Hydrogeochemical Response of Cave Drips to Precipitation during Rainfall in a Karst Desertification Region: A Case Study of Shijiangjun Cave, South China
Abstract
1. Introduction
2. Materials and Methods
2.1. Study Area
2.2. Field Monitoring and Sampling
2.3. Laboratory Measurements
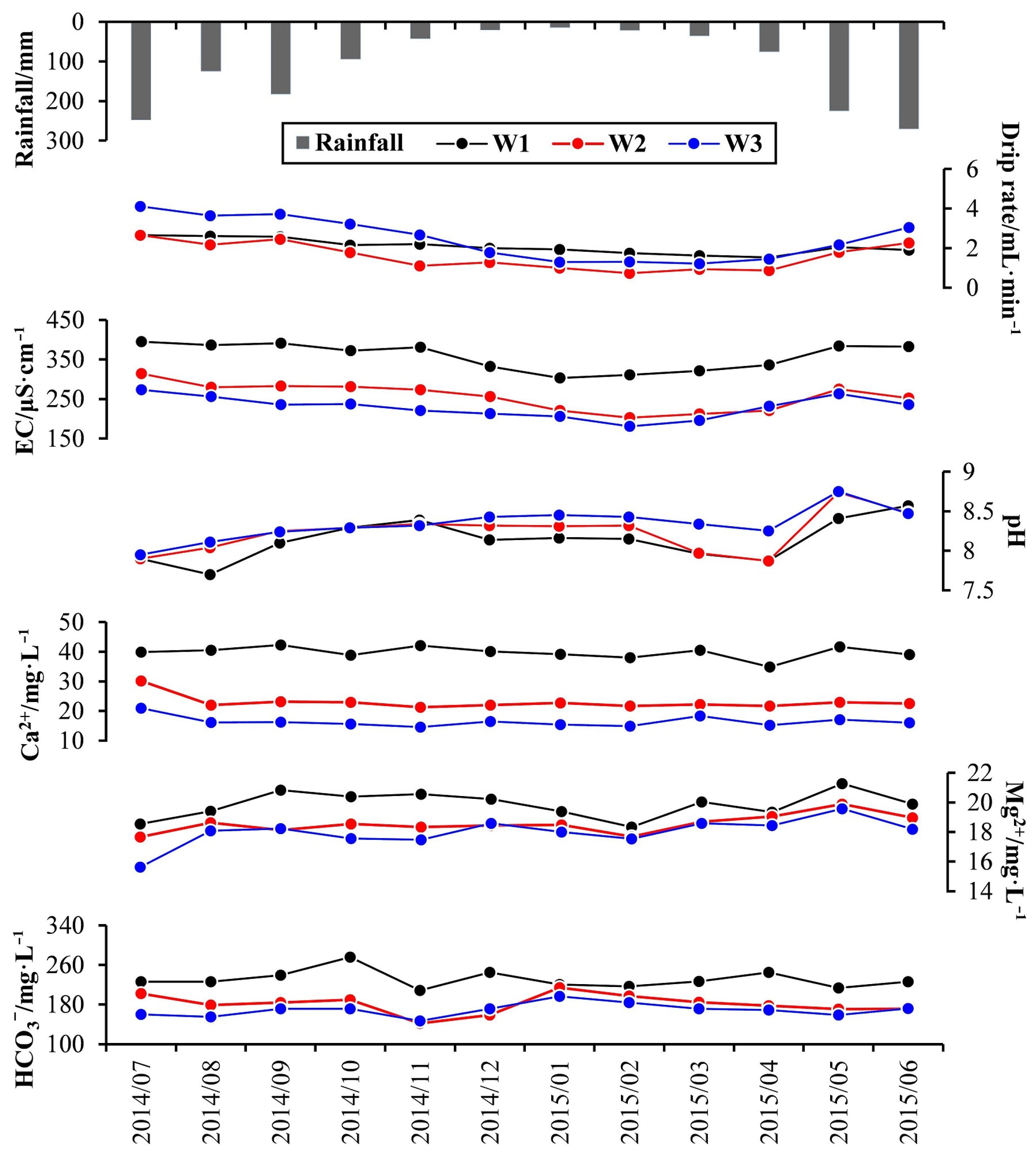
3. Results
3.1. Physico-Chemical Characterization of Cave Drip Water
3.2. Proportions of Cations and Anions
4. Discussion
4.1. Precipitation Response and Hydrological Process
4.2. Response of Drip Water Geochemistry to Precipitation
4.3. Influence of Karst Rocky Desertification on the Response of Drip Water Indicators to Precipitation
4.4. Implications for the Paleoenvironment Reconstruction of Karst Rocky Desertification Using Speleothem
5. Conclusions
Author Contributions
Funding
Institutional Review Board Statement
Informed Consent Statement
Data Availability Statement
Acknowledgments
Conflicts of Interest
References
- Cao, J.H.; Yang, H.; Zhang, C.L.; Wu, X.; Bai, B.; Huang, F. Characteristics of structure and material cycling of the karst critical zone in Southwest China. Geol. Surv. China 2018, 5, 1–12, (In Chinese with an English Abstract). [Google Scholar]
- Xiong, K.N.; Li, P.; Zhou, Z.F.; An, Y.L.; Lyu, T.; Lan, A.J. Typical Study on RS and GIS of Karst Rocky Desertification; Geological Publish House: Beijing, China, 2002; pp. 17–28. (In Chinese) [Google Scholar]
- Huang, Q.H.; Cai, Y.L. Spatial pattern of karst rock desertification in the Middle of Guizhou Province, Southwestern China. Environ. Geol. 2007, 52, 1325–1330. [Google Scholar] [CrossRef]
- Wang, S.J.; Liu, X.M.; Zhang, D.F. Karst rocky desertification in southwestern China: Geomorphology, landuse, impact and rehabilitation. Land Degrad. Develop. 2004, 15, 115–121. [Google Scholar] [CrossRef]
- Tang, Y.Q.; Li, J.; Zhang, X.H.; Yang, P.; Wang, J.X.; Zhou, N.Q. Fractal characteristics and stability of soil aggregates in karst rocky desertification areas. Nat. Hazards 2013, 65, 563–579. [Google Scholar] [CrossRef]
- Zhou, Z.D.; Gao, T.; Zhu, Q.; Yan, T.T.; Li, D.C.; Xue, J.H.; Wu, Y.B. Increases in bacterial community network complexity induced by biocharbased fertilizer amendments to karst calcareous soil. Geoderma 2019, 337, 691–700. [Google Scholar] [CrossRef]
- Zhang, X.M.; Yue, Y.M.; Tong, X.W.; Wang, K.L.; Qi, X.K.; Deng, C.X.; Brandt, M. Eco-engineering controls vegetation trends in southwest china karst. Sci. Total Environ. 2021, 770, 145160. [Google Scholar] [CrossRef]
- Qian, C.H.; Qiang, H.Q.; Qin, C.Y.; Wang, Z.; Li, M.Y. Spatiotemporal evolution analysis and future scenario prediction of rocky desertification in a subtropical karst region. Remote Sens. 2022, 14, 292. [Google Scholar] [CrossRef]
- Tadros, C.V.; Treble, P.C.; Baker, A.; Fairchild, I.; Hankin, S.; Roach, R.; Markowska, M.; McDonald, J. ENSO–cave drip water hydrochemical relationship: A 7-year dataset from south-eastern Australia. Hydrol. Earth Syst. Sci. 2016, 20, 4625–4640. [Google Scholar] [CrossRef]
