Study on the Microclimate Effect of Water Body Layout Factors on Campus Squares
Abstract
1. Introduction
2. Materials and Methods
2.1. Overview of the Study Area
2.2. Quantitative Indicators of Water Bodies
- Water body area index
- 2.
- Water body dispersion index
- 3.
- Water body shape index
2.3. Establishment of ENVI-Met Model
2.3.1. Model Parameter Setting
2.3.2. Model Establishment
2.3.3. Model Validity Verification
2.3.4. Model Schemes
2.4. Data Analysis Methods
3. Results and Analysis
3.1. Temporal Characteristics of the Microclimate with Different Water Layout Factors
3.1.1. Temperature
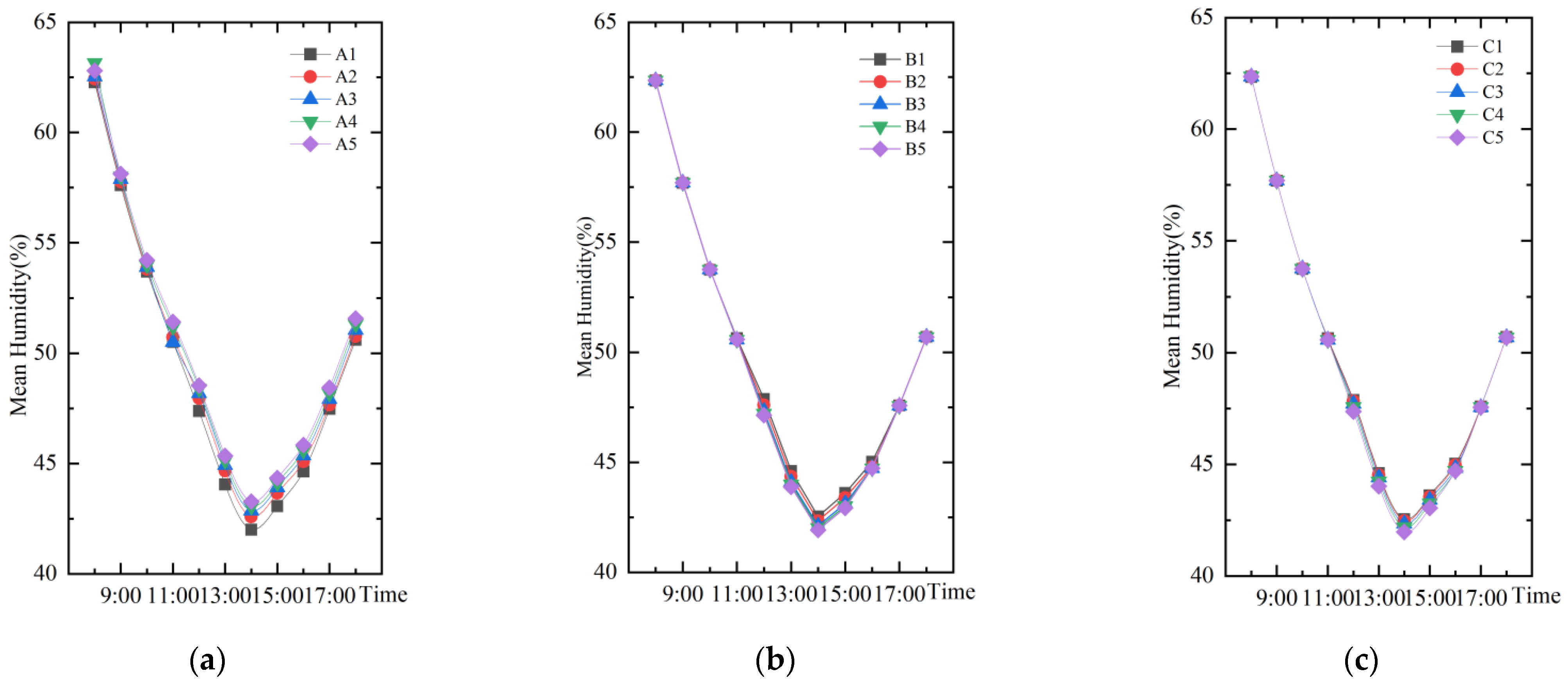
3.1.2. Humidity
3.1.3. Wind Speed
3.2. Spatial Characteristics of the Microclimate with Different Water Layout Factors
3.2.1. Cooling Effect
3.2.2. Humidifying Effect
3.3. Determination of the Water Body Layout Mode of the Campus Square
4. Discussion
5. Conclusions and Prospect
- (1)
- The scale, shape and dispersion of water bodies had significant effects on the temperature and humidity of the campus square. The water body scale was positively correlated with temperature and negatively correlated with humidity; the water body shape and dispersion were negatively correlated with temperature and positively correlated with humidity. All three factors had no significant effects on wind speed.
