Natural Clay Minerals as Potential Arsenic Sorbents from Contaminated Groundwater: Equilibrium and Kinetic Studies
Abstract
1. Introduction
2. Materials and Methods
2.1. Sample Collection and Preparation
2.2. Basic Properties
2.3. Adsorption of As on Laterite and Kaolinite
2.3.1. Batch Sorption Experiments
2.3.2. Adsorption Kinetics of As
2.4. Post-Adsorption Studies
2.4.1. ATR-FTIR
2.4.2. SEM-EDX
2.5. Arsenic Determination
3. Results and Discussion
3.1. Basic Properties
3.2. Arsenic Adsorption by Laterite and Kaolinite
3.3. Freundlich Model Parameters
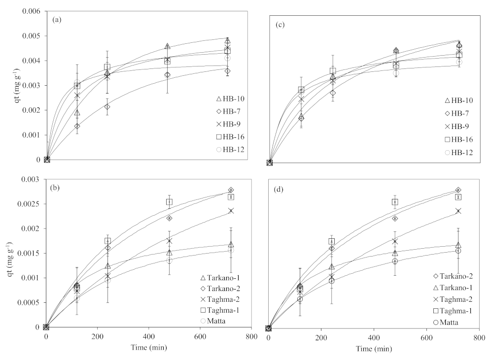
3.4. Adsorption Kinetics
3.5. FTIR Spectra
3.6. Degree of Lateritization
3.7. SEM-EDX
4. Conclusions
Author Contributions
Funding
Institutional Review Board Statement
Informed Consent Statement
Data Availability Statement
Acknowledgments
Conflicts of Interest
References
- Mazumder, G. Chronic arsenic toxicity & human health. Indian J. Med. Res. 2008, 128, 436–447. [Google Scholar]
- Mandal, B.K.; Suzuki, K.T. Arsenic round the world: A review. Talanta 2002, 58, 201–235. [Google Scholar] [CrossRef] [PubMed]
- Jain, C.K.; Ali, I. Arsenic: Occurrence, toxicity and speciation techniques. Water Res. 2000, 34, 4304–4312. [Google Scholar] [CrossRef]
- Mudhoo, A.; Sharma, S.K.; Garg, V.K.; Tseng, C.H. Arsenic: An overview of applications, health, and environmental concerns and removal processes. Crit. Rev. Environ. Sci. Technol. 2011, 41, 435–519. [Google Scholar] [CrossRef]
- Kitchin, K.T. Recent advances in arsenic carcinogenesis: Modes of action, animal model systems, and methylated arsenic metabolites. Toxicol. Appl. Pharmacol. 2001, 172, 249–261. [Google Scholar] [CrossRef]
- Maiti, A.; DasGupta, S.; Basu, J.K.; De, S. Adsorption of arsenite using natural laterite as adsorbent. Sep. Purif. Technol. 2007, 55, 350–359. [Google Scholar] [CrossRef]
- Wang, S.; Mulligan, C.N. Occurrence of arsenic contamination in Canada: Sources, behavior and distribution. Sci. Total Environ. 2006, 366, 701–721. [Google Scholar] [CrossRef]
- Nishimura, T.; Robins, R.G. A re-evaluation of the solubility and stability regions of calcium arsenites and calcium arsenates in aqueous solution at 25 °C. Miner. Process. Extr. Metall. Rev. 1998, 18, 283–308. [Google Scholar] [CrossRef]
- Bothe, J.V.; Brown, P.W. Arsenic immobilization by calcium arsenate formation. Environ Sci Technol 1999, 33, 3806–3811. [Google Scholar] [CrossRef]
- Cullen, W.R.; Reimer, J.K. Arsenic speciation in the environment. Chem. Rev. 1989, 4, 713–764. [Google Scholar] [CrossRef]
- Shankar, S.; Shanker, U.; Shikha. Arsenic Contamination of Groundwater: A Review of Sources, Prevalence, Health Risks, and Strategies for Mitigation. Sci. World J. 2014, 2014, 18. [Google Scholar] [CrossRef] [PubMed]
- McCarty, K.; Hanh, H.; Kim, K. Arsenic geochemistry and human health in South East Asia. Rev. Environ. Health 2011, 26, 71–78. [Google Scholar] [CrossRef] [PubMed]
- Jessen, S. Groundwater Arsenic in the Red River Delta, Vietnam: Regional Distribution, Release, Mobility and Mitigation Options. Technical University of Denmark. 2009. Available online: http://www.er.dtu.dk/publications/fulltext/2009/ENV2009-208.pdf (accessed on 13 March 2022).