- Cheng, H.; Zhang, H.W.; Zhao, J.Y.; Li, H.Y.; Ning, Y.F.; Kathayat, G. Chinese stalagmite paleoclimate researches: A review and perspective. Sci. China Earth Sci. 2019, 10, 1489–1513. [Google Scholar] [CrossRef]
- Dreybrodt, W. The kinetics of calcite precipitation from thin films of calcareous solutions and the growth of speleothems: Revisited. Chem. Geol. 1981, 32, 237–245. [Google Scholar] [CrossRef]
- Baker, A.; Genty, D.; Dreybrodt, W.; Barnes, W.L.; Mockler, N.J.; Grapes, J. Testing theoretically predicted stalagmite growth rate with recent annually laminated samples: Implications for past stalagmite deposition. Geochim. Cosmochim. Acta 1998, 62, 393–404. [Google Scholar] [CrossRef]
- Fairchild, I.J.; Treble, P.C. Trace elements in speleothems as recorders of environmental change. Quat. Sci. Rev. 2009, 28, 449–468. [Google Scholar] [CrossRef]
- Coplen, T.B.; Winograd, L.J.; Landwehr, J.M.; Riggs, A.C. 500,000-years stable carbon isotopic record from Devils Hole, Nevada. Nature 1994, 263, 361–365. [Google Scholar] [CrossRef]
- Andrews, J.E.; Riding, R.; Dennis, P.R. The stable-isotope record of environmental and climatic signals in modern terrestrial microbial carbonates from Europe. Palaeogeogr. Palaeoclimatol. Palaeoecol. 1997, 129, 171–189. [Google Scholar] [CrossRef]
- Faimon, J.; Ličbinská, M.; Zajíček, P. Relationship between carbon dioxide in Balcarka Cave and adjacent soils in the Moravian Karst region of the Czech Republic. Int. J. Speleol. 2012, 41, 17–28. [Google Scholar] [CrossRef]
- Li, Y.D.; Yang, Y.; Jiang, X.Y.; Zhao, J.Y.; Sun, Z.; Shi, X.; Tian, N.; Yang, Y.Y.; Li, J.C.; Duan, J.W. The transport mechanism of carbon isotopes based on 10 years of cave monitoring: Implications for paleoclimate reconstruction. J. Hydrol. 2021, 592, 125841. [Google Scholar] [CrossRef]
- Liu, Z.Q. Applications of Geochemical Proxies in Speleothem to the Study on Evolution and Impact factor of Karst Desertification in Central Western Guizhou during Modern and Contemporary Period. Ph. D. Thesis, Southwest University, Chongqing, China, 2008. [Google Scholar]
- Duan, Y.F.; Liu, Z.Q.; He, Q.F.; Lv, X.F.; Jiang, J.J. Geochemistry of drip water in cave of rocky areas: A case study of Shijiangjun Cave in Guizhou Province. J. Southwest China Norm. Univ. (Nat. Sci. Ed.) 2015, 40, 95–101, (In Chinese with an English Abstract). [Google Scholar]
- Zhou, Y.C.; Wang, S.J.; Xie, X.N.; Luo, W.J.; Li, T.Y. Significance and dynamics of drip water responding to rainfall in four caves of Guizhou, China. Sci. Bull. 2005, 50, 155–162. [Google Scholar] [CrossRef]
- Domínguez-Villar, D.; Fairchild, I.J.; Baker, A.; Carrasco, R.M.; Pedraza, J. Reconstruction of cave air temperature based on surface atmosphere temperature and vegetation changes: Implications for speleothem palaeoclimate records. Earth Planet. Sci. Lett. 2013, S369–370, 158–168. [Google Scholar] [CrossRef]
- Rau, G.C.; Cuthbert, M.O.; Andersen, M.S.; Baker, A.; Rutlidge, H.; Markowska, M.; Roshan, H.; Marjo, C.E.; Graham, P.W.; Acworth, R.I. Controls on cave drip water temperature and implications for speleothem-based paleoclimate reconstructions. Quat. Sci. Rev. 2015, 127, 19–36. [Google Scholar] [CrossRef]
