An Overview of Treatment Approaches for Octahydro-1, 3, 5, 7-tetranitro-1, 3, 5, 7-tetrazocine (HMX) Explosive in Soil, Groundwater, and Wastewater
Abstract
1. Introduction
2. HMX Remediation Approaches
2.1. Physicochemical Remediation
2.1.1. Adsorption
2.1.2. Reduction
2.1.3. Advanced Oxidation Processes (AOPs)
Photocatalysis
Fenton and Photo-Fenton
2.1.4. Other Physiochemical Approaches
2.2. Bioremediation
Phytoremediation
3. Byproducts/End-Products of HMX Degradation Via Different Treatment Approaches
4. Advantages and Disadvantages of HMX Remediation Approaches
5. Challenges
6. Conclusions
Author Contributions
Funding
Institutional Review Board Statement
Informed Consent Statement
Data Availability Statement
Conflicts of Interest
References
- Balakrishnan, V.K.; Halasz, A.; Hawari, J. Alkaline Hydrolysis of the Cyclic Nitramine Explosives RDX, HMX, and CL-20: New Insights into Degradation Pathways Obtained by the Observation of Novel Intermediates. Environ. Sci. Technol. 2003, 37, 1838–1843. [Google Scholar] [CrossRef]
- Chatterjee, S.; Deb, U.; Datta, S.; Walther, C.; Gupta, D.K. Common Explosives (TNT, RDX, HMX) and Their Fate in the Environment: Emphasizing Bioremediation. Chemosphere 2017, 184, 438–451. [Google Scholar] [CrossRef]
- Fawcett-Hirst, W.; Temple, T.J.; Ladyman, M.K.; Coulon, F. A Review of Treatment Methods for Insensitive High Explosive Contaminated Wastewater. Heliyon 2021, 7, e07438. [Google Scholar] [CrossRef]
- Nagar, S.; Shaw, A.K.; Anand, S.; Celin, S.M.; Rai, P.K. Aerobic Biodegradation of HMX by Planomicrobium Flavidum. 3 Biotech 2018, 8, 455. [Google Scholar] [CrossRef]
- An, C.; He, Y.; Huang, G.; Liu, Y. Performance of Mesophilic Anaerobic Granules for Removal of Octahydro-1,3,5,7-Tetranitro-1,3,5,7-Tetrazocine (HMX) from Aqueous Solution. J. Hazard. Mater. 2010, 179, 526–532. [Google Scholar] [CrossRef]
- Bhanot, P.; Celin, S.M.; Kalsi, A.; Singh, S.K.; Sahai, S.K.; Sharma, P. Treatment of High Explosive HMX (Octahydro-1, 3, 5, 7-Tetranitro-1, 3, 5, 7-Tetrazocine) Production Effluent by Advanced Oxidation Processes. Int. J. Environ. Sci. Technol. 2021. [Google Scholar] [CrossRef]
- Boopathy, R. Enhanced Biodegradation of Cyclotetramethylenetetranitramine (HMX) under Mixed Electron-Acceptor Condition. Bioresour. Technol. 2001, 76, 241–244. [Google Scholar] [CrossRef] [PubMed]
- Kalsi, A.; Celin, S.M.; Sharma, S.; Sahai, S.; Sharma, J.G. Bioaugmentation for Remediation of Octahydro-1,3,5,7-Tetranitro-1,3,5,7-Tetrazocine (HMX) Contaminated Soil Using a Clay Based Bioformulation. J. Hazard. Mater. 2021, 420, 126575. [Google Scholar] [CrossRef]
- Bhushan, B.; Paquet, L.; Halasz, A.; Spain, J.C.; Hawari, J. Mechanism of Xanthine Oxidase Catalyzed Biotransformation of HMX under Anaerobic Conditions. Biochem. Biophys. Res. Commun. 2003, 306, 509–515. [Google Scholar] [CrossRef] [PubMed][Green Version]
- Tauqeer, H.M.; Karczewska, A.; Lewińska, K.; Fatima, M.; Khan, S.A.; Farhad, M.; Turan, V.; Ramzani, P.M.A.; Iqbal, M. Chapter 36—Environmental Concerns Associated with Explosives (HMX, TNT, and RDX), Heavy Metals and Metalloids from Shooting Range Soils: Prevailing Issues, Leading Management Practices, and Future Perspectives. In Handbook of Bioremediation; Hasanuzzaman, M., Prasad, M.N.V., Eds.; Academic Press: Cambridge, MA, USA, 2021; pp. 569–590. ISBN 978-0-12-819382-2. [Google Scholar]
- Yoon, J.M.; Oh, B.-T.; Just, C.L.; Schnoor, J.L. Uptake and Leaching of Octahydro-1,3,5,7-Tetranitro-1,3,5,7-Tetrazocine by Hybrid Poplar Trees. Environ. Sci. Technol. 2002, 36, 4649–4655. [Google Scholar] [CrossRef] [PubMed]
- Panz, K.; Miksch, K. Phytoremediation of Explosives (TNT, RDX, HMX) by Wild-Type and Transgenic Plants. J. Environ. Manag. 2012, 113, 85–92. [Google Scholar] [CrossRef] [PubMed]
- Zhu, W.; Xiao, J.; Ji, G.; Zhao, F.; Xiao, H. First-Principles Study of the Four Polymorphs of Crystalline Octahydro-1,3,5,7-Tetranitro-1,3,5,7-Tetrazocine. J. Phys. Chem. B 2007, 111, 12715–12722. [Google Scholar] [CrossRef] [PubMed]
- Nagar, S.; Anand, S.; Chatterjee, S.; Rawat, C.D.; Lamba, J.; Rai, P.K. A Review of Toxicity and Biodegradation of Octahydro-1,3,5,7-Tetranitro-1,3,5,7-Tetrazocine (HMX) in the Environment. Environ. Technol. Innov. 2021, 23, 101750. [Google Scholar] [CrossRef]
- Boopathy, R. Bioremediation of HMX-Contaminated Soil Using Soil Slurry Reactors. Soil Sediment Contam. Int. J. 2001, 10, 269–283. [Google Scholar] [CrossRef]
- Douglas, T.A.; Walsh, M.E.; Weiss, C.A.; McGrath, C.J.; Trainor, T.P. Desorption and Transformation of Nitroaromatic (TNT) and Nitramine (RDX and HMX) Explosive Residues on Detonated Pure Mineral Phases. Water Air Soil Pollut. 2012, 223, 2189–2200. [Google Scholar] [CrossRef]
- Ahmad, F.; Schnitker, S.P.; Newell, C.J. Remediation of RDX- and HMX-Contaminated Groundwater Using Organic Mulch Permeable Reactive Barriers. J. Contam. Hydrol. 2007, 90, 1–20. [Google Scholar] [CrossRef]
- Zhang, J.-H.; Wang, M.-H.; Zhu, X.-M. Treatment of HMX-Production Wastewater in an Aerobic Granular Reactor. Water Environ. Res. Res. Publ. Water Environ. Fed. 2013, 85, 301–307. [Google Scholar] [CrossRef]