- Podgorski, J.E.; Eqani, S.A.M.A.S.; Khanam, T.; Ullah, R.; Shen, H.; Berg, M. Extensive arsenic contamination in high-pH unconfined aquifers in the Indus Valley. Sci. Adv. 2017, 3, e1700935. [Google Scholar] [CrossRef] [PubMed]
- Nickson, R.T.; McArthur, J.M.; Sherestha, B.; Kyaw-Myint Lowry, D. Arsenic and other drinking water quality issues, Muzaffargarh District, Pakistan. Appl. Geochem. 2005, 20, 55–68. [Google Scholar] [CrossRef]
- Pak-EPA, Pakistan Environmental Protection Agency. Ministry of Environment, National Standards for Drinking Water Quality (NSDWQ); Pak-EPA, Pakistan Environmental Protection Agency: Islamabad, Pakistan, 2008.
- Elizade-González, M.P.; Mattusch, J.; Einicke, W.D.; Wennrich, R. Sorption on natural solids for arsenic removal. Chem. Eng. J. 2001, 81, 187–195. [Google Scholar] [CrossRef]
- World Health Organization (WHO). Guidelines for Drinking-Water Quality, 3rd ed.; WHO: Geneva, Switzerland, 2004; Volume 1. [Google Scholar]
- Hughes, M. Arsenic toxicity and potential mechanisms of action. Toxicol. Lett. 2002, 133, 1–16. [Google Scholar] [CrossRef]
- Steinmaus, C.; Yaun, Y.; Bates, M.N.; Smith, A.H. Case-control study of bladder cancer and Drinking Water Arsenic in the Western United States. Am. J. Epidemiol. 2003, 158, 1193–1201. [Google Scholar] [CrossRef]
- Sampson, M.; Bostick, B.; Chiew, H.; Hagan, J.; Shantz, A. Arsenicosis in Cambodia: Case studies and policy response. Appl. Geochem. 2008, 23, 2977–2986. [Google Scholar] [CrossRef]
- Yuan, C.; Chiang, T.-S. The mechanisms of arsenic removal from soil by electrokinetic process coupled with iron permeable reaction barrier. Chemosphere 2007, 67, 1533–1542. [Google Scholar] [CrossRef]
- Shen, Y.S. Study of Arsenic Removal from Drinking Water. J. Am. Water Works Assoc. 1973, 65, 543–548. [Google Scholar] [CrossRef]
- Sorg, T.J.; Logsdon, G.S. Treatment technology to meet the interim primary drinking water regulations for inorganics: Part 2. J. Am. Water Works Assoc. 1978, 70, 379–393. [Google Scholar] [CrossRef]
- Hisa, T.H.; Lo, S.L.; Lin, C.F.; Lee, D.Y. Characterization of arsenate adsorption on hydrous iron oxide using chemical and physical methods. Colloids Surf. A Physicochem. Eng. Asp. 1994, 85, 1–7. [Google Scholar] [CrossRef]
- Cheng, C.; Kacherovsky, N.; Dombek, K.M.; Camier, S.; Thukral, S.K.; Rhim, E.; Young, E.T. Identification of potential target genes for Adr1p through characterization of essential nucleotides in UAS1. Mol. Cell Biol. 1994, 14, 3842–3852. [Google Scholar] [CrossRef] [PubMed]
- Scott, K.N.; Green, J.F.; Do, H.D.; Mclean, S.J. Arsenic Removal by Coagulation. J. Am. Water Works Assoc. 1995, 87, 114–126. [Google Scholar] [CrossRef]
- McNeill, L.S.; Edwards, M. Soluble arsenic removal at water treatment plants. J. Am. Water Works Assoc. 1995, 87, 105–187. [Google Scholar] [CrossRef]
- Fox, K.R.; Sorg, T.J. Controlling Arsenic, Fluoride, and Uranium by Point-of-Use Treatment. J. Am. Water Works Assoc. 1987, 79, 81–84. [Google Scholar] [CrossRef]
- Kumar, A.; Singh, K.; Dixit, U.; Bhat, R.A.; Gupta, S.P. Removal of Arsenic—“A Silent Killer” in the Environment by Adsorption Methods. In Arsenic Monitoring, Removal and Remediation; Stoytcheva, M., Zlatev, R., Eds.; IntechOpen: London, UK, 2021. [Google Scholar] [CrossRef]
- Maiti, A.; Thakur, B.K.; Basu, J.K.; De, S. Comparison of treated laterite as arsenic adsorbent from different locations and performance of best filter under field conditions. J. Hazard. Mater. 2013, 262, 1176–1186. [Google Scholar] [CrossRef]