- Sheffer, N.A.; Cohen, M.; Morin, E.; Grodek, T.; Gimburg, A.; Magal, E.; Gvirtzman, H.; Nied, M.; Isele, D.; Frumkin, A. Integrated cave drip monitoring for epikarst recharge estimation in a dry Mediterranean area, Sif Cave, Israel. Hydrol. Process. 2011, 25, 2837–2845. [Google Scholar] [CrossRef]
- Guo, X.J.; Jiang, G.H.; Gong, X.P.; Yin, J.J.; Wu, X. Recharge processes on typical karst slopes implied by isotopic and hydrochemical indexes in Xiaoyan Cave, Guilin, China. J. Hydrol. 2015, 530, 612–622. [Google Scholar] [CrossRef]
- Guo, X.J.; Gong, X.P.; Yuan, D.X.; Jiang, G.H.; Cao, J.H.; Lin, Y.S.; Andrew, K.F.; Chen, C.J. Response of drip water temperature to climate variability: A case study in Xiaoyan Cave, southwest China. Hydrol. Sci. J. 2019, 64, 873–884. [Google Scholar] [CrossRef]
- Ban, F.M.; Pan, G.X.; Zhu, J.; Cai, B.; Tan, M. Temporal and spatial variations in the discharge and dissolved organic carbon of drip waters in Beijing Shihua Cave, China. Hydrol. Process. 2008, 22, 3749–3758. [Google Scholar] [CrossRef]
- Miorandi, R.; Borsato, A.; Frisia, S.; Fairchild, I.J.; Richter, D.K. Epikarst hydrology and implications for stalagmite capture of climate changes at Grotta di Ernesto (NE Italy): Results from long-term monitoring. Hydrol. Process. 2010, 24, 3101–3114. [Google Scholar] [CrossRef]
- Wu, X.; Pan, M.C.; Zhu, X.Y.; Cao, J.H.; Zhang, M.L. Effect of extreme precipitation events on the hydrochemistry index and stable isotope compositions of drip water in a subtropical cave, Guangxi, SW China. Carbonates Evaporites 2017, 33, 123–131. [Google Scholar] [CrossRef]
- Kelley, J.B.; Rowe, H.; Springer, G.S.; Guo, Y.L. Multi-year cave dripwater frequency and hydrochemical monitoring of three caves in Eastern North America. J. Cave Karst Stud. 2019, 81, 188–202. [Google Scholar] [CrossRef]
- Yang, M.D. Characteristics of karst landscape in Guizhou Plateau. J. Guizhou Norm. Univ. 1990, 2, 1–3. (In Chinese) [Google Scholar]
- Ford, D.C.; Williams, P.W. Karst Hydrogeology and Geomorphology; John Willy & Sons: Chichester, UK, 2007; pp. 45–52. [Google Scholar]
- Li, S.Y.; Lu, X.X.; Bush, R.T. Chemical weathering and CO2 consumption in the Lower Mekong River. Sci. Total Environ. 2014, 472, 162–177. [Google Scholar] [CrossRef]
- Kogovsek, J.; Petric, M. Solute transport processes in a karst vadose zone characterized by long-term tracer tests (the cave system of Postojnska Jama, Slovenia). J. Hydrol. 2014, 519, 1205–1213. [Google Scholar] [CrossRef]
- Luo, W.J.; Wang, S.J.; Xie, X.N. A comparative study on the stable isotopes from precipitation to speleothem in four caves of Guizhou, China. Chemie der Erde 2013, 73, 205–215. [Google Scholar] [CrossRef]
- Huang, Y.M.; Fairchild, I.J.; Borsato, A.; Frisia, S.; Cassidy, N.J.; Dermott, F.M.; Hawkesworth, C.J. Seasonal variations in Sr, Mg and P in modern speleothems (Grotta di Ernesto, Italy). Chem. Geol. 2001, 175, 429–448. [Google Scholar] [CrossRef]