- (2)
- From the perspective of the cooling and humidifying effect, the ranking of the regulating ability of water body layout factors is scale > shape > dispersion; the ranking of the influence range is shape (36 m) > scale (30 m) > dispersion (28 m).
- (3)
- Based on the analysis of the three factors of water body scale, shape, and dispersion, the optimum layout mode of the water body with a certain area of the campus square is as follows. The area of the water body accounts for 36% of the total area of the square, and the shape is square, centralized and non-dispersive. The optimum layout mode of the campus square boundary is length:width = 1:2 under the circumstances that the layout factors of the water body are determined.
Author Contributions
Funding
Institutional Review Board Statement
Informed Consent Statement
Data Availability Statement
Conflicts of Interest
References
- Xiong, C. Study on the Microclimate Impact of Green Space Based on ENVI-Met. Master’s Thesis, Shanghai University of Applied Science and Technology, Shanghai, China, 2021. [Google Scholar]
- Lai, H. Microclimate Effects of Urban Green Space Plant Communities in Humid and Hot Areas. Master’s Thesis, South China University of Technology, Guangzhou, China, 2019. [Google Scholar]
- Zhang, L.; Zhan, Q.; Lan, Y. Effects of the tree distribution and species on outdoor environment conditions in a hot summer and cold winter zone: A case study in Wuhan residential quarters. Build. Environ. 2018, 130, 27–39. [Google Scholar] [CrossRef]
- Morakinyo, T.E.; Kong, L.; Lau, K.K.-L.; Yuan, C.; Ng, E. A study on the impact of shadow-cast and tree species on in-canyon and neighborhood’s thermal comfort. Build. Environ. 2017, 115, 1–17. [Google Scholar] [CrossRef]
- Wu, S.J.; Dong, L.; Fan, S. Influence of sub-bedding type on its temperature and humidity effect and human comfort. J. Fujian Agric. For. Univ. 2020, 49, 532–539. [Google Scholar] [CrossRef]
- Mallen, E.; Bakin, J.; Stone, B.; Sivakumar, R.; Lanza, K. Thermal impacts of built and vegetated environments on local microclimates in an Urban University campus. Urban Clim. 2020, 32, 100640. [Google Scholar] [CrossRef]
- Huang, Y.; Deng, S. Field Measurement and Analysis of the Micro Climate of A Campus Square. In Proceedings of the 2nd International Conference on Energy, Environment and Sustainable Development (EESD 2012), Jilin, China, 12–14 October 2013; pp. 923–927. [Google Scholar]
- Bian, Q.; Zhao, X.; Liu, X. Progress and Prospects of Research on Climate Regulating Properties of Water Body Landscape. Landsc. Archit. 2020, 27, 88–94. [Google Scholar] [CrossRef]
- Tan, Z.; Lau, K.K.-L.; Ng, E. Urban tree design approaches for mitigating daytime urban heat island effects in a high-density urban environment. Energy Build. 2016, 114, 265–274. [Google Scholar] [CrossRef]
- Fu, B. Watershed climate effects under different natural conditions in China. J. Geogr. 1997, 3, 56–63. [Google Scholar]
- Song, D.; Zhang, X.; Zhou, X.; Shi, X.; Jin, X. Influences of wind direction on the cooling effects of mountain vegetation in urban area. Build. Environ. 2022, 209, 108663. [Google Scholar] [CrossRef]
- Zeng, Z.; Zhou, X.; Li, L. The Impact of Water on Microclimate in Lingnan Area. In Proceedings of the 10th International Symposium on Heating, Ventilation and Air Conditioning (ISHVAC), Jinan, China, 19–22 October 2017; pp. 2034–2040. [Google Scholar]