- Maqsood, H.R.; Rukh, S.; Imran, M.; Mehmood, A.; Ahmad, W.; Matloob, A.; Ahmad, H.S.; Khan, A.; Butt, S.A. Evaluation of laterite as a filter media to remove arsenic from groundwater. J. Serb. Chem. Soc. 2021, 86, 195–207. [Google Scholar] [CrossRef]
- Bentahar, Y.; Hurel, C.; Draoui, K.; Khairoun, S.; Marmier, N. Adsorptive properties of Moroccan clays for the removal of arsenic(V) from aqueous solution. Appl. Clay Sci. 2016, 119, 385–392. [Google Scholar] [CrossRef]
- Ullah, H.; Nafees, M.; Iqbal, F.; Awan, S.; Shah, A.; Waseem, A. Adsorption Kinetics of Malachite green and Methylene blue from aqueous solutions using surfactant-modified Organoclays. Acta Chim. Slov. 2017, 64, 449–460. [Google Scholar] [CrossRef]
- Nafees, M.; Waseem, A. Organoclays as sorbent material for phenolic compounds: A review. CLEAN–Soil Air Water 2014, 42, 1500–1508. [Google Scholar] [CrossRef]
- Rizzi, V.; Gubitosa, J.; Fini, P.; Romita, R.; Agostiano, A.; Nuzzo, S.; Cosma, P. Commercial bentonite clay as low-cost and recyclable “natural” adsorbent for the Carbendazim removal/recover from water: Overview on the adsorption process and preliminary photodegradation considerations. Colloids Surf. A Physicochem. Eng. Asp. 2020, 602, 125060. [Google Scholar] [CrossRef]
- Schellmann, W. A new definition of laterite. In Lateritisation Processes; IGCP-127; Memoirs of the Geological Survey of India: Calcutta, India, 1986; Volume 120, pp. 1–7. [Google Scholar]
- Maiti, A.; DasGupta, S.; Basu, J.K.; De, S. Batch and column study: Adsorption of arsenate using untreated laterite as adsorbent. Ind. Eng. Chem. 2008, 47, 1620–1629. [Google Scholar] [CrossRef]
- Maiti, A.; Basu, J.K.; De, S. Development of a treated laterite for arsenic adsorption: Effects of treatment parameters. Ind. Eng. Chem. 2010, 49, 4873–4886. [Google Scholar] [CrossRef]
- Maji, S.K.; Pal, A.; Pal, T. Arsenic removal from aqueous solutions by adsorption on laterite soil. J. Environ. Sci. Health-Toxic/Hazard. 2007, 42, 453–462. [Google Scholar] [CrossRef]
- Kundu, S.; Pal, A.; Mandal, M.; Ghosh, S.; Panigrahi, S.; Pal, T. Hardened paste of Portland cement—A new low-cost adsorbent for the removal of arsenic from water. J. Environ. Sci. Health A Tox Hazard. Subst. Environ. Eng. 2004, 39, 185–202. [Google Scholar] [CrossRef]
- Zhang, W.; Singh, P.; Paling, E.; Delides, S. Arsenic removal from contaminated water by natural iron ores. Miner. Eng. 2004, 17, 517–524. [Google Scholar] [CrossRef]
- Vaughan, R.L.; Reed, B.E. Modeling As(V) removal by a iron oxide impregnated activated carbon using the surface complexation approach. Water Res. 2005, 39, 1005–1014. [Google Scholar] [CrossRef]
- Sanou, Y.; Pare SPhoung, N.T.T.; Phuoc, N.V. Experimental and kinetic modeling of as (v) adsorption on granular ferric hydroxide and laterite. J. Environ. Treat. Tech. 2016, 4, 62–70. [Google Scholar]
- Tuzen, M.; Melek, E.; Soylak, M. Celtek clay as sorbent for separation–preconcentration of metal ions from environmental samples. J. Hazard. Mater. 2006, 136, 597–603. [Google Scholar] [CrossRef]
- Chandrasekhar, S.; Ramaswamy, S. Influence of mineral impurities on the properties of kaolin and its thermally treated products. Appl. Clay Sci. 2002, 21, 133–142. [Google Scholar] [CrossRef]
- Hubadillah, S.K.; Othman, M.H.D.; Ismail, A.F.; Rahman, M.A.; Jaafar, J. A low cost hydrophobic kaolin hollow fiber membrane (h-KHFM) for arsenic removal from aqueous solution via direct contact membrane distillation. Sep. Purif. Technol. 2019, 214, 31–39. [Google Scholar] [CrossRef]