- Parette, R.; Cannon, F.S.; Weeks, K. Removing Low Ppb Level Perchlorate, RDX, and HMX from Groundwater with Cetyltrimethylammonium Chloride (CTAC) Pre-Loaded Activated Carbon. Water Res. 2005, 39, 4683–4692. [Google Scholar] [CrossRef]
- Hawthorne, S.B.; Lagadec, A.J.M.; Kalderis, D.; Lilke, A.V.; Miller, D.J. Pilot-Scale Destruction of TNT, RDX, and HMX on Contaminated Soils Using Subcritical Water. Environ. Sci. Technol. 2000, 34, 3224–3228. [Google Scholar] [CrossRef]
- Davis, J.L.; Brooks, M.C.; Larson, S.L.; Nestler, C.C.; Felt, D.R. Lime Treatment of Explosives-Contaminated Soil from Munitions Plants and Firing Ranges. Soil Sediment Contam. Int. J. 2006, 15, 565–580. [Google Scholar] [CrossRef]
- Park, J.; Comfort, S.D.; Shea, P.J.; Kim, J.S. Increasing Fe0-Mediated HMX Destruction in Highly Contaminated Soil with Didecyldimethylammonium Bromide Surfactant. Environ. Sci. Technol. 2005, 39, 9683–9688. [Google Scholar] [CrossRef] [PubMed]
- Clark, B.; Boopathy, R. Evaluation of Bioremediation Methods for the Treatment of Soil Contaminated with Explosives in Louisiana Army Ammunition Plant, Minden, Louisiana. J. Hazard. Mater. 2007, 143, 643–648. [Google Scholar] [CrossRef] [PubMed]
- Panja, S.; Sarkar, D.; Datta, R. Vetiver Grass (Chrysopogon zizanioides) Is Capable of Removing Insensitive High Explosives from Munition Industry Wastewater. Chemosphere 2018, 209, 920–927. [Google Scholar] [CrossRef] [PubMed]
- Anotai, J.; Tanvanit, P.; Garcia-Segura, S.; Lu, M.-C. Electro-Assisted Fenton Treatment of Ammunition Wastewater Containing Nitramine Explosives. Process Saf. Environ. Prot. 2017, 109, 429–436. [Google Scholar] [CrossRef]
- Yang, X.; Lai, J.; Li, J.; Zhang, Y.; Luo, X.; Han, M.; Zhu, Y.; Zhao, S. Biodegradation and Physiological Response Mechanism of Bacillus Aryabhattai to Cyclotetramethylenete-Tranitramine (HMX) Contamination. J. Environ. Manag. 2021, 288, 112247. [Google Scholar] [CrossRef]
- An, C.; Shi, Y.; He, Y.; Huang, G.; Liang, J.; Liu, Z. Effect of Different Carbon Substrates on the Removal of Hexahydro-1,3,5-Trinitro-1,3,5-Triazine (RDX) and Octahydro-1,3,5,7-Tetranitro-1,3,5,7-Tetrazocine (HMX) by Anaerobic Mesophilic Granular Sludge. Water Air Soil Pollut. 2014, 225, 2174. [Google Scholar] [CrossRef]
- Groom, C.A.; Halasz, A.; Paquet, L.; Morris, N.; Olivier, L.; Dubois, C.; Hawari, J. Accumulation of HMX (Octahydro-1,3,5,7-Tetranitro-1,3,5,7-Tetrazocine) in Indigenous and Agricultural Plants Grown in HMX-Contaminated Anti-Tank Firing-Range Soil. Environ. Sci. Technol. 2002, 36, 112–118. [Google Scholar] [CrossRef]
- Monteil-Rivera, F.; Paquet, L.; Halasz, A.; Montgomery, M.T.; Hawari, J. Reduction of Octahydro-1,3,5,7-Tetranitro-1,3,5,7-Tetrazocine by Zerovalent Iron: Product Distribution. Environ. Sci. Technol. 2005, 39, 9725–9731. [Google Scholar] [CrossRef]
- Zoh, K.-D.; Stenstrom, M.K. Fenton Oxidation of Hexahydro-1,3,5-Trinitro-1,3,5-Triazine (RDX) and Octahydro-1,3,5,7-Tetranitro-1,3,5,7-Tetrazocine (HMX). Water Res. 2002, 36, 1331–1341. [Google Scholar] [CrossRef]
- Meda, A.; Sangwan, P.; Bala, K. Optimization of Process Parameters for Degradation of HMX with Bacillus Toyonensis Using Response Surface Methodology. Int. J. Environ. Sci. Technol. 2020, 17, 4601–4610. [Google Scholar] [CrossRef]
- Mdlovu, N.V.; Lin, K.-S.; Hsien, M.-J.; Chang, C.-J.; Kunene, S.C. Synthesis, Characterization, and Application of Zero-Valent Iron Nanoparticles for TNT, RDX, and HMX Explosives Decontamination in Wastewater. J. Taiwan Inst. Chem. Eng. 2020, 114, 186–198. [Google Scholar] [CrossRef]
- Rocheleau, S.; Lachance, B.; Kuperman, R.G.; Hawari, J.; Thiboutot, S.; Ampleman, G.; Sunahara, G.I. Toxicity and Uptake of Cyclic Nitramine Explosives in Ryegrass Lolium Perenne. Environ. Pollut. 2008, 156, 199–206. [Google Scholar] [CrossRef] [PubMed]
- An, C.; Shi, Y.; He, Y.; Huang, G.; Liu, Y.; Yang, S. Biotransformation of RDX and HMX by Anaerobic Granular Sludge with Enriched Sulfate and Nitrate. Water Environ. Res. Res. Publ. Water Environ. Fed. 2017, 89, 472–479. [Google Scholar] [CrossRef] [PubMed]
- Van Aken, B.; Yoon, J.M.; Schnoor, J.L. Biodegradation of Nitro-Substituted Explosives 2,4,6-Trinitrotoluene, Hexahydro-1,3,5-Trinitro-1,3,5-Triazine, and Octahydro-1,3,5,7-Tetranitro-1,3,5-Tetrazocine by a Phytosymbiotic Methylobacterium Sp. Associated with Poplar Tissues (Populus Deltoides X. Appl. Environ. Microbiol. 2004, 70, 508–517. [Google Scholar] [CrossRef]
- Morley, M.; Henke., J.; Speitel., G. Adsorption of RDX and HMX in Rapid Small-Scale Column Tests: Implications for Full-Scale Adsorbers. J. Environ. Eng. 2005, 131, 29–37. [Google Scholar] [CrossRef]
- Khurana, I.; Shaw, A.K.; Bharti; Khurana, J.M.; Rai, P.K. Comparative Study for Removal of Nitro-Heterocyclic Explosives Using Magnetic Graphene Nanocomposites. Fuller. Nanotub. Carbon Nanostruct. 2020, 28, 671–679. [Google Scholar] [CrossRef]
- Choi, J.-K.; Son, H.-S.; Kim, T.-S.; Stenstrom, M.K.; Zoh, K.-D. Degradation Kinetics and Mechanism of RDX and HMX in TiO2 Photocatalysis. Environ. Technol. 2006, 27, 219–232. [Google Scholar] [CrossRef]
