −0.061 |
| (0.071) | (0.052) | (0.054) | (0.069) | (0.052) | (0.053) | (0.070) | (0.047) | (0.050) | (0.071) | (0.049) | (0.052) | |
| Annual precipitation | 0.872 *** | 0.515 *** | 0.435 *** | 0.551 *** | 0.348 | 0.242 *** | 0.791 *** | 0.429 *** | 0.337 *** | 0.586 *** | 0.356 *** | 0.275 *** |
| (0.084) | (0.061) | (0.065) | (0.082) | (0.061) | (0.064) | (0.083) | (0.057) | (0.062) | (0.086) | (0.057) | (0.062) | |
| Soil organic matter | −1.850 *** | −1.443 *** | −1.171 *** | −1.897 *** | −1.435 *** | −1.184 *** | ||||||
| (0.083) | (0.074) | (0.075) | (0.071) | (0.066) | (0.063) | |||||||
| River distance | 0.079 *** | 0.068 *** | 0.067 *** | 0.045 *** | 0.037 *** | 0.038 *** | ||||||
| (0.004) | (0.003) | (0.003) | (0.005) | (0.003) | (0.003) | |||||||
| Slope of the land | 0.212 *** | 0.122 *** | 0.079 *** | 0.181 *** | 0.100 *** | 0.057 *** | ||||||
| (0.019) | (0.015) | (0.015) | (0.025) | (0.021) | (0.020) | |||||||
| Elevation | 0.116 *** | 0.118 *** | 0.112 *** | 0.047 *** | 0.047 *** | 0.045 *** | ||||||
| (0.007) | (0.006) | (0.006) | (0.010) | (0.009) | (0.009) | |||||||
| Road distance | 0.078 *** | 0.077 *** | 0.074 *** | 0.072 *** | 0.072 *** | 0.069 *** | ||||||
| (0.006) | (0.004) | (0.004) | (0.006) | (0.005) | (0.004) | |||||||
| Rail distance | 0.114 *** | 0.095 *** | 0.089 *** | 0.092 *** | 0.076 *** | 0.071 *** | ||||||
| (0.007) | (0.005) | (0.005) | (0.007) | (0.005) | (0.005) | |||||||
| Nighttime Lighting Index | −0.036 ** | 0.006 | 0.032 ** | −0.098 *** | −0.073 *** | −0.050 *** | ||||||
| (0.019) | (0.013) | (0.014) | (0.020) | (0.017) | (0.016) | |||||||
| Explanatory Variables | (1) | (2) | (3) | ||||||
|---|---|---|---|---|---|---|---|---|---|
| 25th | 50th | 75th | 25th | 50th | 75th | 25th | 50th | 75th | |
| Constant term | 10.613 *** | 11.607 *** | 12.463 *** | 5.477 *** | 7.635 *** | 9.543 *** | 6.018 *** | 11.414 *** | 15.025 *** |
| (0.414) | (0.286) | (0.249) | (0.854) | (0.550) | (0.466) | (1.376) | (0.974) | (0.724) | |
| Annual cumulative temperature | 0.488 *** | 0.021 | −0.266 *** | ||||||
| (0.147) | (0.107) | (0.079) | |||||||
| Annual precipitation | 0.681 *** | 0.501 *** | 0.335 *** | ||||||
| (0.124) | (0.075) | (0.061) | |||||||
| Soil organic matter | −1.346 *** | −1.014 *** | −0.744 *** | −1.615 *** | −1.246 *** | −0.956 *** | −1.309 *** | −0.820 *** | −0.486 *** |
| (0.144) | (0.102) | (0.084) | (0.161) | (0.101) | (0.086) | (0.142) | (0.101) | (0.077) | |
| River distance | 0.046 *** | 0.036 *** | 0.033 *** | 0.048 *** | 0.038 *** | 0.036 *** | 0.044 *** | 0.039 *** | 0.036 *** |
| (0.006) | (0.004) | (0.003) | (0.007) | (0.004) | (0.003) | (0.006) | (0.004) | (0.003) | |
| Slope of the land | −0.051 | −0.083 *** | −0.109 *** | −0.012 | −0.032 | −0.045 ** | −0.019 | −0.098 *** | −0.154 *** |
| (0.034) | (0.024) | (0.020) | (0.039) | (0.024) | (0.020) | (0.034) | (0.024) | (0.019) | |
| Elevation | 0.117 *** | 0.090 *** | 0.076 *** | 0.142 *** | 0.103 *** | 0.076 *** | 0.093 *** | 0.078 *** | 0.069 *** |
| (0.016) | (0.011) | (0.008) | (0.017) | (0.011) | (0.009) | (0.016) | (0.011) | (0.008) | |