- Hedfi, I.; Hamdi, N.; Rodriguez, M.A.; Srasra, E. Development of a low cost microporous ceramic membrane from kaolin and Alumina, using the lignite as porosity agent. Ceram. Int. 2016, 42, 5089–5093. [Google Scholar] [CrossRef]
- Ahmad, H.B.; Azhar, M.; Hussain, M.; Shafiq, Z.; Hussain, I.; Arain, S.A. Synthesis and characterization of kaolin supported metallic nanocomposites for the removal of arsenic. Fresenius. Environ. Bull. 2015, 24, 4019–4024. [Google Scholar]
- Jalees, M.I.; Farooq, M.U.; Basheer, S.; Asghar, S. Removal of heavy metals from drinking water using chikni mitti (kaolinite): Isotherm and kinetics. Arab. J. Sci. Eng. 2019, 44, 6351–6359. [Google Scholar] [CrossRef]
- Malkani, M.S.; Khosa, M.H.; Alyani, M.I.; Khan, K.; Somro, N.; Zafar, T.; Arif, J.; Zahid, M.A. Mineral deposits of Khyber Pakhtunkhwa and FATA (Pakistan). Lasbela U. J. Sci. Tech. 2017, 4, 23–46. [Google Scholar]
- Siddiqui, M.A.; Ahmed, Z.; Saleemi, A.A. Evaluation of Swat kaolin deposits of Pakistan for industrial uses. Appl. Clay Sci. 2005, 29, 55–72. [Google Scholar] [CrossRef]
- Malkani, M.S.; Qazi, S.; Khosa, M.H.; Shah, M.R.; Zafar, T.; Arif, J. Iron, laterite, bauxite and ochre deposits of Pakistan: Emphasis on feasible Dilband and low grade Fort Munro ironstones. In Proceedings of the 5th International Conference on Earth Sciences Pakistan, Baragali Campus, Pakistan, 11–13 August 2018; pp. 11–13. [Google Scholar]
- Qasim, M.; Khan, M.A.; Haneef, M. Stratigraphic characterization of the Early Cambrian Abbottabad Formation in the Sherwan area, Hazara region, N. Pakistan: Implications for Early Paleozoic stratigraphic correlation in NW Himalayas, Pakistan. J. Himal. Earth Sci. 2014, 47, 25–40. [Google Scholar]
- Mclean, E.O. Soil pH and lime requirement. In Methods of Soil Analysis, Part II, Chemical and Microbiological Properties; Page, A.L., Ed.; American Society of Agronomy: Madison, WI, USA, 1983; p. 199. [Google Scholar] [CrossRef]
- Rhoades, J.D. Soluble salts. In Methods of Soil Analysis, Part II; Page, A.L., Ed.; American Society of Agronomy: Madison, WI, USA, 1983; pp. 172–173. [Google Scholar] [CrossRef]
- Chapmen, H.D. Cation-Exchange Capacity. In Methods of Soil Analysis. Part 2, Chemical and Microbiological Properties; Norman, A.G., Ed.; American Society of Agrnomy: Madison, WI, USA, 1965; p. 891. [Google Scholar] [CrossRef]
- Langmuir, I. The adsorption of gases on plane surfaces of glass, mica and platinum. J. Am. Chem. Soc. 1918, 40, 1361–1403. [Google Scholar] [CrossRef]
- Syers, J.; Browman, M.; Smillie, G.; Corey, R. Phosphate sorption by soils evaluated by the Langmuir adsorption equation. Soil Sci. Soc. Am. J. 1973, 37, 358–363. [Google Scholar] [CrossRef]
- Castro, C.; Rolston, D. Organic phosphate transport and hydrolysis in soil: Theoretical and experimental evaluation. Soil Sci. Soc. Am. J. 1977, 41, 1085–1092. [Google Scholar] [CrossRef]
- Freundlich, H. Kapillarchemie. In Eine Darstellung der Chemie der Kolloide und Verwandter Gebiete; Akademische Verlagsgellschaft: Leipzig, Germany, 1909; Volume 15, p. 948. [Google Scholar]
- Mendoza-Castillo, D.I.; Rojas-Mayorga, C.K.; Garcia-Martinez, I.P.; Perez-Cruz, M.A.; Hernandez-Montoya, V.; Bonilla-Petriciolet, A.; Montes-Moran, M.A. Removal of heavy metals and arsenic from aqueous solution using textile wastes from denim industry. Int. J. Environ. Sci. Technol. 2015, 12, 1657–1668. [Google Scholar] [CrossRef]
