Impact of Sleep Fragmentation on Cognition and Fatigue
Abstract
1. Introduction
2. Materials and Methods
3. Results
3.1. Demographic Data and Pre-Experimental Sleep Stability
3.2. Subjective Sleep Quality in SF and RS Conditions
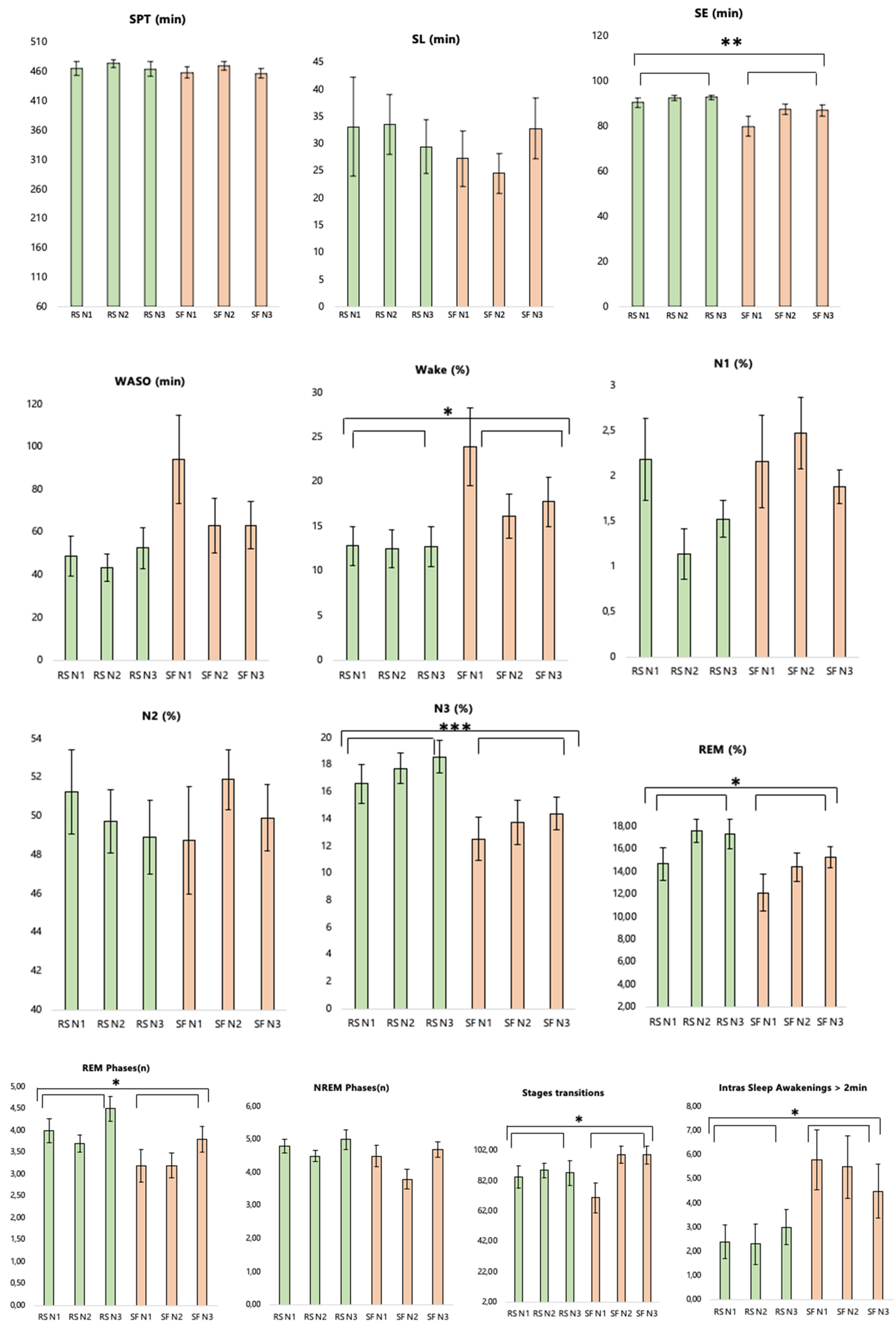
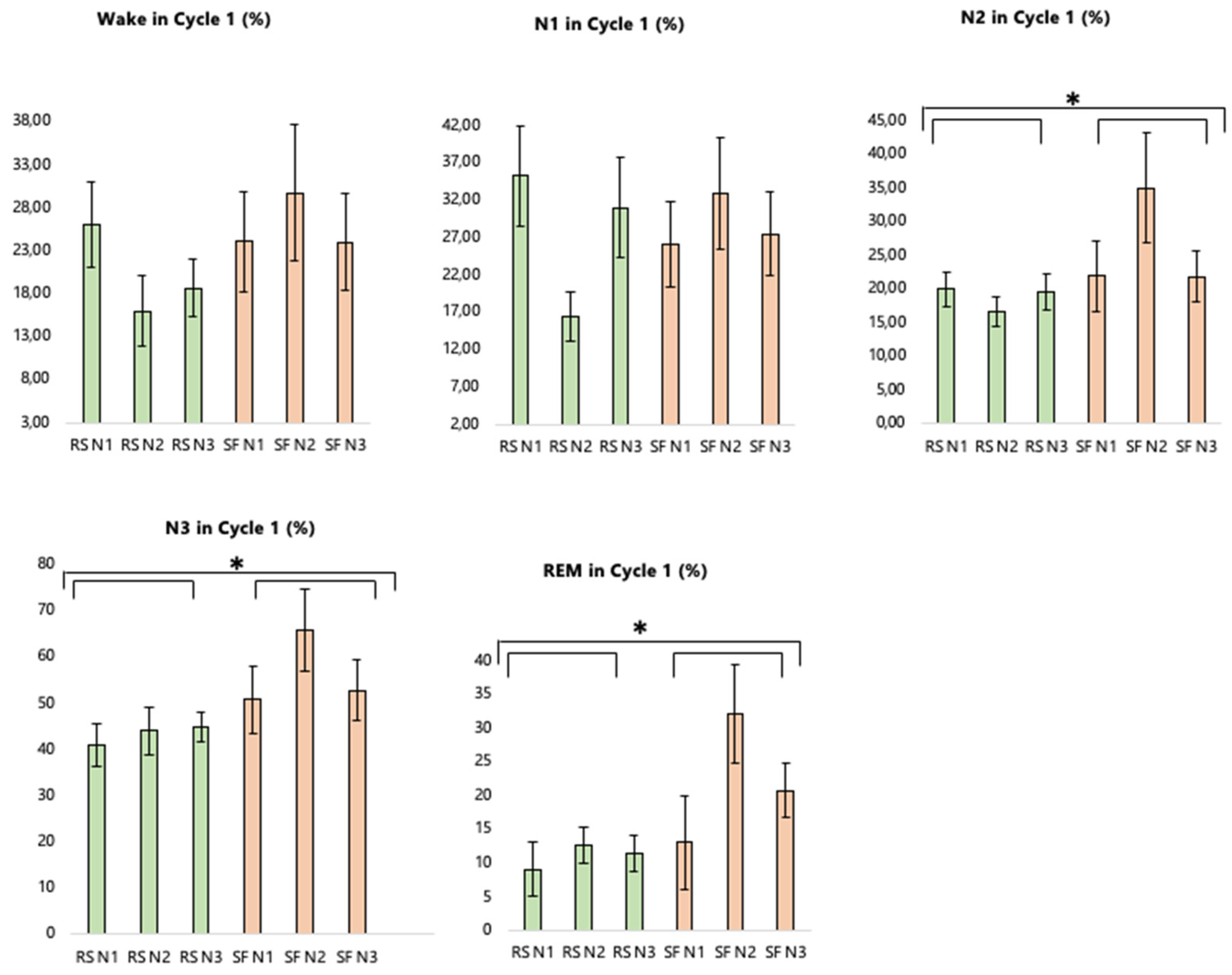
3.3. Impact of Sleep Fragmentation on Sleep Parameters (PSG)
3.4. Neuropsychological Evaluation
3.5. Induced Cognitive Fatigue (Subjective Scales and TloadDback Task)
3.5.1. Visual Analog Scales (VAS)
3.5.2. TloadDback Task
4. Discussion
5. Conclusions
Supplementary Materials
Author Contributions
Funding
Institutional Review Board Statement
Informed Consent Statement
Data Availability Statement
Conflicts of Interest
References
- Xie, L.; Kang, H.; Xu, Q.; Chen, M.J.; Liao, Y.; Thiyagarajan, M.; O’Donnell, J.; Christensen, D.J.; Nicholson, C.; Iliff, J.J.; et al. Sleep Drives Metabolite Clearance from the Adult Brain. Science 2013, 342, 373–377. [Google Scholar] [CrossRef] [PubMed]
- Jiang, Y.; Chai, Y.; Yang, F.; Xu, S.; Basner, M.; Detre, J.A.; Dinges, D.F.; Rao, H. Effects of Sleep Deprivation and Recovery Sleep on Human Brain Network Organization. Sleep 2018, 41 (Suppl. S1), A85–A86. [Google Scholar] [CrossRef]
- Laharnar, N.; Fatek, J.; Zemann, M.; Glos, M.; Lederer, K.; Suvorov, A.V.; Demin, A.V.; Penzel, T.; Fietze, I. A sleep intervention study comparing effects of sleep restriction and fragmentation on sleep and vigilance and the need for recovery. Physiol. Behav. 2020, 215, 112794. [Google Scholar] [CrossRef] [PubMed]
- Killgore, W.D.S. Effects of sleep deprivation on cognition. Prog. Brain Res. 2010, 185, 105–129. [Google Scholar] [CrossRef]
- Sharma, S.; Kavuru, M. Sleep and Metabolism: An Overview. Int. J. Endocrinol. 2010, 2010, 270832. [Google Scholar] [CrossRef]
- Hirshkowitz, M.; Whiton, K.; Albert, S.M.; Alessi, C.; Bruni, O.; DonCarlos, L.; Hazen, N.; Herman, J.; Katz, E.S.; Kheirandish-Gozal, L.; et al. National Sleep Foundation’s sleep time duration recommendations: Methodology and results summary. Sleep Health 2015, 1, 40–43. [Google Scholar] [CrossRef]
- Watson, N.F.; Badr, M.S.; Belenky, G.; Bliwise, D.L.; Buxton, O.M.; Buysse, D.; Dinges, D.F.; Gangwisch, J.; Grandner, M.A.; Kushida, C.; et al. Recommended amount of sleep for a healthy adult: A joint consensus statement of the American Academy of Sleep Medicine and Sleep Research Society. Sleep 2015, 38, 843–844. [Google Scholar] [CrossRef]
- Touzet, C. Cognitive fatigue: An impaired cortical inhibitory replenishment. Brain Inj. 2017, 31, 1625–1631. [Google Scholar] [CrossRef][Green Version]