- Dreybrodt, W.; Buhmann, D.; Michaelis, J.; Usdowski, E. Geochemically controlled calcite precipitation by CO2 outgassing: Field measurements of precipitation rates in comparison to theoretical predictions. Chem. Geol. 1992, 97, 285–294. [Google Scholar] [CrossRef]
- Poulain, A.; Rochez, G.; Roy, J.P.V.; Dewaide, L.; Hallet, V.; Sadelaer, G.D. A compact field fluorometer and its application to dye tracing in karst environments. Hydrogeol. J. 2017, 25, 1517–1524. [Google Scholar] [CrossRef]
- Luo, W.J.; Wang, S.J.; Xie, X.N.; Zhou, Y.C.; Li, T.Y. Temporal and spatial variations in hydrogeochemistry of cave percolation water and their implications for four caves in Guizhou, China. Chin. J. Geochem. 2013, 32, 119–129. [Google Scholar] [CrossRef]
- Li, J.Y.; Li, T.Y.; Wang, J.L.; Xiang, X.J.; Chen, Y.X.; Xuan, L. Characteristics and environmental significance of Ca, Mg, Sr in the soil infiltrating water overlying the Furong Cave, Chongqing, China. Sci. China Earth Sci. 2013, 56, 2126–2134. [Google Scholar] [CrossRef]
- Liu, W.; Zhou, C.; Burnet, J.E.; Brancelj, A. The effect of hydrological and hydrochemical parameters on the micro-distribution of aquatic fauna in drip water in the Velika Pasica Cave, central Slovenia. Ecohydrology 2017, 10, e1835. [Google Scholar] [CrossRef]
- Fairchild, I.J.; Borsato, A.; Tooth, A.F.; Frisia, S.; Hawkesworth, C.J.; Huang, Y.M.; McDermott, F.; Spiro, B. Controls on trace element (Sr-Mg) compositions of carbonate cave waters: Implications for speleothem climatic records. Chem. Geol. 2000, 166, 255–269. [Google Scholar] [CrossRef]
- Grosbois, C.; Negrel, P.; Fouillac, C.; Grimaud, D. Dissolved load of the Loire River: Chemical and isotopic characterization. Chem. Geol. 2000, 170, 179–201. [Google Scholar] [CrossRef]
- Tooth, A.F.; Fairchild, I.J. Soil and karst aquifer hydrological controls on the geochemical evolution of speleothem-forming drip waters, Crag Cave, southwest Ireland. J. Hydrol. 2003, 273, 51–68. [Google Scholar] [CrossRef]
- Spötl, C.; Fairchild, I.J.; Tooth, A.F. Cave air control on dripwater geochemistry, Obir Caves (Austria): Implications for speleothem deposition in dynamically ventilated caves. Geochim. Cosmochim. Acta 2005, 69, 2451–2468. [Google Scholar] [CrossRef]
- Ban, F.M.; Pan, G.X.; Cai, B.G.; Zhu, J.; Tan, M. Temporal-spatial variation of SO42− concentration of the drip water and its significance in the Shihua cave, Beijing. Carsologica Sin. 2009, 28, 243–248, (In Chinese with an English Abstract). [Google Scholar] [CrossRef]
- Sheng, M.Y.; Xiong, K.N.; Wang, L.J.; Li, X.N.; Li, R.; Tian, X.J. Response of soil physical and chemical properties to rocky desertification succession in South China Karst. Carbonates Evaporites 2018, 33, 15–28. [Google Scholar] [CrossRef]
- Wang, X.X.; Wu, Y.H.; Shen, L.C. Influences of air CO2 on hydrochemistry of drip water and implications for paleoclimate study in a stream-developed cave, SW China. Acta. Geochim. 2016, 35, 172–183. [Google Scholar] [CrossRef]