- Lee, C.G.; Alvarez, P.J.J.; Nam, A.; Park, S.J.; Do, T.; Choi, U.S.; Lee, S.H. Arsenic(V) removal using an amine-doped acrylic ion exchange fiber: Kinetic, equilibrium, and regeneration studies. J. Hazard. Mater. 2017, 325, 223–229. [Google Scholar] [CrossRef] [PubMed]
- Zviagina, B.B.; Mccarty, D.K.; Rodon, J.; Drits, V.A. Interpretation of infrared spectra of dioctahedral smectites in the region of OH-stretching vibrations. Clays Clay Miner. 2004, 52, 399–410. [Google Scholar] [CrossRef]
- Welsh, E.P.; Crook, J.G.; Sanzolone, R. Trace-level determination of arsenic and selenium using continuous-flow hydride generation atomic absorption spectrophotometry (HG-AAS). In Quality Assurance Manual for the Branch of Geochemistry; Arbogast, B.F., Ed.; U.S. Geol. Survey: Denver, CO, USA, 1990; pp. 38–45. [Google Scholar]
- Moreda-Pineiro, C.; Moscoso-Perez, P.; Lopez-Mahia, S.; Muniategui-Lorenzo, E.; Fernandez-Fernandez Rodriguez, D.P. Multivariate optimisation of hydride generation procedures for single element determinations of As, Cd, Sb, and Se in natural waters by electrothermal atomic absorption spectrometry. Talanta 2001, 53, 871–883. [Google Scholar] [CrossRef]
- Ko, T.-H. Nature and properties of lateritic soils derived from different parent materials in Taiwan. Sci. World J. 2014, 2014, 247194. [Google Scholar] [CrossRef]
- Li, J.; Xu, R. Inhibition of acidification of kaolinite and an Alfisol by aluminum oxides through electrical double-layer interaction and coating. Eur. J. Soil Sci. 2013, 64, 110–120. [Google Scholar] [CrossRef]
- Singh, T.S.; Pant, K.K. Equilibrium, kinetics and thermodynamic studies for adsorption of As(III) on activated alumina. Sep. Purif. Technol. 2004, 36, 139–147. [Google Scholar] [CrossRef]
- Gupta, V.K.; Saini, V.K.; Jain, N. Adsorption of As(III) from aqueous solutions by iron oxide-coated sand. J. Colloid. Interface Sci. 2005, 288, 55–60. [Google Scholar] [CrossRef]
- Stumm, W. Chemistry of the Solid-Water Interface: Processes at the Mineral-Water and Particle-Water Interface in Natural Systems; John Wiley & Son Inc.: Hoboken, NJ, USA, 1992. [Google Scholar]
- Mohapatra, D.; Mishra, D.; Chaudhury, G.R.; Das, R.P. Arsenic adsorption mechanism on clay minerals and its dependence on temperature. Korean J. Chem. Eng. 2007, 24, 426–430. [Google Scholar] [CrossRef]
- Hisseini, B.H.A.; Bennabi, A.; Hamzaoui, R.; Makki, L.; Blanck, G. Treatment and recovery of clay soils using geopolymerization method. Int. J. Geomech. 2021, 21, 04021206. [Google Scholar] [CrossRef]
- Maji, S.; Kao, Y.H.; Liu, C.-W. Arsenic removal from real arsenic-bearing ground water by adsorption on iron-oxide-coated natural rock (IOCNR). Desalination 2011, 280, 72–79. [Google Scholar] [CrossRef]
- Nguyen, T.H.; Tran, H.N.; Vu, H.A.; Trinh, M.V.; Nguyen, T.V.; Loganathan, P.; Vigneswaran, S.; Nguyen, T.M.; Trinh, V.T.; Vu, D.L.; et al. Laterite as a low-cost adsorbent in a sustainable decentralized filtration system to remove arsenic from groundwater in Vietnam. Sci. Total Environ. 2020, 699, 134267. [Google Scholar] [CrossRef] [PubMed]
- Obianyo, I.I.; Azikiwe, P.O.; Alfred, B.O.; Soboyejo. Mechanical behaviour of lateritic soil stabilized with bone ash and hydrated lime for sustainable building applications. Case Stud. Constr. Mater. 2020, 12, e00331. [Google Scholar] [CrossRef]
- Mitra, A.; Mukhopadhyay, P.; Mitra, A. Studies on Removal of Arsenic from Water by Adsorption on Laterite and Ferric-Hydroxide Coated Bentonite. 2014. Available online: https://ewh.ieee.org/sb/kharagpur/iit/TechSym2014/doc/Paper%20508.pdf (accessed on 2 April 2022).