- Ohayon, M.M. Prévalence et comorbidité des troubles du sommeil dans la population générale. Rev. Prat. 2007, 57, 1521–1528. [Google Scholar] [PubMed]
- Durmer, J.S.; Dinges, D.F. Neurocognitive consequences of sleep deprivation. Semin. Neurol. 2005, 25, 117–129. [Google Scholar] [CrossRef] [PubMed]
- Stepanski, E.J. The Effect of Sleep Fragmentation on Daytime Function. Sleep 2002, 25, 268–276. [Google Scholar] [CrossRef] [PubMed]
- Nair, D.; Zhang, S.X.; Ramesh, V.; Hakim, F.; Kaushal, N.; Wang, Y.; Gozal, D. Sleep fragmentation induces cognitive deficits via nicotinamide adenine dinucleotide phosphate oxidase–dependent pathways in mouse. Am. J. Respir. Crit. Care Med. 2011, 184, 1305–1312. [Google Scholar] [CrossRef] [PubMed]
- Mannarino, M.R.; Di Filippo, F.; Pirro, M. Obstructive sleep apnea syndrome. Eur. J. Intern. Med. 2012, 23, 586–593. [Google Scholar] [CrossRef]
- Alomri, R.M.; Kennedy, G.A.; Wali, S.O.; Ahejaili, F.; Robinson, S.R. Differential associations of hypoxia, sleep fragmentation, and depressive symptoms with cognitive dysfunction in obstructive sleep apnea. Sleep 2021, 44, zsaa213. [Google Scholar] [CrossRef]
- Colt, H.G.; Haas, H.; Rich, G.B. Hypoxemia vs sleep fragmentation as cause of excessive daytime sleepiness in obstructive sleep apnea. Chest 1991, 100, 1542–1548. [Google Scholar] [CrossRef] [PubMed]
- Valencia-Flores, M.; Mokhlesi, B.; Santiago-Ayala, V.; Reséndiz-García, M.; Castaño-Meneses, A.; Meza-Vargas, M.S.; Mendoza, A.; Orea-Tejeda, A.; García-Ramos, G.; Aguilar-Salinas, C.; et al. Intermittent hypoxemia and sleep fragmentation: Associations with daytime alertness in obese sleep apnea patients living at moderate altitude. Sleep Med. 2016, 20, 103–109. [Google Scholar] [CrossRef]
- Verstraeten, E. Neurocognitive effects of obstructive sleep apnea syndrome. Curr. Neurol. Neurosci. Rep. 2007, 7, 161–166. [Google Scholar] [CrossRef]
- Krysta, K.; Bratek, A.; Zawada, K.; Stepańczak, R. Cognitive deficits in adults with obstructive sleep apnea compared to children and adolescents. J. Neural Transm. 2017, 124 (Suppl. S1), 187–201. [Google Scholar] [CrossRef]
- Csábi, E.; Benedek, P.; Janacsek, K.; Katona, G.; Nemeth, D. Sleep disorder in childhood impairs declarative but not nondeclarative forms of learning. J. Clin. Exp. 2013, 35, 677–685. [Google Scholar] [CrossRef]
- Daurat, A.; Foret, J.; Bret-Dibat, J.L.; Fureix, C.; Tiberge, M. Spatial and temporal memories are affected by sleep fragmentation in obstructive sleep apnea syndrome. J. Clin. Exp. Neuropsychol. 2008, 30, 91–101. [Google Scholar] [CrossRef]