- Sen, S.; Roesler, J. Wind direction and cool surface strategies on microscale urban heat island. Urban Clim. 2020, 31, 100548. [Google Scholar] [CrossRef]
- Jin, H.; Shao, T.; Zhang, R. Effect of water body forms on microclimate of residential district. In Proceedings of the 9th International Conference on Sustainability and Energy in Buildings (SEB), Chania, Greece, 5–7 July 2017; pp. 256–265. [Google Scholar]
- Steeneveld, G.J.; Koopmans, S.; Heusinkveld, B.G.; Theeuwes, N.E. Refreshing the role of open water surfaces on mitigating the maximum urban heat island effect. Landsc. Urban Plan. 2014, 121, 92–96. [Google Scholar] [CrossRef]
- Cheng, Y.-T.; Wu, C.-G. Planning approach of urban blue-green space based on local climate optimization: A review. Yingyong Shengtai Xuebao 2020, 31, 3935–3945. [Google Scholar] [CrossRef] [PubMed]
- Du, H.; Song, X.; Jiang, H.; Kan, Z.; Wang, Z.; Cai, Y. Research on the cooling island effects of water body: A case study of Shanghai, China. Ecol. Indic. 2016, 67, 31–38. [Google Scholar] [CrossRef]
- Lin, T.-P.; de Dear, R.; Hwang, R.-L. Effect of thermal adaptation on seasonal outdoor thermal comfort. Int. J. Climatol. 2011, 31, 302–312. [Google Scholar] [CrossRef]
- Xu, J.; Wei, Q.; Huang, X.; Zhu, X.; Li, G. Evaluation of human thermal comfort near urban waterbody during summer. Build. Environ. 2010, 45, 1072–1080. [Google Scholar] [CrossRef]
- Zhang, L.; Meng, Q.; Shu, L. Dynamic heat balance model of landscape water bodies and its numerical simulation analysis in outdoor thermal environment research. Build. Sci. 2007, 23, 58–61. [Google Scholar]
- Xuan, C.; Wang, X.; Jiang, W.; Wang, Y. Effects of water body layout on atmospheric environment in cities. Meteorology 2010, 36, 94–101. [Google Scholar]
- Chen, M. Analysis of Microclimate Effects of Water Bodies in Outdoor Public Spaces in Xi’an. Master’s Thesis, Xi’an University of Architecture and Technology, Xi’an, China, 2015. [Google Scholar]
- Offerle, B.; Eliasson, I.; Grimmond, C.S.B.; Holmer, B. Surface heating in relation to air temperature, wind and turbulence in an urban street canyon. Bound.-Layer Meteorol. 2007, 122, 273–292. [Google Scholar] [CrossRef]
- Sun, R.; Chen, A.; Chen, L.; Lu, Y. Cooling effects of wetlands in an urban region: The case of Beijing. Ecol. Indic. 2012, 20, 57–64. [Google Scholar] [CrossRef]
- Zhou, X.; Zhang, S.; Zhu, D. Impact of Urban Water Networks on Microclimate and PM2.5 Distribution in Downtown Areas: A Case Study of Wuhan. Build. Environ. 2021, 203, 108073. [Google Scholar] [CrossRef]
- Cruz, J.A.; Blanco, A.C.; Garcia, J.J.; Santos, J.A.; Moscoso, A.D. Evaluation of the cooling effect of green and blue spaces on urban microclimate through numerical simulation: A case study of Iloilo River Esplanade, Philippines. Sustain. Cities Soc. 2021, 74, 103184. [Google Scholar] [CrossRef]
- Cui, Z. Green infrastructure construction in urban public space planning under the concept of ecological civilization: A review of “Green infrastructure-oriented ecological urban public space”. World For. Res. 2022, 35, 140. [Google Scholar]
- Tan, H.; Cai, R. New features and causes of extreme summer heat in Fuzhou since 2000. Atmos. Sci. 2015, 39, 1179–1190. [Google Scholar]