- Partey, F. Mechanism of Arsenic Sorption onto Laterite Concretions. Ph.D. Dissertation, New Mexico Tech University, Socorro, NM, USA, 2008. [Google Scholar]
- David, M.K.; Okoro, U.C.; Akpomie, K.G.; Okey, C.; Oluwasola, H.O. Thermal and hydrothermal alkaline modification of kaolin for the adsorptive removal of lead(II) ions from aqueous solution. SN Appl. Sci. 2020, 2, 1134. [Google Scholar] [CrossRef]
- Darban, K.A.; Kianinia, Y.; Taheri-Nassaj, E. Synthesis of nano- alumina powder from impure kaolin and its application for arsenite removal from aqueous solutions. J. Environ. Health Sci. Eng. 2013, 11, 19. Available online: http://www.ijehse.com/content/11/1/19 (accessed on 2 April 2022). [CrossRef]
- Marino, T.; Russo, F.; Rezzouk, L.; Bouzid, A.; Figoli, A. PES-Kaolin mixed matrix membranes for arsenic removal from water. Membranes 2017, 7, 57. [Google Scholar] [CrossRef]
- Mudzielwana, R.; Gitari, W.; Ndungu, P. Performance evaluation of surfactant modified kaolin clay in As(III) and As(V) adsorption from groundwater: Adsorption kinetics, isotherms and thermodynamics. Heliyon 2019, 5, e02756. [Google Scholar] [CrossRef]
- Nguyen, P.T.N.; Abella, L.C.; Gaspillo, P.D.; Hinode, H. Removal of arsenic from simulated groundwater using calcined laterite as the adsorbent. J. Chem. Eng. Japan 2011, 44, 411–419. [Google Scholar] [CrossRef]
- Bibi, S.; Farooqi, A.; Hussain, K.; Haider, N. Evaluation of industrial based adsorbents for simultaneous removal of arsenic and fluoride from drinking water. J. Clean Prod. 2015, 87, 882–896. [Google Scholar] [CrossRef]
- Glocheux, Y.; Albadarin, A.B.; Galán, J.; Oyedoh, E.; Mangwandi, C.; Gerente, C.; Allen, S.J.; Waker, G.M. Adsorption study using optimised 3d organised mesoporous silica coated with Fe and Al oxides for specific As(III) and As(V) removal from contaminated synthetic groundwater. Micropor. Mesopor. Mat. 2014, 198, 101–114. [Google Scholar] [CrossRef]
- Ghorbanzadeh, N.; Jung, W.; Halajnia, A.; Lakzian, A.; Kabra, A.N.; Jeon, B.-H. Removal of arsenate and arsenite from aqueous solution by adsorption on clay minerals. Geosystem. Eng. 2015, 18, 302–311. [Google Scholar] [CrossRef]
- Rahman, I.M.M.; Iwakabe, K.; Kawasaki, J. Laterite-a potential alternative for removal of groundwater arsenic. J. Appl. Sci. Environ. Manag. 2008, 12, 93–100. [Google Scholar] [CrossRef][Green Version]
- Ho, Y.S.; Mckay, G. Pseudo-second order model for sorption processes. Process. Biochem. 1999, 34, 451–465. [Google Scholar] [CrossRef]
- Saadon, S.A.; Salmiati Yusoff, A.R.M.; Yusop, Z.; Azman, S.; Uy, D.; Syaifiddin, A. Heated laterite as a low-cost adsorbent for arsenic removal from aqueous solution. Mal. J. Fund. Appl. Sci. 2018, 14, 1–8. [Google Scholar] [CrossRef]
- Mbaye, A.; Diop, C.; Miehe-Brendle, J.; Senocq, F.; Maury, F. Characterization of natural and chemically modified kaolinite from Mako (Senegal) to remove lead from aqueous solutions. Clay Miner. 2014, 49, 527–539. [Google Scholar] [CrossRef]
- Russell, J.D.; Fraser, A.R. Infrared methods. In Clay Mineralogy: Spectroscopic and Chemical Determinative Methods; Wilson, M.J., Ed.; Springer: Dordrecht, The Netherlands, 1994; pp. 11–67. [Google Scholar] [CrossRef]