- Djonlagic, I.; Saboisky, J.; Carusona, A.; Stickgold, R.; Malhotra, A. Increased sleep fragmentation leads to impaired off-line consolidation of motor memories in humans. PLoS ONE 2012, 7, e34106. [Google Scholar] [CrossRef] [PubMed]
- Olaithe, M.; Bucks, R.S. Executive Dysfunction in OSA before and after Treatment: A Meta-Analysis. Sleep 2013, 36, 1297–1305. [Google Scholar] [CrossRef] [PubMed]
- Weaver, T.E.; George, C.F.P. Cognition and Performance in Patients with Obstructive Sleep Apnea. In Principles and Practice of Sleep Medcine, 5th ed.; Kryger, M., Roth, T., Dement, W., Eds.; Elsevier Saunders: St. Louis, MI, USA, 2011; pp. 1194–1205. [Google Scholar] [CrossRef]
- Sériès, F.; Roy, N.; Marc, I. Effects of sleep deprivation and sleep fragmentation on upper airway collapsibility in normal subjects. Am. J. Respir. Crit. Care Med. 1994, 150, 481–485. [Google Scholar] [CrossRef] [PubMed]
- Griefahn, B.; Bröde, P.; Marks, A.; Basner, M. Autonomic arousals related to traffic noise during sleep. Sleep 2008, 31, 569–577. [Google Scholar] [CrossRef]
- Gerbase, M.W.; Dratva, J.; Germond, M.; Tschopp, J.M.; Pépin, J.L.; Carballo, D.; Künzli, N.; Probst-Hensch, N.M.; Adam, M.; Zemp Stutz, E.; et al. Sleep fragmentation and sleep-disordered breathing in individuals living close to main roads: Results from a population-based study. Sleep Med. 2014, 15, 322–328. [Google Scholar] [CrossRef]
- Mairesse, O.; Damen, V.; Newell, J.; Kornreich, C.; Verbanck, P.; Neu, D. The Brugmann Fatigue Scale: An Analogue to the Epworth Sleepiness Scale to Measure Behavioural Rest Propensity. Behav. Sleep Med. 2019, 24, 437–458. [Google Scholar] [CrossRef]
- Borragán, G.; Slama, H.; Bartolomei, M.; Peigneux, P. Cognitive fatigue: A Time-based Resource-sharing account. Cortex 2017, 89, 71–84. [Google Scholar] [CrossRef]
- Marcora, S.M.; Staiano, W.; Manning, V. Mental fatigue impairs physical performance in humans. J. Appl. Physiol. 2009, 106, 857–864. [Google Scholar] [CrossRef]
- Trejo, L.; Kubitz, K.; Rosipal, R.; Kochavi, R.; Montgomery, L. EEG-Based Estimation and Classification of Mental Fatigue. Psychology 2015, 6, 572–589. [Google Scholar] [CrossRef]
- Lorist, M.M.; Klein, M.; Nieuwenhuis, S. Mental fatigue and task control: Planning and preparation. Psychophysiology 2000, 37, 614–625. [Google Scholar] [CrossRef]
- Lorist, M.M.; Boksem, M.S.; Ridderinkhof, K.R. Impaired cognitive control and reduced cingulate activity during mental fatigue. Brain Research. Cogn. Brain Res. 2005, 24, 199–205. [Google Scholar] [CrossRef] [PubMed]
- Mizuno, K.; Tanaka, M.; Fukuda, S.; Imai-Matsumura, K.; Watanabe, Y. Relationship between cognitive functions and prevalence of fatigue in elementary and junior high school students. Brain Dev. 2011, 33, 470–479. [Google Scholar] [CrossRef] [PubMed]