- Wu, X.; Zhu, X.Y.; Pan, M.C.; Zhang, M.L. Seasonal variability of oxygen and hydrogen stable isotopes in precipitation and cave drip water at Guilin, southwest China. Environ. Earth. Sci. 2014, 2, 3183–3191. [Google Scholar] [CrossRef]
- Gao, R.X.; Dai, Q.H.; Gan, Y.X.; Yan, Y.J.; Peng, X.D. The mechanisms of nutrient output through water flow from sloping farmland with slight rocky desertification in a karst region. Environ. Res. Lett. 2020, 15, 094085. [Google Scholar] [CrossRef]
- Onac, B.P.; Wynn, J.G.; Sumrall, J.B. Tracing the sources of cave sulfates: A unique case from Cerna Valley, Romania. Chem. Geol. 2011, 288, 105–114. [Google Scholar] [CrossRef]
- Baker, A.; Genty, D. Fluorescence wavelength and intensity variations of cave waters. J. Hydrol. 1999, 217, 19–34. [Google Scholar] [CrossRef]
- Tatár, E.; Mihucz, V.G.; Zámbó, L.; Gasparics, T.; Záray, G. Seasonal changes of fulvic acid, Ca and Mg concentrations of water samples collected above and in the Beke Cave of the Aggtelek karst system (Hungary). Appl. Geochem. 2004, 19, 1727–1733. [Google Scholar] [CrossRef]
- Li, X.L.; Hu, C.Y.; Liao, J.; Bao, L.L.; Mao, Q.X. An improved method for fluorescence analysis of dissolved organic matter in cave drip water. Front. Earth Sci. 2014, 8, 595–598. [Google Scholar] [CrossRef]
- Rutlidge, H.; Andersen, M.S.; Baker, A.; Chinu, K.J.; Cuthbert, M.O.; Jex, C.N.; Marjo, C.E.; Markowska, M.; Rau, G.C. Organic characterisation of cave drip water by LC-OCD and fluorescence analysis. Geochim. Cosmochim. Acta 2015, 166, 15–28. [Google Scholar] [CrossRef]







| W1 (n = 18) | Drip Rate /mL·min−1 | pH | EC /μS·cm−1 | HCO3− /mg·L−1 | SO42− /mg·L−1 | NO3− /mg·L−1 | Cl− /mg·L−1 | K+ /mg·L−1 | Na+ /mg·L−1 | Ca2+ /mg·L−1 | Mg2+ /mg·L−1 | Sr2+ /mg·L−1 | SIC | SID |
|---|---|---|---|---|---|---|---|---|---|---|---|---|---|---|
| 2.21 | 8.41 | 360 | 213.5 | 21.56 | 3.62 | 3.55 | 0.95 | 0.59 | 40.22 | 20.97 | 0.016 | 0.72 | 1.34 | |
| 2.1 | 8.41 | 370 | 213.5 | 21.28 | 3.55 | 5 | 1.5 | 0.59 | 41 | 21.1 | 0.016 | 0.73 | 1.35 | |
| 2.05 | 8.41 | 384 | 213.5 | 21.01 | 3.52 | 7.09 | 2.28 | 0.58 | 41.64 | 21.27 | 0.016 | 0.74 | 1.36 | |
| 2.03 | 8.49 | 354 | 213.5 | 21.34 | 3.54 | 3.55 | 0.58 | 1.12 | 43.17 | 21.32 | 0.019 | 0.83 | 1.53 | |
| 2.02 | 8.52 | 442 | 207.4 | 20.7 | 3.12 | 14.18 | 7.32 | 0.58 | 39.64 | 20.97 | 0.016 | 0.81 | 1.52 | |
| 2.16 | 8.78 | 364 | 207.4 | 20.14 | 3.38 | 5.67 | 1.22 | 0.59 | 38.53 | 20.79 | 0.016 | 1.03 | 1.96 | |
| 2.04 | 8.78 | 362 | 207.4 | 20.3 | 3.2 | 5.3 | 1.1 | 0.57 | 39 | 20.7 | 0.016 | 1.03 | 1.96 | |
| 2.01 | 8.78 | 361 | 213.5 | 20.5 | 3.19 | 4.96 | 1.04 | 0.56 | 39.5 | 20.65 | 0.016 | 1.05 | 1.99 | |
| 1.99 | 8.78 | 351 | 201.3 | 20.21 | 3.16 | 3.55 | 0.39 | 0.57 | 39.57 | 20.8 | 0.015 | 1.03 | 1.96 | |
| 1.89 | 8.54 | 348 | 201.3 | 20.62 | 3.1 | 3.55 | 0.4 | 0.75 | 39.71 | 20.73 | 0.016 | 0.82 | 1.53 | |
| 2.04 | 8.54 | 353 | 201.3 | 20.73 | 3.02 | 3.55 | 0.37 | 0.58 | 40.08 | 20.99 | 0.016 | 0.82 | 1.53 | |