- Ioannou, A.; Dimirkou, A. Phosphate adsorption on hematite, kaolinite, and kaolinite–hematite (k–h) systems as described by a constant capacitance model. J. Colloid. Interface Sci. 1997, 192, 119–128. [Google Scholar] [CrossRef]
- Lan, S.; Zhou, S.; Zhang, Q.; Li, Y.; Yan, Y.; Liang, F.; Jiang, G.; Qin, Z. The effect of proton and arsenic concentration on As(III) removal by hematite and kaolin complexes. Adsorp. Sci. Technol. 2021, 2021, 3126767. [Google Scholar] [CrossRef]
- Saikia, N.J.; Bharali, D.J.; Sengupta, P.; Bordoloi, D.; Goswamee, R.L.; Saikia, P.C.; Borthakur, P.C. Characterization, beneficiation and utilization of a kaolinite clay from Assam, India. Appl. Clay Sci. 2003, 24, 93–103. [Google Scholar] [CrossRef]
- Mustapha, S.; Ndamitso, M.M.; Abdulkareem, A.S.; Tijani, J.O.; Mohammed, A.K.; Shuaib, D.T. Potential of using kaolin as a natural adsorbent for the removal of pollutants from tannery wastewater. Heliyon 2019, 5, e02923. [Google Scholar] [CrossRef] [PubMed]
- Bourman, R.P.; Ollier, C.D. A critique of the Schellmann definition and classification of ‘laterite’. Catena 2002, 47, 117–131. [Google Scholar] [CrossRef]
- Nikić, J.; Tubić, A.; Watson, M.; Maletić, S.; Šolić, M.; Majkić, T.; Agbaba, J. Arsenic removal from water by green synthesized magnetic nanoparticles. Water 2021, 11, 2520. [Google Scholar] [CrossRef]






| Sample | Fe2O3 | Al2O3 | SiO2 | CaO | K2O | P2O5 | TiO2 | Mn2O3 | pH | EC | CEC |
|---|---|---|---|---|---|---|---|---|---|---|---|
| % | % | % | % | % | % | mS/cm | meq/100 g | ||||
| Laterite | |||||||||||
| HB-10 | 46.27 | 5.94 | 2.22 | 1.58 | 0.027 | 6.44 | - | 0.11 | 5.9(0.5) | 3.6(0.8) | 7.62(2.45) |
| HB-7 | 45.33 | 6.38 | 3.18 | 3.10 | 0.02 | 1.51 | - | 0.1 | 6.5(0.4) | 4.8(1.3) | 24.95(2.44) |
| HB-9 | 24.44 | 12.85 | 1.69 | 0.4 | 0.012 | 0.41 | - | 0.05 | 7.1(0.4) | 6.2(0.7) | 15.41(6.12) |
| HB-16 | 58.14 | 6.4 | 3.09 | 3.07 | 0.03 | 0.52 | - | 0.12 | 7.1(0.3) | 6.2(1.0) | 29.27(3.67) |
| HB-12 | 49.74 | 4.47 | 0.84 | 20.08 | 0.16 | 0.73 | - | 0.14 | 6.2(0.6) | 6.7(1.2) | 5.42(1.22) |
| Kaolinite | |||||||||||
| Tarkano-2 | 0.6 | 5.14 | 10.78 | 4.71 | 0.05 | 0.2 | 0.2 | 0.84 | 6.7(0.6) | 2.6(0.6) | 14.55(2.45) |
| Tarkano-1 | 0.06 | 6.7 | 11.52 | 5.56 | 0.06 | 0.13 | 1.3 | 0.6 | 7.1(0.3) | 1.6(0.5) | 12.81(2.45) |
| Taghma-2 | 1.07 | 9.77 | 13.91 | 5.07 | 0.1 | 0.13 | 0.13 | 0.02 | 6.9(0.3) | 3.2(0.3) | 22.34(6.12) |
| Taghma-1 | 0.34 | 3.88 | 8.01 | 5.41 | 0.13 | 0.2 | 0.2 | 0.5 | 7.5(0.2) | 4.1(0.3) | 3.29(1.22) |
| Matta | 1.48 | 5.62 | 10.42 | 7.56 | 0.14 | 0.11 | 0.11 | 0.5 | 6.5(0.5) | 2.1(0.4) | 5.02(1.23) |
| Sample | β | kf | R2 |
|---|---|---|---|
| L kg−1 | |||
| Laterite | |||
| HB-10 | 0.74(0.29) | 13.71(2.76) | 0.93 |
| HB-7 | 0.46(0.06) | 1191(272.0) | 0.99 |
| HB-9 | 1.16(0.007) | 48.10(1.83) | 0.95 |
| HB-16 | 0.71(0.018) | 8.52(0.72) | 0.98 |
| HB-12 | 0.97(0.09) | 12.99(3.52) | 0.93 |
| Kaolinite | |||
| Tarkano-2 | 0.98(0.10) | 22.09(7.68) | 0.99 |
| Tarkano-1 | 0.85(0.05) | 9.84(2.07) | 0.94 |