- Van der Linden, D.; Frese, M.; Sonnentag, S. The impact of mental fatigue on exploration in a complex computer task: Rigidity and loss of systematic strategies. Hum. Factors 2003, 45, 483–494. [Google Scholar] [CrossRef] [PubMed]
- Ackerman, P.L.; Kanfer, R. Test Length and Cognitive Fatigue: An Empirical Examination of Effects on Performance and Test-Taker Reactions. J. Exp. Psychol. Appl. 2009, 15, 163–181. [Google Scholar] [CrossRef]
- Lim, J.; Wu, W.; Wang, J.; Detre, J.A.; Dinges, D.F. Perfusion Study of the Time-on-Task Effect. NeuroImage 2010, 49, 3426–3435. [Google Scholar] [CrossRef]
- Cook, D.B.; O’Connor, P.J.; Lange, G.; Steffener, J. Functional neuroimaging correlates of mental fatigue induced by cognition among chronic fatigue syndrome patients and controls. NeuroImage 2007, 36, 108–122. [Google Scholar] [CrossRef]
- Shigihara, Y.; Tanaka, M.; Ishii, A.; Kanai, E.; Funakura, M.; Watanabe, Y. Two types of mental fatigue affect spontaneous oscillatory brain activities in different ways. Behav. Brain Funct. 2013, 9, 2. [Google Scholar] [CrossRef]
- Barrouillet, P.; Bernardin, S.; Camos, V. Time constraints and resource sharing in adults’ working memory spans. J. Exp. Psychol. Gen. 2004, 133, 83–100. [Google Scholar] [CrossRef]
- Borragán, G.; Guerrero-Mosquera, C.; Guillaume, C.; Slama, H.; Peigneux, P. Decreased prefrontal connectivity parallels cognitive fatigue-related performance decline after sleep deprivation. An optical imaging study. Biol. Psychol. 2019, 144, 115–124. [Google Scholar] [CrossRef]
- Borragán, G.; Gilson, M.; Atas, A.; Slama, H.; Lysandropoulos, A.; De Schepper, M.; Peigneux, P. Cognitive Fatigue, Sleep and Cortical Activity in Multiple Sclerosis Disease. A Behavioral, Polysomnographic and Functional Near-Infrared Spectroscopy Investigation. Front. Hum. Neurosci. 2018, 12, 378. [Google Scholar] [CrossRef]
- Lee, K.A.; Hicks, G.; Nino-Murcia, G. Validity and Reliability of a Scale to Assess Fatigue. Psychiatry Res. 1991, 36, 291–298. [Google Scholar] [CrossRef] [PubMed]
- Tanaka, M.; Ishii, A.; Watanabe, Y. Neural effects of mental fatigue caused by continuous attention load: A magnetoencephalography study. Brain Res. 2014, 1561, 60–66. [Google Scholar] [CrossRef] [PubMed]
- Buysse, D.J.; Reynolds, C.F.; Monk, T.H.; Berman, S.R.; Kupfer, D.J. The Pittsburgh Sleep Quality Index: A new instrument for psychiatric practice and research. Psychiatry Res. 1989, 28, 193–213. [Google Scholar] [CrossRef] [PubMed]