| Road distance | 0.053 *** | 0.061 *** | 0.051 *** | 0.056 *** | 0.065 *** | 0.052 *** | 0.055 *** | 0.061 *** | 0.051 *** |
| (0.008) | (0.006) | (0.004) | (0.009) | (0.006) | (0.005) | (0.008) | (0.006) | (0.004) | |
| Rail distance | 0.047 *** | 0.049 *** | 0.042 *** | 0.060 *** | 0.054 *** | 0.045 *** | 0.050 *** | 0.047 *** | 0.041 *** |
| (0.009) | (0.006) | (0.005) | (0.010) | (0.006) | (0.005) | (0.008) | (0.007) | (0.005) | |
| Nighttime Lighting Index | −0.056 ** | −0.064 *** | −0.073 *** | −0.111 *** | −0.097 *** | −0.087 *** | −0.059 ** | −0.061 *** | −0.076 *** |
| (0.029) | (0.023) | (0.022) | (0.033) | (0.023) | (0.023) | (0.030) | (0.023) | (0.021) | |
| s (annual cumulative temperature) | 8.254 *** | 8.510 *** | 8.550 *** | 8.524 *** | 8.623 *** | 8.583 *** | |||
| s (annual precipitation) | 7.697 *** | 8.066 *** | 7.879 *** | 8.143 *** | 7.764 *** | 7.768 *** | |||
| R2 | 0.263 | 0.248 | 0.221 | 0.217 | 0.223 | 0.179 | 0.192 | 0.221 | 0.179 |
| Deviance explained | 22.70% | 28.60% | 48.30% | 25.10% | 19.60% | 46.40% | 25.90% | 19.90% | 46.50% |
| Climate Factors | 25th | 50th | 75th | |||
|---|---|---|---|---|---|---|
| Effective Range | Impact Effects | Effective Range | Impact Effects | Effective Range | Impact Effects | |
| Temperature accumulation | 2782.935–2918.037 | 0.321–0.341 | 2531.201–3444.651 | 0.195–0.309 | 3202.229–3611.886 | 0.170–0.818 |
| 5403.880–6229.566 | 0.202–0.398 | 5403.88–5941.196 | 0.054–0.063 | 5403.880–5802.056 | 0.066–0.100 | |
| Precipitation | 870.559–1670.085 | 0.128–0.620 | 849.009–1670.085 | 0.125–0.432 | 849.009–1712.451 | 0.082–0.362 |
Publisher’s Note: MDPI stays neutral with regard to jurisdictional claims in published maps and institutional affiliations. |
© 2022 by the authors. Licensee MDPI, Basel, Switzerland. This article is an open access article distributed under the terms and conditions of the Creative Commons Attribution (CC BY) license (https://creativecommons.org/licenses/by/4.0/).
Share and Cite
Wang, G.; Huang, S.; Zhang, Y.; Zhao, S.; Han, C. How Has Climate Change Driven the Evolution of Rice Distribution in China? Int. J. Environ. Res. Public Health 2022, 19, 16297. https://doi.org/10.3390/ijerph192316297
Wang G, Huang S, Zhang Y, Zhao S, Han C. How Has Climate Change Driven the Evolution of Rice Distribution in China? International Journal of Environmental Research and Public Health. 2022; 19(23):16297. https://doi.org/10.3390/ijerph192316297
Chicago/Turabian StyleWang, Guogang, Shengnan Huang, Yongxiang Zhang, Sicheng Zhao, and Chengji Han. 2022. "How Has Climate Change Driven the Evolution of Rice Distribution in China?" International Journal of Environmental Research and Public Health 19, no. 23: 16297. https://doi.org/10.3390/ijerph192316297
APA StyleWang, G., Huang, S., Zhang, Y., Zhao, S., & Han, C. (2022). How Has Climate Change Driven the Evolution of Rice Distribution in China? International Journal of Environmental Research and Public Health, 19(23), 16297. https://doi.org/10.3390/ijerph192316297