- Koutsospyros, A.; Pavlov, J.; Fawcett, J.; Strickland, D.; Smolinski, B.; Braida, W. Degradation of High Energetic and Insensitive Munitions Compounds by Fe/Cu Bimetal Reduction. J. Hazard. Mater. 2012, 219–220, 75–81. [Google Scholar] [CrossRef]
- Lin, K.-S.; Dehvari, K.; Hsien, M.-J.; Hsu, P.-J.; Kuo, H. Degradation of TNT, RDX, and HMX Explosive Wastewaters Using Zero-Valent Iron Nanoparticles. Propellants Explos. Pyrotech. 2013, 38, 786–790. [Google Scholar] [CrossRef]
- Perchet, G.; Merlina, G.; Revel, J.-C.; Hafidi, M.; Richard, C.; Pinelli, E. Evaluation of a TiO2 Photocatalysis Treatment on Nitrophenols and Nitramines Contaminated Plant Wastewaters by Solid-Phase Extraction Coupled with ESI HPLC–MS. J. Hazard. Mater. 2009, 166, 284–290. [Google Scholar] [CrossRef]
- Liou, M.-J.; Lu, M.-C.; Chen, J.-N. Oxidation of Explosives by Fenton and Photo-Fenton Processes. Water Res. 2003, 37, 3172–3179. [Google Scholar] [CrossRef] [PubMed]
- Lee, S.-J.; Son, H.-S.; Lee, H.-K.; Zoh, K.-D. Photocatalytic Degradation of Explosives Contaminated Water. Water Sci. Technol. 2002, 46, 139–145. [Google Scholar] [CrossRef] [PubMed]
- Srivastava, V. Grand Challenges in Chemical Treatment of Hazardous Pollutants. Front. Environ. Chem. 2021, 2, 23. [Google Scholar] [CrossRef]
- Kang, Z.; Jia, X.; Zhang, Y.; Kang, X.; Ge, M.; Liu, D.; Wang, C.; He, Z. A Review on Application of Biochar in the Removal of Pharmaceutical Pollutants through Adsorption and Persulfate-Based AOPs. Sustainability 2022, 14, 10128. [Google Scholar] [CrossRef]
- Bessaies, H.; Iftekhar, S.; Doshi, B.; Kheriji, J.; Ncibi, M.C.; Srivastava, V.; Sillanpää, M.; Hamrouni, B. Synthesis of Novel Adsorbent by Intercalation of Biopolymer in LDH for the Removal of Arsenic from Synthetic and Natural Water. J. Environ. Sci. (China) 2020, 91, 246–261. [Google Scholar] [CrossRef]
- Gusain, D.; Srivastava, V.; Sillanpää, M.; Sharma, Y.C. Kinetics and Isotherm Study on Adsorption of Chromium on Nano Crystalline Iron Oxide/Hydroxide: Linear and Nonlinear Analysis of Isotherm and Kinetic Parameters. Res. Chem. Intermed. 2016, 42, 7133–7151. [Google Scholar] [CrossRef]
- Cao, T.; Li, J. Experimental Study on the Treatment of HMX Explosive Wastewater by Fenton Process. IOP Conf. Ser. Earth Environ. Sci. 2018, 170, 32115. [Google Scholar] [CrossRef]
- Alnaizy, R.; Akgerman, A. Oxidative Treatment of High Explosives Contaminated Wastewater. Water Res. 1999, 33, 2021–2030. [Google Scholar] [CrossRef]
- Yang, R.; Gao, D.; Huang, H.; Huang, B.; Cai, H. Mesoporous Silicas Prepared by Ammonium Perchlorate Oxidation and Theirs Application in the Selective Adsorption of High Explosives. Microporous Mesoporous Mater. 2013, 168, 46–50. [Google Scholar] [CrossRef]
- Monteil-Rivera, F.; Groom, C.; Hawari, J. Sorption and Degradation of Octahydro-1,3,5,7-Tetranitro-1,3,5,7-Tetrazocine in Soil. Environ. Sci. Technol. 2003, 37, 3878–3884. [Google Scholar] [CrossRef]
- Boddu, V.M.; Naismith, N.K.; Patel, H.R. Environmentally Responsive Poly(N-Isopropylacrylamide)-Co-Poly(Acrylic Acid) Hydrogels for Separation of Toxic Metals and Organic Explosive Compounds from Water. J. Polym. Environ. 2019, 27, 571–580. [Google Scholar] [CrossRef]
- Hokkanen, S.; Bhatnagar, A.; Srivastava, V.; Suorsa, V.; Sillanpää, M. Removal of Cd2+, Ni2+ and PO43− from Aqueous Solution by Hydroxyapatite-Bentonite Clay-Nanocellulose Composite. Int. J. Biol. Macromol. 2018, 118, 903–912. [Google Scholar] [CrossRef]
- Srivastava, V.; Kohout, T.; Sillanpää, M. Potential of Cobalt Ferrite Nanoparticles (CoFe2O4) for Remediation of Hexavalent Chromium from Synthetic and Printing Press Wastewater. J. Environ. Chem. Eng. 2016, 4, 2922–2932. [Google Scholar] [CrossRef]
- Iakovleva, E.; Sillanpää, M.; Mangwandi, C.; Albadarin, A.B.; Maydannik, P.; Khan, S.; Srivastava, V.; Kamwilaisak, K.; Wang, S. Application of Al2O3 Modified Sulfate Tailings (CaFe-Cake and SuFe) for Efficient Removal of Cyanide Ions from Mine Process Water. Miner. Eng. 2018, 118, 24–32. [Google Scholar] [CrossRef]
- Srivastav, A.L.; Singh, P.K.; Srivastava, V.; Sharma, Y.C. Application of a New Adsorbent for Fluoride Removal from Aqueous Solutions. J. Hazard. Mater. 2013, 263, 342–352. [Google Scholar] [CrossRef] [PubMed]
- Srivastava, V.; Maydannik, P.; Sillanpää, M. Synthesis and Characterization of PPy@NiO Nano-Particles and Their Use as Adsorbent for the Removal of Sr(II) from Aqueous Solutions. J. Mol. Liq. 2016, 223, 395–406. [Google Scholar] [CrossRef]
- Melliti, A.; Srivastava, V.; Kheriji, J.; Sillanpää, M.; Hamrouni, B. Date Palm Fiber as a Novel Precursor for Porous Activated Carbon: Optimization, Characterization and Its Application as Tylosin Antibiotic Scavenger from Aqueous Solution. Surf. Interfaces 2021, 24, 101047. [Google Scholar] [CrossRef]
- Morley, M.C.; Speitel, G.E.J. Biodegradation of High Explosives on Granular Activated Carbon [GAC]: Enhanced Desorption of High Explosives from GAC—Batch Studies; U.S. Department of Energy Office of Scientific and Technical Information: Oak Ridge, TN, USA, 1999.