- Krupp, L.B.; LaRocca, N.G.; Muir-Nash, J.; Steinberg, A.D. The fatigue severity scale. Application to patients with multiple sclerosis and systemic lupus erythematosus. Arch. Neurol. 1989, 46, 1121–1123. [Google Scholar] [CrossRef] [PubMed]
- Ogińska, H. Can you feel the rhythm? A short questionnaire to describe two dimensions of chronotype. Personal. Individ. Differ. 2011, 50, 1039–1043. [Google Scholar] [CrossRef]
- Beck, A.T.; Ward, C.H.; Mendelson, M.; Mock, J.; Erbaugh, J. An inventory for measuring depression. Arch. Gen. Psychiatry 1961, 4, 561–571. [Google Scholar] [CrossRef]
- Beck, A.T.; Epstein, N.; Brown, G.; Steer, R.A. An inventory for measuring clinical anxiety: Psychometric properties. J. Consult. Clin. Psychol. 1988, 56, 893–897. [Google Scholar] [CrossRef]
- Ellis, B.W.; Johns, M.W.; Lancaster, R.; Raptopoulos, P.; Angelopoulos, N.; Priest, R.G. The St. Mary’s Hospital sleep questionnaire: A study of reliability. Sleep 1981, 4, 93–97. [Google Scholar] [CrossRef]
- Rectem, D.; Pointrenaud, J.; Coyette, F.; Kalaft, M.; Van der Linden, M. Une épreuve de rappel libre à 15 items avec remémoration sélective (RLS-15). In L’évaluation des Troubles de la Mémoire: Présentation de Quatre Tests de Mémoire Episodique (Avec Leur Etalonnage); van der Linden, M., Adam, S., Agniel, A., Baisset Mouly, C., et les Membres du GREMEM, Eds.; Solal: Marseille, France, 2014; pp. 69–84. [Google Scholar]
- Wechsler, D. The Wechsler Adult Intelligence Scale Revised (Manual); Psychological Corporation: New York, NY, USA, 1981; pp. 84–85. [Google Scholar]
- Corsi, P.M. Human Memory and the Medial Temporal Region of the Brain. Ph.D. Thesis, McGill University, Montreal, QC, Canada, 1973. [Google Scholar]
- Basner, M.; Dinges, D.F. Maximizing sensitivity of the psychomotor vigilance test (PVT) to sleep loss. Sleep 2011, 34, 581–591. [Google Scholar] [CrossRef]
- Godefroy, O.; GREFEX. Fonctions Exécutives et Pathologies Neurologiques et Psychiatriques: Evaluation en Pratique Clinique; De Boeck Supérieur: Bruxelles, Belgium, 2012. [Google Scholar]
- Borragán, G.; Slama, H.; Destrebecqz, A.; Peigneux, P. Cognitive Fatigue Facilitates Procedural Sequence Learning. Front. Hum. Neurosci. 2016, 10, 86. [Google Scholar] [CrossRef]
- American Academy of Sleep Medicine (AASM). International Classification of Sleep Disorders (ICSD), 3rd Edition: Diagnostic and Coding Manual; American Academy of Sleep Medicine: Darien, IL, USA, 2014. [Google Scholar]
- American Sleep Disorders Association (ASDA). EEG arousals: Scoring rules and examples: A preliminary report from the Sleep Disorders Atlas Task Force of the American Sleep Disorders Association. Sleep 1992, 15, 173–184. [Google Scholar] [CrossRef]