| Taghma-2 | 0.94(0.02) | 21.13(1.86) | 0.98 |
| Taghma-1 | 0.93(0.01) | 28.04(0.66) | 0.99 |
| Matta | 0.78(0.01) | 9.12(0.47) | 0.97 |
| Samples | Pseudo-First Order | Pseudo-Second Order | ||||
|---|---|---|---|---|---|---|
| qe | k1 | R2 | qe | k2 | R2 | |
| mg g−1 | min−1 | mg g−1 | g mg−1 min−1 | |||
| Laterite | ||||||
| HB10 | 0.0053(0.0004) | 0.0046(0.0023) | 0.990 | 0.0063(0.0012) | 0.6218(0.7977) | 0.976 |
| HB-7 | 0.0053(0.0003) | 0.0032(0.0001) | 0.980 | 0.0074(0.0005) | 0.3749(0.0779) | 0.973 |
| HB-9 | 0.0045(0.0008) | 0.0085(0.0046) | 0.966 | 0.0055(0.0017) | 2.6543(2.1387) | 0.973 |
| HB-16 | 0.0042(0.0001) | 0.0098(0.0012) | 0.980 | 0.0047(0.0002) | 3.1406(0.2822) | 0.986 |
| HB-12 | 0.0037(0.0001) | 0.0205(0.0167) | 0.946 | 0.0042(0.0002) | 3.8895(0.8504) | 0.990 |
| Kaolinite | ||||||
| Tarkano-2 | 0.0032(0.0002) | 0.0027(0.0003) | 0.983 | 0.0046(0.0004) | 0.4446(0.1197) | 0.990 |
| Tarkano-1 | 0.0016(0.0002) | 0.0058(0.002) | 0.986 | 0.0020(0.0001) | 3.0504(1.1881) | 0.990 |
| Taghma-2 | 0.0119(0.010) | 0.0043(0.003) | 0.983 | 0.1582(0.24) | 1.4279(1.3009) | 0.990 |
| Taghma-1 | 0.0030(0.0001) | 0.0033(0.0002) | 0.973 | 0.0042(0.0002) | 0.6053(0.0878) | 0.966 |
| Matta | 0.0017(0.0006) | 0.0036(0.0013) | 0.990 | 0.0024(0.001) | 1.7209(1.4572) | 0.990 |
Publisher’s Note: MDPI stays neutral with regard to jurisdictional claims in published maps and institutional affiliations. |
© 2022 by the authors. Licensee MDPI, Basel, Switzerland. This article is an open access article distributed under the terms and conditions of the Creative Commons Attribution (CC BY) license (https://creativecommons.org/licenses/by/4.0/).
Share and Cite
Rehman, A.; Rukh, S.; Ayoubi, S.A.; Khattak, S.A.; Mehmood, A.; Ali, L.; Khan, A.; Malik, K.M.; Qayyum, A.; Salam, H. Natural Clay Minerals as Potential Arsenic Sorbents from Contaminated Groundwater: Equilibrium and Kinetic Studies. Int. J. Environ. Res. Public Health 2022, 19, 16292. https://doi.org/10.3390/ijerph192316292
Rehman A, Rukh S, Ayoubi SA, Khattak SA, Mehmood A, Ali L, Khan A, Malik KM, Qayyum A, Salam H. Natural Clay Minerals as Potential Arsenic Sorbents from Contaminated Groundwater: Equilibrium and Kinetic Studies. International Journal of Environmental Research and Public Health. 2022; 19(23):16292. https://doi.org/10.3390/ijerph192316292
Chicago/Turabian StyleRehman, Ambrin, Shah Rukh, Samha Al Ayoubi, Seema Anjum Khattak, Ayaz Mehmood, Liaqat Ali, Ahmad Khan, Kouser Majeed Malik, Abdul Qayyum, and Hikmat Salam. 2022. "Natural Clay Minerals as Potential Arsenic Sorbents from Contaminated Groundwater: Equilibrium and Kinetic Studies" International Journal of Environmental Research and Public Health 19, no. 23: 16292. https://doi.org/10.3390/ijerph192316292
APA StyleRehman, A., Rukh, S., Ayoubi, S. A., Khattak, S. A., Mehmood, A., Ali, L., Khan, A., Malik, K. M., Qayyum, A., & Salam, H. (2022). Natural Clay Minerals as Potential Arsenic Sorbents from Contaminated Groundwater: Equilibrium and Kinetic Studies. International Journal of Environmental Research and Public Health, 19(23), 16292. https://doi.org/10.3390/ijerph192316292