- Charmas, B.; Zięzio, M.; Tomaszewski, W.; Kucio, K. Smart Preparation of Microporous Carbons from Spent Coffee Grounds. Comprehensive Characterization and Application in Explosives Removal from Water Samples. Colloids Surf. A Physicochem. Eng. Asp. 2022, 645, 128889. [Google Scholar] [CrossRef]
- Fuller, M.E.; Farquharson, E.M.; Hedman, P.C.; Chiu, P. Removal of Munition Constituents in Stormwater Runoff: Screening of Native and Cationized Cellulosic Sorbents for Removal of Insensitive Munition Constituents NTO, DNAN, and NQ, and Legacy Munition Constituents HMX, RDX, TNT, and Perchlorate. J. Hazard. Mater. 2022, 424, 127335. [Google Scholar] [CrossRef]
- Do Minh, T.; Ncibi, M.C.; Srivastava, V.; Thangaraj, S.K.; Jänis, J.; Sillanpää, M. Gingerbread Ingredient-Derived Carbons-Assembled CNT Foam for the Efficient Peroxymonosulfate-Mediated Degradation of Emerging Pharmaceutical Contaminants. Appl. Catal. B Environ. 2019, 244, 367–384. [Google Scholar] [CrossRef]
- Gao, B.; Safaei, Z.; Babu, I.; Iftekhar, S.; Iakovleva, E.; Srivastava, V.; Doshi, B.; Ben Hammouda, S.; Kalliola, S.; Sillanpää, M. Modification of ZnIn2S4 by Anthraquinone-2-Sulfonate Doped Polypyrrole as Acceptor-Donor System for Enhanced Photocatalytic Degradation of Tetracycline. J. Photochem. Photobiol. A Chem. 2017, 348, 150–160. [Google Scholar] [CrossRef]
- Wang, Z.; Srivastava, V.; Iftekhar, S.; Ambat, I.; Sillanpää, M. Fabrication of Sb2O3/PbO Photocatalyst for the UV/PMS Assisted Degradation of Carbamazepine from Synthetic Wastewater. Chem. Eng. J. 2018, 354, 663–671. [Google Scholar] [CrossRef]
- Cheshme Khavar, A.H.; Moussavi, G.; Mahjoub, A.; Yaghmaeian, K.; Srivastava, V.; Sillanpää, M.; Satari, M. Novel Magnetic Fe3O4@rGO@ZnO Onion-like Microspheres Decorated with Ag Nanoparticles for the Efficient Photocatalytic Oxidation of Metformin: Toxicity Evaluation and Insights into the Mechanisms. Catal. Sci. Technol. 2019, 9, 5819–5837. [Google Scholar] [CrossRef]
- Gągol, M.; Przyjazny, A.; Boczkaj, G. Wastewater Treatment by Means of Advanced Oxidation Processes Based on Cavitation—A Review. Chem. Eng. J. 2018, 338, 599–627. [Google Scholar] [CrossRef]
- Ivanets, A.; Prozorovich, V.; Roshchina, M.; Grigoraviciute-Puroniene, I.; Zarkov, A.; Kareiva, A.; Wang, Z.; Srivastava, V.; Sillanpaa, M. Heterogeneous Fenton Oxidation Using Magnesium Ferrite Nanoparticles for Ibuprofen Removal from Wastewater: Optimization and Kinetics Studies. J. Nanomater. 2020, 2020, 8159628. [Google Scholar] [CrossRef]
- Mudhoo, A.; Bhatnagar, A.; Rantalankila, M.; Srivastava, V.; Sillanpää, M. Endosulfan Removal through Bioremediation, Photocatalytic Degradation, Adsorption and Membrane Separation Processes: A Review. Chem. Eng. J. 2019, 360, 912–928. [Google Scholar] [CrossRef]
- Cho, S.; Park, C.; Lee, J.; Lyu, B.; Moon, I. Finding the Best Operating Condition in a Novel Process for Explosive Waste Incineration Using Fluidized Bed Reactors. Comput. Chem. Eng. 2020, 142, 107054. [Google Scholar] [CrossRef]
- Tavoulareas, E.S. Fluidized-Bed Combustion Technology. Annu. Rev. Energy Environ. 1991, 16, 25–57. [Google Scholar] [CrossRef]
- Maleki, N. Treatment and Biodegradation of High Explosives: A Literature Review. 1994. Available online: http://www.seas.ucla.edu/stenstro/t/t12 (accessed on 24 December 2021).