- Ding, L.; Chen, B.; Dai, Y.; Li, Y. A meta-analysis of the first-night effect in healthy individuals for the full age spectrum. Sleep Med. 2022, 89, 159–165. [Google Scholar] [CrossRef] [PubMed]
- Gaillard, V.; Barrouillet, P.; Jarrold, C.; Camos, V. Developmental differences in working memory: Where do they come from? J. Exp. Child Psychol. 2011, 110, 469–479. [Google Scholar] [CrossRef] [PubMed]
- Norman, D.A.; Bobrow, D.G. On data-limited and resource-limited processes. Cogn. Psychol. 1975, 7, 44–64. [Google Scholar] [CrossRef]
- Cote, K.A.; Milner, C.E.; Osip, S.L.; Ray, L.B.; Baxter, K.D. Waking quantitative electroencephalogram and auditory event-related potentials following experimentally induced sleep fragmentation. Sleep 2003, 26, 687–694. [Google Scholar] [CrossRef] [PubMed][Green Version]
- Kingshott, R.N.; Cosway, R.J.; Deary, I.J.; Douglas, N.J. The effect of sleep fragmentation on cognitive processing using computerized topographic brain mapping. J. Sleep Res. 2000, 9, 353–357. [Google Scholar] [CrossRef][Green Version]
- Ko, C.-H.; Fang, Y.-W.; Tsai, L.-L.; Hsieh, S. The effect of experimental sleep fragmentation on error monitoring. Biol. Psychol. 2015, 104, 163–172. [Google Scholar] [CrossRef]
- Bonnet, M.H.; Arand, D.L. Clinical effects of sleep fragmentation versus sleep deprivation. Sleep Med. Rev. 2003, 7, 297–310. [Google Scholar] [CrossRef] [PubMed]
- Shahveisi, K.; Jalali, A.; Moloudi, M.R.; Moradi, S.; Maroufi, A.; Khazaie, H. Sleep Architecture in Patients with Primary Snoring and Obstructive Sleep Apnea. Basic Clin. Neurosci. 2018, 9, 147–156. [Google Scholar] [CrossRef]
- Roehrs, T.; Merlotti, L.; Petrucelli, N.; Stepanski, E.; Roth, T. Experimental sleep fragmentation. Sleep 1994, 17, 438–443. [Google Scholar] [CrossRef]
- Short, M.A.; Banks, S. The Functional Impact of Sleep Deprivation, Sleep Restriction, and Sleep Fragmentation. In Sleep Deprivation and Disease; Bianchi, M., Ed.; Springer: New York, NY, USA, 2014. [Google Scholar] [CrossRef]
- Alchanatis, M.; Zias, N.; Deligiorgis, N.; Liappas, I.; Chroneou, A.; Soldatos, C.; Roussos, C. Comparison of cognitive performance among different age groups in patients with obstructive sleep apnea. Sleep Breath 2008, 12, 17–24. [Google Scholar] [CrossRef] [PubMed]
- Olaithe, M.; Pushpanathan, M.; Hillman, D.; Eastwood, P.R.; Hunter, M.; Skinner, T.; James, A.; Wesnes, K.A.; Bucks, R.S. Cognitive profiles in obstructive sleep apnea: A cluster analysis in sleep clinic and community samples. J. Clin. Sleep Med. 2020, 16, 1493–1505. [Google Scholar] [CrossRef] [PubMed]