| 2.24 | 8.74 | 357 | 183 | 20.05 | 2.94 | 3.55 | 0.34 | 0.54 | 40.11 | 20.93 | 0.016 | 0.96 | 1.81 | |
| 2.1 | 8.7 | 355 | 170.8 | 20.1 | 2.85 | 3.55 | 0.4 | 0.7 | 41 | 21 | 0.017 | 0.91 | 1.7 | |
| 1.85 | 8.61 | 354 | 170.8 | 20.13 | 2.84 | 3.55 | 0.43 | 0.78 | 41.28 | 21.28 | 0.017 | 0.83 | 1.55 | |
| 1.83 | 8.76 | 351 | 213.5 | 20.28 | 2.84 | 3.55 | 0.53 | 0.98 | 40.22 | 21.29 | 0.016 | 1.04 | 1.99 | |
| 1.95 | 8.57 | 360 | 219.6 | 20.89 | 2.47 | 7.8 | 3.05 | 0.63 | 40.02 | 21.25 | 0.016 | 0.88 | 1.66 | |
| 1.84 | 8.65 | 355 | 225.7 | 21.28 | 2.77 | 4.96 | 1.35 | 1.05 | 40.46 | 21.27 | 0.017 | 0.97 | 1.84 | |
| 1.91 | 8.67 | 381 | 170.8 | 21.27 | 2.52 | 12.05 | 5.87 | 0.94 | 41.84 | 22.09 | 0.017 | 0.89 | 1.67 | |
| Min | 1.83 | 8.41 | 348 | 170.8 | 20.05 | 2.47 | 3.55 | 0.34 | 0.54 | 38.53 | 20.65 | 0.02 | 0.72 | 1.34 |
| Max | 2.24 | 8.78 | 442 | 225.7 | 21.56 | 3.62 | 14.18 | 7.32 | 1.12 | 43.17 | 22.09 | 0.02 | 1.05 | 1.99 |
| Average | 2.01 | 8.62 | 364.56 | 202.66 | 20.69 | 3.09 | 5.5 | 1.62 | 0.71 | 40.39 | 21.08 | 0.02 | 0.89 | 1.68 |
| S.D | 0.12 | 0.14 | 21.66 | 17.2 | 0.5 | 0.34 | 3.08 | 1.97 | 0.19 | 1.12 | 0.34 | 0.0008 | 0.11 | 0.23 |
| W2 (n = 18) | Drip Rate /mL·min−1 | pH | EC /μS·cm−1 | HCO3−/mg·L−1 | SO42−/mg·L−1 | NO3−/mg·L−1 | Cl− /mg·L−1 | K+ /mg·L−1 | Na+ /mg·L−1 | Ca2+ /mg·L−1 | Mg2+ /mg·L−1 | Sr2+ /mg·L−1 | SIC | SID |
| 2.03 | 8.66 | 274 | 158.6 | 15.67 | 2.8 | 3.55 | 0.23 | 0.51 | 22.19 | 19.43 | 0.008 | 0.6 | 1.31 | |
| 1.95 | 8.7 | 275 | 170.8 | 15.4 | 2.76 | 2.13 | 0.23 | 0.52 | 22.7 | 19.7 | 0.008 | 0.67 | 1.46 | |
| 1.8 | 8.74 | 275 | 170.8 | 15.05 | 2.75 | 1.42 | 0.22 | 0.53 | 22.92 | 19.89 | 0.008 | 0.71 | 1.54 | |
| 1.75 | 8.68 | 272 | 152.5 | 16.21 | 2.72 | 4.25 | 0.32 | 0.64 | 23.72 | 19.96 | 0.009 | 0.63 | 1.36 | |
| 1.82 | 8.78 | 272 | 170.8 | 14.91 | 2.7 | 3.55 | 0.21 | 0.53 | 23.43 | 19.82 | 0.008 | 0.76 | 1.62 | |
| 1.65 | 8.82 | 273 | 170.8 | 15.07 | 2.74 | 4.25 | 0.24 | 0.54 | 22.42 | 19.72 | 0.008 | 0.77 | 1.67 | |
| 1.59 | 8.8 | 274 | 176.9 | 15.07 | 2.8 | 3.55 | 0.21 | 0.53 | 23 | 19.8 | 0.008 | 0.78 | 1.67 | |
| 1.45 | 8.78 | 274 | 176.9 | 15.1 | 2.85 | 2.84 | 0.2 | 0.52 | 23.29 | 19.9 | 0.008 | 0.77 | 1.65 | |
| 1.41 | 8.85 | 271 | 170.8 | 15.91 | 2.72 | 2.13 | 0.22 | 0.56 | 23.06 | 19.82 | 0.008 | 0.81 | 1.73 | |
| 1.38 | 8.7 | 270 | 176.9 | 14.98 | 2.7 | 4.25 | 0.2 | 0.53 | 23.62 | 20.04 | 0.008 | 0.7 | 1.51 | |
| 1.71 | 8.7 | 273 | 158.6 | 14.94 | 2.64 | 2.13 | 0.2 | 0.53 | 23.38 | 19.89 | 0.008 | 0.66 | 1.42 | |
| 2.1 | 8.75 | 274 | 183 | 15.04 | 2.65 | 2.84 | 0.22 | 0.57 | 23.61 | 19.86 | 0.009 | 0.76 | 1.62 | |
| 2.01 | 8.7 | 272 | 176.9 | 16 | 2.68 | 2.84 | 0.21 | 0.54 | 23.5 | 19.8 | 0.008 | 0.7 | 1.5 | |
| 2.02 | 8.7 | 270 | 176.9 | 16.49 | 2.71 | 3.55 | 0.21 | 0.53 | 23.26 | 19.73 | 0.008 | 0.7 | 1.5 | |
| 2.03 | 8.77 | 271 | 170.8 | 15.39 | 2.69 | 2.84 | 0.19 | 0.66 | 23.67 | 20.13 | 0.009 | 0.75 | 1.61 | |
| 2.09 | 8.73 | 272 | 170.8 | 16.38 | 2.7 | 2.13 | 0.21 | 0.54 | 23.63 | 20.11 | 0.008 | 0.71 | 1.54 | |
| 1.98 | 8.74 | 273 | 176.9 | 17.26 | 2.73 | 2.13 | 0.2 | 0.54 | 23.57 | 19.85 | 0.009 | 0.74 | 1.58 | |