- Heilmann, H.M.; Wiesmann, U.; Stenstrom, M.K. Kinetics of the Alkaline Hydrolysis of High Explosives RDX and HMX in Aqueous Solution and Adsorbed to Activated Carbon. Environ. Sci. Technol. 1996, 30, 1485–1492. [Google Scholar] [CrossRef]
- Zhao, J.-S.; Manno, D.; Hawari, J. Abundance and Diversity of Octahydro-1,3,5,7-Tetranitro-1,3,5,7-Tetrazocine (HMX)-Metabolizing Bacteria in UXO-Contaminated Marine Sediments. FEMS Microbiol. Ecol. 2007, 59, 706–717. [Google Scholar] [CrossRef][Green Version]
- Liu, Z.; Zhang, L.; Liu, Y.; He, Y. Anaerobic Biodegradation of RDX and HMX with Different Co-Substrates. Chin. J. Chem. Eng. 2015, 23, 704–709. [Google Scholar] [CrossRef]
- Yang, X.; Zhang, Y.; Lai, J.; Luo, X.; Han, M.; Zhao, S.; Zhu, Y. Analysis of the Biodegradation and Phytotoxicity Mechanism of TNT, RDX, HMX in Alfalfa (Medicago sativa). Chemosphere 2021, 281, 130842. [Google Scholar] [CrossRef] [PubMed]
- Newman, L.A.; Reynolds, C.M. Bacteria and Phytoremediation: New Uses for Endophytic Bacteria in Plants. Trends Biotechnol. 2005, 23, 6–8. [Google Scholar] [CrossRef] [PubMed]
- Singh, R.; Soni, P.; Kumar, P.; Purohit, S.; Singh, A. Biodegradation of High Explosive Production Effluent Containing RDX and HMX by Denitrifying Bacteria. World J. Microbiol. Biotechnol. 2009, 25, 269–275. [Google Scholar] [CrossRef]
- Zoh, K.-D.; Stenstrom, M.K. Biological Denitrification of High Explosives Processing Wastewaters. Water Sci. Technol. 1997, 36, 47–54. [Google Scholar] [CrossRef]
- Bhatt, M.; Zhao, J.-S.; Halasz, A.; Hawari, J. Biodegradation of Hexahydro-1,3,5-Trinitro-1,3,5-Triazine by Novel Fungi Isolated from Unexploded Ordnance Contaminated Marine Sediment. J. Ind. Microbiol. Biotechnol. 2006, 33, 850. [Google Scholar] [CrossRef]
- Fournier, D.; Halasz, A.; Spain, J.; Spanggord, R.J.; Bottaro, J.C.; Hawari, J. Biodegradation of the Hexahydro-1,3,5-Trinitro-1,3,5-Triazine Ring Cleavage Product 4-Nitro-2,4-Diazabutanal by Phanerochaete Chrysosporium. Appl. Environ. Microbiol. 2004, 70, 1123–1128. [Google Scholar] [CrossRef]
- Bhushan, B.; Halasz, A.; Thiboutot, S.; Ampleman, G.; Hawari, J. Chemotaxis-Mediated Biodegradation of Cyclic Nitramine Explosives RDX, HMX, and CL-20 by Clostridium Sp. EDB2. Biochem. Biophys. Res. Commun. 2004, 316, 816–821. [Google Scholar] [CrossRef]
- Nagar, S.; Shaw, A.K.; Anand, S.; Celin, S.M.; Rai, P.K. Biodegradation of Octogen and Hexogen by Pelomonas Aquatica Strain WS2-R2A-65 under Aerobic Condition. Environ. Technol. 2022, 43, 1003–1012. [Google Scholar] [CrossRef]
- Fournier, D.; Halasz, A.; Thiboutot, S.; Ampleman, G.; Manno, D.; Hawari, J. Biodegradation of Octahydro-1,3,5,7- Tetranitro-1,3,5,7-Tetrazocine (HMX) by Phanerochaete Chrysosporium: New Insight into the Degradation Pathway. Environ. Sci. Technol. 2004, 38, 4130–4133. [Google Scholar] [CrossRef]
- Harkins, V.R.; Mollhagen, T.; Heintz, C.; Rainwater, K. Aerobic Biodegradation of High Explosives, Phase I - HMX. Bioremediat. J. 1999, 3, 285–290. [Google Scholar] [CrossRef]
- Zhao, J.-S.; Greer, C.W.; Thiboutot, S.; Ampleman, G.; Hawari, J. Biodegradation of the Nitramine Explosives Hexahydro-1,3,5-Trinitro-1,3,5-Triazine and Octahydro-1,3,5,7-Tetranitro-1,3,5,7-Tetrazocine in Cold Marine Sediment under Anaerobic and Oligotrophic Conditions. Can. J. Microbiol. 2004, 50, 91–96. [Google Scholar] [CrossRef] [PubMed]
- Zoh, K.-D.; Daniels, J.I.; Knezovich, J.P.; Stenstrom, M.K. Treatment of Hydrolysates of the High Explosives Hexahydro-1,3,5-Trinitro-1,3,5-Triazine and Octahydro-1,3,5,7-Tetranitro-1,3,5,7-Tetrazocine Using Biological Denitrification. Water Environ. Res. 1999, 71, 148–155. [Google Scholar] [CrossRef]
- Adrian, N.R.; Arnett, C.M. Anaerobic Biotransformation of Explosives in Aquifer Slurries Amended with Ethanol and Propylene Glycol. Chemosphere 2007, 66, 1849–1856. [Google Scholar] [CrossRef] [PubMed]
- Eaton, H.L.; Murty, L.D.; Duringer, J.M.; Craig, A.M. Ruminal Bioremediation of the High Energy Melting Explosive (HMX) by Sheep Microorganisms. FEMS Microbiol. Lett. 2014, 350, 34–41. [Google Scholar] [CrossRef][Green Version]
- Chandra, J.; Xalxo, R.; Pandey, N.; Keshavkant, S. Chapter 42 - Biodegradation of Explosives by Transgenic Plants. In Handbook of Bioremediation; Hasanuzzaman, M., Prasad, M.N.V., Eds.; Academic Press: Cambridge, MA, USA, 2021; pp. 657–675. ISBN 978-0-12-819382-2. [Google Scholar]