- Li, X.; Yang, K. Exploring the humanized design of university campus plaza. Anhui Archit. 2007, 22–23. [Google Scholar] [CrossRef]
- Wu, J. Landscape Ecology: Patterns, Processes, Scales and Hierarchies; Springer: Berlin/Heidelberg, Germany, 2007. [Google Scholar]
- Zhang, C. Microclimate Effects of Water Layout In Urban Recreational Plazas. Master’s Thesis, Nanjing University, Nanjing, China, 2017. [Google Scholar]
- Ding, D. Microclimate Influence on the Spatial Structure of Waterfront Green Space. Master’s Thesis, East China Normal University, Shanghai, China, 2020. [Google Scholar]
- Geng, H.; Wei, X.; Zhang, M.; Li, Q. Study on the microclimate impact of Envi-met vegetation and buildings based on the example of Nanjing Agricultural University. J. Beijing For. Univ. 2020, 42, 115–124. [Google Scholar]
- Yang, J.; Hu, X.; Feng, H.; Marvin, S. Verifying an ENVI-met simulation of the thermal environment of Yanzhong Square Park in Shanghai–ScienceDirect. Urban For. Urban Green. 2021, 66, 127384. [Google Scholar] [CrossRef]
- Wang, T.; Chen, X.; Zhang, J.; Ye, C. ENVI-met simulation study on the effect of different greening retrofitting schemes on microclimate environment of a plot. J. South China Agric. Univ. 2019, 40, 61–68. [Google Scholar]
- Xi, T.; Li, Q.; Mochida, A.; Meng, Q. Study on the outdoor thermal environment and thermal comfort around campus clusters in subtropical urban areas. Build. Environ. 2012, 52, 162–170. [Google Scholar] [CrossRef]
- Ali-Toudert, F.; Mayer, H. Erratum to “Numerical study on the effects of aspect ratio and orientation of an urban street canyon on outdoor thermal comfort in hot and dry climate” [Building and Environment 41 (2006) 94–108]. Build. Environ. 2007, 42, 1553–1554. [Google Scholar] [CrossRef]
- Chow, W.T.L.; Pope, R.L.; Martin, C.A.; Brazel, A.J. Observing and modeling the nocturnal park cool island of an arid city: Horizontal and vertical impacts. Theor. Appl. Climatol. 2011, 103, 197–211. [Google Scholar] [CrossRef]
- Wania, A.; Bruse, M.; Blond, N.; Weber, C. Analysing the influence of different street vegetation on traffic-induced particle dispersion using microscale simulations. J. Environ. Manag. 2012, 94, 91–101. [Google Scholar] [CrossRef]
- Yue, D. Experimental Landscape Design for University Towns. Master’s Thesis, Fujian Normal University, Fuzhou, China, 2012. [Google Scholar]
- Saaroni, H.; Ziv, B. The impact of a small lake on heat stress in a Mediterranean urban park: The case of Tel Aviv, Israel. Int. J. Biometeorol. 2003, 47, 156–165. [Google Scholar] [CrossRef] [PubMed]
- Xuan, C. Study on the Effects of Changes in Urban Water Layout on Local Atmospheric Environment. Master’s Thesis, Lanzhou University, Lanzhou, China, 2011. [Google Scholar]
- Wang, K. Study on the Influence of Landscape Water Bodies on the Outdoor Thermal Environment of Residential Communities. Master’s Thesis, South China University of Technology, Guangzhou, China, 2016. [Google Scholar]
- Wang, L. Study on the Layout Strategy of High-Rise Buildings in Harbin City Based on Climate Design. Master’s Thesis, Harbin Institute of Technology, Harbin, China, 2010. [Google Scholar]
- Du, Y.; Mak, C.M.; Kwok, K.; Tse, K.-T.; Lee, T.-C.; Ai, Z.; Liu, J.; Niu, J. New criteria for assessing low wind environment at pedestrian level in Hong Kong. Build. Environ. 2017, 123, 23–36. [Google Scholar] [CrossRef]



