- Benkirane, O.; Neu, D.; Schmitz, R.; Dehon, H.; Mairesse, O.; Peigneux, P. Reversible Verbal Memory Integration Deficits in Obstructive Sleep Apnoea. Psychol. Belg. 2021, 61, 131–144. [Google Scholar] [CrossRef] [PubMed]
- Gevers, W.; Deliens, G.; Hoffmann, S.; Notebaert, W.; Peigneux, P. Sleep deprivation selectively disrupts top-down adaptation to cognitive conflict in the Stroop test. J. Sleep Res. 2015, 24, 666–672. [Google Scholar] [CrossRef] [PubMed]
- Ackerman, P.L.; Calderwood, C.; Conklin, E.M. Task characteristics and fatigue. In The Handbook of Operator Fatigue; CRC Press: Boca Raton, FL, USA, 2017; pp. 91–101. [Google Scholar]
- Chervin, R.D. Sleepiness, fatigue, tiredness, and lack of energy in obstructive sleep apnea. Chest 2000, 118, 372–379. [Google Scholar] [CrossRef] [PubMed]
- Hossain, J.L.; Reinish, L.W.; Kayumov, L.; Bhuiya, P.; Shapiro, C.M. Underlying sleep pathology may cause chronic high fatigue in shift-workers. J. Sleep Res. 2003, 12, 223–230. [Google Scholar] [CrossRef] [PubMed]
- Lichstein, K.L.; Means, M.K.; Noe, S.L.; Aguillard, R.N. Fatigue and sleep disorders. Behav. Res. Ther. 1997, 35, 733–740. [Google Scholar] [CrossRef] [PubMed]
- Pallesen, S.; Johnsen, B.H.; Hansen, A.; Eid, J.; Thayer, J.F.; Olsen, T.; Hugdahl, K. Sleep deprivation and hemispheric asymmetry for facial recognition reaction time and accuracy. Percept. Mot. Ski. 2004, 98 (Suppl. S3), 1305–1314. [Google Scholar] [CrossRef] [PubMed]
- Soffer-Dudek, N.; Sadeh, A.; Dahl, R.E.; Rosenblat-Stein, S. Poor sleep quality predicts deficient emotion information processing over time in early adolescence. Sleep 2011, 34, 1499–1508. [Google Scholar] [CrossRef] [PubMed]
- Lipinska, G.; Thomas, K.G. The interaction of REM fragmentation and night-time arousal modulates sleep-dependent emotional memory consolidation. Front. Psychol. 2019, 10, 1766. [Google Scholar] [CrossRef] [PubMed]
- Werner, G.G.; Schabus, M.; Blechert, J.; Kolodyazhniy, V.; Wilhelm, F.H. Pre-to postsleep change in psychophysiological reactivity to emotional films: Late-night REM sleep is associated with attenuated emotional processing. Psychophysiology 2015, 52, 813–825. [Google Scholar] [CrossRef] [PubMed]
- Pesonen, A.K.; Gradisar, M.; Kuula, L.; Short, M.; Merikanto, I.; Tark, R.; Räikkönen, K.; Lahti, J. REM sleep fragmentation associated with depressive symptoms and genetic risk for depression in a community-based sample of adolescents. J. Affect. Disord. 2019, 245, 757–763. [Google Scholar] [CrossRef] [PubMed]
- Vandekerckhove, M.; Cluydts, R. The emotional brain and sleep: An intimate relationship. Sleep Med. Rev. 2010, 14, 219–226. [Google Scholar] [CrossRef] [PubMed]