- Abraham, E.-N.; Antonio, C.; Ramos, J.L. Biological Degradation of 2,4,6-Trinitrotoluene. Microbiol. Mol. Biol. Rev. 2001, 65, 335–352. [Google Scholar] [CrossRef]
- Macek, T.; Macková, M.; Káš, J. Exploitation of Plants for the Removal of Organics in Environmental Remediation. Biotechnol. Adv. 2000, 18, 23–34. [Google Scholar] [CrossRef]
- Salt, D.E.; Smith, R.D.; Raskin, I. PHYTOREMEDIATION. Annu. Rev. Plant Physiol. Plant Mol. Biol. 1998, 49, 643–668. [Google Scholar] [CrossRef]
- Bhadra, R.; Wayment, D.G.; Williams, R.K.; Barman, S.N.; Stone, M.B.; Hughes, J.B.; Shanks, J. V Studies on Plant-Mediated Fate of the Explosives RDX and HMX. Chemosphere 2001, 44, 1259–1264. [Google Scholar] [CrossRef]
- Zare, E.N.; Iftekhar, S.; Park, Y.; Joseph, J.; Srivastava, V.; Khan, M.A.; Makvandi, P.; Sillanpaa, M.; Varma, R.S. An Overview on Non-Spherical Semiconductors for Heterogeneous Photocatalytic Degradation of Organic Water Contaminants. Chemosphere 2021, 280, 130907. [Google Scholar] [CrossRef]
- Fakhri, H.; Farzadkia, M.; Srivastava, V.; Sillanpää, M. Designed Synthesis of Perylene Diimide-Based Supramolecular Heterojunction with g-C3N4@MIL-125(Ti): Insight into Photocatalytic Performance and Mechanism. J. Mater. Sci. Mater. Electron. 2021, 32, 19–32. [Google Scholar] [CrossRef]
- Honarmandrad, Z.; Sun, X.; Wang, Z.; Naushad, M.; Boczkaj, G. Activated Persulfate and Peroxymonosulfate Based Advanced Oxidation Processes (AOPs) for Antibiotics Degradation—A Review. Water Resour. Ind. 2022, 100194. [Google Scholar] [CrossRef]
- Lin, D.; Fu, Y.; Li, X.; Wang, L.; Hou, M.; Hu, D.; Li, Q.; Zhang, Z.; Xu, C.; Qiu, S.; et al. Application of Persulfate-Based Oxidation Processes to Address Diverse Sustainability Challenges: A Critical Review. J. Hazard. Mater. 2022, 440, 129722. [Google Scholar] [CrossRef]
- Crini, G.; Lichtfouse, E. Advantages and Disadvantages of Techniques Used for Wastewater Treatment. Environ. Chem. Lett. 2019, 17, 145–155. [Google Scholar] [CrossRef]
- Wang, C.; Huang, R.; Sun, R.; Yang, J.; Sillanpää, M. A Review on Persulfates Activation by Functional Biochar for Organic Contaminants Removal: Synthesis, Characterizations, Radical Determination, and Mechanism. J. Environ. Chem. Eng. 2021, 9, 106267. [Google Scholar] [CrossRef]
- Wang, L.; Luo, D.; Yang, J.; Wang, C. Metal-Organic Frameworks-Derived Catalysts for Contaminant Degradation in Persulfate-Based Advanced Oxidation Processes. J. Clean. Prod. 2022, 375, 134118. [Google Scholar] [CrossRef]
- Joseph, J.; Iftekhar, S.; Srivastava, V.; Fallah, Z.; Zare, E.N.; Sillanpää, M. Iron-Based Metal-Organic Framework: Synthesis, Structure and Current Technologies for Water Reclamation with Deep Insight into Framework Integrity. Chemosphere 2021, 284, 131171. [Google Scholar] [CrossRef]
- Rayaroth, M.P.; Aravindakumar, C.T.; Shah, N.S.; Boczkaj, G. Advanced Oxidation Processes (AOPs) Based Wastewater Treatment—Unexpected Nitration Side Reactions—A Serious Environmental Issue: A Review. Chem. Eng. J. 2021, 430, 133002. [Google Scholar] [CrossRef]
- Fedorov, K.; Dinesh, K.; Sun, X.; Darvishi Cheshmeh Soltani, R.; Wang, Z.; Sonawane, S.; Boczkaj, G. Synergistic Effects of Hybrid Advanced Oxidation Processes (AOPs) Based on Hydrodynamic Cavitation Phenomenon—A Review. Chem. Eng. J. 2022, 432, 134191. [Google Scholar] [CrossRef]




| Samples | Source | HMX Concentration | References |
|---|---|---|---|
| Groundwater | HMX-contaminated groundwater sample from the Pueblo Chemical Depot (PCD), Colorado | 9.03 µg/L | [17] |
| Groundwater | Sample from a well in eastern Massachusetts | 0.6 ppb | [19] |
| Soil | Soil sample from a defense site | 0.08 wt% of HMX | [20] |
| Soil | HMX-contaminated soil from the Iowa army ammunition plant | 700 mg/kg | [15] |
| Soil | Soil samples from munitions plants and firing ranges (Nebraska Ordnance Plant) | 6.36 ± 1.71 mg/kg | [21] |
| Soil | Soil samples from a high-explosive (HE) manufacturing and testing site | 45,000 mg/kg | [22] |
| Soil | Soil samples from the LAAP in Minden, USA | 600 to 900 mg/kg | [23] |
| Wastewater | Munition facility wastewater effluents | 12 ppm | [24] |
| Wastewater | Wastewater sample from an HMX production plant | 8.23 mg/L | [18] |
| Wastewater | Ammunition manufacturing effluent | 5.8 mg/L | [25] |
| HMX Remediation Approach | Conditions | Medium | Removal/Degradation Efficiency/Adsorption Capacity | Reference |
|---|---|---|---|---|