| 1.43 | 8.78 | 272 | 176.9 | 16.88 | 2.71 | 2.84 | 0.27 | 1.06 | 24.83 | 19.9 | 0.01 | 0.79 | 1.67 | |
| Min | 1.38 | 8.66 | 270 | 152.5 | 14.91 | 2.64 | 1.42 | 0.19 | 0.51 | 22.19 | 19.43 | 0.01 | 0.6 | 1.31 |
| Max | 2.1 | 8.85 | 275 | 183 | 17.26 | 2.85 | 4.25 | 0.32 | 1.06 | 24.83 | 20.13 | 0.01 | 0.81 | 1.73 |
| Average | 1.79 | 8.74 | 272.61 | 171.48 | 15.65 | 2.72 | 2.95 | 0.22 | 0.58 | 23.32 | 19.85 | 0.01 | 0.72 | 1.55 |
| S.D | 0.25 | 0.05 | 1.54 | 7.8 | 0.74 | 0.05 | 0.85 | 0.03 | 0.13 | 0.58 | 0.16 | 0.0006 | 0.06 | 0.12 |
| W3 (n = 18) | Drip Rate /mL·min−1 | pH | EC /μS·cm−1 | HCO3−/mg·L−1 | SO42−/mg·L−1 | NO3−/mg·L−1 | Cl− /mg·L−1 | K+ /mg·L−1 | Na+ /mg·L−1 | Ca2+ /mg·L−1 | Mg2+ /mg·L−1 | Sr2+ /mg·L−1 | SIC | SID |
| 2.37 | 8.7 | 232 | 170.8 | 5.8 | 1.91 | 3.55 | 0.23 | 0.31 | 16.86 | 19.28 | 0.006 | 0.56 | 1.35 | |
| 2.25 | 8.72 | 232 | 164.7 | 5.62 | 1.9 | 3 | 0.26 | 0.31 | 17 | 19.5 | 0.006 | 0.56 | 1.36 | |
| 2.18 | 8.75 | 232 | 158.6 | 5.59 | 1.9 | 2.84 | 0.29 | 0.32 | 17.04 | 19.57 | 0.006 | 0.58 | 1.39 | |
| 2 | 8.71 | 232 | 164.7 | 4.99 | 1.86 | 2.84 | 0.26 | 0.3 | 16.77 | 19.49 | 0.006 | 0.55 | 1.34 | |
| 1.72 | 8.86 | 232 | 207.4 | 6.33 | 1.88 | 3.55 | 0.23 | 0.33 | 16.78 | 19.24 | 0.006 | 0.77 | 1.78 | |
| 1.64 | 8.81 | 231 | 183 | 6.43 | 1.87 | 2.13 | 0.25 | 0.49 | 19.13 | 19.66 | 0.008 | 0.73 | 1.65 | |
| 1.87 | 8.8 | 232 | 183 | 6.1 | 1.81 | 2.83 | 0.22 | 0.35 | 17 | 19.4 | 0.007 | 0.67 | 1.59 | |
| 1.94 | 8.79 | 232 | 183 | 5.83 | 1.77 | 3.55 | 0.2 | 0.3 | 16.59 | 19.27 | 0.006 | 0.66 | 1.56 | |
| 2.11 | 8.84 | 230 | 164.7 | 5.9 | 1.81 | 2.84 | 0.21 | 0.59 | 16.84 | 19.15 | 0.007 | 0.67 | 1.56 | |
| 2.3 | 8.73 | 230 | 176.9 | 5.37 | 1.89 | 3.55 | 0.2 | 0.31 | 16.66 | 19.14 | 0.006 | 0.59 | 1.42 | |
| 2.51 | 8.74 | 231 | 183 | 6.05 | 1.78 | 2.84 | 0.21 | 0.3 | 16.79 | 19.38 | 0.006 | 0.62 | 1.47 | |
| 2.1 | 8.77 | 231 | 164.7 | 5.9 | 1.79 | 2.84 | 0.2 | 0.32 | 16.57 | 19.27 | 0.006 | 0.6 | 1.44 | |
| 2.32 | 8.74 | 232 | 176.9 | 6.1 | 1.79 | 3.2 | 0.29 | 0.4 | 17 | 19.7 | 0.007 | 0.61 | 1.46 | |
| 2.55 | 8.74 | 232 | 176.9 | 6.27 | 1.8 | 3.55 | 0.37 | 0.52 | 19.15 | 19.8 | 0.008 | 0.66 | 1.51 | |
| 2.61 | 8.78 | 230 | 176.9 | 5.84 | 1.86 | 2.84 | 0.21 | 0.3 | 16.84 | 19.56 | 0.006 | 0.64 | 1.52 | |
| 2.83 | 8.76 | 231 | 176.9 | 6.67 | 1.8 | 3.55 | 0.22 | 0.31 | 16.76 | 19.35 | 0.006 | 0.62 | 1.48 | |
| 2.21 | 8.75 | 232 | 158.6 | 6.21 | 1.81 | 2.13 | 0.22 | 0.49 | 17.44 | 19.6 | 0.007 | 0.59 | 1.4 | |
| 2.45 | 8.76 | 231 | 183 | 6.42 | 1.86 | 1.42 | 0.22 | 0.31 | 16.35 | 18.81 | 0.006 | 0.62 | 1.49 | |
| Min | 1.64 | 8.7 | 230 | 158.6 | 4.99 | 1.77 | 1.42 | 0.2 | 0.3 | 16.35 | 18.81 | 0.01 | 0.55 | 1.34 |
| Max | 2.83 | 8.86 | 232 | 207.4 | 6.67 | 1.91 | 3.55 | 0.37 | 0.59 | 19.15 | 19.8 | 0.01 | 0.77 | 1.78 |
| Average | 2.22 | 8.76 | 231.39 | 175.21 | 5.97 | 1.84 | 2.94 | 0.24 | 0.36 | 17.09 | 19.4 | 0.01 | 0.63 | 1.49 |
| S.D | 0.31 | 0.04 | 0.78 | 11.8 | 0.41 | 0.05 | 0.59 | 0.04 | 0.09 | 0.78 | 0.24 | 0.0006 | 0.06 | 0.11 |