| Data (Mean ± SD) | Range | |
|---|---|---|
| Age (years) | 28.5 ± 4.48 | 24–38 | 
| PSQI global score | 3.19 ± 1.33 | 1–6 | 
| BFSm (mental) | 3 ± 2.34 | 0–6 | 
| BFSp (physical) | 1.94 ± 1.69 | 0–5 | 
| FSS | 2.05 ± 0.83 | 1–3.67 | 
| ChQ—Morningness–eveningness | 19.5 ± 7.71 | 8–32 | 
| ChQ—Distinctness | 16 ± 4.90 | 10–23 | 
| BDI | 1.63 ± 1.86 | 0–6 | 
| BAI | 4.75 ± 8.33 | 0–35 | 
| Control Sleep | Fragmented Sleep | Statistics | ||
|---|---|---|---|---|
| PVT-Median | 307.19 (27.75) | 310.94 (39.17) | t(15) = 0.30 | p = 0.59 | 
| PVT–lapses > 500 ms | 0.81 (1.28) | 1.69 (3.18) | t(15) = 2.30 | p = 0.15 | 
| PVT-lapses > 2std | 2.13 (1.03) | 2.25 (1.48) | t(15) = 0.14 | p = 0.72 | 
| PVT-RRT | 3.26 (0.29) | 3.23 (0.36) | t(15) = 0.26 | p = 0.62 | 
| RLS-15-RM | 12.62 (0.88) | 12.75 (0.72) | t(15) = 0.48 | p = 0.64 | 
| RLS-15-%RLTC | 84.11 (9.15) | 87.23 (10.46) | t(15) = 0.81 | p = 0.43 | 
| RLS-15-RD | 14.38 (1.09) | 14.88 (0.34) | t(15) = 2.07 | p = 0.10 | 
| Digit span (in order) | 6.13 (1.20) | 6.31 (1.08) | t(15) = 0.90 | p = 0.38 | 
| Digit span (in reverse) | 5.31 (1.20) | 4.94 (1.24) | t(15) = −1.70 | p = 0.11 | 
| Block tapping | 6.31 (1.14) | 6.50 (1.21) | t(15) = 0.59 | p = 0.57 | 
| Publisher’s Note: MDPI stays neutral with regard to jurisdictional claims in published maps and institutional affiliations. | 
© 2022 by the authors. Licensee MDPI, Basel, Switzerland. This article is an open access article distributed under the terms and conditions of the Creative Commons Attribution (CC BY) license (https://creativecommons.org/licenses/by/4.0/).
Share and Cite
Benkirane, O.; Delwiche, B.; Mairesse, O.; Peigneux, P. Impact of Sleep Fragmentation on Cognition and Fatigue. Int. J. Environ. Res. Public Health 2022, 19, 15485. https://doi.org/10.3390/ijerph192315485
Benkirane O, Delwiche B, Mairesse O, Peigneux P. Impact of Sleep Fragmentation on Cognition and Fatigue. International Journal of Environmental Research and Public Health. 2022; 19(23):15485. https://doi.org/10.3390/ijerph192315485
Chicago/Turabian StyleBenkirane, Oumaïma, Bérénice Delwiche, Olivier Mairesse, and Philippe Peigneux. 2022. "Impact of Sleep Fragmentation on Cognition and Fatigue" International Journal of Environmental Research and Public Health 19, no. 23: 15485. https://doi.org/10.3390/ijerph192315485
APA StyleBenkirane, O., Delwiche, B., Mairesse, O., & Peigneux, P. (2022). Impact of Sleep Fragmentation on Cognition and Fatigue. International Journal of Environmental Research and Public Health, 19(23), 15485. https://doi.org/10.3390/ijerph192315485
 
        



 
       