| Parameter Name | Parameter Name | Parameter Values |
|---|---|---|
| Grid Settings | Model dimensions /Size of grid cell in meter | 190 × 100 × 100/2 m × 2 m × 2 m |
| Model Location | Base settings | West Gate Square of Fujian Agriculture and Forestry University 26.08° N, 119.23° E |
| Microscale roughness length of surface (m) | 0.01 | |
| Time and date | Start date | 22 June 2022 |
| Start time | 5:00 am | |
| Total simulation time | 14 | |
| Meteorological data | Specific humidity in 2500 m (g/kg) | 7 |
| Wind direction | 135 degrees (south-east) | |
| Windspeed (m/s) | 2.5 | |
| temperature range | 17–28 | |
| Soil Section | Upper layer (0–20 cm) | 65 ℃/50% RH |
| Middle layer (20–50 cm) | 70 ℃/50% RH | |
| Deep layer (50–200 cm) | 75 ℃/50% RH | |
| Simple plant parameters | Surface Albedo | 0.20 |
| Foliage shortwave transmittance | 0.30 | |
| Height (m) | 0.25 | |
| Soils and Surface | Campus road/ Urban arterial road | Asphalt road |
| Campus square | Concrete pavement road | |
| Campus greenery | Grass 25 cm aver, dense |
| Influencing Factors | Parameter Name | Model Information | ||||
|---|---|---|---|---|---|---|
| Scale of the water body | Model number | A1 | A2 | A3 | A4 | A5 |
| Area Index (A) | 0.04 | 0.16 | 0.25 | 0.36 | 0.49 | |
| Water body size (m) | 12 × 28 | 24 × 56 | 30 × 70 | 36 × 84 | 42 × 98 | |
| Dispersion of the water body | Model number | B1 | B2 | B3 | B4 | B5 |
| Dispersion index (B) | 0.00 | 0.07 | 0.13 | 0.20 | 0.25 | |
| Water body size (m) | 30 × 30 | 21 × 42 | 17 × 52 | 15 × 60 | 10 × 90 | |
| Shape of the water body | Model number | C1 | C2 | C3 | C4 | C5 |
| Shape Index (C) | 1.00 | 1.10 | 1.15 | 1.35 | 1.67 | |
| Water body size (m) | 30 × 30 | 30 × 30 | 30 × 30 | 30 × 30 | 30 × 30 | |
Publisher’s Note: MDPI stays neutral with regard to jurisdictional claims in published maps and institutional affiliations. |
© 2022 by the authors. Licensee MDPI, Basel, Switzerland. This article is an open access article distributed under the terms and conditions of the Creative Commons Attribution (CC BY) license (https://creativecommons.org/licenses/by/4.0/).
Share and Cite
Xu, H.; Lin, X.; Lin, Y.; Zheng, G.; Dong, J.; Wang, M. Study on the Microclimate Effect of Water Body Layout Factors on Campus Squares. Int. J. Environ. Res. Public Health 2022, 19, 14846. https://doi.org/10.3390/ijerph192214846
Xu H, Lin X, Lin Y, Zheng G, Dong J, Wang M. Study on the Microclimate Effect of Water Body Layout Factors on Campus Squares. International Journal of Environmental Research and Public Health. 2022; 19(22):14846. https://doi.org/10.3390/ijerph192214846
Chicago/Turabian StyleXu, Han, Xinya Lin, Ying Lin, Guorui Zheng, Jianwen Dong, and Minhua Wang. 2022. "Study on the Microclimate Effect of Water Body Layout Factors on Campus Squares" International Journal of Environmental Research and Public Health 19, no. 22: 14846. https://doi.org/10.3390/ijerph192214846
APA StyleXu, H., Lin, X., Lin, Y., Zheng, G., Dong, J., & Wang, M. (2022). Study on the Microclimate Effect of Water Body Layout Factors on Campus Squares. International Journal of Environmental Research and Public Health, 19(22), 14846. https://doi.org/10.3390/ijerph192214846