| Date | pH | K+ | Na+ | Ca2+ | Mg2+ | Sr2+ | HCO3– | SO42− | NO3− | Cl− |
|---|---|---|---|---|---|---|---|---|---|---|
| 12 May 2014 | 7.22 | 0.32 | 0.11 | 2.27 | 0.6 | 0.003 | 8.7 | 1.4 | 0.88 | 0.12 |
| 17 June 2014 | 7.13 | 0.25 | 0.13 | 2.8 | 0.54 | 0.002 | 10.4 | 1.48 | 0.45 | 0.3 |
| 9 August 2014 | 7.35 | 0.37 | 0.2 | 2.41 | 0.63 | 0.003 | 12.2 | 1.33 | 0.9 | 0.38 |
| 15 June 2015 | 7.36 | 0.33 | 0.18 | 2.6 | 0.44 | 0.002 | 11.3 | 0.89 | 1.01 | 0.31 |
| 14 July 2015 | 7.41 | 0.28 | 0.15 | 1.83 | 0.5 | 0.003 | 11.2 | 1.42 | 0.64 | 0.22 |
| Cave | Sampling Period | Location | Vegetation Type | Soil Thickness/cm | Karst Desertification Grade | Response Time | References |
|---|---|---|---|---|---|---|---|
| Shijiangjun | 2016 | Anshun, Guizhou | Shrub, grass | 5~46 | Moderate | 38~42 h | This study |
| Qixing | 2003 | Duyun, Guizhou | Shrub | 50~90 | Mild | 27~40 d | [20] |
| Liangfeng | 2003 | Libo, Guizhou | Primordial forest | 100 | None | 36 d | [20] |
| Xiniu | 2003 | Zhenning, Guizhou | Shrub grass | 20~60 | Mild | 28 d | [20] |
| Xiaoyan | 2014 | Guilin, Guangxi | Shrub grass | 30~100 | Moderate-intense | <48 h | [24,25] |
| Furong | 2010 | Wulong, Chongqing | Arbor, shrub | >30 | None | >30 d | [39] |
| Xueyu | 2012~2013 | Fengdu, Chongqing | Arbor, shrub | 0~50 | None | 30 d | [47] |
| Panlong | 2012 | Guilin, Guangxi | Shrub | 30~100 | Mild | 15 d | [48] |
Publisher’s Note: MDPI stays neutral with regard to jurisdictional claims in published maps and institutional affiliations. |
© 2022 by the authors. Licensee MDPI, Basel, Switzerland. This article is an open access article distributed under the terms and conditions of the Creative Commons Attribution (CC BY) license (https://creativecommons.org/licenses/by/4.0/).
Share and Cite
Lyu, X.; Li, Y.; Xiong, K. Hydrogeochemical Response of Cave Drips to Precipitation during Rainfall in a Karst Desertification Region: A Case Study of Shijiangjun Cave, South China. Int. J. Environ. Res. Public Health 2022, 19, 15830. https://doi.org/10.3390/ijerph192315830
Lyu X, Li Y, Xiong K. Hydrogeochemical Response of Cave Drips to Precipitation during Rainfall in a Karst Desertification Region: A Case Study of Shijiangjun Cave, South China. International Journal of Environmental Research and Public Health. 2022; 19(23):15830. https://doi.org/10.3390/ijerph192315830
Chicago/Turabian StyleLyu, Xiaoxi, Yuan Li, and Kangning Xiong. 2022. "Hydrogeochemical Response of Cave Drips to Precipitation during Rainfall in a Karst Desertification Region: A Case Study of Shijiangjun Cave, South China" International Journal of Environmental Research and Public Health 19, no. 23: 15830. https://doi.org/10.3390/ijerph192315830
APA StyleLyu, X., Li, Y., & Xiong, K. (2022). Hydrogeochemical Response of Cave Drips to Precipitation during Rainfall in a Karst Desertification Region: A Case Study of Shijiangjun Cave, South China. International Journal of Environmental Research and Public Health, 19(23), 15830. https://doi.org/10.3390/ijerph192315830