| Fenton process | Temp. 25 °C; 0.2 mL of 1% H2O2; 8.3 mL of 0.01% FeSO4.7H2O, pH 3.0; reaction time 80 min; HMX concentration 4 mg/L, and COD 214 mg/L | Wastewater | 81.4% | [48] |
| Zero-valent iron | 4% Fe0 (w/w) + 2% didecyl (w/v) cationic surfactant, HMX 45,000 mg/kg, and reaction time 6 days | Soil | >80% | [22] |
| UV and hydrogen peroxide | 4.45 wt% Pt/TiO2 catalyst, particle diameter < 105 μm, surface area of 62.8 m2/g batch test; UV radiation 254 nm, stirring 300 rpm, temp 32 °C, pH 3.4–10.4, and HMX 4 ppm | Wastewater | NA | [49] |
| Electro-assisted Fenton | Ti/RuO2-IrO2 anode, HMX 5.8 mg/L, and electroactive area 37 cm2 | Wastewater | 60% | [25] |
| Fe/Cu bimetal reduction | Volume 60 mL, 600 mg bimetallic particles; 1% solid/liquid loading, pH 3.0, and HMX conc. 4.98 mg/L | Synthetic solution | NA | [39] |
| Adsorption- mesoporous silicas | HMX conc. 21 mg/L, 0.1 g N-SBA-15, contact time 30 min, temp 20 °C, and agitation speed 250 rpm | Aqueous solution of explosives | 4.7 μmol/g adsorption capacity | [50] |
| Fenton process | Temp 20 °C and 50 °C, pH 3, HMX conc. 4.5 mg/L, and molar ratios of 5178: 48:1 of Fe2+: H2O2: HMX | HMX solution | [30] | |
| Granular activated carbon (GAC) | 350 μg/L HMX and small-scale column tests | Groundwater | NA | [36] |
| Photo-Fenton process | H2O2 to FeSO4 and 7H2O ratio (1:1, 1:3 and 3:1); UV irradiation: 125 W and HMX conc. 201.52 ± 2.29 mg/L | Real wastewater | 98% | [6] |
| Adsorption on soil | 2 g of dried soil, HMX conc. 0.5 to 4 mg/L, and contact time 1 h to 7 d. | Synthetic solution | 96% | [51] |
| Fenton and photo-Fenton processes | H2O2 concentration of 0.29 M and Fe2+ conc. 0.72 mM, temp (25 + 2 °C), speed 130 rpm, UV wavelength 254 nm, pH 2.8, and HMX conc. 1.07 × 10−4 M | Synthetic solution | 84.9% | [42] |
| Poly(N-isopropylacrylamide)-copoly(acrylic acid) hydrogels | HMX conc. 5.3 mg/L, hydrogel mass 0.0024 g, volume of HMX solution 5 mL, and batch experiments | Synthetic solution | 48% | [52]. |
| Microbial Species | Conditions | Biodegradation/ Mineralization Efficiency | Reference |
|---|---|---|---|
| Bacillusaryabhattai | HMX conc. 5 mg/L and inoculation time 24 h | 90.5% | [26] |
| Clostridium sp. strain EDB2 | HMX 20 μM, 5 mg wet biomass ml−1, incubation temperature 30 °C, and chemotaxis-mediated biodegradation | 8% mineralization | [81] |
| Pelomonas aquatica strain WS2-R2A-65 | Incubation period 20 days, HMX conc. 6 mg/L, aerobic condition, and co-metabolism | 78% | [82] |
| Janibacter cremeus | HMX conc. in a spiked sample of soil 3000 mg/kg, incubated temperature 35 °C, and incubation time 35 days | 40% | [8] |
| Planomicrobium flavidum strain S5-TSA-19 | HMX conc. 6 mg/L, incubated temperature 35 °C, and agitation speed 120 rpm for orbital shaker | 70% | [4] |
| Pseudomonas (HPB1) and Bacilllus (HPB2 and HPB3) | Incubation time 60 days, incubation temperature 30 ± 2 °C, SB-HMX 0.91 mg/L (HMX effluent sample neutralized with sodium bicarbonate), and AM-HMX 0.59 mg/L (HMX effluent sample neutralized with ammonia) | For HPB1: 76.3% (SB-HMX) 27.7%(AM-HMX) For HPB2 62.9%(SB-HMX) | [77] |
| Phanerochaete chrysosporium | HMX conc. 600 nmol, incubation time 25 days, and HMX conc. in real soil samples (HMX-403 µmol/kg) and (HMX-3057 µmol/kg) | 97% 75% 19.8% | [83] |
| Treatment Approach | HMX Degradation Byproducts (Intermediate/End-Products) | References |
|---|---|---|
| Biodegradation of HMX by Planomicrobium flavidum | NO2−, methylenedintramine, and N-methyl-N,N′-dinitromethanediamine | [4] |
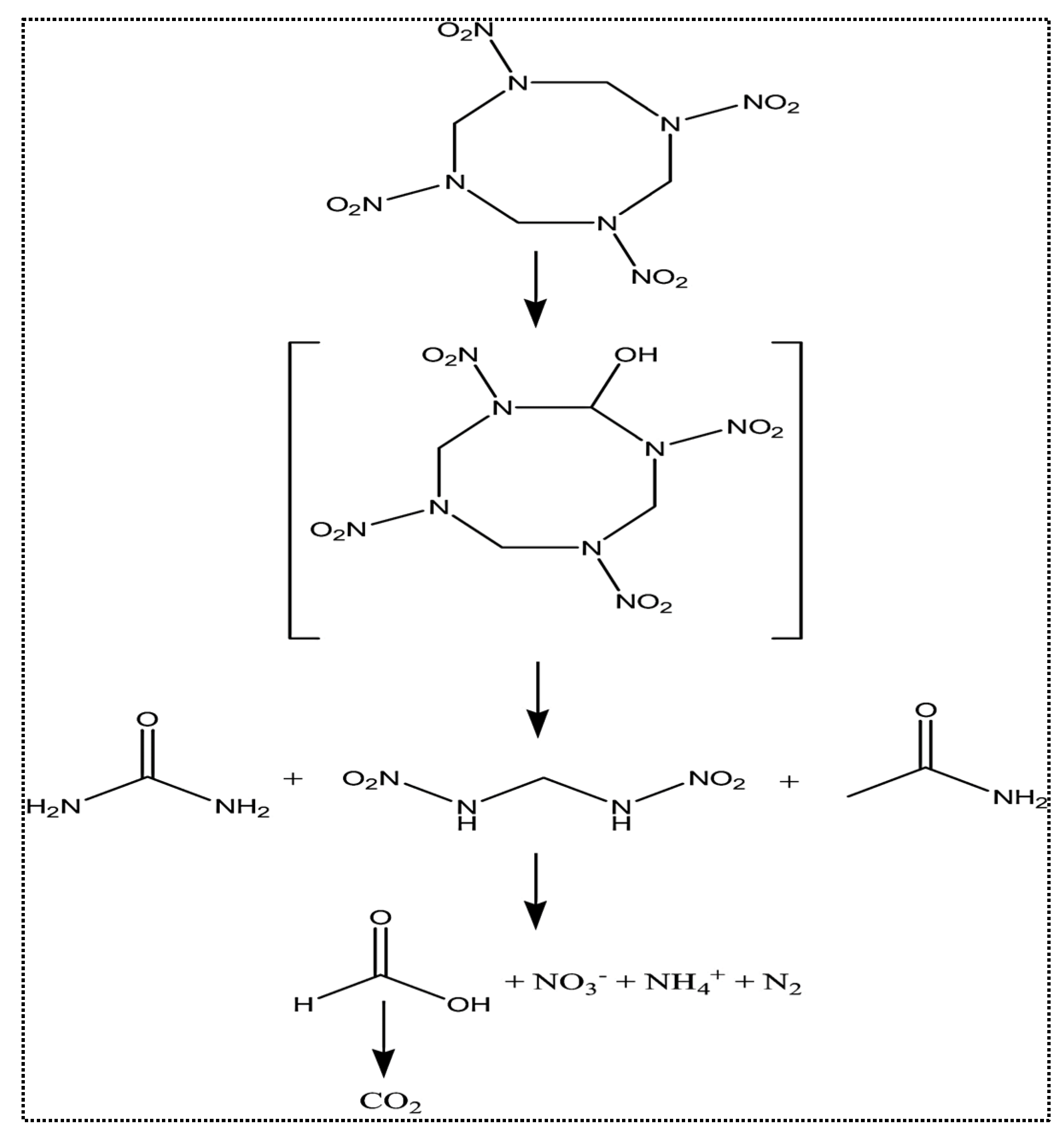
| Alkaline hydrolysis | NO2−, N2O, NH3, N2, and HCOOH | [1] |
| Bioaugmentation using Janibacter cremeus, an immobilized mixture of calcite and cocopeat for bioaugmentation. | Nitroso derivatives (5-hydroxy-4-nitro-2,4-diazapentanal and NDAB (further breaks down to HCHO) | [8] |
| Biodegradation by sediment microorganisms | Mononitroso derivatives | [85] |
| Degradation by TiO2 photocatalysis | NO3−, NO2−, and NH4+ | [38] |
| Reduction by nZVI | Formaldehyde/methanol/hydrazine/dimethyl hydrazine | [40] |
| Electro-assisted Fenton treatment of HMX | HCOOH, NO3−, NH4+, andCO2 | [25] |
| Biodegradation under the mixed electron-acceptor condition | Under mixed electron-acceptor conditions, the major metabolites were CHCl3 and CH3OH. Under methanogenic, fermenting, sulfate, and nitrate-reducing conditions, mono-, di-, and tri-nitroso derivatives were produced from HMX | [7] |
| Fenton oxidation | NO3− and N2 | [30] |
| Xanthine oxidase catalyzed biotransformation | NO2−, methylenedinitramine (MDNA), 4-nitro-2,4-diazabutanal (NDAB), HCHO, N2O, HCOOH), and NH4+ | [9] |
| Nitrite and nitrate | NO2− and NO3− | [31] |
| Photocatalytic degradation | NO2−, NO3−, and NH4+ | [43] |
| Reduction by zero-valent Iron | HCHO, NH4+, N2O, and NH2NH2 | [29] |
| Method | Advantages | Disadvantages | References |
|---|---|---|---|
| Adsorption | Simple, low-cost, possibility to tailor adsorbent characteristics, fast kinetics, and effective in the removal of a wide range of concentrations. | Use of chemicals in the regeneration of adsorbent, treatment of exhausted adsorbent, and secondary treatment of regenerated solution consisting of explosive residues/concentrations. | [19,50,98] |
| Advanced oxidation processes (AOPs) | Efficient, in situ production of radicals, UV light in photo-Fenton can enhance degradation, efficient mineralization of the pollutants, Fenton/photo-Fenton-based treatment is effective, and possibility of tailoring the catalyst according to pollutant species to enhance the catalytic activity. | Technical constraints, formation of byproducts, need for secondary treatment, catalyst cost can increase overall cost, chemicals required in Fenton and photo-Fenton process, generation of iron sludge, pH-sensitive, a UV lamp can add more cost, an interfering component can affect efficiency, recovery of catalyst, formation of byproduct, and catalyst corrosion. | [6,41,98,99,100,101] |
| Incineration | Simple, fast, effective, and useful for concentrated effluents. | Initial investment cost, expensive, energy-intensive, secondary pollution such as harmful emissions, and possible effect on soil fertility. | [30,98] |
| Aerobic/ anaerobic biodegradation | Effective, low-cost, economically attractive, and well-accepted by the public. | Time-consuming, mineralization issue, degradation products, the complexity of the microbiological mechanism, generation of biological sludge, and sensitivity to pH, temperature, and concentration. | [30] |
| Chemical oxidation | Effective, effective mineralization, a variety of catalysts available and can be tailored according to need, and the mechanism via chemical oxidation is well explored. | Catalyst corrosion, toxic byproduct, secondary treatment needed for byproduct removal, cost of catalyst, and management of used catalyst. | [98] |
| Bioaugmentation | Enhanced remediation by using genetically engineered microbes. | Survival of microorganisms in different environments and delivery of the microorganism into the desired location. | [8] |
| Phytoremediation | Easy assessment through simple morphological visualization or by collection and analysis of cells/tissue. | Time-consuming and accumulation of explosives in plant species. | [89] |
Publisher’s Note: MDPI stays neutral with regard to jurisdictional claims in published maps and institutional affiliations. |
© 2022 by the authors. Licensee MDPI, Basel, Switzerland. This article is an open access article distributed under the terms and conditions of the Creative Commons Attribution (CC BY) license (https://creativecommons.org/licenses/by/4.0/).
Share and Cite
Srivastava, V.; Boczkaj, G.; Lassi, U. An Overview of Treatment Approaches for Octahydro-1, 3, 5, 7-tetranitro-1, 3, 5, 7-tetrazocine (HMX) Explosive in Soil, Groundwater, and Wastewater. Int. J. Environ. Res. Public Health 2022, 19, 15948. https://doi.org/10.3390/ijerph192315948
Srivastava V, Boczkaj G, Lassi U. An Overview of Treatment Approaches for Octahydro-1, 3, 5, 7-tetranitro-1, 3, 5, 7-tetrazocine (HMX) Explosive in Soil, Groundwater, and Wastewater. International Journal of Environmental Research and Public Health. 2022; 19(23):15948. https://doi.org/10.3390/ijerph192315948
Chicago/Turabian StyleSrivastava, Varsha, Grzegorz Boczkaj, and Ulla Lassi. 2022. "An Overview of Treatment Approaches for Octahydro-1, 3, 5, 7-tetranitro-1, 3, 5, 7-tetrazocine (HMX) Explosive in Soil, Groundwater, and Wastewater" International Journal of Environmental Research and Public Health 19, no. 23: 15948. https://doi.org/10.3390/ijerph192315948
APA StyleSrivastava, V., Boczkaj, G., & Lassi, U. (2022). An Overview of Treatment Approaches for Octahydro-1, 3, 5, 7-tetranitro-1, 3, 5, 7-tetrazocine (HMX) Explosive in Soil, Groundwater, and Wastewater. International Journal of Environmental Research and Public Health, 19(23), 15948. https://doi.org/10.3390/ijerph192315948

